Safety Support Design and Sustainable Guarantee Method for Gob-Side Roadway Along Thick Coal Seams
Abstract
1. Introduction
2. Mechanical Roof Model for Gob-Side Roadway Subjected to Mining Disturbances
2.1. Mechanical Roof Model Construction
2.2. Mechanical Analysis of Immediate Roof
2.3. Mechanical Calculation
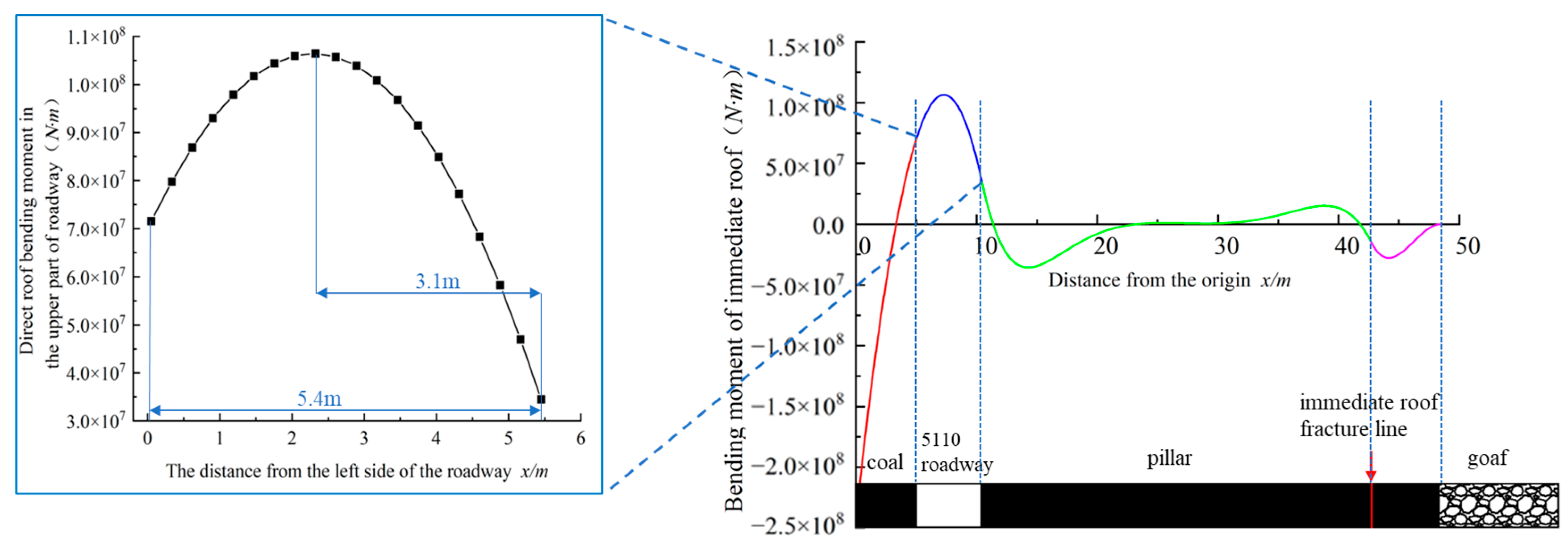
2.4. Case Study
- (1)
- Deformation analysis of first mining roadway
- (2)
- Deformation analysis of secondary mining roadway
3. Discussion
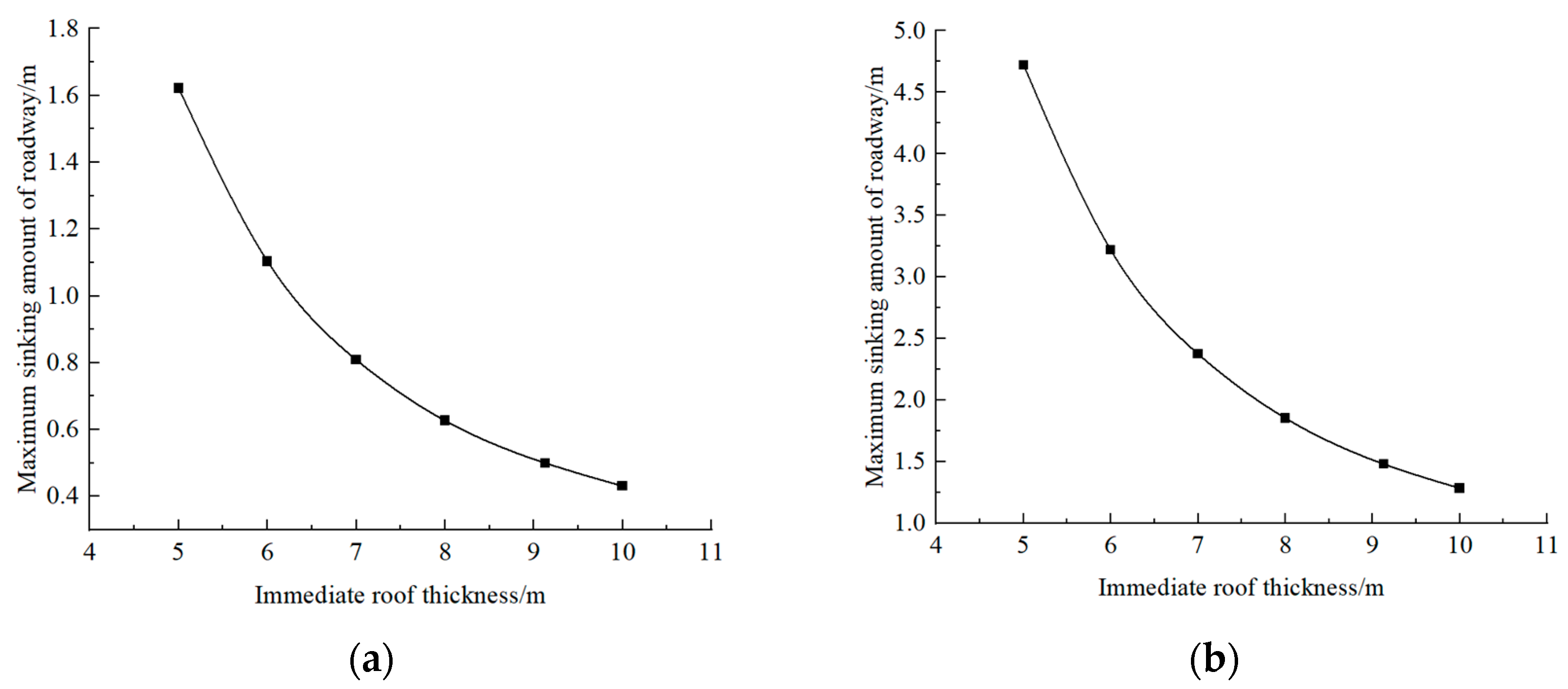
3.1. Immediate Roof Thickness
3.2. Span of Roadway
3.3. Immediate Roof Peak Stress
3.4. The Stress of the Right End of the Immediate Roof
4. Support Design of Gob-Side Roadway Along Thick Coal Seams
4.1. Working Face Overview
4.2. Support Design Scheme
4.3. Monitoring Scheme
4.4. Monitoring Results
5. Conclusions
Author Contributions
Funding
Institutional Review Board Statement
Informed Consent Statement
Data Availability Statement
Conflicts of Interest
References
- Pan, W.; Zhao, Z.; Li, X.; Xu, Y.; Zhang, K. Top Coal Drawing Law for an Extra Thick Coal Seam under the Single Round Group Drawing Method. Sci. Rep. 2024, 14, 15293. [Google Scholar] [CrossRef]
- Jia, C.; Li, S.; Fan, C.; Luo, M.; Zhou, L.; Pu, Z.; Yang, L. Supporting Optimization of Thick Seam Roadway with Top Coal Based on Orthogonal Matrix Analysis. Sci. Rep. 2023, 13, 933. [Google Scholar] [CrossRef]
- Zhu, C.; Zhang, J.; Li, M.; He, Z.; Wang, Y.; Lan, Y. Effect Mechanism of Strata Breakage Evolution on Stope Deformation in Extra-Thick Coal Seams. Alex. Eng. J. 2022, 61, 5003–5020. [Google Scholar] [CrossRef]
- Wang, H.; Tian, C.; Liu, Y.; Li, Y.; Lu, M.; Jiao, J.; Bai, J.; Qiao, Z. Overburden Structure Fracture Evolution and Ground Pressure Behavior under Oblique Residual Coal Pillars in Thick Seam Mining. Sci. Rep. 2025, 15, 30932. [Google Scholar] [CrossRef]
- Chai, Y.; Wang, M.; Meng, L.; Wang, C.; Liang, Z.; Yang, Y.; Liu, J. Influence of Roof Cutting Depth on Stability of Gob Side Entry in Thick Coal Seams with a Bulky Limestone Roof. Sci. Rep. 2025, 15, 31267. [Google Scholar] [CrossRef]
- Li, Z.; He, X.; Dou, L.; Song, D.; Wang, G. Numerical Investigation of Load Shedding and Rockburst Reduction Effects of Top-Coal Caving Mining in Thick Coal Seams. Int. J. Rock Mech. Min. Sci. 2018, 110, 266–278. [Google Scholar] [CrossRef]
