New Quinazolin-4(3H)-one Derivatives as Potential Antitumoral Compounds: Synthesis, In Vitro Cytotoxicity Against the HepG2 Cell Line, and In Silico VEGFR-2 Targeting-Based Studies
Abstract
1. Introduction
2. Results and Discussion
2.1. Chemical Synthesis
2.2. Molecular Docking
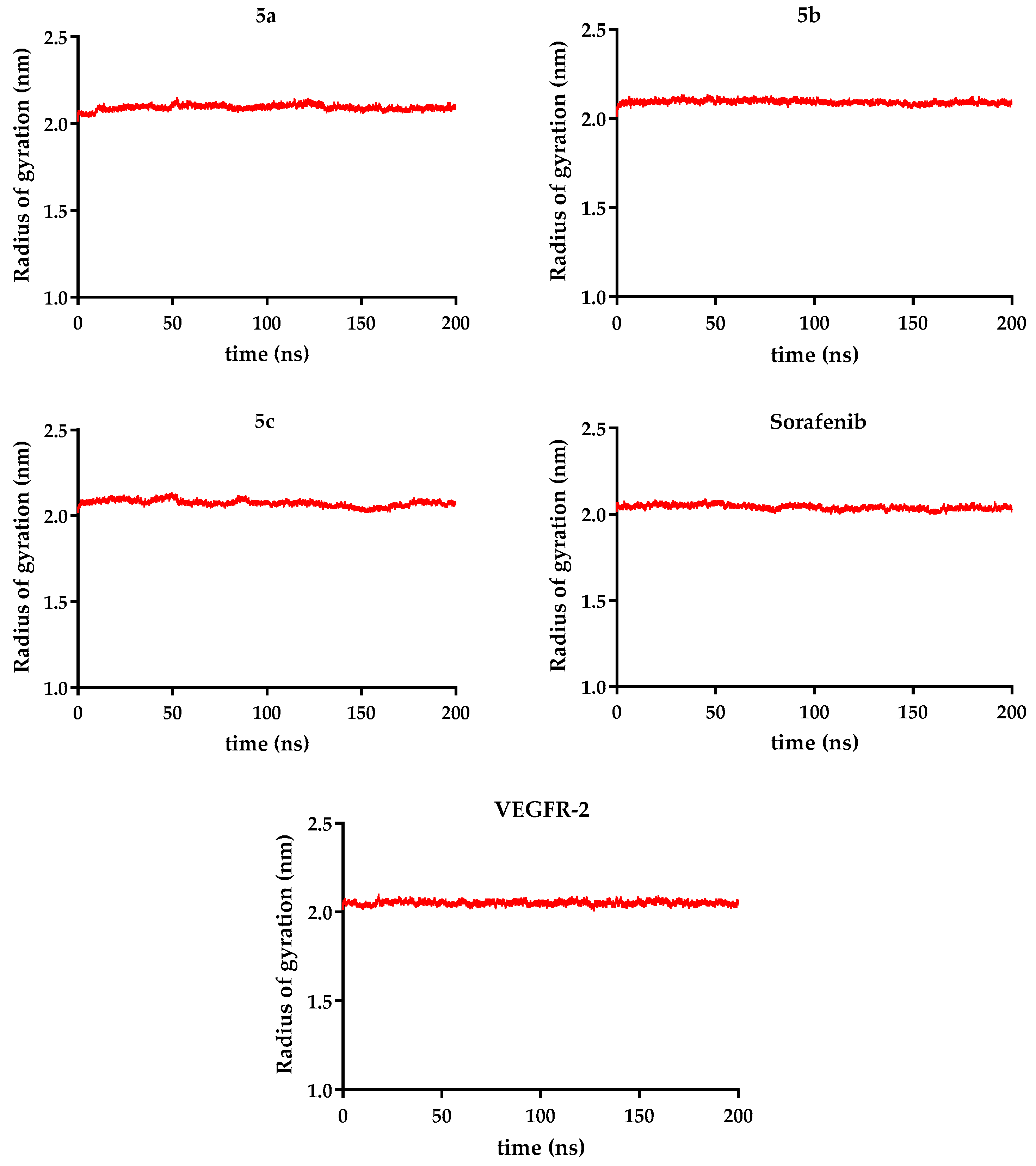
2.3. Molecular Dynamics
2.4. Molecular Mechanics–Poisson–Boltzmann Surface Area (MM-PBSA)
2.5. Density Functional Theory (DFT)
2.6. Cytotoxicity Assay
2.7. ADME Studies
2.7.1. In Silico
2.7.2. In Vitro Lipophilicity
3. Materials and Methods
3.1. Chemical Synthesis
3.2. Molecular Docking
3.3. Molecular Dynamics
3.4. Molecular Mechanics–Poisson–Boltzmann Surface Area (MM-PBSA)
3.5. Density Functional Theory (DFT)
3.6. Cytotoxicity Assay
3.7. ADME Studies
3.7.1. In Silico
3.7.2. In Vitro Lipophilicity
4. Conclusions
Supplementary Materials
Author Contributions
Funding
Institutional Review Board Statement
Informed Consent Statement
Data Availability Statement
Conflicts of Interest
References
- Kinsey, E.; Lee, H.M. Management of Hepatocellular Carcinoma in 2024: The Multidisciplinary Paradigm in an Evolving Treatment Landscape. Cancers 2024, 16, 666. [Google Scholar] [CrossRef]
- Ferrante, N.D.; Pillai, A.; Signal, A.G. Update on the Diagnosis and Treatment of Hepatocellular Carcinoma. Gastroenterol. Hepatol. 2020, 16, 506–516. [Google Scholar]
- Yang, C.; Qin, S. Apatinib Targets Both Tumor and Endothelial Cells in Hepatocellular Carcinoma. Cancer Med. 2018, 7, 4570–4583. [Google Scholar] [CrossRef] [PubMed]
- Mohsen, H.T.A.; Abdullaziz, M.A.; El Kerdawy, A.M.; Ragab, F.A.F.; Flanagan, K.J.; Mahmoud, A.E.E.; Ali, M.M.; El Diwani, H.I.; Senge, M.O. Targeting Receptor Tyrosine Kinase VEGFR-2 in Hepatocellular Cancer: Rational Design, Synthesis and Biological Evaluation of 1, 2-Disubstituted Benzimidazoles. Molecules 2020, 25, 770. [Google Scholar] [CrossRef]
- Mahdy, H.A.; Ibrahim, M.K.; Metwaly, A.M.; Belal, A.; Mehany, A.B.M.; El-Gamal, K.M.A.; El-Sharkawy, A.; Elhendawy, M.A.; Radwan, M.M.; Elsohly, M.A.; et al. Design, Synthesis, Molecular Modeling, in Vivo Studies and Anticancer Evaluation of Quinazolin-4(3H)-One Derivatives as Potential VEGFR-2 Inhibitors and Apoptosis Inducers. Bioorg. Chem. 2020, 94, 103422. [Google Scholar] [CrossRef]
- Eissa, I.H.; El-Helby, A.-G.A.; Mahdy, H.A.; Khalifa, M.M.; Elnagar, H.A.; Mehany, A.B.M.; Metwaly, A.M.; Elhendawy, M.A.; Radwan, M.M.; ElSohly, M.A.; et al. Discovery of New Quinazolin-4(3H)-Ones as VEGFR-2 Inhibitors: Design, Synthesis, and Anti-Proliferative Evaluation. Bioorg. Chem. 2020, 105, 104380. [Google Scholar] [CrossRef]
- Wang, L.; Chen, M.; Ran, X.; Tang, H.; Cao, D. Sorafenib-Based Drug Delivery Systems: Applications and Perspectives. Polymers 2023, 15, 2638. [Google Scholar] [CrossRef]
- Coman, F.; Mbaveng, A.; Marc, G.; Leonte, D.; Brém, B.; Vlase, L. Heterocycles 47. Synthesis, Characterization And Biological Evaluation Of Some New Thiazole Aurones As Antiproliferative Agents. Farmacia 2020, 68, 492–506. [Google Scholar] [CrossRef]
