Research on Intelligent Control Method of Camber for Medium and Heavy Plate Based on Machine Vision
Abstract
1. Introduction
2. Machine Vision-Based Plate Camber Detection Method
2.1. Image Enhancement Algorithms
2.2. Caliper-Based Image Measurement Method
2.3. Obtaining the Plate Camber Value via the Least Squares Method
2.4. Outlier Coordinate Point Rejection Algorithm
- (1)
- Construction of the Gaussian weight matrix
- (2)
- Computation of the weighted coefficients
- (3)
- Update of the valid data points
- (4)
- Iteration process
3. Machine Learning-Based Pre-Control Model for Plate Camber
3.1. Data Processing
3.1.1. Data Selection and Preprocessing
3.1.2. Clustering Algorithm
3.2. Data Training Algorithm
3.2.1. Support Vector Regression
3.2.2. Decision Tree
3.2.3. Random Forest
3.2.4. Extreme Gradient Boosting
3.2.5. Optuna Framework
3.2.6. Metric Evaluation
3.3. Analysis of Experimental Results
3.3.1. Data Training Settings
3.3.2. Hyperparameter Optimization Process
3.3.3. Results Comparison
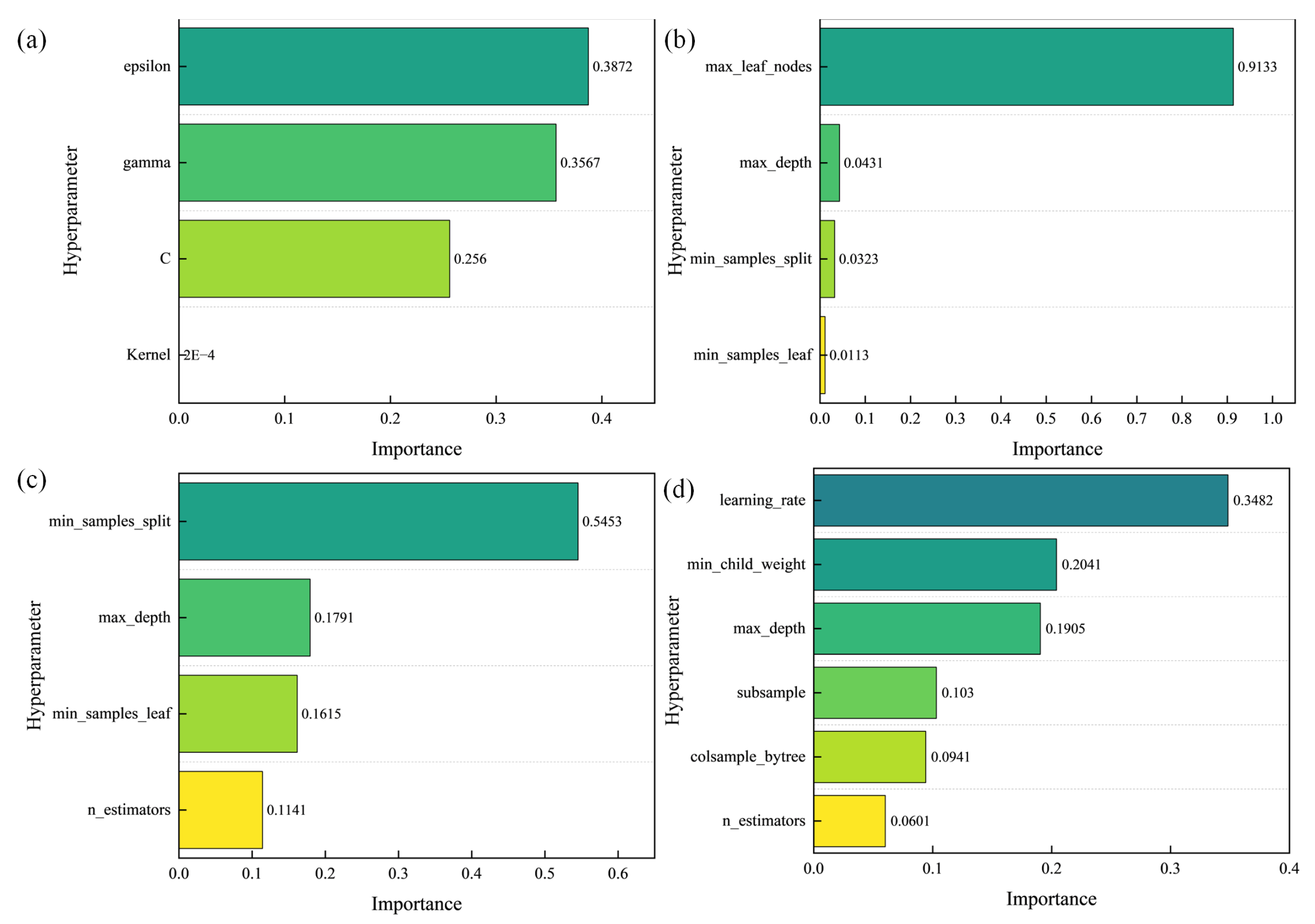
3.3.4. Feature Importance Ranking
4. Feedback Control Model for Plate Camber
4.1. Plate Far-End Lateral Displacement Detection Method
4.2. Analyzing the Speed Difference on Both Sides of the Workpiece
4.3. Calculating the Thickness Difference on Both Sides of the Workpiece
4.4. Camber Straightening Control Method
5. Conclusions and Prospect
5.1. Conclusions
- (1)
- Develop an image enhancement algorithm suitable for the complex production environment of medium and heavy plates, which significantly improves the robustness of the image detection algorithm. Aiming at the instability caused by brightness fluctuations in plate images, an adaptive grayscale algorithm is adopted to effectively enhance the quality of plate images and clearly present contour edges. For image interference caused by residual water occlusion, the iterative weighted least squares method based on Gaussian kernel function is used to accurately eliminate abnormal coordinate points and fit the center curve of plates representing the degree of camber with high precision. The application of the image enhancement algorithm significantly improves the reliability of detection data and provides a guarantee for the improvement of camber measurement accuracy.
- (2)
- A pre-control model for plate camber based on Optuna-machine learning hyperparameter optimization has been established. This model incorporates the influence of roll system information on camber, removes abnormal data through data preprocessing and mean shift, and uses the Optuna framework to optimize the hyperparameters of SVR, DT, RF and XGBoost models. Through a comprehensive comparison of the prediction results, performance indicators, and error distribution, the XGBoost model achieves an R2 of 0.9794 and an MSE of 0.00204 on the test set, thus exhibiting the most excellent fitting performance.
- (3)