- Zhang, Q.; Yue, J.; Liu, C.; Feng, C.; Li, H. Study of Automated Top-Coal Caving in Extra-Thick Coal Seams Using the Continuum-Discontinuum Element Method. Int. J. Rock Mech. Min. Sci. 2019, 122, 104033. [Google Scholar] [CrossRef]
- Wang, H.; Wu, Y.; Jiao, J.; Cao, P. Stability Mechanism and Control Technology for Fully Mechanized Caving Mining of Steeply Inclined Extra-Thick Seams with Variable Angles. Min. Metall. Explor. 2021, 38, 1047–1057. [Google Scholar] [CrossRef]
- Sun, X.; Zhao, W.; Wang, J.; Jiang, M.; Shen, F.; Zhang, Y.; Miao, C. Research on Failure Mechanism and Stability Control Technology of Dynamic Pressure Roadway in Ultra-Thick Coal Seams Under a High Depth of Cover. Min. Metall. Explor. 2023, 40, 1955–1972. [Google Scholar] [CrossRef]
- Lu, Y.; Yan, S.; Zhou, K.; Zhang, C.; Zhou, Y. Structural Quantification of Multi-Thick Hard Roof and Strong Ground Pressure Control in Large Mining Height Stope: A Case Study. Geomech. Geophys. Geo-Energy Geo-Resour. 2025, 11, 56. [Google Scholar] [CrossRef]
- Zhao, C.; Li, Y.; Liu, G.; Meng, X. Mechanism Analysis and Control Technology of Surrounding Rock Failure in Deep Soft Rock Roadway. Eng. Fail. Anal. 2020, 115, 104611. [Google Scholar] [CrossRef]
- Qi, F.; Yang, D.; Zhang, Y.; Hao, Y. Analysis of Failure Mechanism of Roadway Surrounding Rock under Thick Coal Seam Strong Mining Disturbance. Shock Vib. 2021, 2021, 9940667. [Google Scholar] [CrossRef]
- Yan, H.; Li, G.; Li, Y.; Zhang, Q.; Zhu, C. Stress Evolution Characteristics of the Intensively Mining-Induced Surrounding Roadways within an Extra-Thick Coal Seam: A Case Study from the Tashan Coal Mine, China. J. Cent. South Univ. 2023, 30, 3840–3854. [Google Scholar] [CrossRef]
- Lan, T.; Liu, Y.; Yuan, Y.; Liu, H.; Liu, H.; Zhang, S.; Wang, S. Mine Pressure Behavior Law of Isolated Island Working Face under Extremely Close Goaf in Shallow Coal Seam. Sci. Rep. 2023, 13, 20576. [Google Scholar] [CrossRef]
- Li, H.; Li, D.; Wang, H.; Li, Z.; Wang, S.; Chen, C. Research on stress evolution law and failure characteristics of top coal in fully mechanized caving of extra-thick coal seams. Therm. Sci. 2023, 27, 687–695. [Google Scholar] [CrossRef]
- Zhang, X.; Xie, D. Support Technology of Ultra-High Roadway in Thick Coal Seam. Inf. Technol. J. 2013, 12, 4095. [Google Scholar] [CrossRef]
