Sign in to use this feature.

Years

Between: -

Subjects

remove_circle_outline
remove_circle_outline
remove_circle_outline
remove_circle_outline
remove_circle_outline

Journals

Article Types

Countries / Regions

Search Results (23)

Search Parameters:
Keywords = kudzu root

Order results
Result details
Results per page
Select all
Export citation of selected articles as:
16 pages, 2178 KB  
Article
The Stability of Four Kinds of Cellulose Pickering Emulsions and Optimization of the Properties of Mayonnaise by a Soybean Byproduct Pickering Emulsion
by Zhanxin Zheng, Ziwei Feng, Liu Liu, Yuhuan Zhang, Jianke Li and Xiaoxia Wu
Polysaccharides 2025, 6(3), 77; https://doi.org/10.3390/polysaccharides6030077 - 1 Sep 2025
Cited by 1 | Viewed by 1418
Abstract
Soybean residue, kudzu root residue, astragalus residue and pomegranate peel residue are byproducts of food processing with high yield. In the food processing industry in Northwest China, these waste residues contain a large amount of nutrients and have a large amount of emissions. [...] Read more.
Soybean residue, kudzu root residue, astragalus residue and pomegranate peel residue are byproducts of food processing with high yield. In the food processing industry in Northwest China, these waste residues contain a large amount of nutrients and have a large amount of emissions. In this study, cellulose was extracted from four kinds of waste residue and characterized to study its emulsification performance and application effect. The results are as follows: The extracted cellulose had typical cellulose crystal structure and good thermal stability. Among the four kinds of cellulose, the physical, chemical and functional properties of the soybean byproduct were significantly better than those of standard cellulose and other sources of cellulose. The Pickering emulsions fixed by four kinds of cellulose and soybean lecithin have similar properties. The emulsification performance of the immobilized soybean byproduct cellulose Pickering emulsion is the best. Soybean byproduct cellulose was used as an oil substitute for the development of new mayonnaise. The results showed that when 8% soybean byproduct cellulose Pickering emulsion was used to replace vegetable oil, the quality of reduced-fat mayonnaise was better. This soybean byproduct cellulose has potential development and application value in industrial food. Full article
Show Figures

Graphical abstract

19 pages, 2933 KB  
Article
Hepatoprotective Activity of Nature-Derived Polyphenols Studied by Mass Spectrometry Based Multi-OMICS Approach
by Alexander G. Brzhozovskiy, Savva D. Semenov, Alexander Y. Zherebker, Anna E. Bugrova, Maria N. Yurova, Yury V. Zhernov, Oxana A. Kovaleva, Alexander L. Semenov, Dmitry P. Abroskin, Stepan S. Kruglov, Elena I. Fedoros, Alexey S. Kononikhin and Evgeniy N. Nikolaev
Int. J. Mol. Sci. 2025, 26(4), 1604; https://doi.org/10.3390/ijms26041604 - 13 Feb 2025
Cited by 2 | Viewed by 2079
Abstract
The aim of this study was to examine the hepatoprotective activity of multicomponent mixtures of natural origin in the BALB/C mouse model, with subacute liver failure (SALF) induced by the administration of toxin carbon tetrachloride (CCl4). The hepatoprotective activity of activated [...] Read more.
The aim of this study was to examine the hepatoprotective activity of multicomponent mixtures of natural origin in the BALB/C mouse model, with subacute liver failure (SALF) induced by the administration of toxin carbon tetrachloride (CCl4). The hepatoprotective activity of activated hydrolytic lignin (BP-Cx-1), humic acid peloids (HA), and isoflavones from kudzu Pueraria lobata roots (IFL) was evaluated using mass spectrometry (MS)-based omics technologies. Our MS-based approach revealed new insights into the molecular mechanisms of the hepatoprotective activity of multicomponent mixtures of natural origin. Significant differences were observed in the proteome and metabolome profiles of the urine and liver of BALB/c mice with SALF between a control group with CCl4 administration, intact controls, and groups receiving potential hepatoprotectors of natural origin (BP-Cx-1, HA, IFL). Proteomic and metabolomics analyses demonstrated that among the hepatoprotectors, IFL possessed the highest hepatoprotective potential, which correlated well with the relative effectiveness of the drugs recorded during in vitro studies. These results correlate with the relative effectiveness of the drugs recorded in previous in vitro and in vivo studies. The leading IFL activity may be attributed to a higher content of active polyphenolic components compared to heterogeneous HA and BP-Cx-1. Enrichment with active components by fractionation is a direction that can be explored for developing hepatoprotective agents based on natural complex polyphenols. Full article
(This article belongs to the Special Issue Role of Proteomics in Human Diseases and Infections)
Show Figures

