Next Article in Journal
Artificial Intelligence in Cardiopulmonary Resuscitation
Previous Article in Journal
Acute Exacerbation of Interstitial Lung Disease: Early Diagnosis and Treatment
 
 
Font Type:
Arial Georgia Verdana
Font Size:
Aa Aa Aa
Line Spacing:
Column Width:
Background:
Article

Proliferative Effect of Proanthocyanidins on HGF-1 and HPDLF Cells: An In Vitro Study

by
Evelina Alkimavičienė
1,*,
Nomeda Basevičienė
1,
Arvydas Strazdauskas
2,
Rasa Banienė
2 and
Nijolė Savickienė
3
1
Department of Dental and Oral Pathology, Lithuanian University of Health Sciences, 44307 Kaunas, Lithuania
2
Department of Biochemistry, Medical Academy, Lithuanian University of Health Sciences, 44307 Kaunas, Lithuania
3
Department of Pharmacognosy, Medical Academy, Lithuanian University of Health Sciences, 44307 Kaunas, Lithuania
*
Author to whom correspondence should be addressed.
Medicina 2025, 61(12), 2098; https://doi.org/10.3390/medicina61122098
Submission received: 6 October 2025 / Revised: 5 November 2025 / Accepted: 24 November 2025 / Published: 25 November 2025
(This article belongs to the Section Dentistry and Oral Health)

Abstract

Background and Objectives: The use of proanthocyanidins (PACNs) alongside standard periodontal treatment procedures can improve periodontal and peri-implant tissue healing. The present study aimed to evaluate the effect of different concentrations of Pelargonium sidoides root extract (PSRE) on periodontal tissue proliferation in comparison with chlorhexidine digluconate (CHX). Materials and Methods: A cell culture study was performed using human gingival fibroblast (HGF-1) and human periodontal ligament fibroblast (HPDLF) lines. The HGF-1 cell line was exposed to CHX (the gold standard treatment in periodontal diseases) and PSRE at concentrations of up to 800 μg/mL, which were compared with negative controls. HGF-1 viability and proliferation were evaluated using fluorescence tests and the PrestoBlue assay, respectively. In addition, the cell proliferation induction ability of PSRE was evaluated by treating HGF-1 and HPDLF cells with PSRE at 25 and 50 μg/mL concentrations and measuring the TGFβ-1 levels using TGFβ-1 ELISA. Results: When comparing the effects of the 25 μg/mL PSRE treatment to the control, a statistically significant difference in HGF-1 cell growth was observed (0.297 ± 0.048 (mean ± SE) and 0.203 ± 0.01, respectively; p = 0.006). The strongest cytotoxic effect on HGF-1 cells was observed with CHX (0.007 ± 0.006, p < 0.001 vs. control). The HGF-1 and HPDLF cells showed statistically significant increases in TGFβ-1 levels when treated with PSRE at 25 and 50 μg/mL compared with the control (352.38 ± 31.32 (mean ± SE) and 330.99 ± 26.53 versus 161.07 ± 15.11 in HGF-1 cells; 397.53 ± 18.1 and 399.91 ± 27.61 versus 137.7 ± 16.54 in HPDLF cells, p < 0.001). Additionally, no negative effects were detected at low PSRE concentrations (less than 100 μg/mL). Conclusions: The results of this study suggested that PACNs may promote HGF-1 and HPDLF cell proliferation. In contrast, CHX showed cytotoxic effects.

1. Introduction

Proanthocyanidins (PACNs), a group of plant-based flavonoids, are well-known for a wide variety of beneficial biological properties, including maintaining periodontal and peri-implant health [1,2]. PACNs are found in different plant parts, including the fruits, leaves, roots, and seeds. The chemical structure of PACNs depends on the plant species [3]. This study focused on Pelargonium sidoides root extract (PSRE), in which, PACNs are the main components and are responsible for the extract’s effects [4].
Investigation of PSRE is an ongoing project of our research team, and we have published several studies on PSRE [5,6,7] showing that PSRE has a unique antibacterial property that selectively targets periodontal and peri-implant pathogenic strains, such as Porphyromonas gingivalis, while preserving the beneficial oral commensal strain Streptococcus salivarius [5]. This specific feature may be useful in the treatment of periodontal and peri-implant diseases. Therefore, the current study focused on PSRE as a source of PACNs.
The specific phytochemical profile of PACNs influences their biological effects. Since PACNs are oligomeric flavonoids, formed during the polymerization of flavan-3-ol monomers (catechin, epicatechin, etc.), the exact structure of the PACN depends on the type of flavan-3-ol, the degree of polymerization, the spatial configuration, etc. [3]. The type and location of structural units may affect their antioxidative capacities, stability, and bioavailability: different compositions may have differing efficacies in scavenging free radicals [8]. The degree of polymerization can have an impact on biological activity: short-chain PACNs are rapidly absorbed in the gastrointestinal tract while long-chain PACNs show strong anti-inflammatory effects [9,10]. Moreover, the positioning of hydroxyl groups in PACNs can influence their ability to neutralize reactive oxygen species, affecting their overall antioxidant capacity [11]. In addition, the hydroxyl groups form hydrogen bonds with other molecules, thereby modulating the activity of NF-κB and other signaling pathways that are responsible for the synthesis of proinflammatory mediators [12]. PACNs have different structural modifications (e.g., esterification) that can change their biological properties and activities [13]. Differences in their structures have significant effects on their ability to bind to specific receptors, which in turn impacts their activity on cells and tissues and general effectiveness. Overall, the specific phytochemical profile of PACNs directly impacts their biological activities (e.g., antioxidative and anti-inflammatory effects). Therefore, understanding these details is crucial for their therapeutic application.
The anti-inflammatory [14,15], antibacterial [16], and antioxidative properties [17,18,19] of PACNs are well established. Studies have shown that PACNs can decrease alveolar bone loss [2,20,21], inhibit collagen destruction [22,23], increase bone regeneration [24,25,26], and promote the osseointegration of dental implants [27]. These capacities are crucial to enhancing the healing process and stimulating periodontal tissue formation to promote periodontal and peri-implant tissue regeneration.
The current study focused on the ability of PSRE to induce the proliferation of HGF-1 and HPDLF cells through analyzing TGFβ-1 (transforming growth factor beta 1) levels using ELISA. TGFβ-1 is a growth factor that is involved in periodontal ligament cell regeneration [28,29,30] and plays a significant role in regulating fibroblast proliferation and differentiation and promoting extracellular matrix formation and collagen synthesis, which are critical for periodontal health. This growth factor is released into healing wounds (especially in the oral cavity) to stimulate several types of cells (fibroblast and osteoblasts) to proliferate [31].
To the authors’ knowledge, no in vitro study has been performed to evaluate the proliferative effect of PACNs from PSRE on human oral fibroblasts (human gingival and periodontal ligament fibroblasts). Thus, this study explored the ability of PSRE to induce proliferation of these cells.

2. Materials and Methods

2.1. Proanthocyanidin-Rich Material

Commercially available PSRE (Frutarom Switzerland Ltd., Rutiwisstrasse 7 CH-8820 Wadenswil, batch No. 0410100, Reinach, Switzerland) was diluted with a 30% polyethylene glycol solution. PSRE stock solutions were freshly prepared for each assay.

