Deformation Response of Corrugated Steel Pipe Arch Bridges Under Differential Foundation Settlement
Abstract
1. Introduction
2. Settlement Monitoring and Analysis
2.1. Project Background
2.2. Monitoring Scheme
2.3. Analysis of Monitoring Results
3. Numerical Analysis of Settlement Behavior of Corrugated Steel Pipe Arch Bridges Under Differential Foundation Settlement
3.1. Finite Element Model Development
3.1.1. Material Properties
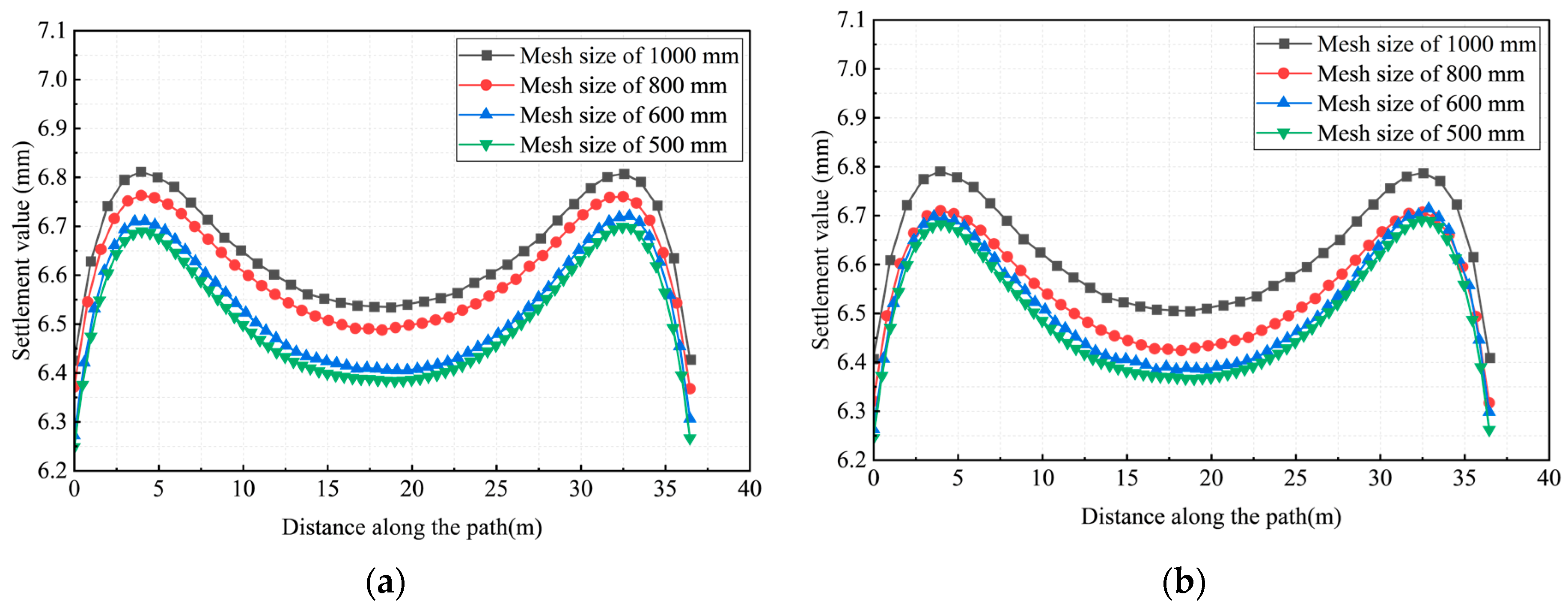
3.1.2. Element Types and Mesh Schemes
3.1.3. Interaction Simulation
3.1.4. Loads and Boundary Conditions
3.2. Structural Deformation Characteristics Under Ideal Foundation Conditions
3.3. Structural Deformation Characteristics Under Differential Foundation Settlement
3.4. Structural Deformation Characteristics Under Vehicle Loading
3.5. Comparative Analysis of Structural Response Under Different Loading Conditions
4. Evaluation of the Structural Reinforcement Scheme
4.1. Reinforcement Scheme and Numerical Analysis Method
4.2. Analysis of Reinforcement Effectiveness
5. Conclusions
- Field monitoring results show that the settlement of the edge spans is significantly greater than that of the mid-span. Over one year, the maximum cumulative settlement reached 21.66 mm at point 12 in span 2, while the minimum settlement was 5.34 mm at point 44 in span 6.
