Sign in to use this feature.

Years

Between: -

Subjects

remove_circle_outline
remove_circle_outline
remove_circle_outline
remove_circle_outline
remove_circle_outline
remove_circle_outline
remove_circle_outline
remove_circle_outline
remove_circle_outline

Journals

remove_circle_outline
remove_circle_outline
remove_circle_outline
remove_circle_outline

Article Types

Countries / Regions

Search Results (147)

Search Parameters:
Keywords = lateral mining method

Order results
Result details
Results per page
Select all
Export citation of selected articles as:
15 pages, 452 KB  
Article
Sixty Years After a Coal Mine Disaster: Serum Metabolomic Profiles in Older Adults with Long-Term Sequelae of Carbon Monoxide Poisoning: A Cross-Sectional Study
by Eriko Baba, Hiroo Matsuse, Ryuki Hashida, Norika Matsukuma, Yuji Maki, Masayuki Omoto, Yoshio Takano, Makiko Motooka and Hiromichi Motooka
Metabolites 2026, 16(2), 126; https://doi.org/10.3390/metabo16020126 - 12 Feb 2026
Viewed by 202
Abstract
Background: Survivors with chronic sequelae of carbon monoxide (CO) poisoning after the 1963 Miike–Mikawa coal mine disaster can exhibit persistent higher brain dysfunction in late life. We examined whether serum metabolic alterations remained detectable ~60 years later and assessed serum brain-derived neurotrophic factor [...] Read more.
Background: Survivors with chronic sequelae of carbon monoxide (CO) poisoning after the 1963 Miike–Mikawa coal mine disaster can exhibit persistent higher brain dysfunction in late life. We examined whether serum metabolic alterations remained detectable ~60 years later and assessed serum brain-derived neurotrophic factor (BDNF). Methods: In this cross-sectional case–control study, outpatients with chronic CO-poisoning sequelae (CO; n = 14) and former miners without CO exposure (CON; n = 16), all aged ≥ 75 years, underwent targeted serum metabolomics (1183 metabolites) and clinical assessments. Between-group differences were evaluated using Welch’s t-test, and age-matched propensity-score matching (1:1) served as a sensitivity analysis. BDNF was additionally compared using a linear regression/ analysis of covariancemodel adjusting for age and Mini–Mental State Examination (MMSE). Results: Relative to controls, the CO group showed higher valine, alanine, and betaine and lower 3-hydroxybutyric acid, inosine, and hypoxanthine; these contrasts persisted with concordant direction after matching. Serum BDNF was lower in the CO group (unadjusted trend) and was significantly reduced after age/MMSE adjustment (p = 0.0252). Exploratory correlations between clinical measures and selected metabolites/BDNF were attenuated after accounting for group. Conclusions: Six decades after exposure, chronic CO sequelae were associated with a reproducible serum profile combining amino-acid elevations with relative suppression of ketone-body and purine-related metabolites, suggesting enduring alterations in systemic substrate handling and bioenergetics. If replicated in larger cohorts, such signatures—potentially alongside BDNF—should be regarded as hypothesis-generating; biomarker development would require external validation, longitudinal tracking, and assessment of intervention responsiveness before any clinical use is considered. Full article
Show Figures