- Bădiceanu, C.; Nuţă, D.; Missir, A.-V.; Hrubaru, M.; Limban, C. Synthesis And Characterization Of New 2-(2-Thienyl)-5-Aryl-1,3,4-Oxadiazoles. Farmacia 2018, 66, 553–557. [Google Scholar] [CrossRef]
- Mic, M.; Pîrnău, A.; Floare, C.G.; Borlan, R.; Focsan, M.; Oniga, O.; Bogdan, M.; Vlase, L.; Oniga, I.; Marc, G. Antioxidant Activity Evaluation and Assessment of the Binding Affinity to HSA of a New Catechol Hydrazinyl-Thiazole Derivative. Antioxidants 2022, 11, 1245. [Google Scholar] [CrossRef]
- Sabe, V.T.; Ntombela, T.; Jhamba, L.A.; Maguire, G.E.M.; Govender, T.; Naicker, T.; Kruger, H.G. Current Trends in Computer Aided Drug Design and a Highlight of Drugs Discovered via Computational Techniques: A Review. Eur. J. Med. Chem. 2021, 224, 113705. [Google Scholar] [CrossRef]
- Wang, K.; Huang, Y.; Wang, Y.; You, Q.; Wang, L. Recent Advances from Computer-Aided Drug Design to Artificial Intelligence Drug Design. RSC Med. Chem. 2024, 15, 3978–4000. [Google Scholar] [CrossRef]
- Abbas, S.Y. 4(3H)-Quinazolinone Derivatives: Syntheses, Physical Properties, Chemical Reaction, and Biological Properties. In Quinazolinone and Quinazoline Derivatives; Gamal Al-Kal, A., Ed.; IntechOpen: London, UK, 2020; pp. 53–56. [Google Scholar]
- Abdelmonsef, A.H.; Mosallam, A.M. Synthesis, in Vitro Biological Evaluation and in Silico Docking Studies of New Quinazolin-2,4-dione Analogues as Possible Anticarcinoma Agents. J. Heterocycl. Chem. 2020, 57, 1637–1654. [Google Scholar] [CrossRef]
- Ahmed, M.F.; Belal, A. Design, Synthesis, and Molecular Docking Studies of 2-(Furan-2-yl)Quinazolin-4-one Derivatives as Potential Antiproliferative Agents. Arch. Pharm. 2015, 348, 487–497. [Google Scholar] [CrossRef]
- Alsibaee, A.M.; Al-Yousef, H.M.; Al-Salem, H.S. Quinazolinones, the Winning Horse in Drug Discovery. Molecules 2023, 28, 978. [Google Scholar] [CrossRef]
- Das, S.; Chatterjee, N.; Bose, D.; Dey, S.K.; Munda, R.N.; Nandy, A.; Bera, S.; Biswas, S.K.; Saha, K. Das Anticancer Potential of 3-(Arylideneamino)-2-Phenylquinazoline-4(3H)-One Derivatives. Cell. Physiol. Biochem. 2012, 29, 251–260. [Google Scholar] [CrossRef] [PubMed]
- ElZahabi, H.S.A.; Nafie, M.S.; Osman, D.; Elghazawy, N.H.; Soliman, D.H.; EL-Helby, A.A.H.; Arafa, R.K. Design, Synthesis and Evaluation of New Quinazolin-4-One Derivatives as Apoptotic Enhancers and Autophagy Inhibitors with Potent Antitumor Activity. Eur. J. Med. Chem. 2021, 222, 113609. [Google Scholar] [CrossRef] [PubMed]
- Soliman, M.H.A.; Ali, I.A.I.; El-Sakka, S.S.A.; Mohamed, O.E.-S.A.-B. Novel Quinoline Derivatives as Antitumor Agents against HepG2 Cells: Synthesis, Characterization, in Silico, in Vitro and Docking Studies. J. Mol. Struct. 2022, 1254, 132325. [Google Scholar] [CrossRef]
- Yu, P.; Cao, W.; Yang, S.; Wang, Y.; Xia, A.; Tan, X.; Wang, L. Design, Synthesis and Antitumor Evaluation of Novel Quinazoline Analogs in Hepatocellular Carcinoma Cell. J. Mol. Struct. 2022, 1268, 133718. [Google Scholar] [CrossRef]
