Sign in to use this feature.

Years

Between: -

Subjects

remove_circle_outline
remove_circle_outline
remove_circle_outline
remove_circle_outline
remove_circle_outline
remove_circle_outline
remove_circle_outline
remove_circle_outline
remove_circle_outline

Journals

remove_circle_outline
remove_circle_outline
remove_circle_outline
remove_circle_outline
remove_circle_outline
remove_circle_outline
remove_circle_outline
remove_circle_outline
remove_circle_outline
remove_circle_outline
remove_circle_outline
remove_circle_outline
remove_circle_outline
remove_circle_outline
remove_circle_outline
remove_circle_outline
remove_circle_outline

Article Types

Countries / Regions

remove_circle_outline
remove_circle_outline
remove_circle_outline
remove_circle_outline

Search Results (1,348)

Search Parameters:
Keywords = less cytotoxicity

Order results
Result details
Results per page
Select all
Export citation of selected articles as:
14 pages, 743 KB  
Article
Extracts of the Algerian Fungus Phlegmacium herculeum: Chemical Analysis, Antioxidant, Antibacterial, and Cytotoxicity Evaluation
by Roukia Zatout, Stefania Garzoli, Lounis Youcef Khodja, Ouided Abdelaziz, Maria Michela Salvatore, Anna Andolfi, Marco Masi and Alessio Cimmino
J. Fungi 2025, 11(12), 894; https://doi.org/10.3390/jof11120894 - 18 Dec 2025
Viewed by 104
Abstract
This study reports the first molecularly confirmed occurrence of Phlegmacium herculeum in Algeria, identified through morphological features and ITS sequence analysis (GenBank accession: PQ133121). Phytochemical profiling revealed a diverse composition of metabolites. SPME–GC–MS analysis detected volatile aldehydes (butanal, pentanal), organic acids (butanoic, pentanoic), [...] Read more.
This study reports the first molecularly confirmed occurrence of Phlegmacium herculeum in Algeria, identified through morphological features and ITS sequence analysis (GenBank accession: PQ133121). Phytochemical profiling revealed a diverse composition of metabolites. SPME–GC–MS analysis detected volatile aldehydes (butanal, pentanal), organic acids (butanoic, pentanoic), terpenoids (limonene, 1,8-cineole), phenolics, and long-chain alkanes. Furthermore, the macrofungus has been extracted with organic solvents, and the obtained extracts have been analyzed via NMR and GC–MS, revealing the presence of organic acids (lactic, succinic, azelaic), fatty acids (palmitic, linoleic), and phenolic acids (protocatechuic, 4-hydroxybenzoic). DPPH-based analysis indicated that the antioxidant response of the crude extracts strengthened as the dose increased, with the ethyl acetate (EtOAc) extract exhibiting the highest inhibition and lowest IC50, attributed to its rich phenolic content. The chloroform (CHCl3) extract showed moderate activity, consistent with its composition of less polar metabolites such as fatty acids and terpenoids. Antibacterial assays revealed extract-specific effects: CHCl3 strongly inhibited Staphylococcus aureus (18 mm), while EtOAc was more effective against Gram-negative strains, including Escherichia coli (18 mm) and Pseudomonas aeruginosa (13 mm). Cytotoxicity testing using Saccharomyces cerevisiae confirmed that both extracts were non-toxic, maintaining ≥90% cell viability. These findings highlight P. herculeum as a novel source of bioactive metabolites with antioxidant and antibacterial potential. Full article
(This article belongs to the Collection Bioactive Fungal Metabolites)
Show Figures

Graphical abstract

14 pages, 1572 KB  
Article
Comparative Assessment of Microbial Colonization and Tissue Reaction Among Three Suture Materials: A Randomized Controlled Trial
by José Manuel Alarcón Cordovilla, María Victoria Olmedo-Gaya, María Teresa Arias-Moliz, Adela Baca García, David Sánchez-Porras, María Pilar Quesada-García and María Nuria Romero-Olid
Antibiotics 2025, 14(12), 1265; https://doi.org/10.3390/antibiotics14121265 - 15 Dec 2025
Viewed by 127
Abstract
Background: The aim of this study was to evaluate and compare the bacterial colonization, cytotoxicity, immune response, and clinical parameters of three different suture materials: multifilament silk (Silk®), monofilament nylon (Daclon®), and expanded polytetrafluoroethylene monofilament (PTFE®), in [...] Read more.
Background: The aim of this study was to evaluate and compare the bacterial colonization, cytotoxicity, immune response, and clinical parameters of three different suture materials: multifilament silk (Silk®), monofilament nylon (Daclon®), and expanded polytetrafluoroethylene monofilament (PTFE®), in surgical extractions of impacted mandibular third molars. Methods: This randomized controlled clinical trial was conducted on twenty-one patients requiring surgical extraction of an impacted third mandibular molar. A bayonet-shaped flap was sutured using all three materials in each patient. Bacterial cell counting and qPCR were assessed for microbiological analysis. In vitro cytotoxicity was studied with the metabolic activity WST-1 assay. Inflammatory response was evaluated through histological analysis. Clinical parameters—healing, handling, slack, pain, swelling and trimus—were recorded. Statistical significance was set at p ≤ 0.05. Results: Monofilament sutures accumulated fewer bacteria and DNA copies than Silk® (p < 0.05). The WST-1 assay revealed non-cytotoxic effects. Silk® presented an immune response with lymphocyte-like cells. The highest values of pain and inflammation were reached at 48 h, with a significant correlation between them (p < 0.05). Silk and nylon were more manageable than PTFE (p < 0.001), and nylon had less slack (p < 0.001). Conclusions: Silk showed the poorest microbiological and histological performance, with higher levels of bacterial colonization and a more pronounced inflammatory response compared to the other types of suture. Clinically, it offered better handling than PTFE (PTFE®), comparable to nylon (Daclon®), but it exhibited greater slack, which could prove less favorable for wound stability. None of the sutures showed in vitro cytotoxicity. Monofilament sutures, particularly nylon (Daclon®), showed better outcomes, acceptable handling, less bacterial colonization, and a milder inflammatory response. Full article
Show Figures