2.2. Cell Culture and Growth Conditions

Commercially available HGF-1 and HPDLF cell lines were obtained from the American Type Culture Collection (Manassas, VA, USA) and cultured according to their recommendations. The cells were grown in Dulbecco’s modified Eagle Medium supplemented with 10% fetal bovine serum and a 1% penicillin–streptomycin solution in an incubator (temperature of 37 °C, 5% CO2). The cells were seeded into 96-well plates (5000 cells per well). All assays were conducted using the same cell batches.

2.3. Evaluation of Cell Viability and Cytotoxicity of PSRE

The half-maximum inhibitory concentration (IC50) of PSRE was determined. The IC50 is the concentration at which 50% of the cells die. PSRE’s ability to inhibit biological and biochemical functions was analyzed. PSRE (dissolved in a 30% polyethylene glycol solution) was diluted in cell culture medium to concentrations of 25, 50, 100, 200, 240, 280, 320, 400, and 800 µg/mL and filtered through a 0,22 µm syringe filter. Cells were incubated with different concentrations of the extract for 24 h and then cell viability was assessed using the fluorescence microscopy method.
Cell nuclei were stained with the fluorescent dyes bisbenzinimide H33342 trichloride (Hoechst 33342) and propidium iodide (PJ). The cell membrane is permeable to Hoechst 33342, allowing it to stain the nuclei of viable and apoptotic cells, which then glow blue. The staining of the nuclei of viable cells is homogeneous and has smooth edges, while the stained nuclei of apoptotic cells are condensed and/or fragmented and glow an intense blue. The cell membrane is not permeable to PJ; therefore, only the nuclei of necrotic cells are stained with it and glow red. The cell cultures were incubated with 20 µg/mL Hoechst 33342 and 10 µg/mL PJ for 15 min. The samples were fixed with 4% paraformaldehyde for 10 min at room temperature to preserve the cell structures for microscopy.
Images of five random fields were captured using a Olympus IX71S1F-3 fluorescent microscope (Olympus Corporation, Tokyo, Japan) under 200× magnification. Viable, apoptotic, and necrotic cells were counted using Image J 1.53k software, and the average in five fields was recorded. Cell viability was expressed as a percentage of viable, apoptotic, and necrotic cells out of the total number of cells.

2.4. Analysis of Cellular Effects of PSRE and Chlorhexidine on HGF-1 Cells

The effects of PSRE and a 0.12% chlorhexidine digluconate solution (CHX) on the HGF-1 cell line were analyzed. The concentrations of PSRE used were lower than its IC50: 25, 50, 100, 200, and 240 µg/mL. The 0.12% chlorhexidine solution was prepared with the culture medium and filtered the same way as the PACN solution. The results were compared with two negative controls: growth medium (Dulbecco’s modified Eagle Medium supplemented with 10% fetal bovine serum and a 1% penicillin–streptomycin solution) and the 30% polyethylene glycol solution used to dissolve the PACN powder. Negative controls help eliminate the impact of external factors by providing a baseline for comparison.
The substances were incubated with HGF-1 cells for 24 h. The cells were monitored using the Prestoblue reagent and a spectrophotometer (Spark, Tecan, Basel, Switzerland). The Prestoblue solution was diluted 10-fold with the culture medium, and 100 µL of the diluted solution was added to the cells and incubated at 37 °C for 2 h. The Prestoblue method measures the metabolic activity of the cells. The resazurin contained in Prestoblue is converted into resorufin in the cells, the amount of which is measured spectrophotometrically at 570 nm with a 600 nm reference wavelength used for background correction. The amount of resorufin absorption is directly proportional to the metabolic activity of the cells, which, in this case, was used to reflect cell proliferation. The spectrophotometry results were recorded in relative units.

2.5. Evaluation of TGFβ-1 Levels in HGF-1 and HPDLF Cells

HGF-1 and HPDLF cells were treated with the controls or PSRE at concentrations of 25 and 50 μg/mL and proliferation was measured using an TGFβ-1 ELISA (enzyme-linked immunosorbent assay, Thermo Fisher Scientific, Waltham, MA, USA).
The ELISA was performed according to the manufacturer’s recommendations. The TGF-β1 ELISA uses specific antibodies to measure the concentration of this growth factor in biological samples. TGF-β1 regulates fibroblast function and therefore, these results can contribute to understanding the potential of using PSRE in periodontal disease treatment.

2.6. Statistical Analysis

The statistical analysis was performed using the IBM SPSS 20.0 (Armonk, NY, USA: IBM Corp.) statistic software package. For normally distributed data (tested with the Shapiro–Wilk test), one-way ANOVA was used to compare the means of the groups. The alpha level for significance was set to 0.05. The null hypothesis was that there is no difference between the groups regarding cell proliferation.

3. Results

3.1. Cell Viability and Cytotoxicity

The results showed that low concentrations (less than 100 μg/mL) of PSRE did not have an impact on cell viability while high concentrations (400 µg/mL or higher) strongly affected cell viability.
The half-maximum inhibitory concentration was determined to be 583 µg/mL; therefore, the subsequent in vitro tests were performed with lower concentrations of the extract (Figure 1).
Previous in vitro studies used PACNs at concentrations of 10–50 μg/mL [32,33,34]. An in vitro study with fibroblasts confirmed that proanthocyanidins did not affect cell viability at concentrations lower than 100 μg/mL (after 24 h) [15]. Based on these findings, the PACN concentrations used in the subsequent experiments were 25 and 50 µg/mL.

3.2. Proliferation Potential of PSRE

The impact of PSRE and chlorhexidine on HGF-1 cell proliferation is shown in Figure 2.
The low concentration (25 µg/mL) of PSRE induced a higher level of HGF-1 cell proliferation in comparison with higher concentrations (100 µg/mL or higher).
In contrast, the 0.12% chlorhexidine solution inhibited cell proliferation completely.