- Zahran, S.S.; Ragab, F.A.; El-Gazzar, M.G.; Soliman, A.M.; Mahmoud, W.R.; Ghorab, M.M. Antiproliferative, Antiangiogenic and Apoptotic Effect of New Hybrids of Quinazoline-4(3H)-Ones and Sulfachloropyridazine. Eur. J. Med. Chem. 2023, 245, 114912. [Google Scholar] [CrossRef]
- Noser, A.A.; El-naggar, M.; Donia, T.; Abdelmonsef, A.H. Synthesis, In Silico and In Vitro Assessment of New Quinazolinones as Anticancer Agents via Potential AKT Inhibition. Molecules 2020, 25, 4780. [Google Scholar] [CrossRef]
- Haneen, D.S.A.; Abdalha, A.A.; Alkhatib, M.M.; Kamal, M.; Youssef, A.S.A.; Abou-elmagd, W.S.I.; Samir, S.S. Synthesis, Comprehensive in Silico Studies, and Cytotoxicity Evaluation of Novel Quinazolinone Derivatives as Potential Anticancer Agents. Sci. Rep. 2025, 15, 1–25. [Google Scholar] [CrossRef] [PubMed]
- Han, S.; Jung, J.E.; Oh, D.H.; Kim, M.; Kim, J.; Chung, S.; Han, H.; Lee, J.; Lee, K.; Jeong, H.J.; et al. Identification of Highly Selective Type II Kinase Inhibitors with Chiral Peptidomimetic Tails Peptidomimetic Tails. J. Enzyme Inhib. Med. Chem. 2022, 37, 1257–1277. [Google Scholar] [CrossRef] [PubMed]
- Kufareva, I.; Abagyan, R. Type-II Kinase Inhibitor Docking, Screening, and Profiling Using Modified Structures of Active Kinase States. J. Med. Chem. 2008, 51, 7921–7932. [Google Scholar] [CrossRef]
- Wu, X.; Li, H.; Ding, X.; Chen, X.; Yin, C.; Gao, Y.; Ma, J. Design, Synthesis, and Evaluation of 8-(o-Tolyl)Quinazoline Derivatives as Small-Molecule PD-1/PD-L1 Antagonists. ACS Med. Chem. Lett. 2024, 15, 518–523. [Google Scholar] [CrossRef] [PubMed]
- Pele, R.; Marc, G.; Stana, A.; Ionuț, I.; Nastasă, C.; Tiperciuc, B.; Oniga, I.; Pîrnău, A.; Vlase, L.; Oniga, O. Synthesis of New Phenolic Derivatives of Quinazolin-4(3H)-One as Potential Antioxidant Agents—In Vitro Evaluation and Quantum Studies. Molecules 2022, 27, 2599. [Google Scholar] [CrossRef]
- Pele, R.; Marc, G.; Ionuț, I.; Nastasă, C.; Fizeșan, I.; Pîrnău, A.; Vlase, L.; Palage, M.; Oniga, S.; Oniga, O. Antioxidant and Cytotoxic Activity of New Polyphenolic Derivatives of Quinazolin-4(3H)-One: Synthesis and In Vitro Activities Evaluation. Pharmaceutics 2022, 15, 136. [Google Scholar] [CrossRef]
- Velázquez-Libera, J.L.; Durán-Verdugo, F.; Valdés-Jiménez, A.; Núñez-Vivanco, G.; Caballero, J. LigRMSD: A Web Server for Automatic Structure Matching and RMSD Calculations among Identical and Similar Compounds in Protein-Ligand Docking. Bioinformatics 2020, 36, 2912–2914. [Google Scholar] [CrossRef]
- Șandor, A.; Fizeșan, I.; Ionuț, I.; Marc, G.; Moldovan, C.; Oniga, I.; Pîrnău, A.; Vlase, L.; Petru, A.-E.; Macasoi, I.; et al. Discovery of A Novel Series of Quinazoline–Thiazole Hybrids as Potential Antiproliferative and Anti-Angiogenic Agents. Biomolecules 2024, 14, 218. [Google Scholar] [CrossRef]
- Vieira, T.F.; Sousa, S.F. Comparing AutoDock and Vina in Ligand/Decoy Discrimination for Virtual Screening. Appl. Sci. 2019, 9, 4538. [Google Scholar] [CrossRef]
- Trott, O.; Olson, A.J. AutoDock Vina: Improving the Speed and Accuracy of Docking with a New Scoring Function, Efficient Optimization, and Multithreading. J. Comput. Chem. 2010, 31, 455–461. [Google Scholar] [CrossRef]