Figure 1

14 pages, 1971 KB  
Article
Synthesis and In Vitro Evaluation of Anticancer Activity of Fluorophenyl Derivatives of 1,3,4-Thiadiazole Against Estrogen-Dependent Breast Cancer
by Sara Janowska, Anna Makuch-Kocka, Rafał Kurczab, Oleg M. Demchuk and Monika Wujec
Molecules 2025, 30(24), 4744; https://doi.org/10.3390/molecules30244744 - 12 Dec 2025
Viewed by 383
Abstract
Breast cancer remains the most frequently diagnosed malignant tumor among women worldwide, and the limited selectivity as well as the emerging resistance to currently used therapies highlight the need to search for new therapeutic compounds. Aromatase, a key enzyme in the estrogen biosynthesis [...] Read more.
Breast cancer remains the most frequently diagnosed malignant tumor among women worldwide, and the limited selectivity as well as the emerging resistance to currently used therapies highlight the need to search for new therapeutic compounds. Aromatase, a key enzyme in the estrogen biosynthesis pathway, represents a recognized molecular target in the treatment of hormone-dependent cancers. In this study, six new 1,3,4-thiadiazole derivatives containing two halogen-substituted aromatic rings were designed and synthesized as potential nonsteroidal aromatase inhibitors. The cytotoxic activity of the obtained compounds was evaluated against two breast cancer cell lines: MCF-7 (estrogen-dependent) and MDA-MB-231 (estrogen-independent). All tested compounds exhibited concentration-dependent cytotoxic activity against MCF-7 cells, with the strongest effects observed for compounds A2, A3, B1, and B3 (IC50 ≈ 52–55 µM). In contrast, none of the tested compounds showed significant activity against MDA-MB-231 cells (IC50 > 100 µM), suggesting their selectivity toward estrogen-dependent cancer cells. Compound B3, identified as the most promising, was further subjected to in silico analyses. Molecular docking and molecular dynamics simulations revealed that B3 occupies a binding site similar to that of the co-crystallized native inhibitor and forms interactions characteristic of strong aromatase inhibitors. The obtained results confirm a mechanism of action related to aromatase inhibition and indicate that fluorophenyl-substituted 1,3,4-thiadiazole derivatives represent a promising scaffold for the design of new, selective, and less toxic aromatase inhibitors. Full article
(This article belongs to the Special Issue Synthesis of Anticancer Agents for Targeted Therapy)
Show Figures

Figure 1

33 pages, 7053 KB  
Article
New Quinazolin-4(3H)-one Derivatives as Potential Antitumoral Compounds: Synthesis, In Vitro Cytotoxicity Against the HepG2 Cell Line, and In Silico VEGFR-2 Targeting-Based Studies
by Raluca Pele, Gabriel Marc, Brîndușa Tiperciuc, Ioana Ionuț, Anca Stana, Cristina Moldovan, Corina Tatomir, Oana Maria Dragostin, Adrian Pîrnău, Laurian Vlase, Daniel Ungureanu and Ovidiu Oniga
Molecules 2025, 30(24), 4719; https://doi.org/10.3390/molecules30244719 - 9 Dec 2025
Viewed by 283
Abstract
Three new 2,3-disubstituted quinazolin-4(3H)-one derivatives (5ac) were synthesized by the nucleophilic S-alkylation of 2-mercaptoquinazolin-4(3H)-one derivatives (3ac) with 5-(2-bromoacetyl)-2-hydroxybenzamide (4) in alkaline conditions. The final compounds were characterized by [...] Read more.
Three new 2,3-disubstituted quinazolin-4(3H)-one derivatives (5ac) were synthesized by the nucleophilic S-alkylation of 2-mercaptoquinazolin-4(3H)-one derivatives (3ac) with 5-(2-bromoacetyl)-2-hydroxybenzamide (4) in alkaline conditions. The final compounds were characterized by recording the IR, MS, 1H-NMR, and 13C-NMR spectra. The new synthesized compounds 5ac were evaluated in vitro for their cytotoxic activity using one normal cell line, human foreskin fibroblasts (BJ), and one cancerous cell line, derived from human hepatocellular carcinoma (HepG2). Sorafenib was used as a reference. The obtained results from the in vitro examination suggested that compound 5a had lower cytotoxic effects on the BJ cells than the positive standard, and compound 5b exhibited the strongest cytotoxic potential against the HepG2 cell line, being less effective compared to sorafenib. In order to evaluate their pharmacological profiles, the compounds were assessed in vitro and in silico by lipophilicity studies, targeted VEGFR-2 molecular docking, molecular dynamics, and MM-PBSA studies. Additionally, the electronic properties were evaluated by an in silico study of the HOMO and LUMO parameters. Compound 5b exhibited the most interesting pharmacological profile in comparison with the other compounds due to its bulkier substituent from position 3 of the quinazolinone core. Full article
(This article belongs to the Special Issue Synthesis of Bioactive Compounds, 3rd Edition)
Show Figures

