Differential Influence of Pueraria lobata Root Extract and Its Main Isoflavones on Ghrelin Levels in Alcohol-Treated Rats
Abstract
1. Introduction
2. Results
2.1. Content of Isoflavones in KU
| No. | Compound | Concentration [mg/g] |
|---|---|---|
| I | 3′−hydroxypuerarin | 23.1 ± 2.0 |
| II | puerarin | 133.3 ± 11 |
| III | 3′−methoxypuerarin | 28.9 ± 3.0 |
| IV | 6″−O−D−xylosylpuerarin | 25.5 ± 3.0 |
| V | daidzin | 28.8 ± 5.0 |
| VI | daidzein | 7.40 ± 3.0 |
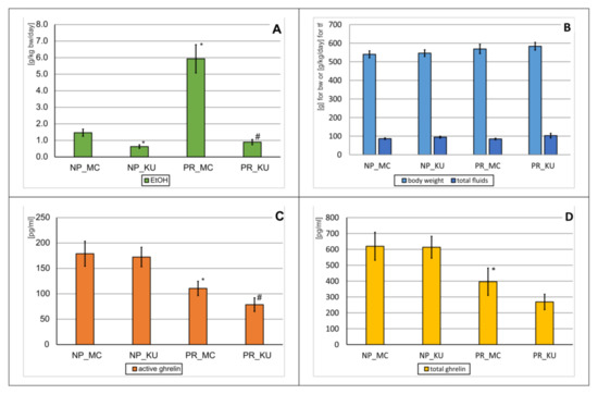
2.2. KU Repeated Administration Effects on Alcohol Drinking Behavior and Ghrelin Levels
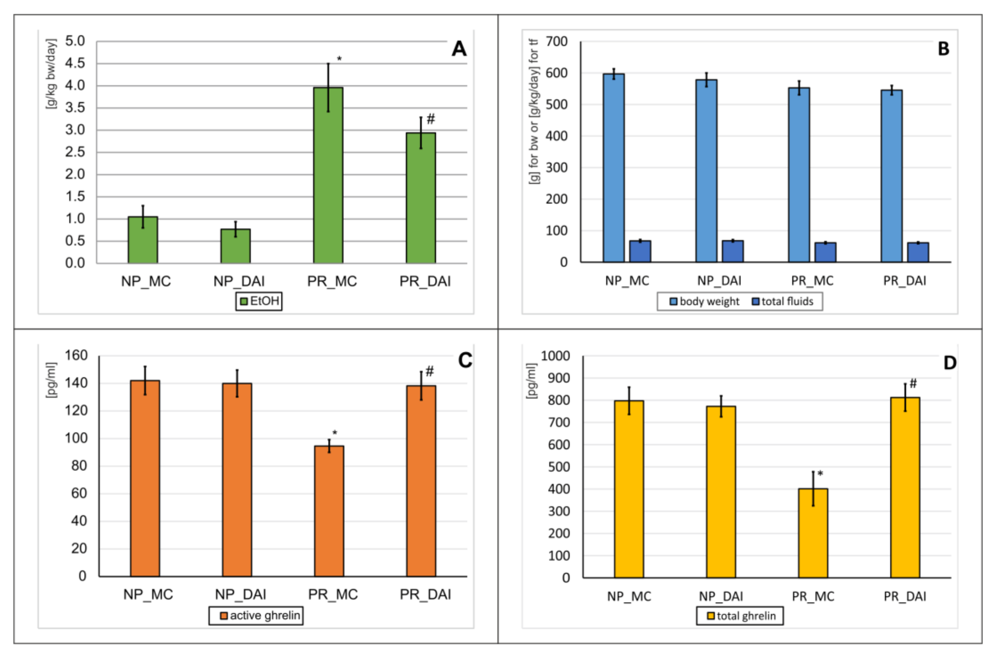