- Chang, M.W.; Ayeni, C.; Breuer, S.; Torbett, B.E. Virtual Screening for HIV Protease Inhibitors: A Comparison of AutoDock 4 and Vina. PLoS ONE 2010, 5, 1–9. [Google Scholar] [CrossRef]
- Gaillard, T. Evaluation of AutoDock and AutoDock Vina on the CASF-2013 Benchmark. J. Chem. Inf. Model. 2018, 58, 1697–1706. [Google Scholar] [CrossRef] [PubMed]
- Wei, M.; Cao, Z.; Dong, L.; Wang, W.E.I.; Wei, M.E.I.; Ji, L.; Duan, L.; Sun, H.U.I.; Zheng, M. The Advantages and Challenges of Sorafenib Combination Therapy: Drug Resistance, Toxicity and Future Directions (Review). Oncol. Lett. 2025, 30, 1–20. [Google Scholar] [CrossRef] [PubMed]
- Hollingsworth, S.A.; Dror, R.O. Review Molecular Dynamics Simulation for All. Neuron 2018, 99, 1129–1143. [Google Scholar] [CrossRef] [PubMed]
- Wang, C.; Greene, D.A.; Xiao, L.; Qi, R.; Luo, R.; Luo, R. Recent Developments and Applications of the MMPBSA Method. Front. Mol. Biosci. 2018, 4, 1–18. [Google Scholar] [CrossRef]
- Kokalj, A. On the Alleged Importance of the Molecular Electron-Donating Ability and the HOMO–LUMO Gap in Corrosion Inhibition Studies. Corros. Sci. 2020, 180, 109016. [Google Scholar] [CrossRef]
- Choudhary, V.K.; Bhatt, K.; Dash, D.; Sharma, N. DFT Calculations on Molecular Structures, HOMO—LUMO Study, Reactivity Descriptors and Spectral Analyses of Newly Synthesized Diorganotin (IV) 2-Chloridophenylacetohydroxamate Complexes. J. Comput. Chem. 2019, 40, 2354–2363. [Google Scholar] [CrossRef]
- Turcu, I.; Mic, M. Size Dependence of Molecular Self-Assembling in Stacked Aggregates. II. Heat Exchange Effects. J. Phys. Chem. B 2013, 117, 9083–9093. [Google Scholar] [CrossRef]
- Infield, D.T.; Rasouli, A.; Galles, G.D.; Chipot, C.; Ahern, C.A. Cation-π Interactions and Their Functional Roles in Membrane Proteins. J. Mol. Biol. 2021, 433, 167035. [Google Scholar] [CrossRef]
- Dougherty, D.A. The Cation−π Interaction in Chemistry and Biology. Chem. Rev. 2025, 125, 2793–2808. [Google Scholar] [CrossRef] [PubMed]
- Varlamova, E.G.; Goltyaev, M.V.; Simakin, A.V.; Gudkov, S.V. Comparative Analysis of the Cytotoxic Effect of a Complex of Selenium Nanoparticles Doped with Sorafenib, “Naked” Selenium Nanoparticles, and Sorafenib on Human Hepatocyte Carcinoma HepG2 Cells. Int. J. Mol. Sci. 2022, 23, 6641. [Google Scholar] [CrossRef] [PubMed]
- Wu, C.-C.; Chung, J.; Tsai, S.-J.; Yang, J.; Sheen, L. Differential Effects of Allyl Sulfides from Garlic Essential Oil on Cell Cycle Regulation in Human Liver Tumor Cells. Food Chem. Toxicol. 2004, 42, 1937–1947. [Google Scholar] [CrossRef] [PubMed]
- Komura, H.; Watanabe, R.; Mizuguchi, K. The Trends and Future Prospective of In Silico Models from the Viewpoint of ADME Evaluation in Drug Discovery. Pharmaceutics 2023, 15, 2619. [Google Scholar] [CrossRef]
- van Breemen, R.B.; Li, Y. Caco-2 Cell Permeability Assays to Measure Drug Absorption. Expert. Opin. Drug Metab. Toxicol. 2005, 1, 175–185. [Google Scholar] [CrossRef]