Figure 1

18 pages, 3761 KB  
Article
Hexapeptide-Liposome Nanosystem for the Delivery of Endosomal pH Modulator to Treat Acute Lung Injury
by Yuting Ji, Qian Wang, Rujing Lin, Mimi Pang, Liya Sun, Jiameng Gong, Huiqiang Ma, Shan-Yu Fung and Hong Yang
J. Funct. Biomater. 2025, 16(12), 450; https://doi.org/10.3390/jfb16120450 - 1 Dec 2025
Viewed by 525
Abstract
The overactivation of endosomal Toll-like receptor (TLR) in macrophages plays an important role in the pathogenesis of acute lung injury (ALI). There is currently still a lack of nano-formulated and macrophage-targeted endosomal TLR inhibitors that have been approved for clinical uses. We previously [...] Read more.
The overactivation of endosomal Toll-like receptor (TLR) in macrophages plays an important role in the pathogenesis of acute lung injury (ALI). There is currently still a lack of nano-formulated and macrophage-targeted endosomal TLR inhibitors that have been approved for clinical uses. We previously discovered that the elevation of endosomal pH using nanodevices provides a promising strategy to specifically inhibit endosomal TLRs in macrophages. The weakly basic drug hydroxychloroquine (HCQ) has been reported for its capability to accumulate in endolysosomes and modulate the acidity in these compartments. To enhance its macrophage-targeting ability and the therapeutic efficacy in vivo, herein we formulated HCQ into a nanoform using liposomes, named HCQ-L. We found that HCQ-L was less cytotoxic and more effective in inhibiting endosomal TLRs (including TLR3, TLR4, TLR 7/8) than the molecular HCQ. Subsequently, a hexapeptide, Pep12, was inserted onto the surface of HCQ-L to form HCQ-L-P12. Interestingly, Pep12 modification significantly improved the stability of liposomes in aqueous solution for at least 2 years; while having enhanced inhibitory effects on TLR7/8 signaling, HCQ-L-P12 displayed similar effects on inhibiting the TLR4 pathway and down-stream pro-inflammatory cytokine production when compared with HCQ-L. Furthermore, both HCQ nanoformulations potently elevated the endosomal pH. In vivo evaluation showed that HCQ-L-P12 and HCQ-L (but not molecular HCQ) were able to alleviate lung inflammation and injuries by decreasing inflammatory cell infiltration upon intratracheal instillation in a lipopolysaccharide (LPS)-induced acute lung injury (ALI) mouse model. This research provides a new strategy to fabricate lipid-based nanocarriers for targeted delivery of endosomal pH modulators to treat ALI and other acute and chronic inflammatory disorders. Full article
(This article belongs to the Special Issue Nanomaterials for Drug Delivery Systems)
Show Figures

Graphical abstract

19 pages, 3290 KB  
Article
Amphiphilic Poly(N-vinylpyrrolidone) Biocomposites with Bortezomib and DR5-Selective TRAIL Variants: A Promising Approach to Pancreatic Cancer Treatment
by Ekaterina Kukovyakina, Alina A. Isakova, Dmitry Bagrov, Marine Gasparian, Andrey Kuskov and Anne Yagolovich
Int. J. Mol. Sci. 2025, 26(23), 11620; https://doi.org/10.3390/ijms262311620 - 30 Nov 2025
Viewed by 314
Abstract
A promising strategy for pancreatic cancer therapy involves developing nanocarriers capable of simultaneously delivering various antitumor substances with diverse physicochemical properties, often resulting in synergistic effects. In the present work, novel biocomposites were developed using amphiphilic N-vinylpyrrolidone polymer incorporating bortezomib (BTZ) and modified [...] Read more.
A promising strategy for pancreatic cancer therapy involves developing nanocarriers capable of simultaneously delivering various antitumor substances with diverse physicochemical properties, often resulting in synergistic effects. In the present work, novel biocomposites were developed using amphiphilic N-vinylpyrrolidone polymer incorporating bortezomib (BTZ) and modified with either the DR5-selective TRAIL cytokine (DR5-B) or its fusion with the iRGD effector peptide (DR5-B-iRGD), resulting in AmphPVP-BTZ-DR5-B and AmphPVP-BTZ-DR5-B-iRGD formulations. The release of BTZ was most extensive at acidic pH 5.6, mimicking endolysosomal compartments, while at near-neutral pH 7.4 and alkaline pH 8.2 the release was slower and less complete, indicating a smart pH-responsive behavior suitable for triggered release in the tumor microenvironment. Both AmphPVP-BTZ-DR5-B and AmphPVP-BTZ-DR5-B-iRGD significantly inhibited the growth of pancreatic adenocarcinoma cell lines PANC-1, BxPC-3, and MIA PaCa-2 and induced more rapid internalization of the DR5 receptor in MIA PaCa-2 cells than unmodified particles and free DR5-B or DR5-B-iRGD. Importantly, AmphPVP-BTZ-DR5-B-iRGD exhibited a more pronounced DR5 internalization rate and cytotoxic effect than AmphPVP-BTZ-DR5-B owing to the presence of fusion protein with internalizing iRGD peptide. Both biocomposites induced cell death via the apoptotic pathway while exhibiting minimal cytotoxic effects on healthy cells. Therefore, biocomposites incorporating BTZ and functionalized with DR5-selective TRAIL variants DR5-B or DR5-B-iRGD represent a promising avenue for future studies in pancreatic cancer animal models. Full article
Show Figures