Figure 1

27 pages, 16494 KB  
Article
Network Pharmacology Analysis and Biological Validation Systemically Identified the Active Ingredients and Molecular Targets of Kudzu Root on Osteoporosis
by Zhi-Wen Liu, Bo-Bo Zhang, Kevin Wing-Hin Kwok, Xiao-Li Dong and Ka-Hing Wong
Int. J. Mol. Sci. 2025, 26(3), 1202; https://doi.org/10.3390/ijms26031202 - 30 Jan 2025
Cited by 1 | Viewed by 3509
Abstract
As a traditional medicinal food, Kudzu root (KR) has been proven to be an effective medicine for treating osteoporosis (OP). However, its precise targets and underlying integrated pharmacological mechanisms on OP have not yet been systematically investigated. The aim of the present study [...] Read more.
As a traditional medicinal food, Kudzu root (KR) has been proven to be an effective medicine for treating osteoporosis (OP). However, its precise targets and underlying integrated pharmacological mechanisms on OP have not yet been systematically investigated. The aim of the present study was to systemically explore the active ingredients, molecular targets, and ingredient-target network of KR against OP by the methods of network pharmacology followed by biological validation in a glucocorticoid-induced bone loss model of zebrafish. Our results identified a total of 15 active compounds with good pharmacokinetic properties in KR and 119 targets related to OP from correspondent databases, forming an ingredient-target network. Additionally, the protein–protein interaction (PPI) network further identified 39 core targets. Enrichment analyses with functional annotation revealed that the TNF signaling pathway and osteoclast differentiation process were significantly enriched by multi-targets including AKT1, P65, MAPK14, JUN, TNF-α, MMP9, IL6, and IL1B, etc., and served as the critical targets for molecular docking, molecular dynamics simulation, and in vivo experiment validation. These critical targets performed effectively in molecular docking and molecular dynamics, with AKT1, MMP9, and TNF-α exhibiting more prominent binding energy with Coumestrol, Genistein, and Genistein 7-glucoside, respectively. Further experimental validation in a zebrafish model indicated that KR could regulate the expressions of critical targets (AKT1, P65, MAPK14, JUN, TNF-α, and MMP9). This study provides a systemic perspective of the relationships between the active ingredients of KR and their multi-targets in OP, thereby constructing a pharmacological network to clarify the mechanisms by which KR ameliorates OP. Full article
(This article belongs to the Section Molecular Pharmacology)
Show Figures

Figure 1

20 pages, 7072 KB  
Article
Integrative Analyses of Metabolome and Transcriptome Reveal Regulatory Network of Puerarin Biosynthesis in Pueraria montana var. lobata
by Ting Zhu, Jianing He, Junting Li, Chenxi Liu, Xinyi Min, Xinyi Hu and Xia Liu
Molecules 2024, 29(23), 5556; https://doi.org/10.3390/molecules29235556 - 25 Nov 2024
Cited by 1 | Viewed by 1871
Abstract
Kudzu, scientifically known as Pueraria montana var. lobata (Willd.) Maesen & S.M.Almeida ex Sanjappa & Predeep (P. lobata), is a perennial vine belonging to the family Leguminosae. Puerarin, a unique constituent and primary active ingredient of this genus, exhibits a broad [...] Read more.
Kudzu, scientifically known as Pueraria montana var. lobata (Willd.) Maesen & S.M.Almeida ex Sanjappa & Predeep (P. lobata), is a perennial vine belonging to the family Leguminosae. Puerarin, a unique constituent and primary active ingredient of this genus, exhibits a broad spectrum of pharmacological activities. This study started with several practical questions: Why is the root the main medicinal part? Why is it not peeled for medicinal purposes? Why is the harvest period usually from December to February? Although the puerarin biosynthesis pathway has been investigated, the stage at which the 8-C glycosylation reaction occurs remains controversial. In this study, metabolomics and transcriptomics analyses were performed on P. lobata organs and tissues, including leaves, young stems, mature stems, tuberous cortices, and cortex-excised tubers of roots. Two modules containing genes associated with puerarin biosynthesis were identified by WGCNA. The final selection of important candidate UDP-glucosyltransferases (UGTs) that may be involved in the puerarin biosynthesis pathway included two 8-C-GTs, three 7-O-GTs, and key transcription factors. On this basis, the regulatory network of puerarin biosynthesis was constructed and laid the foundation for the cultivation of high-quality medicinal kudzu with high puerarin content. Full article
Show Figures