- Sorkun, M.C.; Khetan, A.; Er, S. AqSolDB, a Curated Reference Set of Aqueous Solubility and 2D Descriptors for a Diverse Set of Compounds. Sci. Data 2019, 6, 1–8. [Google Scholar] [CrossRef]
- Morak-młodawska, B.; Jele, M. Study of Lipophilicity and ADME Properties of 1, 9-Diazaphenothiazines with Anticancer Action. Int. J. Mol. Sci. 2023, 24, 6970. [Google Scholar] [CrossRef]
- Tamaian, R.; Moţ, A.; Silaghi-Dumitrescu, R.; Ionuţ, I.; Stana, A.; Oniga, O.; Nastasə, C.; Benedec, D.; Tiperciuc, B.; McPhee, D.J. Study of the Relationships between the Structure, Lipophilicity and Biological Activity of Some Thiazolyl-Carbonyl-Thiosemicarbazides and Thiazolyl-Azoles. Molecules 2015, 20, 19841. [Google Scholar] [CrossRef]
- Fu, L.; Shi, S.; Yi, J.; Wang, N.; He, Y.; Wu, Z. ADMETlab 3.0: An Updated Comprehensive Online ADMET Prediction Platform Enhanced with Broader Coverage, Improved Performance, API Functionality and Decision Support. Nucleic Acids Res. 2024, 52, W422–W431. [Google Scholar] [CrossRef]
- McTigue, M.; Murray, B.W.; Chen, J.H.; Deng, Y.-L.; Solowiej, J.; Kania, R.S. Molecular Conformations, Interactions, and Properties Associated with Drug Efficiency and Clinical Performance among VEGFR TK Inhibitors. Proc. Natl. Acad. Sci. USA 2012, 109, 18281–18289. [Google Scholar] [CrossRef]
- Berman, H.M.; Westbrook, J.; Feng, Z.; Gilliland, G.; Bhat, T.N.; Weissig, H.; Shindyalov, I.N.; Bourne, P.E. The Protein Data Bank. Nucleic Acids Res. 2000, 28, 235–242. [Google Scholar] [CrossRef] [PubMed]
- Morris, G.M.; Huey, R.; Lindstrom, W.; Sanner, M.F.; Belew, R.K.; Goodsell, D.S.; Olson, A.J. AutoDock4 and AutoDockTools4: Automated Docking with Selective Receptor Flexibility. J. Comput. Chem. 2009, 30, 2785–2791. [Google Scholar] [CrossRef]
- Waterhouse, A.; Bertoni, M.; Bienert, S.; Studer, G.; Tauriello, G.; Gumienny, R.; Heer, F.T.; De Beer, T.A.P.; Rempfer, C.; Bordoli, L.; et al. SWISS-MODEL: Homology Modelling of Protein Structures and Complexes. Nucleic Acids Res. 2018, 46, 296–303. [Google Scholar] [CrossRef]
- Hanwell, M.D.; Curtis, D.E.; Lonie, D.C.; Vandermeersch, T.; Zurek, E.; Hutchison, G.R. Avogadro: An Advanced Semantic Chemical Editor, Visualization, and Analysis Platform. J. Cheminform. 2012, 4, 17. [Google Scholar] [CrossRef]
- Pettersen, E.F.; Goddard, T.D.; Huang, C.C.; Couch, G.S.; Greenblatt, D.M.; Meng, E.C.; Ferrin, T.E. UCSF Chimera—A Visualization System for Exploratory Research and Analysis. J. Comput. Chem. 2004, 25, 1605–1612. [Google Scholar] [CrossRef]
- Abraham, M.J.; Murtola, T.; Schulz, R.; Páll, S.; Smith, J.C.; Hess, B.; Lindahl, E. GROMACS: High Performance Molecular Simulations through Multi-Level Parallelism from Laptops to Supercomputers. SoftwareX 2015, 1–2, 19–25. [Google Scholar] [CrossRef]
- Vanommeslaeghe, K.; Hatcher, E.; Acharya, C.; Kundu, S.; Zhong, S.; Shim, J.; Darian, E.; Guvench, O.; Lopes, P.; Vorobyov, I.; et al. CHARMM General Force Field: A Force Field for Drug-like Molecules Compatible with the CHARMM All-atom Additive Biological Force Fields. J. Comput. Chem. 2010, 31, 671–690. [Google Scholar] [CrossRef]