Figure 1

13 pages, 1835 KB  
Article
Thykamine™: A New Player in the Field of Anti-Inflammatory Drugs
by Charles Lynde, Louis Flamand, Vincent McCarty and John Sampalis
Biomedicines 2025, 13(12), 2938; https://doi.org/10.3390/biomedicines13122938 - 29 Nov 2025
Viewed by 574
Abstract
Background/Objectives: Persistent inflammation driven by cytokines/chemokines plays a crucial role in the pathogenesis of numerous chronic inflammatory and autoimmune conditions, including rheumatoid arthritis, atopic dermatitis, and ulcerative colitis. Current therapeutic agents often present limitations due to adverse effects. Thykamine™, a new plant-derived [...] Read more.
Background/Objectives: Persistent inflammation driven by cytokines/chemokines plays a crucial role in the pathogenesis of numerous chronic inflammatory and autoimmune conditions, including rheumatoid arthritis, atopic dermatitis, and ulcerative colitis. Current therapeutic agents often present limitations due to adverse effects. Thykamine™, a new plant-derived multi-target drug, has demonstrated promising anti-inflammatory effects and a favorable safety profile in clinical settings. This study aimed to compare the in vitro chemokine-inhibitory potency of Thykamine™, a novel plant-derived anti-inflammatory compound, with that of six marketed corticosteroid and non-steroidal agents. Methods: This study compared the in vitro potency of Thykamine™ against widely prescribed anti-inflammatory agents, including corticosteroids (betamethasone, clobetasol, hydrocortisone, prednisone) and non-steroidal therapies (crisaborole, pimecrolimus). Potency was assessed by measuring the inhibition of key pro-inflammatory chemokines: MCP-1, MIP-1α, MIP-1β, and RANTES in lipopolysaccharide-stimulated U937 cells. Results: Area-under-the-curve (AUC) analyses confirmed that Thykamine™ inhibited secretion of the chemokines MCP-1, MIP-1α, and MIP-1β with significantly greater potency than all other agents tested. Thykamine™ also suppressed secretion of RANTES similarly to prednisone and significantly more than betamethasone, clobetasol, hydrocortisone, and pimecrolimus but less than crisaborole due to crisaborole’s elevated potency when administered at high concentration. Conclusions: Overall, Thykamine™ showed significantly greater or comparable inhibitory potency, particularly at lower concentrations, without evidence of cytotoxicity. These findings underscore the potential of Thykamine™ as a potent, multi-target anti-inflammatory therapy, which could offer substantial clinical advantages by effectively controlling chemokine-mediated inflammation with potentially fewer adverse effects. The results of this study support the need for evaluation of the clinical therapeutic efficacy of Thykamine™ in a wide range of autoimmune conditions. Full article
(This article belongs to the Special Issue Advances in Pharmacology of Pain and Inflammation)
Show Figures