3.3. TGFβ-1 Analysis in PSRE-Treated Cells

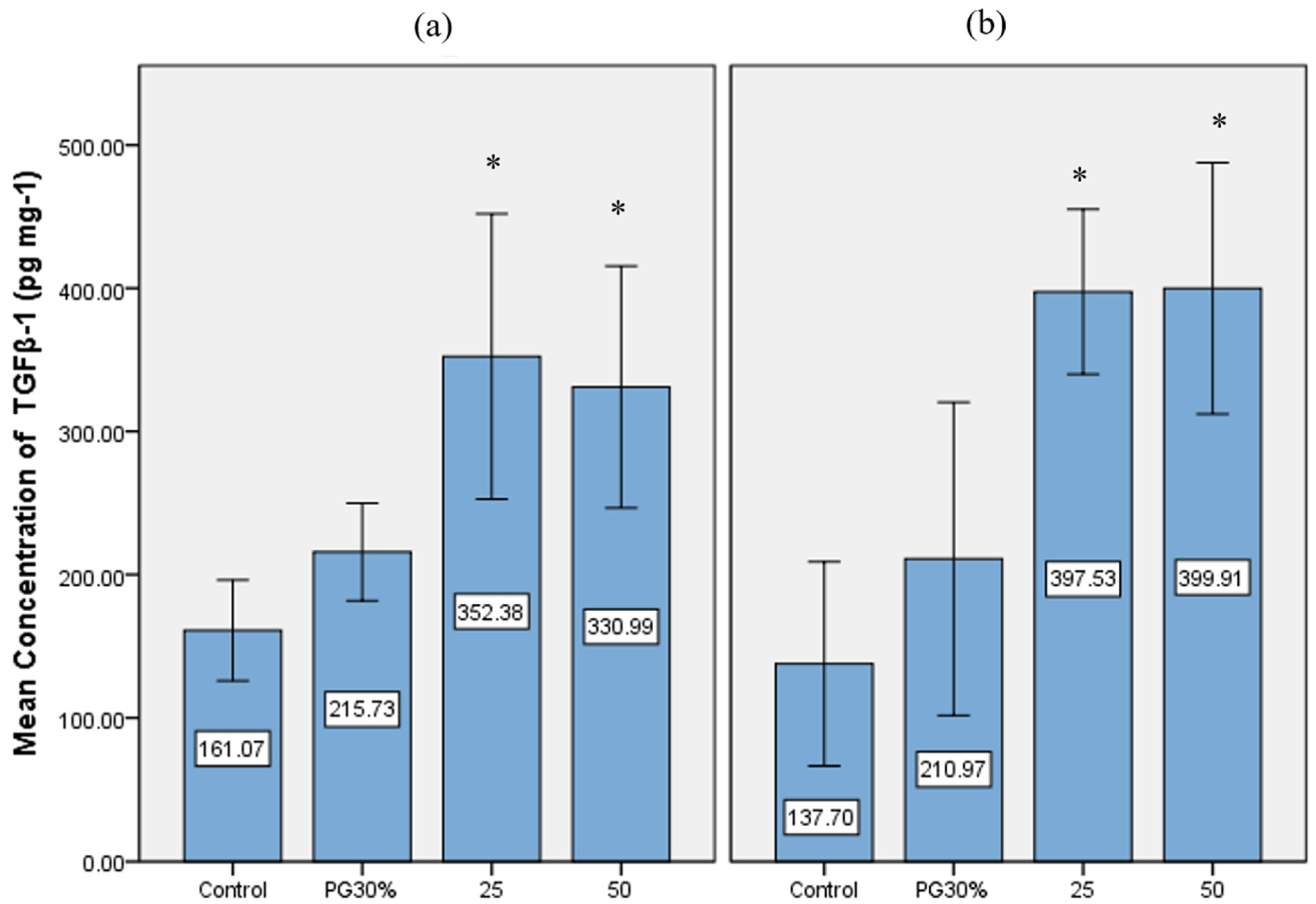
The TGFβ-1 levels in PSRE-treated HGF-1 and HPDLF cells are shown in Figure 3.
There were significantly higher TGFβ-1 levels in the 25 and 50 μg/mL PSRE groups compared with the control group (mean ± SE) (352.38 ± 31.32 and 330.99 ± 26.53 versus 161.07 ± 11.04 pg/mL in HGF-1 cells; 397.53 ± 18.1 and 399.91 ± 27.61 versus 137.7 ± 16.54 pg/mL in HPDLF cells).

4. Discussion

This in vitro study evaluated the effects of PSRE on HGF-1 and HPDLF cells. The spectrophotometric evaluation and TGFβ-1 analysis showed that PSRE promoted fibroblast proliferation. Interestingly, the chlorhexidine digluconate solution inhibited cell proliferation completely.
Several PACN mechanisms of action are known, including modulation of intracellular pathways, such as the NF-κB (nuclear factor kappa-light-chain-enhancer of activated B cells), MAPK (mitogen-activated protein kinase), PI3K/Akt/mTOR (phosphoinositide 3-kinase/protein kinase B/mammalian target pf rapamycin), and NRF2/HO1 (nuclear factor erythroid 2-related factor 2/heme oxygenase-1) pathways [14,24,35,36,37,38,39,40]. A possible mechanism of action of PACNs is inhibition of the NF-kB signaling pathway through reducing the phosphorylation and degradation of inhibitor of kappa B [12]. Increased levels of inhibitor of kappa B bind to NF-kB and keep it in the cytoplasm, reducing its translocation to the nucleus [41]. This inhibition decreases the transcription of genes that promote cell apoptosis or inflammatory responses, creating a more favorable environment for cell proliferation [41,42]. PACNs can modulate the production of cytokines through the NF-kB pathway [43]. By reducing inflammatory cytokines (TNF-α, IL-1β), PACNs can decrease the inflammatory signals that might otherwise lead to cellular stress and apoptosis, creating a more supportive environment for healthy cell growth and proliferation. PACNs can reduce the levels of reactive oxygen species and prevent oxidative stress, leading to the suppression of NF-kB activation and preserving cellular functions that favor proliferation [44]. Other signaling pathways, such as the PI3K/Akt/mTOR and MAPK pathways, can interact with PACNs to cross-talk with NF-kB, further influencing its activity and the cellular responses.
Another possible mechanism of action of PACNs is activation of the TGF-β/Smad signaling pathway [45]. In fibroblasts, when TGF-β binds to its receptor complexes, TGF-βR1 (TGF-β type I receptor) and TGF-βR2 (TGF-β type II receptor), TGF-βR2 phosphorylates and activates TGF-βR1, initiating a signaling cascade: after rephosphorylation of Smad2/3, phosphorylated Smad2/3 forms complexes with Smad4 in the nucleus [45,46,47]. These complexes are the transcription factors that regulate type I collagen synthesis. After entering the nucleus, Smad4 induces collagen synthesis through transcriptional regulation [45,48]. PACNs may increase the level of TGFβ-1 [49], which can then stimulate fibroblast proliferation [50,51,52,53,54]. Therefore, the current study analyzed the TGFβ-1 levels in HGF-1 and HPDLF cells treated with PSRE as well. Interestingly, TGF-β can stimulate fibroblasts to produce bioactive factors (collagen, fibronectin, MMPs, tissue inhibitor of MMPs (TIMPs), and plasminogen activator inhibitor 1 (PAI-1)) that contribute to the deposition and remodeling of the wound extracellular matrix [55]. In summary, PACNs may increase cell proliferation and stimulate cells to synthesize collagen. Through these mechanisms, PACNs can have cell protective effects and regulate cellular growth, making them a potential therapeutic for chronic diseases.
Since periodontal regeneration is the restoration of the periodontium, which includes alveolar bone, periodontal ligaments, and root cementum [56], and fibroblasts play a significant role in these processes. Fibroblasts promote wound healing, tissue repair, collagen synthesis, and angiogenesis [57]. Fibroblast proliferation induces the formation of new tissues and restoration of damaged periodontal structures, providing a scaffold for new cells to migrate and proliferate on. Fibroblast proliferation is crucial for collagen synthesis, which is the main component of the extracellular matrix, which contributes to structural integrity, facilitates healing, and promotes the functional recovery of periodontal tissues, and is therefore essential for clinical periodontal regeneration. In agreement with the current study’s findings, other scientific studies have confirmed that PACNs, when acting on human gingival or periodontal ligament fibroblasts, exhibit cytoprotective effects, increase cell proliferation and migration, and increase collagen synthesis, which are responsible for the strong cell protective properties of PSRE [58,59,60]. Moreover, other studies have confirmed that PACNs can reduce bone resorption [20,61], improve bone metabolism [62], and increase bone regeneration [24,25,63,64,65], which are the key processes in periodontal tissue regeneration. Since periodontal ligament stem cells can differentiate into osteoblasts, and PACNs can promote osteogenesis of periodontal ligament stem cells, PACNs could have applications in alveolar bone regeneration [63,66,67,68]. There is scientific evidence that PACNs suppress osteoclast formation and differentiation while promoting osteoblast differentiation [69,70]. Our findings suggest that PACNs have the potential to enhance cell proliferation and viability.
Additionally, this study found that chlorhexidine digluconate (the gold standard treatment in periodontal therapy) completely inhibited cell proliferation. Other in vitro studies have confirmed that chlorhexidine digluconate should not be used during treatment as it may have negative long-term effects due to its established cytotoxic effect on oral cavity cells [71,72,73,74,75]. After periodontal treatment procedures, creating the proper environment for healing is crucial. PACNs could be used as an alternative to chlorhexidine in treating periodontal disease due to its similar antibacterial effect against oral microorganisms [76].
The current study had some limitations. A polyethylene glycol solution (PG30%, PG) was used as the solvent for PSRE. While PG solutions are water soluble and biocompatible, and have low immunogenicity, there is scientific data showing that there are dynamic biological interactions between PG and cells at the molecular level [77]. However, PG solutions are an effective solvent for the extraction and purification of PACNs [78]. Therefore, a PG solvent was used in this study but was tested on the cells as a PG-only control and no significant effects on the cells were found.
The proliferative effect of PACNs on different cell types must be investigated to determine whether this effect is specific to gingival and periodontal ligament fibroblast cells. However, an in vitro study using a single cell type limits the generalizability of the research results as multiple cell types interact in the oral cavity. Future research should test osteoblasts or 3D scaffolds to obtain deeper knowledge on PACNs’ cellular effects.
Potential in vivo or ex vivo studies could include analyses of the cell proliferation effects by measuring growth factor levels in gingival specimens or gingival crevicular fluid samples.
In conclusion, the proliferative effect of PSRE could play a significant role in the management of periodontal and peri-implant diseases [7].