- Jorgensen, W.L.; Chandrasekhar, J.; Madura, J.D.; Impey, R.W.; Klein, M.L. Comparison of Simple Potential Functions for Simulating Liquid Water. J. Chem. Phys. 1983, 79, 926–935. [Google Scholar] [CrossRef]
- Lv, Z.; Wang, H.S.; Niu, X.D. Molecular Dynamics Simulations Reveal Insight into Key Structural Elements of Aaptamines as Sortase Inhibitors with Free Energy Calculations. Chem. Phys. Lett. 2013, 585, 171–177. [Google Scholar] [CrossRef]
- Jin, H.; Zhou, Z.; Wang, D.; Guan, S.; Han, W. Molecular Dynamics Simulations of Acylpeptide Hydrolase Bound to Chlorpyrifosmethyl Oxon and Dichlorvos. Int. J. Mol. Sci. 2015, 16, 6217. [Google Scholar] [CrossRef] [PubMed]
- Humphrey, W.; Dalke, A.; Schulten, K. VMD: Visual Molecular Dynamics. J. Mol. Graph. 1996, 14, 33–38. [Google Scholar] [CrossRef]
- Valdés-Tresanco, M.S.; Valdés-Tresanco, M.E.; Valiente, P.A.; Moreno, E. Gmx_MMPBSA: A New Tool to Perform End-State Free Energy Calculations with GROMACS. J. Chem. Theory Comput. 2021, 17, 6281–6291. [Google Scholar] [CrossRef]
- Ahmad Mir, S.; Paramita Mohanta, P.; Kumar Meher, R.; Baitharu, I.; Kumar Raval, M.; Kumar Behera, A.; Nayak, B. Structural Insights into Conformational Stability and Binding of Thiazolo-[2,3-b] Quinazolinone Derivatives with EGFR-TKD and in-Vitro Study. Saudi J. Biol. Sci. 2022, 29, 103478. [Google Scholar] [CrossRef]
- Revankar, A.G.; Bagewadi, Z.K.; Shaikh, I.A.; Mannasaheb, B.A.; Ghoneim, M.M.; Khan, A.A.; Asdaq, S.M.B. In-Vitro and Computational Analysis of Urolithin-A for Anti-Inflammatory Activity on Cyclooxygenase 2 (COX-2). Saudi J. Biol. Sci. 2023, 30, 103804. [Google Scholar] [CrossRef]
- Kumar, P.; Nagarajan, A.; Uchil, P.D. Analysis of Cell Viability by the MTT Assay. Cold Spring Harb. Protoc. 2018, 2018, pdb.prot095505. [Google Scholar] [CrossRef]
- Bradfield, A.E.; Bate-Smith, E.C. Chromatographic Behaviour and Chemical Structure II. The Tea Catechins. Biochim. Biophys. Acta 1950, 4, 441–444. [Google Scholar] [CrossRef]
- Soczewiński, E.; Wachtmeister, C.A. The Relation between the Composition of Certain Ternary Two-Phase Solvent Systems and RM Values. J. Chromatogr. 1962, 7, 311–319. [Google Scholar] [CrossRef]
- Maćkiewicz, A.; Waldemar, R. Principal Components Analysis (PCA). Comput. Geosci. 1993, 19, 303–342. [Google Scholar] [CrossRef]
- Casoni, D.; Sârbu, C. Original Paper The Lipophilicity of Parabens Estimated on Reverse Phases Chemically Bonded and Oil-Impregnated Plates and Calculated Using Different Computation Methods. J. Sep. Sci. 2009, 32, 2377–2384. [Google Scholar] [CrossRef]
- Elmansi, H.; Nasr, J.J.; Rageh, A.H.; El Awady, M.I.; Hassan, G.S.; Aziz, H.A.A.; Belal, F. Assessment of Lipophilicity of Newly Synthesized Celecoxib Analogues Using Reversed-Phase HPLC. BMC Chem. 2019, 13, 1–7. [Google Scholar] [CrossRef]
- Santos, A.; Soares, J.X.; Cravo, S.; Tiritan, M.E.; Reis, S.; Afonso, C.; Fernandes, C.; Pinto, M.M.M. Lipophilicity Assessement in Drug Discovery: Experimental and Theoretical Methods Applied to Xanthone Derivatives. J. Chromatogr. B Anal. Technol. Biomed. Life Sci. 2018, 1072, 182–192. [Google Scholar] [CrossRef]





