Figure 1

18 pages, 3189 KB  
Article
Creatine Kinase Blockade Disrupts Energy Metabolism and Redox Homeostasis to Suppress Osteosarcoma Progression
by Shingo Kishi, Rika Sasaki, Rina Fujiwara-Tani, Hitoshi Ohmori, Yi Luo, Kiyomu Fujii, Takamitsu Sasaki, Kei Goto, Yoshihiro Miyagawa, Isao Kawahara, Ryoichi Nishida, Shota Nukaga, Yukiko Nishiguchi, Ruiko Ogata, Kanya Honoki and Hiroki Kuniyasu
Int. J. Mol. Sci. 2025, 26(23), 11555; https://doi.org/10.3390/ijms262311555 - 28 Nov 2025
Viewed by 412
Abstract
Osteosarcoma is the most common primary malignant bone tumor in adolescents and young adults; yet survival outcomes have remained stagnated for decades, underscoring the urgent need for new therapeutic strategies. Creatine kinase (CK)—comprising cytosolic CKB and mitochondrial CK—maintains malignant behaviors by supporting high-energy [...] Read more.
Osteosarcoma is the most common primary malignant bone tumor in adolescents and young adults; yet survival outcomes have remained stagnated for decades, underscoring the urgent need for new therapeutic strategies. Creatine kinase (CK)—comprising cytosolic CKB and mitochondrial CK—maintains malignant behaviors by supporting high-energy phosphate transfer through the phosphocreatine (pCr) shuttle. Here, we pharmacologically inhibited CK activity in osteosarcoma models and evaluated proliferation, cell death modalities, mitochondrial function, stemness, motility, and tumor behavior. CK blockade consistently suppressed growth and clonogenicity and induced apoptosis as the predominant mode of death. It impaired ATP buffering capacity and disturbed mitochondrial homeostasis, accompanied by reduced expression of stemness-associated markers and diminished migration and invasion. In mouse models, CK inhibition significantly restrained tumor progression and dissemination. These results indicate that disabling the CK-pCr energy-buffering system reprograms cellular energetics toward apoptosis and less aggressive phenotypes. Our findings support targeting the CK pathway as a tractable metabolic vulnerability and a rational partner for cytotoxic regimens, with pathway-specific signaling alterations representing downstream consequences of central energetic collapse. Full article
(This article belongs to the Special Issue Molecular Insights into Heredity and Metabolism of Osteosarcoma)
Show Figures

Figure 1

20 pages, 2765 KB  
Article
Unveiling the Cytotoxicity Potential of Nanoemulsion of Peltophorum pterocarpum Extract: A Natural Hemocompatible Injection Competing with Doxorubicin
by Al Zahraa G. Al Ashmawy, Afaf E. AbdelGhani, Wafaa H. B. Hassan, Fatma O. El Weshahy, Wael M. Abdelmageed, Shaza M. Al-Massarani, Omer A. Basudan, Aalaa Gamil and May Ahmed El-Sayed
Pharmaceuticals 2025, 18(12), 1818; https://doi.org/10.3390/ph18121818 - 28 Nov 2025
Viewed by 270
Abstract
Background/Objectives: According to the WHO, more than one million deaths of liver cancer patients will occur in 2030. Hepatocellular carcinoma (HCC) is the third leading cause of death among all cancer types. Doxorubicin is commonly used for the treatment of HCC, yet [...] Read more.
Background/Objectives: According to the WHO, more than one million deaths of liver cancer patients will occur in 2030. Hepatocellular carcinoma (HCC) is the third leading cause of death among all cancer types. Doxorubicin is commonly used for the treatment of HCC, yet it possesses major side effects. The aim of this work was to formulate a nanoemulsion of Peltophorum pterocarpum extract containing bergenin intended for intravenous injection as a natural alternative to doxorubicin. Methods: The saturation solubility of the extract in different oils, surfactants, and co-surfactants was determined. Surfactant to co-surfactant mixtures (Smix) were used at six different weight ratios. A pseudoternary phase diagram was constructed, and the ratio with the highest area was chosen. Six formulations were prepared by changing the oil-to-Smix ratio. They were evaluated by percentage transmission, dilution test, self-emulsification, pH, viscosity, drug content, droplet size, PDI, zeta potential, TEM, in vitro drug release, stability, in vitro hemolysis percentage, and cytotoxicity (for the optimized formula). Results: F6 of oil-to-Smix ratio (1:6) was chosen for further investigations, as it possesses the lowest droplet size, the highest zeta potential, drug content, and in vitro drug release. The pH, viscosity, and self-emulsification time of F6 were also acceptable. F6 possesses shelf-life stability and is hemocompatible. It possesses high cytotoxicity against the HepG-2 cell line (IC50 = 14.19 µg/mL). Conclusions: Although the nanoemulsion is less potent than doxorubicin in terms of IC50, it offers a safer profile and natural origin, which may be used for the treatment of HCC. Full article
(This article belongs to the Special Issue Anticancer Compounds in Medicinal Plants—4th Edition)
Show Figures