Graphical abstract

30 pages, 13680 KB  
Article
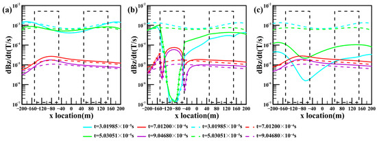
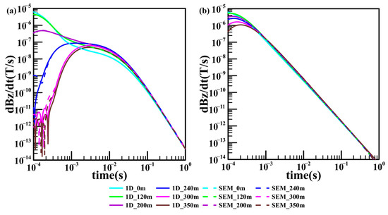
Multi-Dimensional Detection Capability Analysis of Surface and Surface-to-Tunnel Transient Electromagnetic Methods Based on the Spectral Element Method
by Danyu Li, Xin Huang, Xiaoyue Cao, Liangjun Yan, Zhangqian Chen and Qingpu Han
Appl. Sci. 2026, 16(3), 1560; https://doi.org/10.3390/app16031560 - 4 Feb 2026
Viewed by 131
Abstract
The transient electromagnetic (TEM) method is a key detection and monitoring technology for safe coal-mine production. Surface TEM depth penetration is limited by real geological conditions and transmitter–receiver hardware performance. Compared with the surface TEM method, the tunnel TEM method can enhance the [...] Read more.
The transient electromagnetic (TEM) method is a key detection and monitoring technology for safe coal-mine production. Surface TEM depth penetration is limited by real geological conditions and transmitter–receiver hardware performance. Compared with the surface TEM method, the tunnel TEM method can enhance the depth of exploration to some extent, but it is constrained by the limited working space of the roadway, which makes it difficult to perform the area-wide and multi-line data acquisition, and thus the lateral detection resolution is directly compromised. Consequently, either surface or tunnel TEM alone suffers inherent limitations. The multidimensional surface and surface-to-tunnel TEM method employs a single large-loop transmitter and records electromagnetic (EM) signals both on the surface and in the tunnel, enabling joint data interpretation. The joint TEM observation method effectively addresses the limitations by using a single observation mode, with the goal of achieving high-precision detection. To investigate the detection capabilities of the joint surface and surface-to-tunnel TEM method, we propose a three-dimensional (3D) joint surface and surface-to-tunnel TEM forward modeling method based on the spectral element method (SEM). The SEM, using high-order vector basis functions, enables high-precision modeling of TEM responses with complex geo-electric earth models. The accuracy of the SEM is validated through comparisons with one-dimensional (1D) TEM semi-analytical solutions. To further reveal TEM response characteristics and multi-dimensional resolution under joint surface and tunnel detection modes, we construct several typical 3D geo-electric earth models and apply the SEM algorithm to simulate the TEM responses. We systematically analyze the horizontal and vertical resolution of 3D earth model targets at different decay times. The numerical results demonstrate that surface multi-line TEM surveying can accurately delineate the lateral extent of the target body, while vertical in-tunnel measurements are crucial for identifying the top and bottom interfaces of geological targets adjacent to the tunnel. Finally, the theoretical modeling results demonstrate that compared to individual TEM methods, the multi-dimensional joint surface and tunnel TEM observation yields superior target spatial information and markedly improves TEM detection efficacy under complex conditions. The 3D TEM forward modeling based on the SEM provides the theoretical foundation for subsequent 3D inversion and interpretation of surface-to-surface and surface-to-tunnel joint TEM data. Full article
Show Figures

Figure 1

22 pages, 9349 KB  
Article
Deformation Response of Corrugated Steel Pipe Arch Bridges Under Differential Foundation Settlement
by Kaixuan Sun, Lei Jiang, Yi Shi, Zhaomin Ning, Mingyue Wang, Tao Li, Lei Cui and Changhao Hu
Symmetry 2026, 18(2), 267; https://doi.org/10.3390/sym18020267 - 31 Jan 2026
Viewed by 163
Abstract
To investigate the deformation behavior of corrugated steel pipe arch bridges subjected to differential foundation settlement, this study examines a ten-span continuous corrugated steel pipe arch bridge as the engineering background. A one-year field monitoring program was conducted to record the settlement of [...] Read more.
To investigate the deformation behavior of corrugated steel pipe arch bridges subjected to differential foundation settlement, this study examines a ten-span continuous corrugated steel pipe arch bridge as the engineering background. A one-year field monitoring program was conducted to record the settlement of each span, and the spatial distribution pattern, annual cumulative settlement, and settlement growth rate were evaluated. Numerical analyses were then performed to compare the deformation response of the bridge under ideal foundation conditions, differential foundation settlement, and vehicle loading. Based on the numerical results, the effectiveness of a concrete lining installed inside the corrugated steel pipe was further assessed. The results show that the settlement of the side spans is significantly larger than that of the middle spans due to the differential foundation settlement in the mining area. The maximum annual cumulative settlement at the side span (span 2) reaches 21.66 mm, which is approximately 4.1 times that of the middle span (span 6). During the monitoring period, the settlement growth rate was high in the early stage (1~3 months), reaching up to 30 percent, and gradually stabilized to about 10 percent per month in the later stage. Compared with the ideal foundation condition, differential settlement increases the pipe stress by a factor of 3.4 and amplifies the deformation by a factor of 9.1. Vehicle loading has a pronounced effect on the deformation of the pipe crown, increasing the settlement by approximately 9 percent, while its influence on the pipe invert is relatively small, with an increase of about 4 percent. Installing a 100 mm thick concrete lining inside the corrugated steel pipe has limited influence on the overall load-carrying behavior but reduces the deformation by 10~20 percent. This reinforcement method is suitable for applications in existing bridges. Full article
(This article belongs to the Special Issue Symmetry and Finite Element Method in Civil Engineering)
Show Figures