- Chai, J.; Lei, W.; Du, W.; Yuan, Q.; Zhu, L.; Zhang, D.; Li, H. Experimental Study on Distributed Optical Fiber Sensing Monitoring for Ground Surface Deformation in Extra-Thick Coal Seam Mining under Ultra-Thick Conglomerate. Opt. Fiber Technol. 2019, 53, 102006. [Google Scholar] [CrossRef]
- Li, W.; Guo, Y.; Liu, X.; Du, F.; Li, G.; Ma, Q. Failure Mechanisms and Reinforcement Support of Soft Rock Roadway in Deep Extra-Thick Coal Seam: A Case Study. Eng. Fail. Anal. 2024, 165, 108745. [Google Scholar] [CrossRef]
- Zhang, W.; Zhao, S.; Zhang, B.; Gao, W.; Zhu, Q.; Li, T.; Wang, B. An Improved Numerical Simulation Method for Rockbolt Fracture and Its Application in Deep Extra-Thick Coal Seam Roadways. Buildings 2024, 14, 2373. [Google Scholar] [CrossRef]
- Wang, E.; Yin, S.; Kang, Q.; Zhao, X.; Lan, Q.; Sheng, H.; Liang, H. Coupling Control Technology of Anchoring and Unloading in Deep Intense-Mining and Large-Deformation Roadway: A Case Study. Sci. Rep. 2024, 14, 12075. [Google Scholar] [CrossRef]
- Xiang, Z.; Zhang, N.; Qian, D.; Xie, Z.; Zhang, C.; Guo, F.; Wang, S. Failure Characteristics and Stability Control of Bolt Support in Thick-Coal-Seam Roadway of Three Typical Coal Mines in China. Shock Vib. 2021, 2021, 5589085. [Google Scholar] [CrossRef]
- Hao, J.; Chen, A.; Li, X.; Bian, H.; Zhou, G.; Wu, Z.; Peng, L.; Tang, J. Analysis of Surrounding Rock Control Technology and Its Application on a Dynamic Pressure Roadway in a Thick Coal Seam. Energies 2022, 15, 9040. [Google Scholar] [CrossRef]
- Fan, Y.; Xiao, X.; Xu, J.; Ding, X.; Wang, A.; Wang, B.; Lei, Y. Failure Characteristics and Conditions of Rock-Coal Combination Structure with Weak Layer under Dynamic and Static Stresses. Sci. Rep. 2023, 13, 12410. [Google Scholar] [CrossRef]
- Wang, D.; He, F.; Wu, Y.; Xu, X.; Zhang, J.; Lv, K.; Li, L.; Zhai, W.; Song, J. Study on Surrounding Rock Failure Mechanism and Rational Coal Pillar Width of the Gob-Side Coal Roadway under Influence of Intense Dynamic Pressure. Energy Sci. Eng. 2023, 11, 1716–1733. [Google Scholar] [CrossRef]
- Zhang, L.; Deng, Z.; Li, G.; Liu, G.; Lian, X. Research on the Technology of Unloading Pressure and Preventing Punching in Extra-Thick Coal Seams. Sci. Rep. 2025, 15, 17323. [Google Scholar] [CrossRef]
- Chen, J.; Yan, R.; Liu, K. Asymmetric Seformation Mechanism of Roadway at Steeply Inclined Thick Coal Seam. J. China Coal Soc. 2018, 11, 3007–3015. [Google Scholar] [CrossRef]