Figure 1

19 pages, 1568 KB  
Article
Anti-Cancer Outcome of Glucocorticoid Receptor Transrepression by Synephrine Derivatives in Hematological Malignancies
by Ekaterina M. Zhidkova, Ekaterina D. Savina, Daria V. Migaleva, Olga A. Vlasova, Timur T. Valiev, Adel D. Enikeev, Gennadii A. Badun, Maria G. Chernysheva, Svetlana A. Dodonova, Alexey A. Kryukov, Pavel A. Kusov, Kirill V. Gordeev, Ekaterina A. Yurchenko, Andrey V. Matveev, Marianna G. Yakubovskaya and Ekaterina A. Lesovaya
Int. J. Mol. Sci. 2025, 26(23), 11404; https://doi.org/10.3390/ijms262311404 - 25 Nov 2025
Viewed by 358
Abstract
Glucocorticoids (GCs) represent effective anti-cancer drugs for the treatment of hematological malignancies, but their clinical use is limited due to their multiple adverse effects. Selective glucocorticoid receptor agonists/modulators (SEGRAMs) modify glucocorticoid receptor (GR) function, shifting it towards therapeutically important transrepression and, therefore, could [...] Read more.
Glucocorticoids (GCs) represent effective anti-cancer drugs for the treatment of hematological malignancies, but their clinical use is limited due to their multiple adverse effects. Selective glucocorticoid receptor agonists/modulators (SEGRAMs) modify glucocorticoid receptor (GR) function, shifting it towards therapeutically important transrepression and, therefore, could be safer alternative to GCs. Here we report on the biological activity of four novel glucocorticoid receptor (GR) ligands, derivatives of synephrine, a natural-origin molecule. We demonstrated the affinity of synephrine derivatives in silico and in vitro by molecular dynamics simulation and radioligand binding assay, correspondingly. Further, we tested the induction of apoptosis in cultured cells and cytotoxic effects in primary lymphoblasts from patients with acute lymphoblastic leukemia. Therapeutically important GR transrepression was evaluated by luciferase reporter assay and Q-PCR of transrepression marker genes, while GR transactivation associated with side effects was evaluated by Q-PCR analysis and by the level of GR phosphorylation at Ser211. Anti-cancer effects of the leader compound, 1-[4-(benzyloxy)phenyl]-2-(hexylamino)ethanol (10S-E2), were studied using a murine transplantable lymphoma P388 model. The potential of 10S-E2 to prevent the development of atrophic complication was evaluated using a murine model of glucocorticoid-induced osteoporosis. All studied synephrine derivatives demonstrated high GR affinity, with the IC50 value of the most active derivative 10S-E2 being 0.56 µM; the effects on GR function were cell-type-specific. The leader compound, 10S-E2, revealed SEGRAM properties in vitro and demonstrated anti-cancer effects in vivo, inhibiting tumor growth by more than 60%. Although the anti-cancer effect of 10S-E2 was less pronounced than that of the reference drug dexamethasone, non-atrophogenic properties of 10S-E2 make this molecule an attractive candidate for long-term GR-associated therapies. Full article
(This article belongs to the Section Molecular Oncology)
Show Figures

Figure 1

12 pages, 1002 KB  
Article
Proliferative Effect of Proanthocyanidins on HGF-1 and HPDLF Cells: An In Vitro Study
by Evelina Alkimavičienė, Nomeda Basevičienė, Arvydas Strazdauskas, Rasa Banienė and Nijolė Savickienė
Medicina 2025, 61(12), 2098; https://doi.org/10.3390/medicina61122098 - 25 Nov 2025
Viewed by 198
Abstract
Background and Objectives: The use of proanthocyanidins (PACNs) alongside standard periodontal treatment procedures can improve periodontal and peri-implant tissue healing. The present study aimed to evaluate the effect of different concentrations of Pelargonium sidoides root extract (PSRE) on periodontal tissue proliferation in comparison [...] Read more.
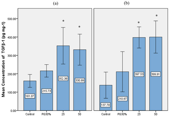
Background and Objectives: The use of proanthocyanidins (PACNs) alongside standard periodontal treatment procedures can improve periodontal and peri-implant tissue healing. The present study aimed to evaluate the effect of different concentrations of Pelargonium sidoides root extract (PSRE) on periodontal tissue proliferation in comparison with chlorhexidine digluconate (CHX). Materials and Methods: A cell culture study was performed using human gingival fibroblast (HGF-1) and human periodontal ligament fibroblast (HPDLF) lines. The HGF-1 cell line was exposed to CHX (the gold standard treatment in periodontal diseases) and PSRE at concentrations of up to 800 μg/mL, which were compared with negative controls. HGF-1 viability and proliferation were evaluated using fluorescence tests and the PrestoBlue assay, respectively. In addition, the cell proliferation induction ability of PSRE was evaluated by treating HGF-1 and HPDLF cells with PSRE at 25 and 50 μg/mL concentrations and measuring the TGFβ-1 levels using TGFβ-1 ELISA. Results: When comparing the effects of the 25 μg/mL PSRE treatment to the control, a statistically significant difference in HGF-1 cell growth was observed (0.297 ± 0.048 (mean ± SE) and 0.203 ± 0.01, respectively; p = 0.006). The strongest cytotoxic effect on HGF-1 cells was observed with CHX (0.007 ± 0.006, p < 0.001 vs. control). The HGF-1 and HPDLF cells showed statistically significant increases in TGFβ-1 levels when treated with PSRE at 25 and 50 μg/mL compared with the control (352.38 ± 31.32 (mean ± SE) and 330.99 ± 26.53 versus 161.07 ± 15.11 in HGF-1 cells; 397.53 ± 18.1 and 399.91 ± 27.61 versus 137.7 ± 16.54 in HPDLF cells, p < 0.001). Additionally, no negative effects were detected at low PSRE concentrations (less than 100 μg/mL). Conclusions: The results of this study suggested that PACNs may promote HGF-1 and HPDLF cell proliferation. In contrast, CHX showed cytotoxic effects. Full article
(This article belongs to the Section Dentistry and Oral Health)
Show Figures