Figure 1

23 pages, 9817 KB  
Article
The Impact of Exogenous Sodium Selenite Treatment on the Nutritional Value and Active Constituents of Pueraria lobata
by Hua Cheng, Lu Wang, Huiyi Gong, Li Wang, Yuanfei Chen, Shuiyuan Cheng and Linling Li
Horticulturae 2024, 10(10), 1081; https://doi.org/10.3390/horticulturae10101081 - 9 Oct 2024
Cited by 1 | Viewed by 1481
Abstract
Moderate amounts of Se can promote crop growth, enhance stress resistance, increase yield, and improve nutritional quality. In the present study, kudzu seedlings were used as experimental materials, and their physiological indicators, antioxidant activity, nutritional components, and flavonoid content were measured after being [...] Read more.
Moderate amounts of Se can promote crop growth, enhance stress resistance, increase yield, and improve nutritional quality. In the present study, kudzu seedlings were used as experimental materials, and their physiological indicators, antioxidant activity, nutritional components, and flavonoid content were measured after being treated with Na2SeO3 hydroponics. Transcriptome sequencing analysis was used to reveal the relevant genes involved in regulating the effects of exogenous Se on the content of Se-compounds and flavonoids in kudzu. The results indicated that treatment with 20 mg/L Na2SeO3 significantly increased stem and root lengths, dry and fresh weight, lateral root development, and chlorophyll b content. However, at higher concentrations (30–40 mg/L), lateral root abundance and chlorophyll levels decreased. Na2SeO3 treatment also augmented the antioxidant capacity and enhanced the content of major nutrients in kudzu seedlings. The total Se content in kudzu escalated with increasing Na2SeO3 concentration, with selenomethionine emerging as the primary organic-Se species. After treatment with Na2SeO3, the content of puerarin in both aboveground and underground parts decreased, while the content of total flavonoids increased. Daidzin increased in the roots. Differential expression gene analysis revealed that genes such as TRXB2, SYM, MMT1, and METE were involved in Se uptake and transformation in kudzu, while bZIP43 and WRKY47 played a role in flavonoid biosynthesis. Full article
(This article belongs to the Section Biotic and Abiotic Stress)
Show Figures