Figure 1

22 pages, 6012 KB  
Article
Fracture Expansion and Closure in Overburden: Mechanisms Controlling Dynamic Water Inflow to Underground Reservoirs in Shendong Coalfield
by Shirong Wei, Zhengjun Zhou, Duo Xu and Baoyang Wu
Processes 2026, 14(2), 355; https://doi.org/10.3390/pr14020355 - 19 Jan 2026
Viewed by 292
Abstract
The construction of underground reservoirs in coal goafs is an innovative technology to alleviate the coal–water conflict in arid mining areas of northwest China. However, its widespread application is constrained by the challenge of accurately predicting water inflow, which fluctuates significantly due to [...] Read more.
The construction of underground reservoirs in coal goafs is an innovative technology to alleviate the coal–water conflict in arid mining areas of northwest China. However, its widespread application is constrained by the challenge of accurately predicting water inflow, which fluctuates significantly due to the dynamic “expansion–closure” behavior of mining-induced fractures. This study focuses on the Shendong mining area, where repeated multi-seam mining occurs, and employs a coupled Finite Discrete Element Method (FDEM) and Computational Fluid Dynamics (CFD) numerical model, combined with in situ tests such as drilling fluid loss and groundwater level monitoring, to quantify the evolution of overburden fractures and their impact on reservoir water inflow during mining, 8 months post-mining, and after 7 years. The results demonstrate that the height of the water-conducting fracture zone decreased from 152 m during mining to 130 m after 7 years, while fracture openings in the key aquifer and aquitard were reduced by over 50%. This closure process caused a dramatic decline in water inflow from 78.3 m3/h to 2.6 m3/h—a reduction of 96.7%. The CFD-FDEM simulations showed a deviation of only 10.6% from field measurements, confirming fracture closure as the dominant mechanism driving inflow attenuation. This study reveals how fracture closure shifts water flow patterns from vertical to lateral recharge, providing a theoretical basis for optimizing the design and sustainable operation of underground reservoirs. Full article
Show Figures

Figure 1

29 pages, 7379 KB  
Article
Boundary-Aware Multi-Point Preview Control: An Algorithm for Autonomous Articulated Mining Vehicles Operating in Highly Constrained Underground Spaces
by Shuo Huang, Yiting Kang, Jue Yang, Xiao Lv and Ming Zhu
Algorithms 2026, 19(1), 76; https://doi.org/10.3390/a19010076 - 16 Jan 2026
Viewed by 240
Abstract
To achieve the automation and intelligence of mining equipment, it is essential to address the challenge of autonomous driving, with the core task being how to navigate safely from the starting point to the mining area endpoint. This paper proposes a boundary-aware multi-point [...] Read more.
To achieve the automation and intelligence of mining equipment, it is essential to address the challenge of autonomous driving, with the core task being how to navigate safely from the starting point to the mining area endpoint. This paper proposes a boundary-aware multi-point preview control algorithm to tackle the strong dependency on predefined paths and the lack of foresight in the autonomous driving of underground articulated mining vehicles in highly confined underground spaces. The algorithm determines the driving direction by calculating the vehicle’s real-time state and LiDAR data, previewing road conditions without relying on preset path planning. Experiments conducted in a ROS Noetic/GAZEBO 11 simulation environment compared the proposed method with single-point and two-point preview algorithms, validating the effectiveness of the boundary-aware multi-point preview control. The results show that the proposed control strategy yields the lowest lateral deviation and the highest steering smoothness compared to single-point and two-point preview algorithms; it also outperforms the standard multi-point preview algorithm. This demonstrates its superior performance. Specifically, the proposed boundary-aware multi-point preview algorithm outperformed other methods in terms of steering smoothness and stability, significantly enhancing the vehicle system’s adaptability, robustness, and safety. Full article
(This article belongs to the Section Algorithms for Multidisciplinary Applications)
Show Figures