- The settlement data indicate that during the early stage of monitoring (Months 1–3), the growth rate of structural settlement was rapid, with a maximum monthly increase of approximately 30 percent. The settlement rate then gradually decreased and stabilized at about 10 percent per month.
- Compared with ideal foundation conditions, differential settlement increased the maximum stress in the corrugated steel pipe from 86.39 MPa to 296.20 MPa and increased structural deformation from 6.10 mm to 55.54 mm. The stress increased by a factor of 3.4, and the settlement deformation increased by a factor of 9.1. Differential foundation settlement in mining subsidence areas poses a severe threat to the long-term safety of corrugated steel pipe arch bridges.
- Vehicle loading has a notable effect on deformation at the pipe crown but a relatively small influence at the pipe invert. Under differential settlement, vehicle loading increases crown deformation by approximately 9 percent and invert deformation by approximately 4 percent. The influence of vehicle load decreases progressively from the crown to the invert.
- Applying a 100 mm thick internal concrete lining effectively suppresses the settlement-induced deformation of the corrugated steel pipe. After reinforcement, deformation at typical cross-sections is reduced by 10~20 percent, with lower deformation peaks and a more uniform distribution. This improvement demonstrates that the reinforcement enhances overall stiffness and stability without altering the structural load-transfer mechanism.
Author Contributions
Funding
Data Availability Statement
Conflicts of Interest
References
- Chen, T.; Su, M.; Pan, C.; Zhang, L.; Wang, H. Local buckling of corrugated steel plates in buried structures. Thin-Walled Struct. 2019, 144, 106348. [Google Scholar] [CrossRef]
- Canto-Perello, J.; Curiel-Esparza, J. Assessing governance issues of urban utility tunnels. Tunn. Undergr. Space Technol. 2013, 33, 82–87. [Google Scholar] [CrossRef]
- Wang, T.; Tan, L.; Xie, S.; Ma, B. Development and applications of common utility tunnels in China. Tunn. Undergr. Space Technol. 2018, 76, 92–106. [Google Scholar] [CrossRef]
- Du, G.; Pettersson, L.; Karoumi, R. Soil–steel composite bridge: An alternative design solution for short spans considering LCA. J. Clean. Prod. 2018, 189, 647–661. [Google Scholar] [CrossRef]
- Tang, G.; Yin, L.; Guo, J.; Cui, J. Finite element analysis and experimental research on mechanical performance of bolt connections of corrugated steel plates. Int. J. Steel Struct. 2015, 15, 193–204. [Google Scholar] [CrossRef]
- Bao, X.; Bao, Z.; Shen, J.; Wu, S.; Yang, S.; Chen, X. Study on the performance of twin shield tunnel excavation below existing multi–arch culvert bridge in close vicinity. Appl. Sci. 2023, 13, 12285. [Google Scholar] [CrossRef]
- Li, P.; Du, S.J.; Ma, X.F.; Yin, Z.Y.; Shen, S.L. Centrifuge investigation into the effect of new shield tunnelling on an existing underlying large–diameter tunnel. Tunn. Undergr. Space Technol. 2014, 42, 59–66. [Google Scholar] [CrossRef]
- Gajdzicki, M.; Perliński, W.; Michalak, B. Stability analysis of bi–directionally corrugated steel plates with orthotropic plate model. Eng. Struct. 2018, 160, 519–534. [Google Scholar] [CrossRef]
- Jiang, Z.Q.; Niu, Z.Y.; Zhang, A.L.; Liu, X.C. Design method of axial compression stability for cross–section corrugated plate steel special–shaped column. Thin-Walled Struct. 2024, 194, 111243. [Google Scholar] [CrossRef]
- Sherzer, G.L.; Alghalandis, Y.F.; Peterson, K.; Shah, S. Comparative study of scale effect in concrete fracturing via Lattice Discrete Particle and Finite Discrete Element Models. Eng. Fail. Anal. 2022, 135, 106062. [Google Scholar] [CrossRef]
- Kang, J.; Parker, F.; Yoo, C.H. Soil–structure interaction for deeply buried corrugated steel pipes Part I: Embankment installation. Eng. Struct. 2008, 30, 384–392. [Google Scholar] [CrossRef]