5. Conclusions

The results of this study suggest that relatively low concentrations of PACNs may promote HGF-1 and HPDLF cell proliferation in contrast to chlorhexidine digluconate, which showed cytotoxic effects.

Author Contributions

Conceptualization, N.B., R.B. and N.S.; Methodology, R.B.; Software, A.S.; Validation, R.B.; Formal Analysis, E.A. and A.S.; Investigation, A.S. and E.A.; Resources, R.B. and N.S.; Data Curation, A.S. and E.A.; Writing—Original Draft Preparation, E.A.; Writing—Review and Editing, A.S. and N.B.; Visualization, E.A.; Supervision, R.B. and N.B.; Project Administration, N.S.; Funding Acquisition, E.A. All authors of this study collaborated to generate a plan and performed all the necessary experimental procedures. All authors have read and agreed to the published version of the manuscript.

Funding

Funding was received from the Science Fund of the Lithuanian University of Health Sciences.

Institutional Review Board Statement

Ethical review and approval were waived for this study, due to no use of animal in this study.

Informed Consent Statement

Patient consent was waived due to not involving humans in this study.

Data Availability Statement

The data supporting the present study can be obtained upon reasonable request.

Conflicts of Interest

The authors declare no conflicts of interest.

Abbreviations

PACN, (also PACNs)proanthocyanidin (-s)
PSREPelargonium sidoides DC. root extract
CHXchlorhexidine digluconate solution
HGF-1human gingival fibroblasts
TGFβ-1transforming growth factor beta-1
HPDLFhuman periodontal ligament fibroblasts
ELISAenzyme-linked immunosorbent assay
SEstandard error
NF-κBnuclear factor kappa-light-chain-enhancer of activated B cells
IC50half-maximal inhibitory concentration
PIpropidium iodide
MAPKmitogen-activated protein kinase
PI3K/Akt/mTORphosphatidylinositol 3-kinase/protein kinase B/mammalian target of rapamycin
NFR2/HO1nuclear factor erythroid 2-related factor 2/heme oxygenase-1
TNF-αtumor necrosis factor-alpha
IL-1βinterleukin 1 beta
TGF-βR1TGF-β type I receptor
TGF-βR2TGF-β type II receptor
Smad2/3/4suppressor of mothers against decapentaplegic
PG30%30% polyethylene glycol solution