Figure 1

16 pages, 5342 KB  
Article
Puerarin Alleviates Blood Pressure via Inhibition of ROS/TLR4/NLRP3 Inflammasome Signaling Pathway in the Hypothalamic Paraventricular Nucleus of Salt-Induced Prehypertensive Rats
by Hong-Li Gao, Yu Yang, Hua Tian, Shen-Liang Xu, Bo-Wen Li, Li-Yan Fu, Kai-Li Liu, Xiao-Lian Shi, Yu-Ming Kang and Xiao-Jing Yu
Nutrients 2024, 16(16), 2580; https://doi.org/10.3390/nu16162580 - 6 Aug 2024
Cited by 12 | Viewed by 3054
Abstract
Background: Puerarin is an isoflavone compound isolated from the roots of a leguminous plant, the wild kudzu. Various functional activities of this compound in multiple diseases have been reported. However, the effect and mechanism of puerarin in improving blood pressure remain non-elucidated. Purpose: [...] Read more.
Background: Puerarin is an isoflavone compound isolated from the roots of a leguminous plant, the wild kudzu. Various functional activities of this compound in multiple diseases have been reported. However, the effect and mechanism of puerarin in improving blood pressure remain non-elucidated. Purpose: The current study was designed to assess the preventive effects of puerarin on the onset and progression of hypertension and to verify the hypothesis that puerarin alleviates blood pressure by inhibiting the ROS/TLR4/NLRP3 inflammasome signaling pathway in the hypothalamic paraventricular nucleus (PVN) of salt-induced prehypertensive rats. Methods: Male Dahl salt-sensitive rats were fed low NaCl salt (3% in drinking water) for the control (NS) group or 8% (HS) to induce prehypertension. Each batch was divided into two group and treated by bilateral PVN microinjection with either artificial cerebrospinal fluid or puerarin through a micro-osmotic pump for 6 weeks. The mean arterial pressure (MAP) was recorded, and samples were collected and analyzed. Results: We concluded that puerarin significantly prevented the elevation of blood pressure and effectively alleviated the increase in heart rate caused by high salt. Norepinephrine (NE) in the plasma of salt-induced prehypertensive rats also decreased upon puerarin chronic infusion. Additionally, analysis of the PVN sample revealed that puerarin pretreatment decreased the positive cells and gene level of TLR4 (Toll-like receptor 4), NLRP3, Caspase-1 p10, NOX2, MyD88, NOX4, and proinflammatory cytokines in the PVN. Puerarin pretreatment also decreased NF-κBp65 activity, inhibited oxidative stress, and alleviated inflammatory responses in the PVN. Conclusion: We conclude that puerarin alleviated blood pressure via inhibition of the ROS/TLR4/NLRP3 inflammasome signaling pathway in the PVN, suggesting the therapeutic potential of puerarin in the prevention of hypertension. Full article
(This article belongs to the Section Phytochemicals and Human Health)
Show Figures

Figure 1

30 pages, 2012 KB  
Review
Puerariae lobatae Radix: Progress in Extraction, Separation Methods and Pharmacological Activities Research
by Erjian Gao, Wei Wang, Yuanyuan Huang, Zhijie Luo, Bangzheng Chen, Siqiu Xiao and Dewen Li
Separations 2024, 11(7), 195; https://doi.org/10.3390/separations11070195 - 24 Jun 2024
Cited by 16 | Viewed by 7750
Abstract
Kudzu root (Puerariae lobatae Radix) is the tuberous root of Pueraria lobata, family Leguminosae. Kudzu root contains a variety of beneficial active ingredients such as puerarin, daidzin, daidzein, genistenin, 3′-hydroxy puerarin, β-sitosterol, stigmasterol, arachidic acid, and so on. Modern medical research [...] Read more.
Kudzu root (Puerariae lobatae Radix) is the tuberous root of Pueraria lobata, family Leguminosae. Kudzu root contains a variety of beneficial active ingredients such as puerarin, daidzin, daidzein, genistenin, 3′-hydroxy puerarin, β-sitosterol, stigmasterol, arachidic acid, and so on. Modern medical research shows that active ingredients in kudzu root are widely used clinically as raw materials for the treatment of hyperglycemia, non-alcoholic fatty liver disease, myocardial infarction, alcohol addiction, oxidative stress, inflammatory response, and retinal blockage due to their various pharmacological effects such as improving cardiovascular circulation, lowering blood lipids, lowering blood pressure, lowering blood sugar, being antipyretic, being estrogen-like, and relieving alcohol. China has rich resources of kudzu root, and active ingredients are usually extracted before it is made into a preparation, so whether the extraction and separation process is reasonable will directly affect the ease of preparation and the efficacy of the treatment. This paper reviews the process methods for the extraction and separation of active ingredients in kudzu root and its common pharmacological activities. The aim is to provide some references for readers to compare the advantages and disadvantages of various extraction and separation methods as well as understand the active ingredients and pharmacological activities of kudzu root. Full article
Show Figures