- Zhang, Y.; Liu, B.; Meng, L. Structural behavior and soil arching state of underground corrugated steel utility tunnel. J. Constr. Steel Res. 2023, 203, 107798. [Google Scholar] [CrossRef]
- Jin, J.; Su, M.; Lang, K.; Zhang, H.; Ye, X.; Shi, W. Load–bearing behavior of pipe–arch corrugated steel pipes during backfilling. J. Struct. Eng. 2025, 151, 04025175. [Google Scholar] [CrossRef]
- Okafor, C.C.; Rojas, O.L.; Liu, B.; Turner, K.; Anderson, J.B.; Davidson, J.S. Load rating corrugated metal culverts with shallow soil cover. J. Perform. Constr. Facil. 2023, 37, 04023005. [Google Scholar] [CrossRef]
- Sezen, H.; Yeau, K.Y.; Fox, P.J. In–situ load testing of corrugated steel pipe–arch culverts. J. Perform. Constr. Facil. 2008, 22, 245–252. [Google Scholar] [CrossRef]
- Yeau, K.Y.; Sezen, H.; Fox, P.J. Load performance of in situ corrugated steel highway culverts. J. Perform. Constr. Facil. 2009, 23, 32–39. [Google Scholar] [CrossRef]
- Beben, D. Corrugated steel plate culvert response to service train loads. J. Perform. Constr. Facil. 2014, 28, 376–390. [Google Scholar] [CrossRef]
- Liu, Y.; Hoult, N.A.; Moore, I.D. Structural performance of in–service corrugated steel culvert under vehicle loading. J. Bridge Eng. 2020, 25, 04019142. [Google Scholar] [CrossRef]
- Flener, E.B. Soil–steel interaction of long–span box culverts—Performance during backfilling. J. Geotech. Geoenviron. Eng. 2010, 136, 823–832. [Google Scholar] [CrossRef]
- Nakhostin, E.; Kenny, S.; Sivathayalan, S. Numerical performance assessment of buried corrugated metal culvert subject to service load conditions. Can. J. Civ. Eng. 2021, 48, 99–114. [Google Scholar] [CrossRef]
- Miśkiewicz, M.; Sobczyk, B.; Tysiac, P. Non–destructive testing of the longest span soil–steel bridge in Europe—Field measurements and FEM calculations. Materials 2020, 13, 3652. [Google Scholar] [CrossRef]
- Maleska, T.; Beben, D. Numerical analysis of a soil–steel bridge during backfilling using various shell models. Eng. Struct. 2019, 196, 109358. [Google Scholar] [CrossRef]
- Beyabanaki, A.R.; Gall, W. 3D numerical parametric study of the influence of open–pit mining sequence on existing tunnels. Int. J. Min. Sci. Technol. 2017, 27, 459–466. [Google Scholar] [CrossRef]
- Zheng, G.; Yang, X.; Zhou, H.; Du, Y.; Sun, J.; Yu, X. A simplified prediction method for evaluating tunnel displacement induced by laterally adjacent excavations. Comput. Geotech. 2018, 95, 119–128. [Google Scholar] [CrossRef]
- Che, C.; Hu, P.; Shi, F.; Xu, P.; Liu, J.; Li, K. Local stability analysis of a composite corrugated steel plate pipe–arch in soil. Buildings 2024, 14, 3290. [Google Scholar] [CrossRef]
- Bao, X.; Wu, X.; Shen, J.; Wu, S.; Chen, X.; Cui, H. Performance analysis of multiple steel corrugated pipe arch culvert under construction and periodic vehicle load. Appl. Sci. 2023, 13, 9441. [Google Scholar] [CrossRef]
- Liu, Y.; Moore, I.D.; Hoult, N.A.; Lan, H. Numerical investigation of the structural behavior of corrugated steel culverts under surface load tests using three–dimensional finite–element analyses. J. Pipeline Syst. Eng. Pract. 2023, 14, 04023002. [Google Scholar] [CrossRef]
- Sutubadi, M.H.; Khatibi, B.R. Effect of soil properties on stability of soil–steel culverts. Turk. J. Eng. Environ. Sci. 2013, 37, 79–90. [Google Scholar]
- Wu, G.; Xie, Y.; Wei, J.; Yin, Z.; Yue, X. Effects of corrugated steel pipe parameters on the stress and deformation of a highway subgrade culvert. Int. J. Steel Struct. 2023, 23, 1294–1304. [Google Scholar] [CrossRef]
- Zhang, X.; Chen, K.; Lu, X.; Xu, G.; Chen, T. Constructional behavior of multi–span corrugated steel arch culverts stiffened by concrete rings. J. Constr. Steel Res. 2024, 218, 108751. [Google Scholar] [CrossRef]
- JTG/T H21–2011; Technical Condition Assessment Standards for Highway Bridges. People’s Communications Publishing House: Beijing, China, 2011.