Figure 1

34 pages, 10503 KB  
Article
Polymeric Nanoparticles with Surface-Anchored Functional Groups as Chelating Agents for Calcium (Ca2+) and Magnesium (Mg2+) Ions to Inhibit Cellular Interactions
by Lazaro Ruiz-Virgen, Juan Luis Salazar-García, Ismael Arturo Garduño-Wilches, Marlon Rojas-López, Gabriela Martínez-Mejía, Rubén Caro-Briones, Nadia A. Vázquez-Torres, Andrés Castell-Rodríguez, Hugo Martínez-Gutiérrez, José Manuel del Río and Mónica Corea
Pharmaceuticals 2025, 18(12), 1774; https://doi.org/10.3390/ph18121774 - 21 Nov 2025
Viewed by 547
Abstract
Background: Cancer therapeutics development has been a challenge in medical and scientific areas due to their toxicity, limited biocompatibility, and unfortunate side effects. However, despite advances in early detection and the study of novel treatments, the mortality rate for breast cancer remains high, [...] Read more.
Background: Cancer therapeutics development has been a challenge in medical and scientific areas due to their toxicity, limited biocompatibility, and unfortunate side effects. However, despite advances in early detection and the study of novel treatments, the mortality rate for breast cancer remains high, making it a significant global health concern. Objectives: In this study, poly(methyl methacrylate) (PMMA) nanoparticles functionalized with acrylic acid (AA), fumaramide (FA), and curcumin (CUR) as chelating and inhibitor agents were synthesized by emulsion polymerization techniques. Methods and Results: Comprehensive physiochemical characterization studies based on gravimetry, dynamic light scattering (DLS), electrophoresis, Fourier transform infrared (FT-IR), ultraviolet–visible (UV–Vis) and photoluminescence (PL) spectroscopy, X-ray diffraction (XRD), and scanning electron microscopy (SEM) revealed a pH dependence of nanoparticles that exhibit structural changes upon interaction with calcium (Ca2+) and magnesium (Mg2+) ions. Calorimetric thermodynamic properties measured by isothermal titration calorimetry (ITC) confirmed chelating coordination and positive cooperativity between the nanoparticles and metal ions. In vitro studies showed the low cytotoxicity of nanoparticles by fibroblast proliferation, and their chelation process was observed by fluorescence microscopy, with the loss of interaction between cells. Conclusions: These results suggest that the functionalized nanoparticles have potential in drug delivery systems (DDS) for targeted breast cancer therapies, providing a promising polymer material for more efficient and less toxic treatments. Full article
Show Figures

Graphical abstract

21 pages, 2517 KB  
Article
Anticancer Potential of Fisetin Against Glioblastoma: In Vitro Evaluation, Radiostability Assessment, and Preliminary PLGA Encapsulation
by Agnieszka Sobczak, Katarzyna Dominiak, Bartłomiej Sztenc, Barbara Jadach, Aneta Woźniak-Braszak, Mikołaj Baranowski, Paweł Bilski, Aleksandra Majchrzak-Celińska, Violetta Krajka-Kuźniak, Anna Jelińska, Maciej Stawny and Aleksandra Gostyńska-Stawna
Polymers 2025, 17(22), 3074; https://doi.org/10.3390/polym17223074 - 20 Nov 2025
Viewed by 485
Abstract
(1) Background: Glioblastoma is the most common and aggressive primary brain tumor in adults, with a median survival time for patients treated with standard chemotherapy often of less than 1 year. Potential anticancer activity against glioblastoma is demonstrated by flavonoids, including fisetin (FIS). [...] Read more.
(1) Background: Glioblastoma is the most common and aggressive primary brain tumor in adults, with a median survival time for patients treated with standard chemotherapy often of less than 1 year. Potential anticancer activity against glioblastoma is demonstrated by flavonoids, including fisetin (FIS). Although, its clinical application is limited by poor solubility and chemical instability. This study aimed to conduct a preliminary evaluation of fisetin’s suitability for intravenous delivery by developing and characterizing FIS-loaded poly(lactic-co-glycolic acid) nanoparticles (FIS-PLGA-NPs) and assessing their in vitro cytotoxic potential against glioblastoma. (2) Methods: Six FIS-PLGA nanoparticle formulations were prepared via the emulsification–solvent evaporation method and evaluated for key physicochemical properties. The biological activity of fisetin was examined through cell cycle analysis and apoptosis assays, and the most promising formulation was further assessed using an MTT assay in U-138 MG glioblastoma cells. In parallel, pure fisetin was exposed to ionizing radiation, including the standard sterilization dose of 25 kGy, to evaluate its structural stability and suitability for terminal sterilization approaches. (3) Results: The selected formulation (NP4) exhibited a mean particle size of approximately 330 nm, a zeta potential of −7.2 mV, a polydispersity index of 0.25, and high encapsulation efficiency and drug loading of 83.58% and 13.93%, respectively. Despite its preliminary nature, this formulation retained cytotoxic activity in vitro. Moreover, pure fisetin maintained its structural and chemical integrity following radiation exposure, supporting the feasibility of radiation sterilization prior to nanoparticle incorporation. (4) Conclusions: These findings confirm the feasibility of combining radiosterilizable fisetin with PLGA-based nanoencapsulation and provide an initial foundation for the development of an injectable fisetin delivery system for glioblastoma treatment. Further optimization, particularly surface modification, will be required to enhance colloidal stability and systemic performance. Full article
(This article belongs to the Special Issue Recent Advances in Polymer-Based Drug Delivery Systems: 2nd Edition)
Show Figures