- Using machine vision technology, a feedback control model for plate camber has been developed. Based on the automatic tracking of the far end of the plate during the rolling process, the measured value of lateral displacement at the far end of the plate is preferentially adopted as the evaluation of the degree of camber occurrence. The far end of the plate amplifies the camber measurement value, greatly improving the measurement and control accuracy. Field test results show that the control speed and accuracy of camber can meet the requirements of engineering applications. The development of the algorithm based on pre-control and camber feedback control has practical significance for guiding the online control of camber.
5.2. Prospect
Author Contributions
Funding
Institutional Review Board Statement
Informed Consent Statement
Data Availability Statement
Conflicts of Interest
References
- Dong, Z.H.; Li, X.; Luan, F.; Ding, J.G.; Zhang, D.H. Point and interval prediction of the effective length of hot-rolled plates based on IBES-XGBoost. Measurement 2023, 214, 112857. [Google Scholar] [CrossRef]
- Ishikawa, T.; Tozawa, Y.; Nishizawa, J. Fundamental study on snaking in strip rolling. Trans. Iron Steel Inst. Jpn. 1988, 28, 485–490. [Google Scholar] [CrossRef]
- Fraga, C.; Gonzalez, R.C.; Cancelas, J.A. Camber measurement system in a hot rolling mill. In Proceedings of the 2004 IEEE Industry Applications Conference, 2004. 39th IAS Annual Meeting, Seattle, WA, USA, 3–7 October 2004; Volume 2, pp. 897–902. [Google Scholar] [CrossRef]
- Kainz, A.; Pumhoessel, T.; Kurz, M. Prediction of camber formation, suppression and control of wedge-shaped hot rolled slabs by analytical concepts and finite elements. IFAC-PapersOnLine 2016, 49, 238–243. [Google Scholar] [CrossRef]
- Kang, Y.; Jang, Y.; Choi, Y.; Lee, D.; Won, S. An improved model for camber generation during rough rolling process. ISIJ Int. 2015, 55, 1980–1986. [Google Scholar] [CrossRef]
- Biggs, D.L.; Hardy, S.J.; Brown, K.J. Influence of process variables on development of camber during hot rolling of strip steel. Ironmak. Steelmak. 2000, 27, 55–62. [Google Scholar] [CrossRef]
- Choi, Y.J.; Lee, M.C. PID sliding mode control for steering of lateral moving strip in hot strip rolling. Int. J. Control Autom. Syst. 2009, 7, 399–407. [Google Scholar] [CrossRef]
- Shiraishi, T.; Ibata, H.; Mizuta, A.; Nomura, S.; Yoneda, E.; Hirate, K. Relation between camber and wedge in flat rolling under restrictions of lateral movement. ISIJ Int. 1991, 31, 583–587. [Google Scholar] [CrossRef]
- Kang, Y.; Jang, Y.; Choi, Y.; Lee, D.; Won, S. Camber regulation in rough rolling process using wedge estimation of incoming bar. ISIJ Int. 2015, 55, 851–857. [Google Scholar] [CrossRef]
- Kang, Y.; Won, S. State feedback controller design for lateral movement of a strip in hot strip rolling with input delay and actuator saturation. In Proceedings of the IECON 2011-37th Annual Conference of the IEEE Industrial Electronics Society, Melbourne, VIC, Australia, 7–10 November 2011; pp. 757–762. [Google Scholar] [CrossRef]