References

  1. Özden, F.O.; Sakallioğlu, E.E.; Sakallioğlu, U.; Ayas, B.; Erişgin, Z. Effects of Grape Seed Extract on Periodontal Disease: An Experimental Study in Rats. J. Appl. Oral Sci. 2017, 25, 121–129. [Google Scholar] [CrossRef]
  2. Toker, H.; Balci Yuce, H.; Lektemur Alpan, A.; Gevrek, F.; Elmastas, M. Morphometric and Histopathological Evaluation of the Effect of Grape Seed Proanthocyanidin on Alveolar Bone Loss in Experimental Diabetes and Periodontitis. J. Periodontal Res. 2018, 53, 478–486. [Google Scholar] [CrossRef]
  3. Qi, Q.; Chu, M.; Yu, X.; Xie, Y.; Li, Y.; Du, Y.; Liu, X.; Zhang, Z.; Shi, J.; Yan, N. Anthocyanins and Proanthocyanidins: Chemical Structures, Food Sources, Bioactivities, and Product Development. Food Rev. Int. 2023, 39, 4581–4609. [Google Scholar] [CrossRef]
  4. Schoetz, K.; Erdelmeier, C.; Germer, S.; Hauer, H. A Detailed View on the Constituents of EPs 7630. Planta Med. 2008, 74, 667–674. [Google Scholar] [CrossRef]
  5. Savickiene, N.; Jekabsone, A.; Raudone, L.; Abdelgeliel, A.S.; Cochis, A.; Rimondini, L.; Makarova, E.; Grinberga, S.; Pugovics, O.; Dambrova, M.; et al. Efficacy of Proanthocyanidins from Pelargonium Sidoides Root Extract in Reducing P. Gingivalis Viability While Preserving Oral Commensal S. Salivarius. Materials 2018, 11, 1499. [Google Scholar] [CrossRef]
  6. Jekabsone, A.; Sile, I.; Cochis, A.; Makrecka-Kuka, M.; Laucaityte, G.; Makarova, E.; Rimondini, L.; Bernotiene, R.; Raudone, L.; Vedlugaite, E.; et al. Investigation of Antibacterial and Antiinflammatory Activities of Proanthocyanidins from Pelargonium Sidoides DC Root Extract. Nutrients 2019, 11, 2829. [Google Scholar] [CrossRef] [PubMed]
  7. Alkimavičienė, E.; Pušinskaitė, R.; Basevičienė, N.; Banienė, R.; Savickienė, N.; Pacauskienė, I.M. Efficacy of Proanthocyanidins in Nonsurgical Periodontal Therapy. Int. Dent. J. 2023, 73, 195–204. [Google Scholar] [CrossRef]
  8. Chen, Z.Y.; Chan, P.T.; Ho, K.Y.; Fung, K.P.; Wang, J. Antioxidant Activity of Natural Flavonoids Is Governed by Number and Location of Their Aromatic Hydroxyl Groups. Chem. Phys. Lipids 1996, 79, 157–163. [Google Scholar] [CrossRef] [PubMed]
  9. Tao, W.; Zhang, Y.; Shen, X.; Cao, Y.; Shi, J.; Ye, X.; Chen, S. Rethinking the Mechanism of the Health Benefits of Proanthocyanidins: Absorption, Metabolism, and Interaction with Gut Microbiota. Comp. Rev. Food Sci. Food Safe 2019, 18, 971–985. [Google Scholar] [CrossRef]
  10. Salinas-Sánchez, D.; Jiménez-Ferrer, E.; Sánchez-Sánchez, V.; Zamilpa, A.; González-Cortazar, M.; Tortoriello, J.; Herrera-Ruiz, M. Anti-Inflammatory Activity of a Polymeric Proanthocyanidin from Serjania Schiedeana. Molecules 2017, 22, 863. [Google Scholar] [CrossRef] [PubMed]
  11. Heijnen, C.G.M.; Haenen, G.R.M.M.; Van Acker, F.A.A.; Van Der Vijgh, W.J.F.; Bast, A. Flavonoids as Peroxynitrite Scavengers: The Role of the Hydroxyl Groups. Toxicol. In Vitro 2001, 15, 3–6. [Google Scholar] [CrossRef] [PubMed]
  12. Ma, X.; Wang, R.; Yu, S.; Lu, G.; Yu, Y.; Jiang, C. Anti-Inflammatory Activity of Oligomeric Proanthocyanidins Via Inhibition of NF-κB and MAPK in LPS-Stimulated MAC-T Cells. J. Microbiol. Biotechnol. 2020, 30, 1458–1466. [Google Scholar] [CrossRef] [PubMed]
  13. Huo, Q.; Kong, X.; Yang, X.; Wang, Y.; Ma, L.; Luo, M.; Xu, D. Molecular Modification of Proanthocyanidins. Bioengineered 2016, 7, 274–281. [Google Scholar] [CrossRef]
  14. Nawrot-Hadzik, I.; Matkowski, A.; Kubasiewicz-Ross, P.; Hadzik, J. Proanthocyanidins and Flavan-3-Ols in the Prevention and Treatment of Periodontitis—Immunomodulatory Effects, Animal and Clinical Studies. Nutrients 2021, 13, 239. [Google Scholar] [CrossRef]
  15. Galarraga-Vinueza, M.E.; Dohle, E.; Ramanauskaite, A.; Al-Maawi, S.; Obreja, K.; Magini, R.; Sader, R.; Ghanaati, S.; Schwarz, F. Anti-Inflammatory and Macrophage Polarization Effects of Cranberry Proanthocyanidins (PACs) for Periodontal and Peri-Implant Disease Therapy. J. Periodontal Res. 2020, 55, 821–829. [Google Scholar] [CrossRef]
  16. Nawrot-Hadzik, I.; Matkowski, A.; Hadzik, J.; Dobrowolska-Czopor, B.; Olchowy, C.; Dominiak, M.; Kubasiewicz-Ross, P. Proanthocyanidins and Flavan-3-Ols in the Prevention and Treatment of Periodontitis-Antibacterial Effects. Nutrients 2021, 13, 165. [Google Scholar] [CrossRef]
  17. Bagchi, D.; Garg, A.; Krohn, R.L.; Bagchi, M.; Tran, M.X.; Stohs, S.J. Oxygen Free Radical Scavenging Abilities of Vitamins C and E, and a Grape Seed Proanthocyanidin Extract In Vitro. Res. Commun. Mol. Pathol. Pharmacol. 1997, 95, 179–189. [Google Scholar] [PubMed]
  18. Larrauri, M.; Zunino, M.P.; Zygadlo, J.A.; Grosso, N.R.; Nepote, V. Chemical Characterization and Antioxidant Properties of Fractions Separated from Extract of Peanut Skin Derived from Different Industrial Processes. Ind. Crops Prod. 2016, 94, 964–971. [Google Scholar] [CrossRef]
  19. Li, S.; Xu, M.; Niu, Q.; Xu, S.; Ding, Y.; Yan, Y.; Guo, S.; Li, F. Efficacy of Procyanidins against In Vivo Cellular Oxidative Damage: A Systematic Review and Meta-Analysis. PLoS ONE 2015, 10, e0139455. [Google Scholar] [CrossRef]
  20. Yun, J.-H.; Pang, E.-K.; Kim, C.-S.; Yoo, Y.-J.; Cho, K.-S.; Chai, J.-K.; Kim, C.-K.; Choi, S.-H. Inhibitory Effects of Green Tea Polyphenol (-)-Epigallocatechin Gallate on the Expression of Matrix Metalloproteinase-9 and on the Formation of Osteoclasts. J. Periodontal Res. 2004, 39, 300–307. [Google Scholar] [CrossRef]
  21. Tanabe, S.; Santos, J.; La, V.D.; Howell, A.B.; Grenier, D. A-Type Cranberry Proanthocyanidins Inhibit the RANKL-Dependent Differentiation and Function of Human Osteoclasts. Molecules 2011, 16, 2365–2374. [Google Scholar] [CrossRef]
  22. La, V.D.; Howell, A.B.; Grenier, D. Anti- Porphyromonas gingivalis and Anti-Inflammatory Activities of A-Type Cranberry Proanthocyanidins. Antimicrob. Agents Chemother. 2010, 54, 1778–1784. [Google Scholar] [CrossRef]
  23. Bodet, C.; Piché, M.; Chandad, F.; Grenier, D. Inhibition of Periodontopathogen-Derived Proteolytic Enzymes by a High-Molecular-Weight Fraction Isolated from Cranberry. J. Antimicrob. Chemother. 2006, 57, 685–690. [Google Scholar] [CrossRef]
  24. Huang, J.; Liu, L.; Jin, S.; Zhang, Y.; Zhang, L.; Li, S.; Song, A.; Yang, P. Proanthocyanidins Promote Osteogenic Differentiation of Human Periodontal Ligament Fibroblasts in Inflammatory Environment Via Suppressing NF-κB Signal Pathway. Inflammation 2020, 43, 892–902. [Google Scholar] [CrossRef] [PubMed]
  25. Yang, H.; Liu, W.-C.; Liu, X.; Li, Y.; Lin, C.; Lin, Y.-M.; Wang, A.-N.; Nguyen, T.-T.; Lin, Y.-C.; Chung, R.-J. Study on Proanthocyanidins Crosslinked Collagen Membrane for Guided Bone Tissue Regeneration. J. Appl. Biomater. Funct. Mater. 2021, 19, 22808000211005379. [Google Scholar] [CrossRef] [PubMed]
  26. Tenkumo, T.; Aobulikasimu, A.; Asou, Y.; Shirato, M.; Shishido, S.; Kanno, T.; Niwano, Y.; Sasaki, K.; Nakamura, K. Proanthocyanidin-Rich Grape Seed Extract Improves Bone Loss, Bone Healing, and Implant Osseointegration in Ovariectomized Animals. Sci. Rep. 2020, 10, 8812. [Google Scholar] [CrossRef] [PubMed]
  27. Niwano, Y.; Shishido, S.; Shirato, M.; Kohzaki, H.; Nakamura, K. Therapeutic Potential of Proanthocyanidins in Dentistry: A Focus on Periodontal Disease and on Dental Implants in Osteoporotic Patients. Antioxidants 2025, 14, 850. [Google Scholar] [CrossRef]
  28. Guo, C.; Rizkalla, A.S.; Hamilton, D.W. FGF and TGF-β Growth Factor Isoform Modulation of Human Gingival and Periodontal Ligament Fibroblast Wound Healing Phenotype. Matrix Biol. 2025, 136, 9–21. [Google Scholar] [CrossRef]
  29. Dereka, X.E.; Markopoulou, C.E.; Vrotsos, I.A. Role of Growth Factors on Periodontal Repair. Growth Factors 2006, 24, 260–267. [Google Scholar] [CrossRef]