Figure 1

19 pages, 1211 KB  
Review
Puerarin—A Promising Flavonoid: Biosynthesis, Extraction Methods, Analytical Techniques, and Biological Effects
by Sergio Liga and Cristina Paul
Int. J. Mol. Sci. 2024, 25(10), 5222; https://doi.org/10.3390/ijms25105222 - 10 May 2024
Cited by 29 | Viewed by 6544
Abstract
Flavonoids, a variety of plant secondary metabolites, are known for their diverse biological activities. Isoflavones are a subgroup of flavonoids that have gained attention for their potential health benefits. Puerarin is one of the bioactive isoflavones found in the Kudzu root and Pueraria [...] Read more.
Flavonoids, a variety of plant secondary metabolites, are known for their diverse biological activities. Isoflavones are a subgroup of flavonoids that have gained attention for their potential health benefits. Puerarin is one of the bioactive isoflavones found in the Kudzu root and Pueraria genus, which is widely used in alternative Chinese medicine, and has been found to be effective in treating chronic conditions like cardiovascular diseases, liver diseases, gastric diseases, respiratory diseases, diabetes, Alzheimer’s disease, and cancer. Puerarin has been extensively researched and used in both scientific and clinical studies over the past few years. The purpose of this review is to provide an up-to-date exploration of puerarin biosynthesis, the most common extraction methods, analytical techniques, and biological effects, which have the potential to provide a new perspective for medical and pharmaceutical research and development. Full article
Show Figures

Figure 1

19 pages, 1632 KB  
Review
Research Progress in Modifications, Bioactivities, and Applications of Medicine and Food Homologous Plant Starch
by Kai Chen, Pinghui Wei, Meiqi Jia, Lihao Wang, Zihan Li, Zhongwei Zhang, Yuhuan Liu and Lin Shi
Foods 2024, 13(4), 558; https://doi.org/10.3390/foods13040558 - 12 Feb 2024
Cited by 13 | Viewed by 4467
Abstract
Starchy foods are an essential part of people’s daily diet. Starch is the primary substance used by plants to store carbohydrates, and it is the primary source of energy for humans and animals. In China, a variety of plants, including edible medicinal plants, [...] Read more.
Starchy foods are an essential part of people’s daily diet. Starch is the primary substance used by plants to store carbohydrates, and it is the primary source of energy for humans and animals. In China, a variety of plants, including edible medicinal plants, such as Pueraria root, yam tuber and coix seed, are rich in starch. However, limited by their inherent properties, kudzu starch and other starches are not suitable for the modern food industry. Natural starch is frequently altered by physical, chemical, or biological means to give it superior qualities to natural starch as it frequently cannot satisfy the demands of industrial manufacturing. Therefore, the deep processing market of modified starch and its products has a great potential. This paper reviews the modification methods which can provide excellent functional, rheological, and processing characteristics for these starches that can be used to improve the physical and chemical properties, texture properties, and edible qualities. This will provide a comprehensive reference for the modification and application of starch from medicinal and edible plants. Full article
(This article belongs to the Special Issue Novel Technologies to Improve the Nutritional Properties of Food)
Show Figures

Figure 1

25 pages, 3533 KB  
Review
Advances in Extraction, Purification, and Analysis Techniques of the Main Components of Kudzu Root: A Comprehensive Review
by Tong Xuan, Yuhan Liu, Rui Liu, Sheng Liu, Jiaqi Han, Xinyu Bai, Jie Wu and Ronghua Fan
Molecules 2023, 28(18), 6577; https://doi.org/10.3390/molecules28186577 - 12 Sep 2023
Cited by 29 | Viewed by 6761
Abstract
Kudzu root (Pueraria lobate (Willd.) Ohwi, KR) is an edible plant with rich nutritional and medicinal values. Over the past few decades, an ample variety of biological effects of Pueraria isoflavone have been evaluated. Evidence has shown that Pueraria isoflavone can play an [...] Read more.
Kudzu root (Pueraria lobate (Willd.) Ohwi, KR) is an edible plant with rich nutritional and medicinal values. Over the past few decades, an ample variety of biological effects of Pueraria isoflavone have been evaluated. Evidence has shown that Pueraria isoflavone can play an active role in antioxidant, anti-inflammatory, anti-cancer, neuroprotection, and cardiovascular protection. Over 50 isoflavones in kudzu root have been identified, including puerarin, daidzein, daidzin, 3′-hydroxy puerarin, and genistein, each with unambiguous structures. However, the application of these isoflavones in the development of functional food and health food still depends on the extraction, purification and identification technology of Pueraria isoflavone. In recent years, many green and novel extraction, purification, and identification techniques have been developed for the preparation of Pueraria isoflavone. This review provides an updated overview of these techniques, specifically for isoflavones in KR since 2018, and also discusses and compares the advantages and disadvantages of these techniques in depth. The intention is to provide a research basis for the green and efficient extraction, purification, and identification of Pueraria isoflavone and offers investigators a valuable reference for future studies on the KR. Full article
Show Figures