- Müller, M.; Prinz, K.; Steinboeck, A.; Schausberger, F.; Kugi, A. Adaptive feedforward thickness control in hot strip rolling with oil lubrication. Control Eng. Pract. 2020, 103, 104584. [Google Scholar] [CrossRef]
- Schausberger, F.; Steinboeck, A.; Kugi, A. Optimization-based reduction of contour errors of heavy plates in hot rolling. J. Process Control 2016, 47, 150–160. [Google Scholar] [CrossRef]
- Schausberger, F.; Steinboeck, A.; Kugi, A. Optimization-based estimator for the contour and movement of heavy plates in hot rolling. J. Process Control 2015, 29, 23–32. [Google Scholar] [CrossRef]
- Schausberger, F.; Steinboeck, A.; Kugi, A. Mathematical modeling of the contour evolution of heavy plates in hot rolling. Appl. Math. Model. 2015, 39, 4534–4547. [Google Scholar] [CrossRef]
- Prinz, K.; Schausberger, F.; Steinboeck, A.; Kugi, A. Feedforward control of lateral asymmetries in heavy-plate hot rolling using vision-based position estimation. IFAC-PapersOnLine 2017, 50, 11307–11312. [Google Scholar] [CrossRef]
- Xu, D.; Yang, Q.; Wang, X.C.; Wang, H.B.; Zhang, W.; Liu, J. Application of Takagi–Sugeno fuzzy model for slab camber control in a hot strip rougher mill. Ironmak. Steelmak. 2020, 47, 623–631. [Google Scholar] [CrossRef]
- Radionov, A.A.; Gasiyarov, V.R.; Karandaev, A.S.; Loginov, B.M.; Khramshin, V.R. Advancement of roll-gap control to curb the camber in heavy-plate rolling mills. Appl. Sci. 2021, 11, 8865. [Google Scholar] [CrossRef]
- Ding, J.G.; Hao, Y.; He, C.; Kong, L.P.; Peng, W. Camber prediction based on fusion method with mechanism model and machine learning in plate rolling. ISIJ Int. 2021, 61, 2540–2551. [Google Scholar] [CrossRef]
- Pietschnig, C.; Steinboeck, A.; Kugi, A. Are edger rolls useful to control the plate motion and camber in a reversing rolling mill? J. Process Control 2022, 114, 71–81. [Google Scholar] [CrossRef]
- Song, L.B.; Xu, D.; Liu, P.F.; Zhou, J.H.; Yan, H.Q.; Li, J.D.; He, H.N.; Yu, H.J.; Wang, X.C.; Yang, Q. A novel mechanism fusion data control method for slab camber in hot rolling. J. Iron Steel Res. Int. 2023, 30, 960–970. [Google Scholar] [CrossRef]
- Peng, G.Z.; Xu, D.; Zhou, J.H.; Yan, H.Q.; Shen, W.M. A novel curve pattern recognition framework for hot-rolling slab camber. IEEE Trans. Ind. Inform. 2022, 19, 1270–1278. [Google Scholar] [CrossRef]
- Tong, P.; Zhang, Z.P.; Liu, Q.; Liu, X.J.; Luo, X.; Ran, H.H.; Lan, T. Interpretable prediction model for decoupling hot rough rolling camber-process parameters. Expert Syst. Appl. 2024, 256, 124872. [Google Scholar] [CrossRef]
- Dong, Z.H.; Li, X.; Luan, F.; Gao, J.Z.; Ding, J.G.; Zhang, D.H. Prediction of camber defect of hot-rolled plates using sequence to sequence learning incorporating attention mechanism. Alex. Eng. J. 2024, 101, 219–233. [Google Scholar] [CrossRef]
- Wang, J.; Xu, J.Z.; Wang, G.D.; Wang, P. Study on Diagnostic Strategy for Plate Camber. Adv. Mater. Res. 2012, 572, 210–214. [Google Scholar] [CrossRef]