- GB 50026–2020; Standard for Engineering Surveying. China Planning Press: Beijing, China, 2020.
- JTG–60–2004; General Design Specifications for Highway Bridges and Culverts. People’s Communications Publishing House: Beijing, China, 2004.






















| ID | 1 | 2 | 3 | 4 | 5 | 6 | 7 | 8 | 9 | 10 | 11 | 12 | Total |
|---|---|---|---|---|---|---|---|---|---|---|---|---|---|
| 4 | −2.09 | 0.1 | −2.27 | −0.86 | −1.05 | −1.61 | −1.50 | −1.51 | −0.75 | −1.62 | −1.81 | −1.27 | −16.24 |
| 5 | −4.25 | 0.25 | −0.67 | −1.67 | −0.90 | −0.23 | −0.50 | −1.38 | −1.03 | −0.99 | −1.37 | −1.35 | −14.09 |
| 6 | −2.84 | 0.77 | −2.81 | −0.58 | −0.89 | −0.22 | −0.12 | −0.20 | −1.16 | −0.38 | −0.56 | −0.82 | −9.81 |
| 7 | −4.25 | 1.08 | −2.84 | −0.25 | −1.35 | −0.49 | −0.18 | −0.81 | −1.28 | −0.90 | −0.77 | −0.79 | −12.83 |
| 8 | −3.49 | 1.46 | −3.56 | −0.73 | −0.56 | −0.45 | −0.85 | −0.97 | −1.64 | −1.34 | −0.84 | −0.95 | −13.92 |
| 9 | −5.60 | 0.54 | −3.62 | −0.92 | −1.05 | −0.6 | −1.16 | −1.29 | −1.60 | −1.15 | −1.52 | −1.46 | −19.43 |
| 10 | −5.97 | 1.36 | −3.03 | −0.90 | −1.36 | −0.99 | −0.89 | −1.82 | −1.46 | −1.33 | −1.96 | −1.49 | −19.84 |
| 11 | −5.18 | 0.01 | −3.53 | −1.43 | −1.97 | −0.77 | −1.18 | −1.12 | −1.42 | −1.21 | −1.15 | −1.37 | −20.32 |
| 12 | −6.27 | 1.42 | −3.73 | −2.74 | −0.70 | −1.03 | −0.97 | −1.34 | −1.93 | −1.33 | −1.55 | −1.49 | −21.66 |
| 13 | −0.41 | 3.26 | −3.51 | −1.50 | −1.97 | −0.89 | −1.68 | −0.96 | −1.56 | −1.97 | −1.48 | −1.23 | −13.90 |
| 22 | 0.17 | 0.22 | −3.11 | −0.80 | −0.56 | −1.50 | −1.38 | −1.26 | −1.65 | −1.25 | −1.08 | −1.27 | −13.47 |
| 23 | −2.24 | −0.46 | 1.10 | −1.44 | −2.41 | −1.47 | −1.72 | −1.68 | −1.48 | −1.77 | −1.57 | −1.52 | −16.66 |
| 24 | −4.04 | 0.14 | −4.36 | −0.59 | −2.73 | −0.73 | −0.50 | −0.84 | −0.76 | −1.12 | −1.58 | −1.42 | −18.53 |
| 25 | −3.06 | 2.37 | −3.91 | −1.17 | −0.71 | −0.15 | −0.16 | −0.14 | −0.24 | −0.27 | −0.43 | −0.35 | −8.22 |
| 26 | −5.00 | 4.32 | −6.18 | −0.73 | −1.42 | −0.35 | −0.39 | −0.42 | −0.37 | −0.52 | −0.61 | −0.87 | −12.54 |
| 27 | −4.53 | 2.74 | −3.89 | −0.79 | −1.70 | −0.63 | −0.42 | −0.66 | −0.88 | −0.69 | −0.62 | −0.74 | −12.81 |
| 28 | −4.10 | 0.50 | −3.44 | −1.62 | −1.15 | −0.83 | −0.94 | −0.85 | −1.14 | −0.77 | −0.99 | −0.74 | −16.07 |
| 29 | −4.35 | 0.24 | −2.77 | −1.35 | −1.90 | −1.12 | −1.28 | −0.83 | −0.96 | −1.22 | −1.43 | −1.29 | −18.26 |
| 30 | −4.36 | 2.32 | −4.86 | −1.73 | −1.62 | −0.88 | −0.60 | −1.06 | −1.33 | −1.03 | −1.28 | −1.04 | −17.47 |
| 31 | −3.04 | 2.55 | −4.94 | −1.67 | −1.48 | −1.33 | −1.32 | −1.22 | −0.95 | −1.42 | −0.85 | −0.78 | −16.45 |