  30. Kaigler, D.; Cirelli, J.A.; Giannobile, W.V. Growth Factor Delivery for Oral and Periodontal Tissue Engineering. Expert. Opin. Drug Deliv. 2006, 3, 647–662. [Google Scholar] [CrossRef] [PubMed]
  31. Serafini, G.; Lopreiato, M.; Lollobrigida, M.; Lamazza, L.; Mazzucchi, G.; Fortunato, L.; Mariano, A.; Scotto d’Abusco, A.; Fontana, M.; De Biase, A. Platelet Rich Fibrin (PRF) and Its Related Products: Biomolecular Characterization of the Liquid Fibrinogen. J. Clin. Med. 2020, 9, 1099. [Google Scholar] [CrossRef]
  32. Bodet, C.; Chandad, F.; Grenier, D. Cranberry Components Inhibit Interleukin-6, Interleukin-8, and Prostaglandin E2 Production by Lipopolysaccharide-activated Gingival Fibroblasts. Eur. J. Oral Sci. 2007, 115, 64–70. [Google Scholar] [CrossRef]
  33. Déziel, B.A.; Patel, K.; Neto, C.; Gottschall-Pass, K.; Hurta, R.A.R. Proanthocyanidins from the American Cranberry (Vaccinium macrocarpon) Inhibit Matrix Metalloproteinase-2 and Matrix Metalloproteinase-9 Activity in Human Prostate Cancer Cells via Alterations in Multiple Cellular Signalling Pathways. J. Cell. Biochem. 2010, 111, 742–754. [Google Scholar] [CrossRef]
  34. Feldman, M.; Grenier, D. Cranberry Proanthocyanidins Act in Synergy with Licochalcone A to Reduce Porphyromonas Gingivalis Growth and Virulence Properties, and to Suppress Cytokine Secretion by Macrophages: Synergy between Proanthocyanidins and Licochalcone A. J. Appl. Microbiol. 2012, 113, 438–447. [Google Scholar] [CrossRef]
  35. Zhang, L.; Chen, J.; Liao, H.; Li, C.; Chen, M. Anti-Inflammatory Effect of Lipophilic Grape Seed Proanthocyanidin in RAW 264.7 Cells and a Zebrafish Model. J. Funct. Foods 2020, 75, 104217. [Google Scholar] [CrossRef]
  36. Han, S.; Gao, H.; Chen, S.; Wang, Q.; Li, X.; Du, L.-J.; Li, J.; Luo, Y.-Y.; Li, J.-X.; Zhao, L.-C.; et al. Procyanidin A1 Alleviates Inflammatory Response Induced by LPS through NF-κB, MAPK, and Nrf2/HO-1 Pathways in RAW264.7 Cells. Sci. Rep. 2019, 9, 15087. [Google Scholar] [CrossRef] [PubMed]
  37. Zughaibi, T.A.; Suhail, M.; Tarique, M.; Tabrez, S. Targeting PI3K/Akt/mTOR Pathway by Different Flavonoids: A Cancer Chemopreventive Approach. Int. J. Mol. Sci. 2021, 22, 12455. [Google Scholar] [CrossRef] [PubMed]
  38. Chamcheu, J.C.; Adhami, V.M.; Esnault, S.; Sechi, M.; Siddiqui, I.A.; Satyshur, K.A.; Syed, D.N.; Dodwad, S.-J.M.; Chaves-Rodriquez, M.-I.; Longley, B.J.; et al. Dual Inhibition of PI3K/Akt and mTOR by the Dietary Antioxidant, Delphinidin, Ameliorates Psoriatic Features In Vitro and in an Imiquimod-Induced Psoriasis-Like Disease in Mice. Antioxid. Redox Signal 2017, 26, 49–69. [Google Scholar] [CrossRef]
  39. Chu, H.; Tang, Q.; Huang, H.; Hao, W.; Wei, X. Grape-Seed Proanthocyanidins Inhibit the Lipopolysaccharide-Induced Inflammatory Mediator Expression in RAW264.7 Macrophages by Suppressing MAPK and NF-Κb Signal Pathways. Environ. Toxicol. Pharmacol. 2016, 41, 159–166. [Google Scholar] [CrossRef]
  40. Shuhua, Y.; Lingqi, M.; Yunlong, D.; He, T.; Yao, S.; Peng, L. Proanthocyanidins Activate Nrf2/ARE Signaling Pathway in Intestinal Epithelial Cells by Inhibiting the Ubiquitinated Degradation of Nrf2. BioMed Res. Int. 2022, 2022, 8562795. [Google Scholar] [CrossRef] [PubMed]
  41. Wan, F.; Lenardo, M.J. The Nuclear Signaling of NF-κB: Current Knowledge, New Insights, and Future Perspectives. Cell Res. 2010, 20, 24–33. [Google Scholar] [CrossRef]
  42. Scheidereit, C. IκB Kinase Complexes: Gateways to NF-κB Activation and Transcription. Oncogene 2006, 25, 6685–6705. [Google Scholar] [CrossRef]
  43. Martinez-Micaelo, N.; González-Abuín, N.; Ardèvol, A.; Pinent, M.; Blay, M.T. Procyanidins and Inflammation: Molecular Targets and Health Implications. BioFactors 2012, 38, 257–265. [Google Scholar] [CrossRef]
  44. Yang, L.; Xian, D.; Xiong, X.; Lai, R.; Song, J.; Zhong, J. Proanthocyanidins against Oxidative Stress: From Molecular Mechanisms to Clinical Applications. BioMed Res. Int. 2018, 2018, 8584136. [Google Scholar] [CrossRef] [PubMed]
  45. Ye, H.; Sun, J.; He, L.; Ai, C.; Jin, W.; Abd El-Aty, A.M. Beneficial Effects of Proanthocyanidins on Skin Aging: A Review. Front. Nutr. 2025, 12, 1650328. [Google Scholar] [CrossRef] [PubMed]
  46. Ma, Y.; Wang, J.; Fan, J.; Jia, H.; Li, J. Interrelation of Natural Polyphenol and Fibrosis in Diabetic Nephropathy. Molecules 2024, 30, 20. [Google Scholar] [CrossRef]
  47. Meng, X.-M.; Tang, P.M.-K.; Li, J.; Lan, H.Y. TGF-Î2/Smad Signaling in Renal Fibrosis. Front. Physiol. 2015, 6, 82. [Google Scholar] [CrossRef]
  48. Mao, T.K.; Water, J.V.D.; Keen, C.L.; Schmitz, H.H.; Gershwin, M.E. Cocoa Flavonols and Procyanidins Promote Transforming Growth Factor-β1 Homeostasis in Peripheral Blood Mononuclear Cells. Exp. Biol. Med. 2003, 228, 93–99. [Google Scholar] [CrossRef]
  49. Liang, J.; Zhou, Y.; Zhang, N.; Wang, D.; Cheng, X.; Li, K.; Huang, R.; Lu, Y.; Wang, H.; Han, D.; et al. The Phosphorylation of the Smad2/3 Linker Region by Nemo-like Kinase Regulates TGF-β Signaling. J. Biol. Chem. 2021, 296, 100512. [Google Scholar] [CrossRef] [PubMed]
  50. Battegay, E.J.; Raines, E.W.; Seifert, R.A.; Bowen-Pope, D.F.; Ross, R. TGF-β Induces Bimodal Proliferation of Connective Tissue Cells via Complex Control of an Autocrine PDGF Loop. Cell 1990, 63, 515–524. [Google Scholar] [CrossRef]
  51. Strutz, F.; Zeisberg, M.; Renziehausen, A.; Raschke, B.; Becker, V.; Van Kooten, C.; Müller, G.A. TGF-Β1 Induces Proliferation in Human Renal Fibroblasts via Induction of Basic Fibroblast Growth Factor (FGF-2). Kidney Int. 2001, 59, 579–592. [Google Scholar] [CrossRef]
  52. Li, A.G.; Wang, D.; Feng, X.-H.; Wang, X.-J. Latent TGFβ1 Overexpression in Keratinocytes Results in a Severe Psoriasis-like Skin Disorder. EMBO J. 2004, 23, 1770–1781. [Google Scholar] [CrossRef]
  53. Wilkes, M.C.; Mitchell, H.; Penheiter, S.G.; Doré, J.J.; Suzuki, K.; Edens, M.; Sharma, D.K.; Pagano, R.E.; Leof, E.B. Transforming Growth Factor-β Activation of Phosphatidylinositol 3-Kinase Is Independent of Smad2 and Smad3 and Regulates Fibroblast Responses via P21-Activated Kinase-2. Cancer Res. 2005, 65, 10431–10440. [Google Scholar] [CrossRef]
  54. Shi, X.; Young, C.D.; Zhou, H.; Wang, X.-J. Transforming Growth Factor-β Signaling in Fibrotic Diseases and Cancer-Associated Fibroblasts. Biomolecules 2020, 10, 1666. [Google Scholar] [CrossRef]
  55. Deng, Z.; Fan, T.; Xiao, C.; Tian, H.; Zheng, Y.; Li, C.; He, J. TGF-β Signaling in Health, Disease and Therapeutics. Sig. Transduct. Target. Ther. 2024, 9, 61. [Google Scholar] [CrossRef]
  56. Liang, Y.; Luan, X.; Liu, X. Recent Advances in Periodontal Regeneration: A Biomaterial Perspective. Bioact. Mater. 2020, 5, 297–308. [Google Scholar] [CrossRef] [PubMed]
  57. Wielento, A.; Lagosz-Cwik, K.B.; Potempa, J.; Grabiec, A.M. The Role of Gingival Fibroblasts in the Pathogenesis of Periodontitis. J. Dent. Res. 2023, 102, 489–496. [Google Scholar] [CrossRef] [PubMed]
  58. Nawrot-Hadzik, I.; Matkowski, A.; Pitułaj, A.; Sterczała, B.; Olchowy, C.; Szewczyk, A.; Choromańska, A. In Vitro Gingival Wound Healing Activity of Extracts from Reynoutria Japonica Houtt Rhizomes. Pharmaceutics 2021, 13, 1764. [Google Scholar] [CrossRef] [PubMed]
  59. Kurauchi, M.; Niwano, Y.; Shirato, M.; Kanno, T.; Nakamura, K.; Egusa, H.; Sasaki, K. Cytoprotective Effect of Short-Term Pretreatment with Proanthocyanidin on Human Gingival Fibroblasts Exposed to Harsh Environmental Conditions. PLoS ONE 2014, 9, e113403. [Google Scholar] [CrossRef]