- Tan, Y.; Song, S.; Zhang, X.; Liu, X. Safety Evaluation Method of Bottom Coal Thickness in Thick Coal Seam Roadway. Sci. Rep. 2024, 14, 14812. [Google Scholar] [CrossRef] [PubMed]
- He, W.; He, F.; Zhao, Y. Field and Simulation Study of the Rational Coal Pillar Width in Extra-Thick Coal Seams. Energy Sci. Eng. 2020, 8, 627–646. [Google Scholar] [CrossRef]
- He, X.; He, S.; Cai, Y.; Xu, R.; Yang, K. Investigation on Rational Width of Coal Pillar and Roadway Support in Isolated Panel of Extra-Thick Coal Seam. Front. Earth Sci. 2023, 11, 5678. [Google Scholar] [CrossRef]
- Zhang, J.; Liu, L.; Yan, X.; Li, Y. Asymmetrical Support Technology for Dynamic Pressure Roadway: A Case Study from Guotun Coal Mine in China. Geotech. Geol. Eng. 2019, 37, 823–832. [Google Scholar] [CrossRef]
- Wang, L.; Wu, Y.; Chen, D.; Lu, W.; Sun, H.; He, Y.; Liu, K.; Zhang, Y. Study on Bearing Strength of Fiber Reinforced Polymer Anchoring Cable in Deep Roadway. Sci. Rep. 2025, 15, 4916. [Google Scholar] [CrossRef]
- Zhao, Y.; Zhang, N.; Wang, J. Failure Properties of Roadway with Extra-Thick Coal Seams and Its Control Techniques. Heliyon 2024, 10, e23990. [Google Scholar] [CrossRef]
- Ma, S.; Chen, Y. Application of Hydraulic Fracturing and Energy-Absorption Rockbolts to Improve the Stability of a Gob-Side Roadway in a 10-m-Thick Coal Seam: Case Study. Int. J. Geomech. 2017, 17, 05017002. [Google Scholar] [CrossRef]
- Wang, J.; Zheng, X.; Guo, X.; Xin, W.; Wang, Y.; Li, T.; Liu, L. Study on the Anchorage Mechanism and Roof Stability Control Technology of Bolts in Fractured or Weak Surrounding Rock. Sci. Rep. 2024, 14, 22906. [Google Scholar] [CrossRef]
- Xu, W.; Zhang, Y.; Wang, C.; Wu, X.; Zhou, J. Mechanical Characteristics and Load-Bearing Effect of Roadway Anchorage Composite Carrier. Sci. Rep. 2025, 15, 1719. [Google Scholar] [CrossRef] [PubMed]
- Jiang, M.; Liang, Y.; Xiao, K.; Feng, W.; Ma, J.; Ren, T.; Wang, E.; Jian, Z.; Peng, C. Failure Control of Large-Scale Exposed Tunnels under the Combined Effects of Excavation Damage and Dynamic Disturbance at a Depth of 1240 m. Sci. Rep. 2025, 15, 13307. [Google Scholar] [CrossRef]
- Liu, W.; Guo, Z.; Hou, J.; Chen, D. Research and Application of Support Technology for Re-Mining Roadway in Goaf under Regenerated Roof in Thick Coal Seam. Geotech. Geol. Eng. 2019, 37, 4327–4335. [Google Scholar] [CrossRef]