Figure 1

25 pages, 5537 KB  
Article
Targeting Prostate Cancer Cells Using Anti-Sortilin and Anti-Syndecan-1 Antibody Drug Conjugates
by Ka Lok Li, Shane M. Hickey, Hugo Albrecht, Jessica M. Logan, Joanna Lazniewska, Courtney R. Moore, Robert D. Brooks, Ian R. D. Johnson, John J. O’Leary and Douglas A. Brooks
Int. J. Mol. Sci. 2025, 26(22), 11145; https://doi.org/10.3390/ijms262211145 - 18 Nov 2025
Viewed by 640
Abstract
Prostate cancer tissue usually involves either well formed glands, poorly formed glands or a combination of the two morphologies, which can be correlated with metabolic differences and tumor heterogeneity. This is particularly important for metastatic castration-resistant prostate cancer, where the heterogeneity and metabolic [...] Read more.
Prostate cancer tissue usually involves either well formed glands, poorly formed glands or a combination of the two morphologies, which can be correlated with metabolic differences and tumor heterogeneity. This is particularly important for metastatic castration-resistant prostate cancer, where the heterogeneity and metabolic changes drive cancer progression and treatment refractory properties. Sortilin and syndecan-1 expression accurately define the two different morphologies in prostate cancer tissue, are critical to the process of metabolic regulation, and exhibit mechanistic/functional interactions during prostate cancer progression. As trans-membrane proteins that recycle from endocytic compartments to the cell surface, sortilin and syndecan-1 are attractive targets for therapeutic intervention that address the two major forms of prostate cancer. In this study, we describe an antibody-drug conjugate (ADC) strategy that utilizes monoclonal antibodies which bind to specific extracellular domains of these integral membrane proteins to elicit anticancer activity in prostate cancer cell lines. Anti-sortilin (clone 11H8) and anti-syndecan-1 (clone 6D11) monoclonal antibodies demonstrated high specificity for epitopes on the extracellular, N-terminal domains of these respective proteins and were effectively internalized into prostate cancer cell endocytic compartments. Monomethyl aurastatin E (MMAE)-conjugated ADCs exhibited low nanomolar cytotoxicity in LNCaP and PC-3 prostate cancer cells. Mechanistically, 11H8-MMAE and 6D11-MMAE triggered cytotoxicity and morphological alterations in androgen-sensitive and androgen-insensitive cells. However, the uptake of fluorescent labelled 11H8 and 6D11 antibodies appeared to be high, whereas the killing capacity of the MMAE-conjugated antibodies was less impressive, suggesting the need for further ADC development. These promising proof-of-concept ADCs are designed to exploit molecular and metabolic vulnerabilities in prostate cancer and may have utility for overcoming treatment resistance by simultaneously targeting different forms of the cancer. Full article
Show Figures

Figure 1

14 pages, 286 KB  
Article
Assessment of Kir Genes in the Venezuelan Ad-Mixed Population with Either Idiopathic Recurrent Pregnancy Loss or Unexplained Infertility
by Jenny Valentina Garmendia, Isaac Blanca and Juan Bautista De Sanctis
Immuno 2025, 5(4), 55; https://doi.org/10.3390/immuno5040055 - 13 Nov 2025
Viewed by 378
Abstract
Killer-cell immunoglobulin-like receptors (KIRs) play a crucial role in the cytotoxic activity of natural killer (NK) cells, encompassing both inhibitory and activating types. A higher ratio of cytotoxic to inhibitory receptors may harm successful pregnancies by disrupting the uterine environment. Ongoing debates surround [...] Read more.
Killer-cell immunoglobulin-like receptors (KIRs) play a crucial role in the cytotoxic activity of natural killer (NK) cells, encompassing both inhibitory and activating types. A higher ratio of cytotoxic to inhibitory receptors may harm successful pregnancies by disrupting the uterine environment. Ongoing debates surround the impact of KIR gene variations on recurrent pregnancy loss (RPL) and infertility across populations. This study aimed to explore KIR gene polymorphisms in RPL and infertility among the Venezuelan admixed population. The Venezuelan population exhibits a genetic mix of Caucasian, African, and local Amerindian ancestry, distinguishing it from other Latin American admixed populations. This study included 100 controls and 86 patients: 73 women with idiopathic RPL (53 primary and 20 secondary) and 13 infertile patients (4 primary and 9 secondary). The frequency of activating receptors KIR2DS2 and KIR2DS3 was significantly lower (p < 0.05) in the whole patient group compared to controls. However, when analyzing the haplotypes and genotypes, the significance between patients and controls was lost. When comparing RPL and infertile patients, KIR2DS2, KIR2DL3, 2DL5, and 3DL1 were significantly less frequent in infertile women. In infertile women, KIR2DS3 frequency was increased compared to controls and RPL. The results suggest that the frequency of inhibitory receptors may differentiate patients with RPL and infertility. Further studies should ascertain the expression and function of KIRs in uterine NK cells in patients with RPL and infertility. Full article
(This article belongs to the Section Reproductive Immunology)
Back to TopTop