  60. Choi, Y.; Kim, H.-J.; Min, K.-S. Effects of Proanthocyanidin, a Crosslinking Agent, on Physical and Biological Properties of Collagen Hydrogel Scaffold. Restor. Dent. Endod. 2016, 41, 296–303. [Google Scholar] [CrossRef]
  61. Kwak, S.C.; Cheon, Y.-H.; Lee, C.H.; Jun, H.Y.; Yoon, K.-H.; Lee, M.S.; Kim, J.-Y. Grape Seed Proanthocyanidin Extract Prevents Bone Loss via Regulation of Osteoclast Differentiation, Apoptosis, and Proliferation. Nutrients 2020, 12, 3164. [Google Scholar] [CrossRef]
  62. Tofani, I.; Maki, K.; Kojima, K.; Kimura, M. Beneficial Effects of Grape Seed Proanthocyanidins Extract on Formation of Tibia Bone in Low-Calcium Feeding Rats. Pediatr. Dent. J. 2004, 14, 47–53. [Google Scholar] [CrossRef]
  63. Ming, P.; Liu, Y.; Yu, P.; Jiang, X.; Yuan, L.; Cai, S.; Rao, P.; Cai, R.; Lan, X.; Tao, G.; et al. A Biomimetic Se-nHA/PC Composite Microsphere with Synergistic Immunomodulatory and Osteogenic Ability to Activate Bone Regeneration in Periodontitis. Small 2024, 20, e2305490. [Google Scholar] [CrossRef]
  64. Liu, Q.; Zhang, Y.; Yu, S.; Zhao, C.; Yang, Y.; Yan, J.; Wang, Y.; Liu, D.; Liu, Y.; Zhang, X. Proanthocyanidins Modification of the Mineralized Collagen Scaffold Based on Synchronous Self-Assembly/Mineralization for Bone Regeneration. Colloids Surf. B Biointerfaces 2025, 245, 114290. [Google Scholar] [CrossRef] [PubMed]
  65. Ishikawa, M.; Maki, K.; Tofani, I.; Kimura, K.; Kimura, M. Grape Seed Proanthocyanidins Extract Promotes Bone Formation in Rat’s Mandibular Condyle. Eur. J. Oral Sci. 2005, 113, 47–52. [Google Scholar] [CrossRef] [PubMed]
  66. Wu, Y.; Wang, X.; Zhang, Y.; Wen, Z.; Li, Y.; Zhang, K.; Gosar, N.; Li, Q.; Mao, J.; Gong, S. Proanthocyanidins Ameliorate LPS-Inhibited Osteogenesis of PDLSCs by Restoring Lysine Lactylation. Int. J. Mol. Sci. 2024, 25, 2947. [Google Scholar] [CrossRef]
  67. Liu, Z.; Li, Q.; Wang, X.; Wu, Y.; Zhang, Z.; Mao, J.; Gong, S. Proanthocyanidin Enhances the Endogenous Regeneration of Alveolar Bone by Elevating the Autophagy of PDLSCs. J. Periodontal Res. 2023, 58, 1300–1314. [Google Scholar] [CrossRef]
  68. Zhao, J.; Jiao, J.; Chen, X.; Zhang, Y.; Chen, T.; Xie, J.; Ou, X. Procyanidin B2 Targeted CCR7 Expression to Inhibit the Senescence-Associated Secretory Phenotype through the NF-κB Pathway to Promote Osteogenic Differentiation of Periodontal Ligament Stem Cells in Periodontitis. Int. Immunopharmacol. 2024, 143, 113435. [Google Scholar] [CrossRef]
  69. Park, J.-S.; Park, M.-K.; Oh, H.-J.; Woo, Y.-J.; Lim, M.-A.; Lee, J.-H.; Ju, J.H.; Jung, Y.O.; Lee, Z.H.; Park, S.-H.; et al. Grape-Seed Proanthocyanidin Extract as Suppressors of Bone Destruction in Inflammatory Autoimmune Arthritis. PLoS ONE 2012, 7, e51377. [Google Scholar] [CrossRef] [PubMed]
  70. Zhu, W.; Yin, Z.; Zhang, Q.; Guo, S.; Shen, Y.; Liu, T.; Liu, B.; Wan, L.; Li, S.; Chen, X.; et al. Proanthocyanidins Inhibit Osteoclast Formation and Function by Inhibiting the NF-κB and JNK Signaling Pathways during Osteoporosis Treatment. Biochem. Biophys. Res. Commun. 2019, 509, 294–300. [Google Scholar] [CrossRef]
  71. Fiorillo, L.; D’Amico, C.; Mehta, V.; Cicciù, M.; Cervino, G. Chlorhexidine Cytotoxicity on Oral Behaviors: Last 20 Years Systematic Review. Oral. Oncol. Rep. 2024, 9, 100245. [Google Scholar] [CrossRef]
  72. Azzimonti, B.; Cochis, A.; Beyrouthy, M.E.; Iriti, M.; Uberti, F.; Sorrentino, R.; Landini, M.M.; Rimondini, L.; Varoni, E.M. Essential Oil from Berries of Lebanese Juniperus Excelsa M. Bieb Displays Similar Antibacterial Activity to Chlorhexidine but Higher Cytocompatibility with Human Oral Primary Cells. Molecules 2015, 20, 9344–9357. [Google Scholar] [CrossRef]
  73. Liu, J.X.; Werner, J.; Kirsch, T.; Zuckerman, J.D.; Virk, M.S. Cytotoxicity Evaluation of Chlorhexidine Gluconate on Human Fibroblasts, Myoblasts, and Osteoblasts. J. Bone Jt. Infect. 2018, 3, 165–172. [Google Scholar] [CrossRef]
  74. Cunha, G.; D’Angieri Saugo, G.; Gabrielli, M.A.C.; Barbeiro, C.d.O.; de Almeida, L.Y.; Bufalino, A.; Pereira-Filho, V.A. Cytotoxicity Evaluation of Chlorhexidine and Blue®M Applied to a Human Gingival Fibroblast (HGF-1) and Keratinocytes (NOK-SI): In Vitro Study. J. Stomatol. Oral Maxillofac. Surg. 2024, 125, 101923. [Google Scholar] [CrossRef]
  75. Dinu, S.; Matichescu, A.; Buzatu, R.; Marcovici, I.; Geamantan-Sirbu, A.; Semenescu, A.D.; Bratu, R.C.; Bratu, D.-C. Insights into the Cytotoxicity and Irritant Potential of Chlorhexidine Digluconate: An In Vitro and In Ovo Safety Screening. Dent. J. 2024, 12, 221. [Google Scholar] [CrossRef] [PubMed]
  76. Tomiyama, K.; Mukai, Y.; Saito, M.; Watanabe, K.; Kumada, H.; Nihei, T.; Hamada, N.; Teranaka, T. Antibacterial Action of a Condensed Tannin Extracted from Astringent Persimmon as a Component of Food Addictive Pancil PS-M on Oral Polymicrobial Biofilms. BioMed Res. Int. 2016, 2016, 5730748. [Google Scholar] [CrossRef] [PubMed]
  77. Xu, L.; Yang, J.; Xue, B.; Zhang, C.; Shi, L.; Wu, C.; Su, Y.; Jin, X.; Liu, Y.; Zhu, X. Molecular Insights for the Biological Interactions between Polyethylene Glycol and Cells. Biomaterials 2017, 147, 1–13. [Google Scholar] [CrossRef] [PubMed]
  78. Ma, X.; Zhou, X.; Qiang, Q.; Zhang, Z. Ultrasound-assisted Extraction and Preliminary Purification of Proanthocyanidins and Chlorogenic Acid from Almond (Prunus dulcis) Skin. J. Sep. Sci. 2014, 37, 1834–1841. [Google Scholar] [CrossRef]
Figure 1. Determination of half-maximum inhibitory concentration of PSRE based on HGF-1 cell viability. PG 30%, 30% polyethylene glycol solution; concentrations of PSRE: 25–800 μg/mL; y-axis: % viable, apoptotic, and necrotic cells; n = 12.
Figure 1. Determination of half-maximum inhibitory concentration of PSRE based on HGF-1 cell viability. PG 30%, 30% polyethylene glycol solution; concentrations of PSRE: 25–800 μg/mL; y-axis: % viable, apoptotic, and necrotic cells; n = 12.
Medicina 61 02098 g001
Figure 2. PSRE and chlorhexidine effects on HGF-1 cell counts (in relative units (mean ± SE)). PG 30%, 30% polyethylene glycol solution; CHX 0.12%, 0.12% chlorhexidine digluconate solution; PSRE concentrations: 25–240 μg/mL; n = 25. One-way ANOVA followed by LSD post hoc test: * control vs. 25 μg/mL (0.09 ± 0.03) p = 0.006; # control vs. CHX 0.12% (−0.20 ± 0.03) p < 0.001. Other groups showed no difference when compared with control.
Figure 2. PSRE and chlorhexidine effects on HGF-1 cell counts (in relative units (mean ± SE)). PG 30%, 30% polyethylene glycol solution; CHX 0.12%, 0.12% chlorhexidine digluconate solution; PSRE concentrations: 25–240 μg/mL; n = 25. One-way ANOVA followed by LSD post hoc test: * control vs. 25 μg/mL (0.09 ± 0.03) p = 0.006; # control vs. CHX 0.12% (−0.20 ± 0.03) p < 0.001. Other groups showed no difference when compared with control.
Medicina 61 02098 g002
Figure 3. TGFβ-1 levels in PSRE-treated HGF-1 (a) and HPDLF (b) cells. Mean concentration of TGFβ-1 (pg/mL), n = 31. One-way ANOVA test followed by LSD post hoc test: * p < 0.001 compared with control. PG 30%, 30% polyethylene glycol solution; PSRE concentrations: 25–50 μg/mL.
Figure 3. TGFβ-1 levels in PSRE-treated HGF-1 (a) and HPDLF (b) cells. Mean concentration of TGFβ-1 (pg/mL), n = 31. One-way ANOVA test followed by LSD post hoc test: * p < 0.001 compared with control. PG 30%, 30% polyethylene glycol solution; PSRE concentrations: 25–50 μg/mL.
Medicina 61 02098 g003
Disclaimer/Publisher’s Note: The statements, opinions and data contained in all publications are solely those of the individual author(s) and contributor(s) and not of MDPI and/or the editor(s). MDPI and/or the editor(s) disclaim responsibility for any injury to people or property resulting from any ideas, methods, instructions or products referred to in the content.