Figure 1

23 pages, 5112 KB  
Article
Trajectory Tracking of a Mobile Robot in Underground Roadways Based on Hierarchical Model Predictive Control
by Chuanwei Wang, Zhihao Liu, Siya Sun, Zhenwu Wang, Kexiang Ma, Qinghua Mao, Xusheng Xue, Xi Chen, Kai Zhao and Tao Hu
Actuators 2026, 15(1), 47; https://doi.org/10.3390/act15010047 - 12 Jan 2026
Viewed by 269
Abstract
Mobile robots conducting inspection tasks in coal-mine roadways and operating in complex underground environments are often subjected to demanding conditions such as low adhesion, uneven friction distribution, and localized slippery surfaces. These challenges are significant, predisposing the robots to trajectory deviation and posture [...] Read more.
Mobile robots conducting inspection tasks in coal-mine roadways and operating in complex underground environments are often subjected to demanding conditions such as low adhesion, uneven friction distribution, and localized slippery surfaces. These challenges are significant, predisposing the robots to trajectory deviation and posture instability, thereby presenting substantial obstacles to high-precision tracking control. The primary innovation of this study lies in proposing a hierarchical model predictive control (HMPC) strategy, which addresses the challenges through synergistic, kinematic and dynamic optimization. The core contribution is the construction of dual-layer optimization architecture. The upper-layer kinematic MPC generates the desired linear and angular velocities as reference commands. The lower-layer MPC is designed based on a dynamic model that incorporates ground adhesion characteristics, enabling the online computation of optimal driving forces (FL, FR) for the left and right tracks that simultaneously satisfy tracking performance requirements and practical actuation constraints. Simulation results demonstrate that the proposed hierarchical framework significantly outperforms conventional kinematic MPC in terms of steady-state accuracy, response speed, and trajectory smoothness. Experimental validation further confirms that, in environments with low adhesion and localized slippery conditions representative of actual roadways, the proposed method effectively coordinates geometric accuracy with dynamic feasibility. It not only markedly reduces longitudinal and lateral tracking errors but also ensures excellent dynamic stability and reasonable driving force distribution, providing key technical support for reliable operation in complex underground environments. Full article
(This article belongs to the Special Issue Motion Planning, Trajectory Prediction, and Control for Robotics)
Show Figures

Figure 1

33 pages, 5511 KB  
Article
Trajectory Tracking Control for Subsea Mining Vehicles Based on Fuzzy PID Optimised by Genetic Algorithms
by Henan Bu, Menglong Wu, Bo Liu and Zhuwen Yan
Sensors 2026, 26(2), 441; https://doi.org/10.3390/s26020441 - 9 Jan 2026
Viewed by 247
Abstract
In deep-sea mining operations, the seabed sediments (mud and sand) are very soft and slippery. This often causes tracked vehicles to slip and veer off course when they are driving on the seafloor. To solve the path-tracking problem for deep-sea mining vehicles, this [...] Read more.
In deep-sea mining operations, the seabed sediments (mud and sand) are very soft and slippery. This often causes tracked vehicles to slip and veer off course when they are driving on the seafloor. To solve the path-tracking problem for deep-sea mining vehicles, this study suggests a path-tracking controller that can adapt to the seabed environment. Firstly, it is necessary to establish a kinematic and dynamic model of the mining vehicle’s motion, analysing its seabed slippage and force application. The system has been developed on the basis of the Stanley algorithm and utilises a two-degree-of-freedom kinematic model, with lateral deviation and heading deviation acting as inputs. The establishment of fuzzy rules to adjust the gain parameter K enables the mining vehicle to adaptively modify its gain parameters according to the seabed environment and path. Secondly, a fuzzy PID controller is established and optimised to address the limitation that fuzzy PID control rules are constrained by the designer’s experience. At the same time, a relationship was established between how fast the drive wheel accelerates and the slip rate based on the dynamic model. This stops the drive wheel from slipping by limiting how fast it can go. Finally, a mechanical model of the mining vehicle was created in Recurdyn and a system model was developed in MATLAB/Simulink for joint simulation analysis. The simulation results demonstrate the efficacy of the proposed control strategy, establishing it as a reliable method for tracking the path of subsea mining vehicles. Full article
(This article belongs to the Section Navigation and Positioning)
Show Figures