- Shen, G.; Yu, C.; Ren, Z.; Xing, J.; Xiao, H. Mechanism generating deviations in the rolling load and strip camber on the plate rolling mill. Ironmak. Steelmak. 2017, 44, 707–711. [Google Scholar] [CrossRef]
- Lee, J.; Choi, Y.J. Development of camber and steering control system in hot strip mill. In Proceedings of the 2014 IEEE Emerging Technology and Factory Automation (ETFA), Barcelona, Spain, 16–19 September 2014; pp. 1–4. [Google Scholar] [CrossRef]
- Li, Z.; Zhang, M.; Zheng, B.; Ma, L.D. An on-line measurement method of the medium thickness steel plate based on structured light vision sensor. Int. J. Precis. Eng. Manuf. 2023, 24, 1903–1914. [Google Scholar] [CrossRef]
- Michałowska, M.; Rapiński, J.; Janicka, J. Tree position estimation from TLS data using hough transform and robust least-squares circle fitting. Remote Sens. Appl. Soc. Environ. 2023, 29, 100863. [Google Scholar] [CrossRef]
- Montague, R.J.; Watton, J.; Brown, K.J. A machine vision measurement of slab camber in hot strip rolling. J. Mater. Process. Technol. 2005, 168, 172–180. [Google Scholar] [CrossRef]
- Cui, Y.; Zheng, S.F. Iteratively reweighted least square for kernel expectile regression with random features. J. Stat. Comput. Simul. 2023, 93, 2370–2389. [Google Scholar] [CrossRef]
- Liu, S.; Liu, Z.Y.; Xu, Z.P.; Han, Y.; Liu, F. Automatic and accurate compensation for phase aberrations in digital holographic microscopy based on iteratively reweighted least squares fitting. Opt. Laser Technol. 2023, 167, 109704. [Google Scholar] [CrossRef]
- Welbaum, A.; Qiao, W.L. Mean shift-based clustering for misaligned functional data. Comput. Stat. Data Anal. 2025, 206, 108107. [Google Scholar] [CrossRef]
- Cortes, C.; Vapnik, V. Support-vector networks. Mach. Learn. 1995, 20, 273–297. [Google Scholar] [CrossRef]
- Gao, Y.L.; Jiang, J.W.; Pan, J.Y.; Yuan, B.J.; Zhang, H.F.; Zhu, Q.Y. Contrastive learning-based fuzzy support vector machine. Neurocomputing 2025, 637, 130101. [Google Scholar] [CrossRef]
- Liao, Z.Q.; Dai, S.; Kuosmanen, T. Convex support vector regression. Eur. J. Oper. Res. 2024, 313, 858–870. [Google Scholar] [CrossRef]
- Quinlan, J.R. Induction of decision trees. Mach. Learn. 1986, 1, 81–106. [Google Scholar] [CrossRef]
- Wu, S.; Wu, Q.W.; Tan, J. Assessing and analysing energy system balance: A decision tree approach. Energy 2024, 304, 131902. [Google Scholar] [CrossRef]
- Breiman, L. Random forests. Mach. Learn. 2001, 45, 5–32. [Google Scholar] [CrossRef]
- Zou, Y.Q.; Tian, H.; Huang, Z.J.; Liu, L.; Xuan, Y.; Dai, J.; Nie, L. Study on prediction models of oxygenated components content in biomass pyrolysis oil based on neural networks and random forests. Biomass Bioenergy 2025, 193, 107601. [Google Scholar] [CrossRef]
- Mallala, B.; Ahmed, A.I.U.; Pamidi, S.V.; Faruque, M.O.; Reddy, R. Forecasting global sustainable energy from renewable sources using random forest algorithm. Results Eng. 2025, 25, 103789. [Google Scholar] [CrossRef]