Share and Cite

MDPI and ACS Style

Alkimavičienė, E.; Basevičienė, N.; Strazdauskas, A.; Banienė, R.; Savickienė, N. Proliferative Effect of Proanthocyanidins on HGF-1 and HPDLF Cells: An In Vitro Study. Medicina 2025, 61, 2098. https://doi.org/10.3390/medicina61122098

AMA Style

Alkimavičienė E, Basevičienė N, Strazdauskas A, Banienė R, Savickienė N. Proliferative Effect of Proanthocyanidins on HGF-1 and HPDLF Cells: An In Vitro Study. Medicina. 2025; 61(12):2098. https://doi.org/10.3390/medicina61122098

Chicago/Turabian Style

Alkimavičienė, Evelina, Nomeda Basevičienė, Arvydas Strazdauskas, Rasa Banienė, and Nijolė Savickienė. 2025. "Proliferative Effect of Proanthocyanidins on HGF-1 and HPDLF Cells: An In Vitro Study" Medicina 61, no. 12: 2098. https://doi.org/10.3390/medicina61122098

APA Style

Alkimavičienė, E., Basevičienė, N., Strazdauskas, A., Banienė, R., & Savickienė, N. (2025). Proliferative Effect of Proanthocyanidins on HGF-1 and HPDLF Cells: An In Vitro Study. Medicina, 61(12), 2098. https://doi.org/10.3390/medicina61122098

Article Metrics

Back to TopTop