| 40 | −2.80 | 1.88 | −3.82 | −0.52 | −0.48 | −0.80 | −1.43 | −0.97 | −1.29 | −1.15 | −1.45 | −1.43 | −14.26 |
| 41 | −6.60 | 1.19 | −2.92 | −1.41 | −0.98 | −1.13 | −0.72 | −1.82 | −1.52 | −1.20 | −1.04 | −1.22 | −19.37 |
| 42 | −3.80 | 1.17 | −4.24 | −1.63 | −1.32 | −0.52 | −0.31 | −0.15 | −0.11 | −0.14 | −0.38 | −0.41 | −11.84 |
| 43 | −5.08 | 2.03 | −4.07 | −0.39 | −2.18 | −0.37 | −0.19 | −0.15 | −0.14 | −0.12 | −0.44 | −0.45 | −11.55 |
| 44 | −4.99 | 4.68 | −4.53 | −0.55 | −0.51 | 0.02 | −0.03 | 0.05 | 0.02 | 0.03 | 0.22 | 0.25 | −5.34 |
| 45 | −4.62 | 3.48 | −5.01 | −0.82 | −0.77 | −0.37 | −0.58 | −0.59 | −0.37 | −0.36 | −0.42 | −0.47 | −10.90 |
| 46 | −1.87 | 3.23 | −4.35 | −0.89 | −1.23 | −0.69 | −0.79 | −0.89 | −0.72 | −0.80 | −0.82 | −0.92 | −10.74 |
| 47 | −4.49 | 2.92 | −3.53 | −1.09 | −1.08 | −1.60 | −0.66 | −0.75 | −1.15 | −0.83 | −1.07 | −1.27 | −14.60 |
| 48 | −2.87 | 1.03 | −4.11 | −1.09 | −1.29 | −0.96 | −1.05 | −1.28 | −0.82 | −1.13 | −1.15 | −1.22 | −15.94 |
| 49 | −4.83 | 2.38 | −5.56 | −1.04 | −1.76 | −1.23 | −1.34 | −1.14 | −0.97 | −1.23 | −1.72 | −1.35 | −19.79 |
Disclaimer/Publisher’s Note: The statements, opinions and data contained in all publications are solely those of the individual author(s) and contributor(s) and not of MDPI and/or the editor(s). MDPI and/or the editor(s) disclaim responsibility for any injury to people or property resulting from any ideas, methods, instructions or products referred to in the content. |
© 2026 by the authors. Licensee MDPI, Basel, Switzerland. This article is an open access article distributed under the terms and conditions of the Creative Commons Attribution (CC BY) license.
Share and Cite
Sun, K.; Jiang, L.; Shi, Y.; Ning, Z.; Wang, M.; Li, T.; Cui, L.; Hu, C. Deformation Response of Corrugated Steel Pipe Arch Bridges Under Differential Foundation Settlement. Symmetry 2026, 18, 267. https://doi.org/10.3390/sym18020267
Sun K, Jiang L, Shi Y, Ning Z, Wang M, Li T, Cui L, Hu C. Deformation Response of Corrugated Steel Pipe Arch Bridges Under Differential Foundation Settlement. Symmetry. 2026; 18(2):267. https://doi.org/10.3390/sym18020267
Chicago/Turabian StyleSun, Kaixuan, Lei Jiang, Yi Shi, Zhaomin Ning, Mingyue Wang, Tao Li, Lei Cui, and Changhao Hu. 2026. "Deformation Response of Corrugated Steel Pipe Arch Bridges Under Differential Foundation Settlement" Symmetry 18, no. 2: 267. https://doi.org/10.3390/sym18020267
APA StyleSun, K., Jiang, L., Shi, Y., Ning, Z., Wang, M., Li, T., Cui, L., & Hu, C. (2026). Deformation Response of Corrugated Steel Pipe Arch Bridges Under Differential Foundation Settlement. Symmetry, 18(2), 267. https://doi.org/10.3390/sym18020267