- Chen, T.Q.; Guestrin, C. XGBoost: A scalable tree boosting system. In Proceedings of the 22nd ACM SIGKDD International Conference on Knowledge Discovery and Data Mining, San Francisco, CA, USA, 13–17 August 2016; Association for Computing Machinery: New York, NY, USA, 2016; pp. 785–794. [Google Scholar] [CrossRef]
- Farooq, S.; He, H.L.; Guo, D.Y.; Feng, Y.Y.; Hang, J.; Kong, D.; He, S. Advanced autism detection and visualization through XGBoost algorithm for fNIRS hemo-dynamic signals. Expert Syst. Appl. 2025, 275, 127013. [Google Scholar] [CrossRef]
- Yang, L.; Shami, A. On hyperparameter optimization of machine learning algorithms: Theory and practice. Neurocomputing 2020, 415, 295–316. [Google Scholar] [CrossRef]
- Srinivas, P.; Katarya, R. HyOPTXg: OPTUNA hyper-parameter optimization framework for predicting cardiovascular disease using XGBoost. Biomed. Signal Process. Control 2022, 73, 103456. [Google Scholar] [CrossRef]
- Dhanka, S.; Maini, S. A hybridization of XGBoost machine learning model by Optuna hyperparameter tuning suite for cardiovascular disease classification with significant effect of outliers and heterogeneous training datasets. Int. J. Cardiol. 2025, 420, 132757. [Google Scholar] [CrossRef] [PubMed]
- Akiba, T.; Sano, S.; Yanase, T.; Ohta, T.; Koyama, M. Optuna: A next-generation hyperparameter optimization framework. In Proceedings of the 25th ACM SIGKDD International Conference on Knowledge Discovery & Data Mining, Anchorage, AK, USA, 4–8 August 2019; Association for Computing Machinery: New York, NY, USA, 2019; pp. 2623–2631. [Google Scholar] [CrossRef]
- Chen, Y.; Khandelwal, M.; Onifade, M.; Zhou, J.; Lawal, A.I.; Bada, S.O.; Genc, B. Predicting the hardgrove grindability index using interpretable decision tree-based machine learning models. Fuel 2025, 384, 133953. [Google Scholar] [CrossRef]
- Jiang, S.; Hou, Y.; Man, Z.; Wang, C.; Shi, X.; Shang, J.; Cheng, X. Guiding experiment with Machine Learning: A case study of biochar adsorption of Ciprofloxacin. Sep. Purif. Technol. 2024, 334, 126023. [Google Scholar] [CrossRef]
- Zhang, J.; Wang, T. On cross-validated estimation of skew normal model. J. Stat. Plan. Inference 2025, 238, 106271. [Google Scholar] [CrossRef]
- Tanaka, Y.; Ohmori, K.; Miyake, T.; Inoue, M.; Nishizaki, K.; Tezuka, S. Camber Control System of Plate Rolling. IFAC Proc. Vol. 1987, 20, 147–152. [Google Scholar] [CrossRef]
- Ding, H.; Wang, Y.; Shen, H. A reinforcement learning integral sliding mode control scheme against lumped disturbances in hot strip rolling. Appl. Math. Comput. 2024, 465, 128407. [Google Scholar] [CrossRef]






















| No. | Symbol | Definition | Unit |
|---|---|---|---|
| 1 | Oil_D | zero position difference | mm |
| 2 | I_T | inlet thickness | mm |
| 3 | O_T | outlet thickness | mm |
| 4 | L | workpiece length | mm |
| 5 | W | workpiece width | mm |
| 6 | V | rolling speed | m/s |
| 7 | F | rolling force | kN |
| 8 | T | workpiece temperature | °C |
| 9 | U_W_roll | upper work roll No. | - |
| 10 | L_W_roll | lower work roll No. | - |
| 11 | Camber | camber value | mm |