Figure 1

17 pages, 4381 KB  
Article
Trajectory Tracking Control and Optimization for Distributed Drive Mining Dump Trucks
by Weiwei Yang, Yong Jiang, Yijun Han and Yilin Wang
Vehicles 2026, 8(1), 13; https://doi.org/10.3390/vehicles8010013 - 7 Jan 2026
Viewed by 368
Abstract
To address the issue of insufficient trajectory tracking accuracy and the stability of distributed drive mining dump trucks under complex working conditions, this paper proposes a model predictive control (MPC) strategy based on genetic-particle swarm optimization (GAPSO). This strategy overcomes the limitations of [...] Read more.
To address the issue of insufficient trajectory tracking accuracy and the stability of distributed drive mining dump trucks under complex working conditions, this paper proposes a model predictive control (MPC) strategy based on genetic-particle swarm optimization (GAPSO). This strategy overcomes the limitations of traditional MPC controllers—where the weight matrix is fixed—by constructing a hierarchical optimization architecture that enables adaptive weight adjustment. An MPC-based trajectory tracking controller is developed using a three-degree-of-freedom vehicle dynamics model. Furthermore, to address the challenge of tuning MPC weight parameters, a GAPSO-based fusion optimization algorithm is introduced. This algorithm integrates the global search capability of genetic algorithms with the local convergence advantages of particle swarm optimization, enabling joint optimization of the state and control weight matrices. Simulation results demonstrate that under complex scenarios such as double lane change maneuvers, varying vehicle speeds, and different road adhesion coefficients, the proposed GAPSO-MPC controller significantly outperforms conventional MPC and PSO-MPC approaches in terms of lateral position tracking root mean square error. The method effectively enhances the robustness of trajectory tracking for distributed drive mining vehicles under disturbance conditions, offering a viable technical solution for high-precision control in autonomous mining systems. Full article
(This article belongs to the Special Issue Advanced Vehicle Dynamics and Autonomous Driving Applications)
Show Figures

Figure 1

19 pages, 5167 KB  
Article
Safety Support Design and Sustainable Guarantee Method for Gob-Side Roadway Along Thick Coal Seams
by Peng Huang, Bo Wu, Erkan Topal, Hu Shao, Zhenjiang You, Shuxuan Ma and Ruirui Chen
Sustainability 2026, 18(1), 346; https://doi.org/10.3390/su18010346 - 29 Dec 2025
Viewed by 328
Abstract
Maintaining the stability of the mine roadway is of paramount importance, as it is critical in ensuring the daily operational continuity, personnel safety, long-term economic viability, and sustainability of the entire mining operation. Significant instability can trigger serious disruptions—such as production stoppages, equipment [...] Read more.
Maintaining the stability of the mine roadway is of paramount importance, as it is critical in ensuring the daily operational continuity, personnel safety, long-term economic viability, and sustainability of the entire mining operation. Significant instability can trigger serious disruptions—such as production stoppages, equipment damage, and severe safety incidents—which ultimately compromise the project’s financial returns and future prospects. Therefore, the proactive assessment and rigorous control of roadway stability constitute a foundational element of successful and sustainable resource extraction. In China, thick and extra-thick coal seams constitute over 44% of the total recoverable coal reserves. Consequently, their safe and efficient extraction is considered vital in guaranteeing energy security and enhancing the efficiency of resource utilization. The surrounding rock of gob-side roadways in typical coal seams is often fractured due to high ground stress, intensive mining disturbances, and overhanging goaf roofs. Consequently, asymmetric failure patterns such as bolt failure, steel belt tearing, anchor cable fracture, and shoulder corner convergence are common in these entries, which pose a serious threat to mine safety and sustainable mining operations. This deformation and failure process is associated with several parameters, including the coal seam thickness, mining technology, and surrounding rock properties, and can lead to engineering hazards such as roof subsidence, rib spalling, and floor heave. This study proposes countermeasures against asymmetric deformation affecting gob-side entries under intensive mining pressure during the fully mechanized caving of extra-thick coal seams. This research selects the 8110 working face of a representative coal mine as the case study. Through integrated field investigation and engineering analysis, the principal factors governing entry stability are identified, and effective control strategies are subsequently proposed. An elastic foundation beam model is developed, and the corresponding deflection differential equation is formulated. The deflection and stress distributions of the immediate roof beam are thereby determined. A systematic analysis of the asymmetric deformation mechanism and its principal influencing factors is conducted using the control variable method. A support approach employing a mechanical constant-resistance single prop (MCRSP) has been developed and validated through practical application. The findings demonstrate that the frequently observed asymmetric deformation in gob-side entries is primarily induced by the combined effect of the working face’s front abutment pressure and the lateral pressure originating from the neighboring goaf area. It is found that parameters including the immediate roof thickness, roadway span, and its peak stress have a significant influence on entry convergence. Under both primary and secondary mining conditions, the maximum subsidence shows an inverse relationship with the immediate roof thickness, while exhibiting a positive correlation with both the roadway span and the peak stress. Based on the theoretical analysis, an advanced support scheme, which centers on the application of an MCRSP, is designed. Field monitoring data confirm that the peak roof subsidence and two-side closure are successfully limited to 663 mm and 428 mm, respectively. This support method leads to a notable reduction in roof separation and surrounding rock deformation, thereby establishing a theoretical and technical foundation for the green and safe mining of deep extra-thick coal seams. Full article
(This article belongs to the Special Issue Scientific Disposal and Utilization of Coal-Based Solid Waste)
Show Figures