| Compounds | AutoDock Vina 1.1.2 | AutoDock 4.2 |
|---|---|---|
| 5a | −8.40 | −9.98 |
| 5b | −9.30 | −10.19 |
| 5c | −8.20 | −9.69 |
| Sorafenib | −10.60 | −11.97 |
| System Evaluated | RMSD—Protein (nm) | RMSF Amino Acid αCarbons (nm) | RMSF Amino Acid Sidechains (nm) | RMSD—Ligand (nm) | Rg Protein (nm) | NoHB Protein–Ligand (no/ns) and (SD) |
|---|---|---|---|---|---|---|
| VEGFR-2 receptor + 5a | 0.26 | 0.12 | 0.17 | 0.30 | 2.09 | 1.05 (0.54) |
| VEGFR-2 receptor + 5b | 0.19 | 0.11 | 0.16 | 0.33 | 2.08 | 1.37 (0.39) |
| VEGFR-2 receptor + 5c | 0.22 | 0.11 | 0.16 | 0.28 | 2.07 | 1.04 (0.43) |
| VEGFR-2 receptor + Sorafenib | 0.24 | 0.12 | 0.17 | 0.11 | 2.04 | 3.86 (0.13) |
| VEGFR-2 receptor | 0.19 | 0.11 | 0.16 | N/A | 2.05 | N/A |
| Compound | ΔG | Van Der Waals | Electrostatic | Solvation |
|---|---|---|---|---|
| 5a | −32.29 | −45.45 | −17.35 | 30.51 |
| 5b | −35.33 | −53.01 | −7.32 | 25.00 |
| 5c | −32.64 | −45.45 | −14.81 | 27.62 |
| Sorafenib | −69.39 | −59.19 | −39.67 | 29.47 |
| Compound | Vacuum | Nonpolar Solvent (ε = 7.43) | Polar Solvent (ε = 37.22) | Water | ||||
|---|---|---|---|---|---|---|---|---|
| HOMO | LUMO | HOMO | LUMO | HOMO | LUMO | HOMO | LUMO | |
| 5a | −6.18 | −1.82 | −6.26 | −1.76 | −6.27 | −1.75 | −6.28 | −1.75 |
| 5b | −6.19 | −1.75 | −6.24 | −1.73 | −6.26 | −1.74 | −6.26 | −1.74 |
| 5c | −6.15 | −1.83 | −6.26 | −1.83 | −6.27 | −1.82 | −6.27 | −1.82 |
| Compound | Area (Å2) | Volume (Å3) | Dipole (D) |
|---|---|---|---|
| 5a | 394.48 | 375.02 | 1.44 |
| 5b | 438.03 | 425.95 | 1.35 |
| 5c | 377.65 | 360.31 | 2.60 |
| Co | IC50 (μM) at 48 h | Selectivity Index (SI) | ||
|---|---|---|---|---|
| Tested Concentration (μM) | Cells Line | |||
| BJ | HepG2 | 48 h | ||
| 5a | 12.50–150.00 | >100.00 | >50.00 | - |
| 5b | 12.50–150.00 | 26.60 ± 1.07 | 24.87 ± 0.19 | 1.06 |
| 5c | 12.50–150.00 | 34.50 ± 1.09 | 25.46 ± 0.20 | 1.35 |
| Sorafenib | 0.30–7.50 | 5.11 ± 0.16 | 4.87 ± 0.19 | 1.04 |
| Co | MW (g/mol) | No. RB | No. HA | No. HD | TPSA (Å) | logP | logS | No. of Lipinski Violations |
|---|---|---|---|---|---|---|---|---|
| 5a | 395.43 | 7 | 7 | 3 | 115.28 | 2.654 | −4.313 | 0 |
| 5b | 449.45 | 7 | 7 | 3 | 115.28 | 3.140 | −4.231 | 0 |
| 5c | 383.09 | 6 | 7 | 3 | 115.28 | 2.419 | −4.036 | 0 |
| Co | Caco-2 Perm. | P-gp sb. | PPB (%) | CYP2C19 Inhibition | CYP2D6 Inhibition | CYP3A4 Inhibition | HLM Stability | Cl Plasma | T1/2 |
|---|---|---|---|---|---|---|---|---|---|
| 5a | 395.43 | No | 97.9 | Yes | No | Yes | Unstable | 4.547 | 0.529 |
| 5b | 449.45 | No | 98.7 | Yes | No | Yes | Unstable | 4.109 | 0.474 |
| 5c | 383.09 | No | 98.1 | Yes | No | Yes | Stable | 4.889 | 0.526 |
| Co | Isopropanol–Water (v:v %) | |||||||||
|---|---|---|---|---|---|---|---|---|---|---|
| 40:60 | 45:60 | 50:50 | 55:45 | 60:40 | ||||||
| Rf | RM | Rf | RM | Rf | RM | Rf | RM | Rf | RM | |
| 5a | 0.43 | 0.12 | 0.48 | 0.03 | 0.55 | −0.08 | 0.66 | −0.28 | 0.8 | −0.60 |