| 12 | Oil_S | tilt adjustment (output) | mm |
| Software Environment | Software Versions |
|---|---|
| Anaconda | 23.3.1 |
| Jupyter | 1.0.0 |
| Python | 3.9 |
| Optuna | 4.1.0 |
| Optuna-dashboard | 0.17.0 |
| Scikit-learn | 1.4.2 |
| Xgboost | 2.0.3 |
| Model | Hyperparameter | Range | Optimal Values |
|---|---|---|---|
| SVR | C | [0.1, 10] | 8.66523 |
| gamma | [0.001, 1] | 0.99851 | |
| epsilon | [0.01, 1] | 0.06468 | |
| kernel | [‘poly’, ‘rbf’] | ‘rbf’ | |
| DT | max_depth | [3, 16] | 8 |
| min_samples_split | [2, 10] | 6 | |
| min_samples_leaf | [1, 10] | 2 | |
| max_leaf_nodes | [2, 10] | 10 | |
| RF | n_estimators | [50, 500] | 410 |
| max_depth | [3, 16] | 15 | |
| min_samples_split | [2, 10] | 2 | |
| min_samples_leaf | [1, 10] | 1 | |
| XGBoost | n_estimators | [50, 500] | 496 |
| max_depth | [3, 16] | 11 | |
| learning_rate | [0.01, 0.3] | 0.16345 | |
| subsample | [0.5, 1] | 0.93806 | |
| colsample_bytree | [0.5, 1] | 0.86954 | |
| min_child_weight | [1, 10] | 1 |
| Datasets | Model | R2 | RMSE | MSE | MAE |
|---|---|---|---|---|---|
| training | SVR | 0.8789 | 0.1086 | 0.01179 | 0.07643 |
| DT | 0.9170 | 0.08989 | 0.00808 | 0.07011 | |
| RF | 0.9960 | 0.01977 | 0.000391 | 0.01356 | |
| XGBoost | 0.9999 | 0.00092 | 8.503 × 10−7 | 0.000645 | |
| test | SVR | 0.8538 | 0.1203 | 0.01447 | 0.08536 |
| DT | 0.9179 | 0.09016 | 0.00813 | 0.07011 | |
| RF | 0.9776 | 0.04771 | 0.00222 | 0.02986 | |
| XGBoost | 0.9794 | 0.04519 | 0.00204 | 0.02891 |
Disclaimer/Publisher’s Note: The statements, opinions and data contained in all publications are solely those of the individual author(s) and contributor(s) and not of MDPI and/or the editor(s). MDPI and/or the editor(s) disclaim responsibility for any injury to people or property resulting from any ideas, methods, instructions or products referred to in the content. |
© 2025 by the authors. Licensee MDPI, Basel, Switzerland. This article is an open access article distributed under the terms and conditions of the Creative Commons Attribution (CC BY) license (https://creativecommons.org/licenses/by/4.0/).
Share and Cite
He, C.; Yue, C.; Zhao, Z.; Wu, Z.; Jiao, Z. Research on Intelligent Control Method of Camber for Medium and Heavy Plate Based on Machine Vision. Materials 2025, 18, 5668. https://doi.org/10.3390/ma18245668
He C, Yue C, Zhao Z, Wu Z, Jiao Z. Research on Intelligent Control Method of Camber for Medium and Heavy Plate Based on Machine Vision. Materials. 2025; 18(24):5668. https://doi.org/10.3390/ma18245668
Chicago/Turabian StyleHe, Chunyu, Chunpo Yue, Zhong Zhao, Zhiqiang Wu, and Zhijie Jiao. 2025. "Research on Intelligent Control Method of Camber for Medium and Heavy Plate Based on Machine Vision" Materials 18, no. 24: 5668. https://doi.org/10.3390/ma18245668
APA StyleHe, C., Yue, C., Zhao, Z., Wu, Z., & Jiao, Z. (2025). Research on Intelligent Control Method of Camber for Medium and Heavy Plate Based on Machine Vision. Materials, 18(24), 5668. https://doi.org/10.3390/ma18245668