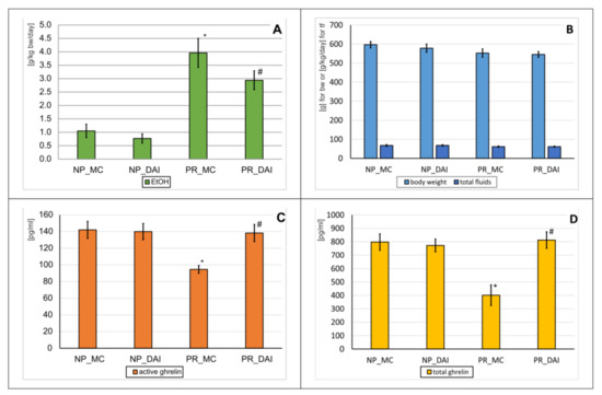
2.3. DAI Repeated Administration Effects on Alcohol Drinking Behavior and Ghrelin Levels
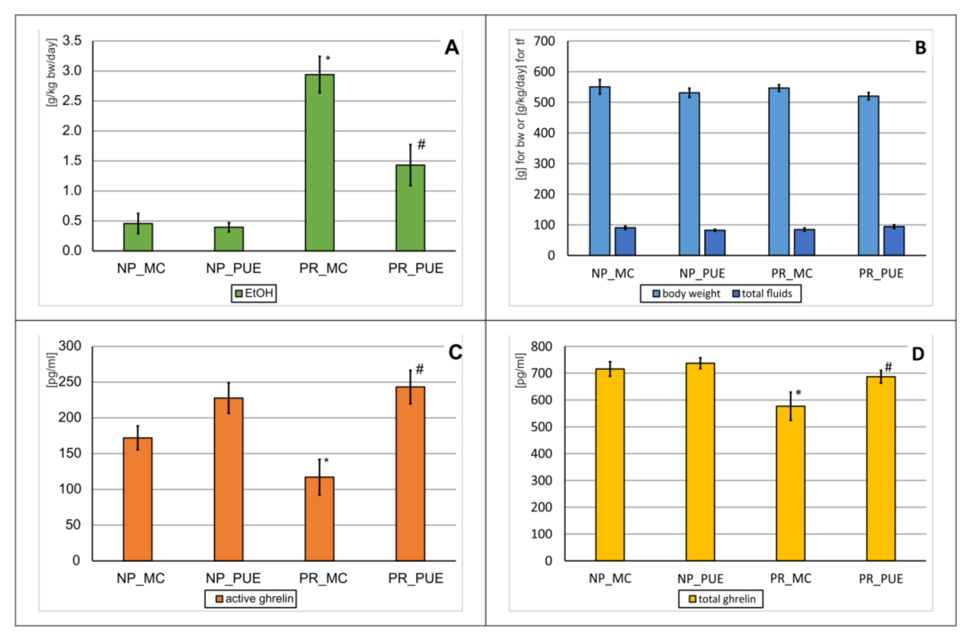
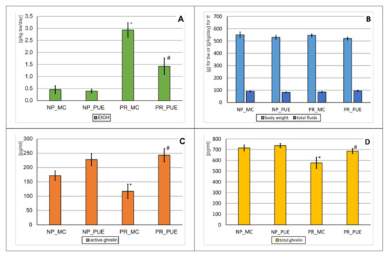
2.4. PUE Repeated Administration Effects on Alcohol Drinking Behavior and Ghrelin Levels


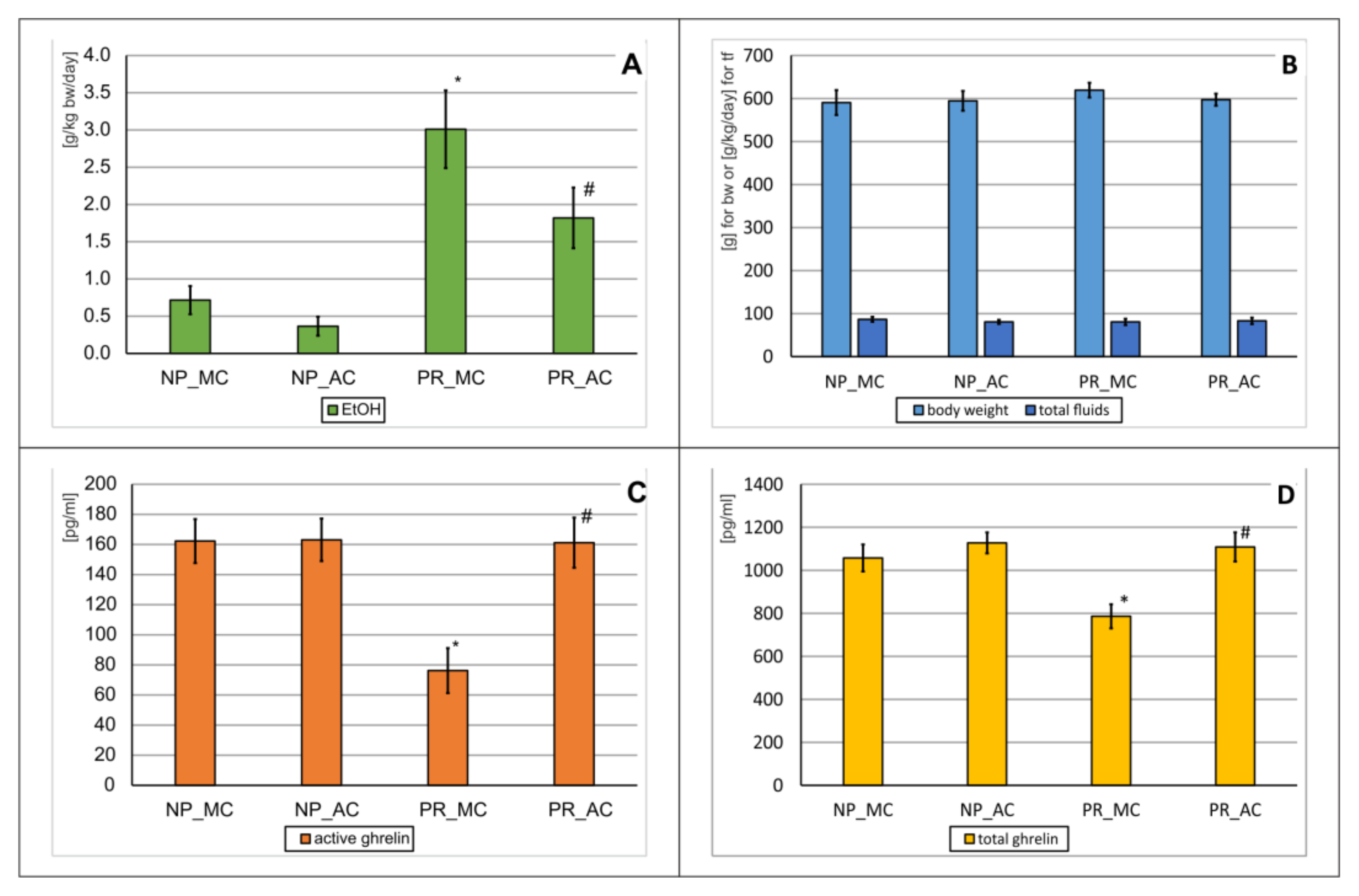