- Wu, J.; Jiao, J.; Zhou, S. Controlling Large Deformations in Soft Rock Roadways with Integrated Anchor Shotcrete and Grouting Techniques. Sci. Rep. 2024, 14, 28339. [Google Scholar] [CrossRef]
- Hao, Y.; Liu, C.; Wu, Y.; Pu, H.; Zhang, K.; Shen, L. Analysis of Stress and Deformation on Surrounding Rock Mass of a Trapezoidal Roadway in a Large Inclination Coal Seam and Novel High Yielding Prop Support: A Case Study. Mathematics 2023, 11, 319. [Google Scholar] [CrossRef]
- Hao, Y.; Wu, Y.; Chen, L.; Teng, Y. An Innovative Yielding Prop with High Stable Load Capacity and Long Shrinkage Distance in Coal Mine. Mech. Adv. Mater. Struct. 2019, 26, 1568–1579. [Google Scholar] [CrossRef]
- Hao, Y.; Wu, Y.; Chen, Y.; Li, P.; Chen, L.; Zhang, K. An Innovative Equivalent Width Supporting Technology for Sustaining Large-Cross Section Roadway in Thick Coal Seam. Arab. J. Geosci. 2019, 1, 688. [Google Scholar] [CrossRef]
- Chen, Y.; Pu, H.; Wu, P.; Wu, H.; Wu, Y.; Hao, Y.; Goh, T.; Azmi, A.; Abdurrahman, M. Mechanical Properties Experiment of Load Capacity on a Mechanical Yielding Steel Prop (MYSP) and Its Application in Roadway Support. Sains Malays. 2020, 49, 1521–1531. [Google Scholar] [CrossRef]
- Wu, J.; Dong, Y.; Chen, J.; Zhang, C.; Yin, W.; Zhang, J.; Cheng, Y. Short Cantilever Rock Beam Structure and Mechanism of Gob-Side Entry Retaining Roof in Reuse Period. Shock Vib. 2020, 2020, 8835820. [Google Scholar] [CrossRef]
- He, F.; Li, X.; He, W.; Zhao, Y.; Xu, Z.; Li, Q. The Key Stratum Structure Morphology of Longwall Mechanized Top Coal Caving Mining in Extra-Thick Coal Seams: A Typical Case Study. Adv. Civ. Eng. 2020, 2020, 7916729. [Google Scholar] [CrossRef]
- Peng, L.; Gong, K.; He, M. Research on Width Optimization of Bearing Coal Pillar Between Roadways Under the Influence of Mining on Both Sides. Appl. Sci. 2025, 15, 314. [Google Scholar] [CrossRef]
- Li, G.; Gao, L.; Ma, Q.; Liu, H. Research on the Optimization and Application of Coal Pillar Width in Gob-Side Entry Driving under Hard Roof Condition. Front. Earth Sci. 2025, 13, 3252. [Google Scholar] [CrossRef]
- Zhang, S.; Wang, X.; Fan, G.; Zhang, D.; Cui, J. Pillar Size Optimization Design of Isolated Island Panel Gob-Side Entry Driving in Deep Inclined Coal Seam-Case Study of Pingmei No. 6 Coal Seam. J. Geophys. Eng. 2018, 15, 816–828. [Google Scholar] [CrossRef]
















| Parameter | Value | Parameter | Value |