Figure 1

18 pages, 2672 KB  
Article
Trajectory Tracking of the Operational Movement of a Deep-Sea Collector Based on Virtual Target Vehicle Reference
by Yajuan Kang, Chichi Xiao, Shuya Liang, Hongtao Fang and Shaojun Liu
J. Mar. Sci. Eng. 2026, 14(1), 15; https://doi.org/10.3390/jmse14010015 - 21 Dec 2025
Viewed by 316
Abstract
In view of the requirements and characteristics of a deep-sea polymetallic nodule collector’s movements according to a planned path and speed during operation, a collector trajectory tracking system scheme based on virtual target vehicle reference is proposed. In this system, the virtual target [...] Read more.
In view of the requirements and characteristics of a deep-sea polymetallic nodule collector’s movements according to a planned path and speed during operation, a collector trajectory tracking system scheme based on virtual target vehicle reference is proposed. In this system, the virtual target vehicle moves according to the planned path and speed, thereby generating a dynamic target path and speed. A fuzzy controller calculates the collector’s angular-velocity command based on the lateral position deviation and the heading-angle deviation between the collector and the target vehicle, and a proportional controller calculates the collector’s body linear velocity control command based on the longitudinal position deviation between the collector and the target vehicle. By integrating these two commands, the collector tracks the target vehicle and thereby realizes trajectory tracking of the planned path and speed. A control system is designed, and simulation studies are carried out. The results show that the designed system enables the collector to track the planned path and speed well under operational conditions. The trajectory tracking method based on virtual target vehicle reference can also form an organic integration of path planning and trajectory tracking, generate dynamic planned paths and speeds for the entire mining area, and realize movement of the collector along the planned path and speed throughout the whole operation. Full article
(This article belongs to the Special Issue Deep-Sea Mineral Resource Development Technology and Equipment)
Show Figures

Figure 1

29 pages, 15877 KB  
Article
Fracture Evolution in Rocks with a Hole and Symmetric Edge Cracks Under Biaxial Compression: An Experimental and Numerical Study
by Daobing Zhang, Linhai Zeng, Shurong Guo, Zhiping Chen, Jiahua Zhang, Xianyong Jiang, Futian Zhang and Anmin Jiang
Mathematics 2025, 13(24), 4035; https://doi.org/10.3390/math13244035 - 18 Dec 2025
Cited by 1 | Viewed by 350
Abstract
This study employs physical experiments and the RFPA3D numerical method to investigate the fracture evolution of rocks containing a central hole with symmetrically arranged double cracks (seven inclination angles β) under biaxial compression. The results demonstrate that peak stress and strain exhibit [...] Read more.
This study employs physical experiments and the RFPA3D numerical method to investigate the fracture evolution of rocks containing a central hole with symmetrically arranged double cracks (seven inclination angles β) under biaxial compression. The results demonstrate that peak stress and strain exhibit nonlinear increases with rising β. Tensile–shear failure dominates at lower angles (β = 0–60°), characterized by secondary crack initiation at defect tips and wing/anti-wing crack development at intermediate angles (β = 45–60°). At higher angles (β = 75–90°), shear failure prevails, governed by crack propagation along hole walls. When β exceeds 45°, enhanced normal stress on crack planes suppresses mode II propagation and secondary crack formation. Elevated lateral pressures (15–20 MPa) significantly alter failure patterns by redirecting the maximum principal stress, causing cracks to align parallel to this orientation and driving anti-wing cracks toward specimen boundaries. Three-dimensional analysis reveals critical differences between internal and surface fracture propagation, highlighting how penetrating cracks around the hole crucially impact stability. This study provides valuable insights into complex fracture mechanisms in defective rock masses, offering practical guidance for stability assessment in underground mining operations where such composite defects commonly occur. Full article
Show Figures