Figure 1

19 pages, 6327 KB  
Article
Enhanced Bioaccessibility of Microencapsulated Puerarin Delivered by Pickering Emulsions Stabilized with OSA-Modified Hydrolyzed Pueraria montana Starch: In Vitro Release, Storage Stability, and Physicochemical Properties
by Zafarullah Muhammad, Rabia Ramzan, Ruifen Zhang, Dong Zhao, Nazia Khalid, Mei Deng, Lihong Dong, Mahwash Aziz, Rizwana Batool and Mingwei Zhang
Foods 2022, 11(22), 3591; https://doi.org/10.3390/foods11223591 - 11 Nov 2022
Cited by 22 | Viewed by 3455
Abstract
Puerarin is a bioactive flavonoid isolated from Kudzu roots that possesses numerous health benefits. However, its poor bioavailability and existing complex delivery systems with safety issues are challenging tasks for its incorporation into functional foods. Preparing modified-starch-stabilized Pickering emulsions containing microencapsulated puerarin with [...] Read more.
Puerarin is a bioactive flavonoid isolated from Kudzu roots that possesses numerous health benefits. However, its poor bioavailability and existing complex delivery systems with safety issues are challenging tasks for its incorporation into functional foods. Preparing modified-starch-stabilized Pickering emulsions containing microencapsulated puerarin with improved bioaccessibility was the key objective of the present research work. Acid-hydrolyzed high-amylose Pueraria montana starch (PMS) was modified with octenyl succinic anhydride (OSA) and evaluated as an emulsifier to prepare emulsions. The FTIR, SEM, and XRD results showed that PMS was successfully modified. Furthermore, the emulsification index (EI), mean droplet size, and ζ-potential values showed that modified starch with a higher degree of substitution (DS) enhanced the storage stability of emulsions. Similarly, the retention degree and encapsulation efficiency results of puerarin proved the assumption after storage of 16 d. The Pickering emulsions also helped in the controlled release of microencapsulated puerarin in vitro. The study outcomes proved that Pickering emulsions stabilized with OSA-modified PMS have promising applicability in functional foods as efficient food-grade delivery systems, enhancing oral supplementation and accessibility of puerarin. Full article
(This article belongs to the Special Issue Encapsulation and Delivery of Food Functional Ingredients)
Show Figures

Graphical abstract

36 pages, 2424 KB  
Review
Pharmacological Activity, Pharmacokinetics, and Clinical Research Progress of Puerarin
by Di Wang, Tong Bu, Yangqian Li, Yueyue He, Fan Yang and Liang Zou
Antioxidants 2022, 11(11), 2121; https://doi.org/10.3390/antiox11112121 - 27 Oct 2022
Cited by 92 | Viewed by 8956
Abstract
As a kind of medicine and food homologous plant, kudzu root (Pueraria lobata (Willd.) Ohwi) is called an “official medicine” in Chinese folk medicine. Puerarin is the main active component extracted from kudzu root, and its structural formula is 8-β-D-grapes pyranose-4, [...] Read more.
As a kind of medicine and food homologous plant, kudzu root (Pueraria lobata (Willd.) Ohwi) is called an “official medicine” in Chinese folk medicine. Puerarin is the main active component extracted from kudzu root, and its structural formula is 8-β-D-grapes pyranose-4, 7-dihydroxy isoflavone, with a white needle crystal; it is slightly soluble in water, and its aqueous solution is colorless or light yellow. Puerarin is a natural antioxidant with high health value and has a series of biological activities such as antioxidation, anti-inflammation, anti-tumor effects, immunity improvement, and cardio-cerebrovascular and nerve cell protection. In particular, for the past few years, it has also been extensively used in clinical study. This review focuses on the antioxidant activity of puerarin, the therapy of diverse types of inflammatory diseases, various new drug delivery systems of puerarin, the “structure-activity relationship” of puerarin and its derivatives, and pharmacokinetic and clinical studies, which can provide a new perspective for the puerarin-related drug research and development, clinical application, and further development and utilization. Full article
Show Figures