| 5b | 0.30 | 0.36 | 0.37 | 0.23 | 0.46 | 0.06 | 0.58 | −0.14 | 0.72 | −0.41 |
| 5c | 0.47 | 0.05 | 0.51 | −0.01 | 0.58 | −0.14 | 0.68 | −0.32 | 0.81 | −0.62 |
| Co | RP-TLC | RP-HPLC | |||
|---|---|---|---|---|---|
| mRM | RM0 | b | R2 | log k | |
| 5a | −0.16 | −0.03 | 1.60 | 0.93 | 0.93 |
| 5b | 0.02 | −0.03 | 1.95 | 0.98 | 0.99 |
| 5c | −0.21 | −0.03 | 1.46 | 0.93 | 0.91 |
| Co | PC1 | PC2 |
|---|---|---|
| 5a | 0.64 | −0.09 |
| 5b | −2.01 | 0.41 |
| 5c | 1.37 | −0.31 |
| Lipophilicity Parameter | mRM | RM0 | PC1 | log k | logP |
|---|---|---|---|---|---|
| mRM | 1.00 | −0.97 | −0.99 | 0.99 | 0.99 |
| RM0 | −0.97 | 1.00 | 0.97 | −0.98 | 0.99 |
| PC1 | −0.99 | 0.97 | 1.00 | −0.99 | 0.99 |
| log k | 0.99 | −0.98 | −0.99 | 1.00 | 0.99 |
| logP | 0.99 | −0.99 | −0.99 | 0.99 | 1.00 |
Disclaimer/Publisher’s Note: The statements, opinions and data contained in all publications are solely those of the individual author(s) and contributor(s) and not of MDPI and/or the editor(s). MDPI and/or the editor(s) disclaim responsibility for any injury to people or property resulting from any ideas, methods, instructions or products referred to in the content. |
© 2025 by the authors. Licensee MDPI, Basel, Switzerland. This article is an open access article distributed under the terms and conditions of the Creative Commons Attribution (CC BY) license (https://creativecommons.org/licenses/by/4.0/).
Share and Cite
Pele, R.; Marc, G.; Tiperciuc, B.; Ionuț, I.; Stana, A.; Moldovan, C.; Tatomir, C.; Dragostin, O.M.; Pîrnău, A.; Vlase, L.; et al. New Quinazolin-4(3H)-one Derivatives as Potential Antitumoral Compounds: Synthesis, In Vitro Cytotoxicity Against the HepG2 Cell Line, and In Silico VEGFR-2 Targeting-Based Studies. Molecules 2025, 30, 4719. https://doi.org/10.3390/molecules30244719
Pele R, Marc G, Tiperciuc B, Ionuț I, Stana A, Moldovan C, Tatomir C, Dragostin OM, Pîrnău A, Vlase L, et al. New Quinazolin-4(3H)-one Derivatives as Potential Antitumoral Compounds: Synthesis, In Vitro Cytotoxicity Against the HepG2 Cell Line, and In Silico VEGFR-2 Targeting-Based Studies. Molecules. 2025; 30(24):4719. https://doi.org/10.3390/molecules30244719
Chicago/Turabian StylePele, Raluca, Gabriel Marc, Brîndușa Tiperciuc, Ioana Ionuț, Anca Stana, Cristina Moldovan, Corina Tatomir, Oana Maria Dragostin, Adrian Pîrnău, Laurian Vlase, and et al. 2025. "New Quinazolin-4(3H)-one Derivatives as Potential Antitumoral Compounds: Synthesis, In Vitro Cytotoxicity Against the HepG2 Cell Line, and In Silico VEGFR-2 Targeting-Based Studies" Molecules 30, no. 24: 4719. https://doi.org/10.3390/molecules30244719
APA StylePele, R., Marc, G., Tiperciuc, B., Ionuț, I., Stana, A., Moldovan, C., Tatomir, C., Dragostin, O. M., Pîrnău, A., Vlase, L., Ungureanu, D., & Oniga, O. (2025). New Quinazolin-4(3H)-one Derivatives as Potential Antitumoral Compounds: Synthesis, In Vitro Cytotoxicity Against the HepG2 Cell Line, and In Silico VEGFR-2 Targeting-Based Studies. Molecules, 30(24), 4719. https://doi.org/10.3390/molecules30244719