|---|---|---|---|
| A1 | −1.108576445 | A3 | −2.798967026 × 10−7 |
| B1 | −1.778252148 | B3 | 1.069552682 × 10−6 |
| C1 | −5.729658849 | C3 | −4.258497447 |
| D1 | −4.784780412 | D3 | 0.3500647795 |
| A2 | −0.02465497438 | A4 | −1.463236397 × 10−7 |
| B2 | 0.06482739171 | B4 | −1.863819017 × 10−7 |
| C2 | −0.002508585205 | C4 | 5908.246130 |
| D2 | 0.003443258021 | D4 | −20,590.54016 |
| Parameter | Value | Parameter | Value |
|---|---|---|---|
| A1 | −4.481831084 | A3 | −1.295558220 × 10−7 |
| B1 | −6.678577499 | B3 | 4.688674899 × 10−6 |
| C1 | −18.76816892 | C3 | −11.84333667 |
| D1 | −16.33654787 | D3 | 1.404507918 |
| A2 | −0.06952172843 | A4 | −8.612502016 × 10−7 |
| B2 | 0.1858131510 | B4 | −6.452261355 × 10−7 |
| C2 | −0.005853456872 | C4 | 2375.512883 |
| D2 | 0.008037926520 | D4 | −57,268.17548 |
Disclaimer/Publisher’s Note: The statements, opinions and data contained in all publications are solely those of the individual author(s) and contributor(s) and not of MDPI and/or the editor(s). MDPI and/or the editor(s) disclaim responsibility for any injury to people or property resulting from any ideas, methods, instructions or products referred to in the content. |
© 2025 by the authors. Licensee MDPI, Basel, Switzerland. This article is an open access article distributed under the terms and conditions of the Creative Commons Attribution (CC BY) license.
Share and Cite
Huang, P.; Wu, B.; Topal, E.; Shao, H.; You, Z.; Ma, S.; Chen, R. Safety Support Design and Sustainable Guarantee Method for Gob-Side Roadway Along Thick Coal Seams. Sustainability 2026, 18, 346. https://doi.org/10.3390/su18010346
Huang P, Wu B, Topal E, Shao H, You Z, Ma S, Chen R. Safety Support Design and Sustainable Guarantee Method for Gob-Side Roadway Along Thick Coal Seams. Sustainability. 2026; 18(1):346. https://doi.org/10.3390/su18010346
Chicago/Turabian StyleHuang, Peng, Bo Wu, Erkan Topal, Hu Shao, Zhenjiang You, Shuxuan Ma, and Ruirui Chen. 2026. "Safety Support Design and Sustainable Guarantee Method for Gob-Side Roadway Along Thick Coal Seams" Sustainability 18, no. 1: 346. https://doi.org/10.3390/su18010346
APA StyleHuang, P., Wu, B., Topal, E., Shao, H., You, Z., Ma, S., & Chen, R. (2026). Safety Support Design and Sustainable Guarantee Method for Gob-Side Roadway Along Thick Coal Seams. Sustainability, 18(1), 346. https://doi.org/10.3390/su18010346