Figure 1

13 pages, 2132 KB  
Article
Isolation of Mirificin and Other Bioactive Isoflavone Glycosides from the Kudzu Root Lyophilisate Using Centrifugal Partition and Flash Chromatographic Techniques
by Magdalena Maciejewska-Turska, Łukasz Pecio and Grażyna Zgórka
Molecules 2022, 27(19), 6227; https://doi.org/10.3390/molecules27196227 - 22 Sep 2022
Cited by 9 | Viewed by 2989
Abstract
Pueraria lobata (Willd.) Ohwi is a legume taxon native to Southeast Asia and widely used in traditional medicine systems of that region. The therapeutic applications of the underground parts of this species (known as kudzu root) are related to its high content of [...] Read more.
Pueraria lobata (Willd.) Ohwi is a legume taxon native to Southeast Asia and widely used in traditional medicine systems of that region. The therapeutic applications of the underground parts of this species (known as kudzu root) are related to its high content of isoflavones, mainly the characteristic C-glycoside derivatives. Within this group, the most explored compound both phytochemically and pharmacologically is puerarin. However, current scientific findings document important anti-biodegenerative effects for some of the minor isoflavones from kudzu roots. Therefore, the main objective of the study was to develop an original preparative method that allowed the efficient isolation of closely related hydrophilic daidzein C-glycosides, including mirificin, from vacuum-dried aqueous-ethanolic extracts of kudzu roots. For this purpose, the combined centrifugal partition (CPC) and flash chromatographic (FC) techniques were elaborated and used. The optimized biphasic solvent system in CPC, with ethyl acetate, ethanol, water, and 0.5% (V/V) acetic acid as a mobile phase modifier, enabled the purification and separation of the polar fraction containing bioactive isoflavones and ultimately the isolation of mirificin, 3′-hydroxy- and 3′-methoxypuerarin, puerarin, and daidzin using FC. The identity of isoflavones was confirmed using spectroscopic (UV absorption and nuclear magnetic resonance) and mass spectrometric methods. The determined purity of isolated mirificin was 63%. Full article
Show Figures

Figure 1

20 pages, 1591 KB  
Article
Antioxidant and Cytotoxic Activities of Kudzu Roots and Soy Molasses against Pediatric Tumors and Phytochemical Analysis of Isoflavones Using HPLC-DAD-ESI-HRMS
by Saied A. Aboushanab, Vadim A. Shevyrin, Grigory P. Slesarev, Vsevolod V. Melekhin, Anna V. Shcheglova, Oleg G. Makeev, Elena G. Kovaleva and Ki Hyun Kim
Plants 2022, 11(6), 741; https://doi.org/10.3390/plants11060741 - 10 Mar 2022
Cited by 14 | Viewed by 7003
Abstract
Pediatric solid tumors (PSTs) are life-threatening and can lead to high morbidity and mortality rates in children. Developing novel remedies to treat these tumors, such as glioblastoma multiforme and sarcomas, such as osteosarcoma, and rhabdomyosarcoma, is challenging, despite immense attempts with chemotherapeutic or [...] Read more.
Pediatric solid tumors (PSTs) are life-threatening and can lead to high morbidity and mortality rates in children. Developing novel remedies to treat these tumors, such as glioblastoma multiforme and sarcomas, such as osteosarcoma, and rhabdomyosarcoma, is challenging, despite immense attempts with chemotherapeutic or radiotherapeutic interventions. Soy (Glycine max) and kudzu roots (KR) (Pueraria spp.) are well-known phytoestrogenic botanical sources that contain high amounts of naturally occurring isoflavones. In the present study, we investigated the antioxidant and cytotoxic effects of the extracts of KR and soy molasses (SM) against PSTs. The green extraction of isoflavones from KR and SM was performed using natural deep eutectic solvents. The extracts were subsequently analyzed by high-performance liquid chromatography (HPLC)-diode array detector (DAD) coupled with high-resolution (HR) mass spectrometry (MS), which identified 10 isoflavones in KR extracts and 3 isoflavones in the SM extracts. Antioxidant and cytotoxic activities of KR and SM extracts were assessed against glioblastoma multiforme (A-172), osteosarcoma (HOS), and rhabdomyosarcoma (Rd) cancer cell lines. The KR and SM extracts showed satisfactory cytotoxic effects (IC50) against the cancer cell lines tested, particularly against Rd cancer cell lines, in a dose-dependent manner. Antioxidant activity was found to be significantly (p ≤ 0.05) higher in KR than in SM, which was consistent with the results of the cytotoxic activity observed with KR and SM extracts against glioblastoma and osteosarcoma cells. The total flavonoid content and antioxidant activities of the extracts were remarkably attributed to the isoflavone content in the KR and SM extracts. This study provides experimental evidence that HPLC-ESI-HRMS is a suitable analytical approach to identify isoflavones that exhibit potent antioxidant and anticancer potential against tumor cells, and that KR and SM, containing many isoflavones, can be a potential alternative for health care in the food and pharmaceutical industries. Full article
Show Figures