Figure 1

22 pages, 3868 KB  
Article
Research on the Optimization of Mining Structure Parameters Based on the Pressure Arch Theory
by Weile Geng, Libing Zhen, Tihua Zhang, Shengli Guo, Gun Huang and Yangtao Xiong
Processes 2025, 13(12), 4069; https://doi.org/10.3390/pr13124069 - 17 Dec 2025
Viewed by 362
Abstract
The arching effect of surrounding rock pressure is critical for ground pressure control in mining areas. Taking a stope in Malipo tungsten mine as the engineering background, this study optimizes stope structural parameters based on the arching pressure theory. Analysis of the stope [...] Read more.
The arching effect of surrounding rock pressure is critical for ground pressure control in mining areas. Taking a stope in Malipo tungsten mine as the engineering background, this study optimizes stope structural parameters based on the arching pressure theory. Analysis of the stope pressure arch shape equation shows that the pressure arch shape is mainly determined by the lateral pressure coefficient (λ) and stope span (L), while the actual load on pillars equals the weight of rock mass within the overlying pressure arch shell. Pillar loads differ at various stope locations. Combined with the pillar area bearing theory, the rock weight supported by pillars at different stope positions under the arching pressure theory was determined, and a load calculation formula for pillars at various locations was derived. A stope pillar size optimization method was also proposed, which overcomes the defect of excessively large pillar sizes caused by the pillar area bearing theory. It ensures pillar stability during mining while improving ore recovery rates. Taking an existing 830 m-deep stope in the tungsten mine as an example, the optimization method based on the arching pressure theory determined the actual required widths of pillars at different locations. This increased the ore recovery rate from the original 67.56% to 69.47% (an increase of 1.91%). This study provides a reference for the reasonable setting of pillar sizes. Full article
(This article belongs to the Section Energy Systems)
Show Figures

Figure 1

28 pages, 5821 KB  
Article
Four-Wheel Steering Control for Mining X-by-Wire Chassis Based on AUKF State Estimation
by Qiang Ji, Yueqi Bi, Mingrui Hao, Jiaran Li and Long Chen
World Electr. Veh. J. 2025, 16(12), 677; https://doi.org/10.3390/wevj16120677 - 17 Dec 2025
Viewed by 293
Abstract
To address the challenges to driving stability caused by large-curvature steering of wire-controlled mining vehicles in narrow tunnels, a fused four-wheel steering (4WS) control strategy based on real-time estimation of vehicle state parameters is proposed. A comprehensive longitudinal–lateral–yaw dynamics model for 4WS is [...] Read more.
To address the challenges to driving stability caused by large-curvature steering of wire-controlled mining vehicles in narrow tunnels, a fused four-wheel steering (4WS) control strategy based on real-time estimation of vehicle state parameters is proposed. A comprehensive longitudinal–lateral–yaw dynamics model for 4WS is established, and a comparative study is conducted on three control methods: proportional feedforward control, yaw rate feedback control, and fused control. Expressions for steady-state yaw rate gain under different control modes are derived, and the stability differences in 4WS characteristics among these strategies are thoroughly analyzed. To overcome the difficulty in directly acquiring state information for chassis steering control, a vehicle state parameter estimator based on the unscented Kalman filter (UKF) is designed. To enhance the robustness to noise and computational real-time performance of vehicle state estimation in complex environments, a method for real-time estimation of noise covariance matrices using innovative sequences is adopted, improving the estimation accuracy of the algorithm. To validate the effectiveness of the control strategies, a co-simulation platform integrating Carsim and Matlab/Simulink is developed to simulate the performance of the three 4WS control methods under step steering and sinusoidal steering input conditions. The results show that, under low-speed conditions, 4WS strategies increase the yaw rate by approximately 50% and reduce the turning radius by over 45%, significantly enhancing steering maneuverability. Under medium-high speed conditions, 4WS strategies decrease the yaw rate by up to 68% and increase the turning radius by 17–29%, effectively suppressing oversteering tendencies to comprehensively improve stability, with the integrated control strategy demonstrating the best performance. Under both test conditions, the fused feedforward and feedback control strategy reduces the steady-state yaw rate by approximately 12.7% and 48.7%, respectively, compared to other control strategies, demonstrating superior stability. Full article
Show Figures