Graphical abstract

23 pages, 4974 KB  
Article
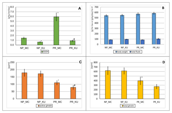
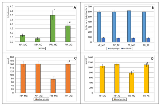
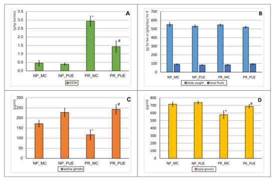
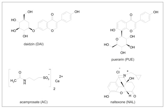
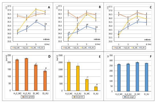
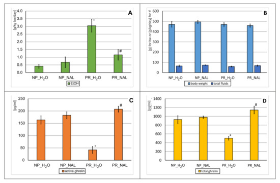
Differential Influence of Pueraria lobata Root Extract and Its Main Isoflavones on Ghrelin Levels in Alcohol-Treated Rats
by Michał Szulc, Radosław Kujawski, Justyna Baraniak, Małgorzata Kania-Dobrowolska, Ewa Kamińska, Agnieszka Gryszczyńska, Kamila Czora-Poczwardowska, Hanna Winiarska and Przemysław Ł. Mikołajczak
Pharmaceuticals 2022, 15(1), 25; https://doi.org/10.3390/ph15010025 - 24 Dec 2021
Cited by 9 | Viewed by 6476
Abstract
The study was carried out on alcohol-preferring male Wistar rats. The following drugs were repeatedly (28×) administered: acamprosate (500 mg/kg, p.o.), naltrexone (0.1 mg/kg, i.p), and Pueraria lobata (kudzu) root extract (KU) (500 mg/kg, p.o.) and its isoflavones: daidzin (40 mg/kg, p.o.) and [...] Read more.
The study was carried out on alcohol-preferring male Wistar rats. The following drugs were repeatedly (28×) administered: acamprosate (500 mg/kg, p.o.), naltrexone (0.1 mg/kg, i.p), and Pueraria lobata (kudzu) root extract (KU) (500 mg/kg, p.o.) and its isoflavones: daidzin (40 mg/kg, p.o.) and puerarin (150 mg/kg, p.o.). Their effects on a voluntary alcohol intake were assessed. KU and alcohol were also given for 9 days in an experiment on alcohol tolerance development. Finally, total and active ghrelin levels in peripheral blood serum were measured by ELISA method. Acamprosate, naltrexone, daidzin, and puerarin, reducing the alcohol intake, caused an increase in both forms of ghrelin levels. On the contrary, though KU inhibited the alcohol intake and alcohol tolerance development, it reduced ghrelin levels in alcohol-preferring rats. The changes of ghrelin concentration could play a role as an indicator of the currently used drugs. The other effect on the KU-induced shift in ghrelin levels in the presence of alcohol requires further detailed study. Full article
(This article belongs to the Section Natural Products)
Show Figures

Figure 1

Back to TopTop