Figure 1

27 pages, 4159 KB  
Article
Research on Intelligent Control Method of Camber for Medium and Heavy Plate Based on Machine Vision
by Chunyu He, Chunpo Yue, Zhong Zhao, Zhiqiang Wu and Zhijie Jiao
Materials 2025, 18(24), 5668; https://doi.org/10.3390/ma18245668 - 17 Dec 2025
Viewed by 301
Abstract
With the continuous development of intelligent manufacturing in the iron and steel industry, there are increasing requirements for the quality control and precision of steel products. Camber is one of the critical defects affecting product quality in medium and heavy plates. Its occurrence [...] Read more.
With the continuous development of intelligent manufacturing in the iron and steel industry, there are increasing requirements for the quality control and precision of steel products. Camber is one of the critical defects affecting product quality in medium and heavy plates. Its occurrence during the rolling process not only reduces the yield of plates but also leads to serious production accidents such as rolling scrap and equipment damage, increasing the operational costs of enterprises. Addressing the difficulties that camber is influenced by complex factors and direct modeling control is challenging, this study proposes a camber detection and control method for medium and heavy plates based on image processing and machine learning algorithms, relying on an actual plate production line. The Optuna-XGBoost model is used to mine and train the production data of plates rolling, extracting the optimal control experience of operators as the pre-control values for camber. The Optuna-XGBoost model achieves an R2 of 0.9999 on the training set and 0.9794 on the test set, demonstrating excellent fitting performance. Meanwhile, a camber detection technology during the plate rolling process is developed based on machine vision. A feedback control model for camber of medium and heavy plates based on distal lateral movement is established. The combined application of pre-control and feedback control reduces the occurrence of camber, ensuring the overall flatness of steel plates during the rolling process. This paper establishes an intelligent control framework for plate camber, synergized by data-driven pre-control and machine vision-based feedback control, offering a novel approach for the online optimal control of complex nonlinear industrial processes. Full article
(This article belongs to the Section Manufacturing Processes and Systems)
Show Figures

Figure 1

30 pages, 1826 KB  
Article
Unveiling the Scientific Knowledge Evolution: Carbon Capture (2007–2025)
by Kuei-Kuei Lai, Yu-Jin Hsu and Chih-Wen Hsiao
Appl. Syst. Innov. 2025, 8(6), 187; https://doi.org/10.3390/asi8060187 - 30 Nov 2025
Viewed by 665
Abstract
This study explores how research on carbon capture technologies (CCTs) has developed over time and shows how semantic text mining can improve the analysis of technology trajectories. Although CCTs are widely viewed as essential for net-zero transitions, the literature is still scattered across [...] Read more.
This study explores how research on carbon capture technologies (CCTs) has developed over time and shows how semantic text mining can improve the analysis of technology trajectories. Although CCTs are widely viewed as essential for net-zero transitions, the literature is still scattered across many subthemes, and links between engineering advances, infrastructure deployment, and policy design are often weak. Methods that rely mainly on citations or keyword frequencies tend to overlook contextual meaning and the subtle diffusion of ideas across these strands, making it difficult to reconstruct clear developmental pathways. To address this problem, we ask the following: How do CCT topics change over time? What evolutionary mechanisms drive these transitions? And which themes act as bridges between technical lineages? We first build a curated corpus using a PRISMA-based screening process. We then apply BERTopic, integrating Sentence-BERT embeddings with UMAP, HDBSCAN, and class-based TF-IDF, to identify and label coherent semantic topics. Topic evolution is modeled through a PCC-weighted, top-K filtered network, where cross-year connections are categorized as inheritance, convergence, differentiation, or extinction. These patterns are further interpreted with a Fish-Scale Multiscience mapping to clarify underlying theoretical and disciplinary lineages. Our results point to a two-stage trajectory: an early formation phase followed by a period of rapid expansion. Long-standing research lines persist in amine absorption, membrane separation, and metal–organic frameworks (MOFs), while direct air capture emerges later and becomes increasingly stable. Across the full period, five evolutionary mechanisms operate in parallel. We also find that techno-economic assessment, life-cycle and carbon accounting, and regulation–infrastructure coordination serve as key “weak-tie” bridges that connect otherwise separated subfields. Overall, the study reconstructs the core–periphery structure and maturity of CCT research and demonstrates that combining semantic topic modeling with theory-aware mapping complements strong-tie bibliometric approaches and offers a clearer, more transferable framework for understanding technology evolution. Full article
Show Figures

Figure 1

Back to TopTop