2.5. AC Repeated Administration Effects on Alcohol Drinking Behavior and Ghrelin Levels
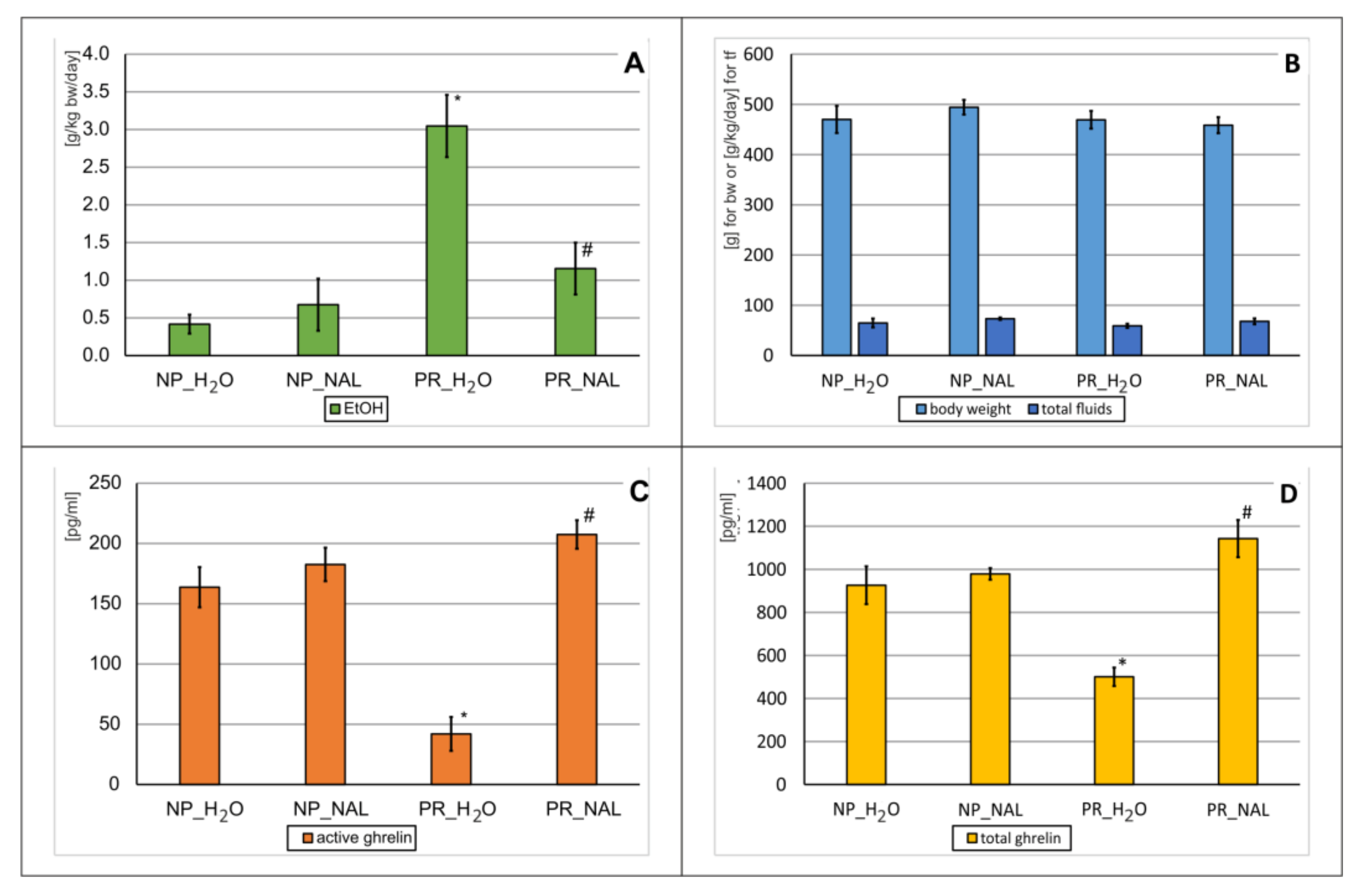
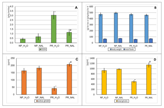
2.6. NAL Repeated Administration Effects on Alcohol Drinking Behavior and Ghrelin Levels
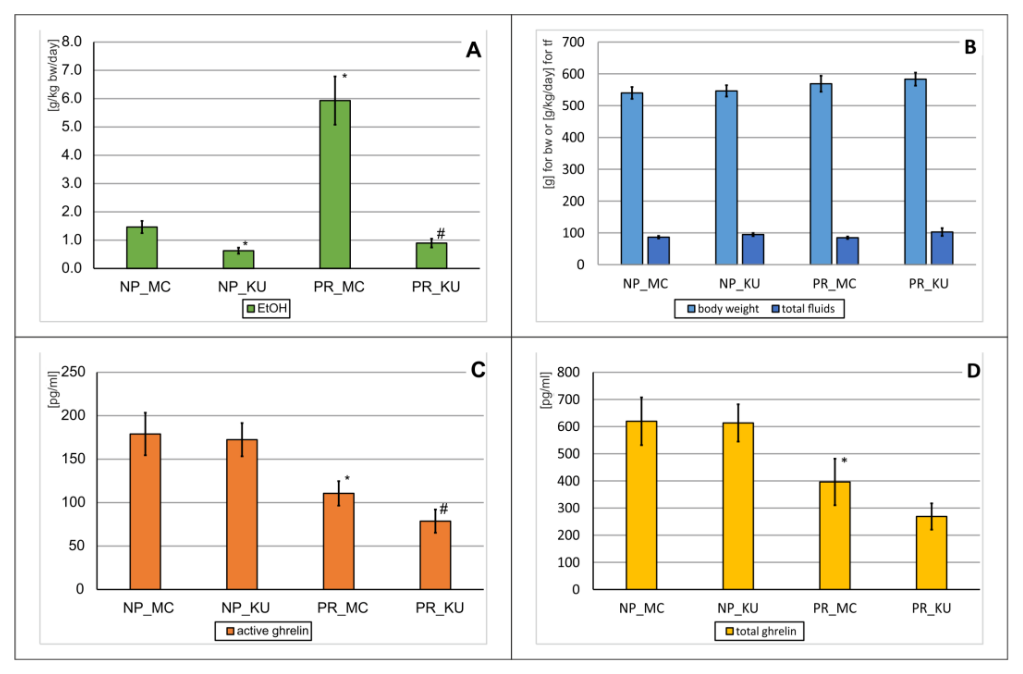
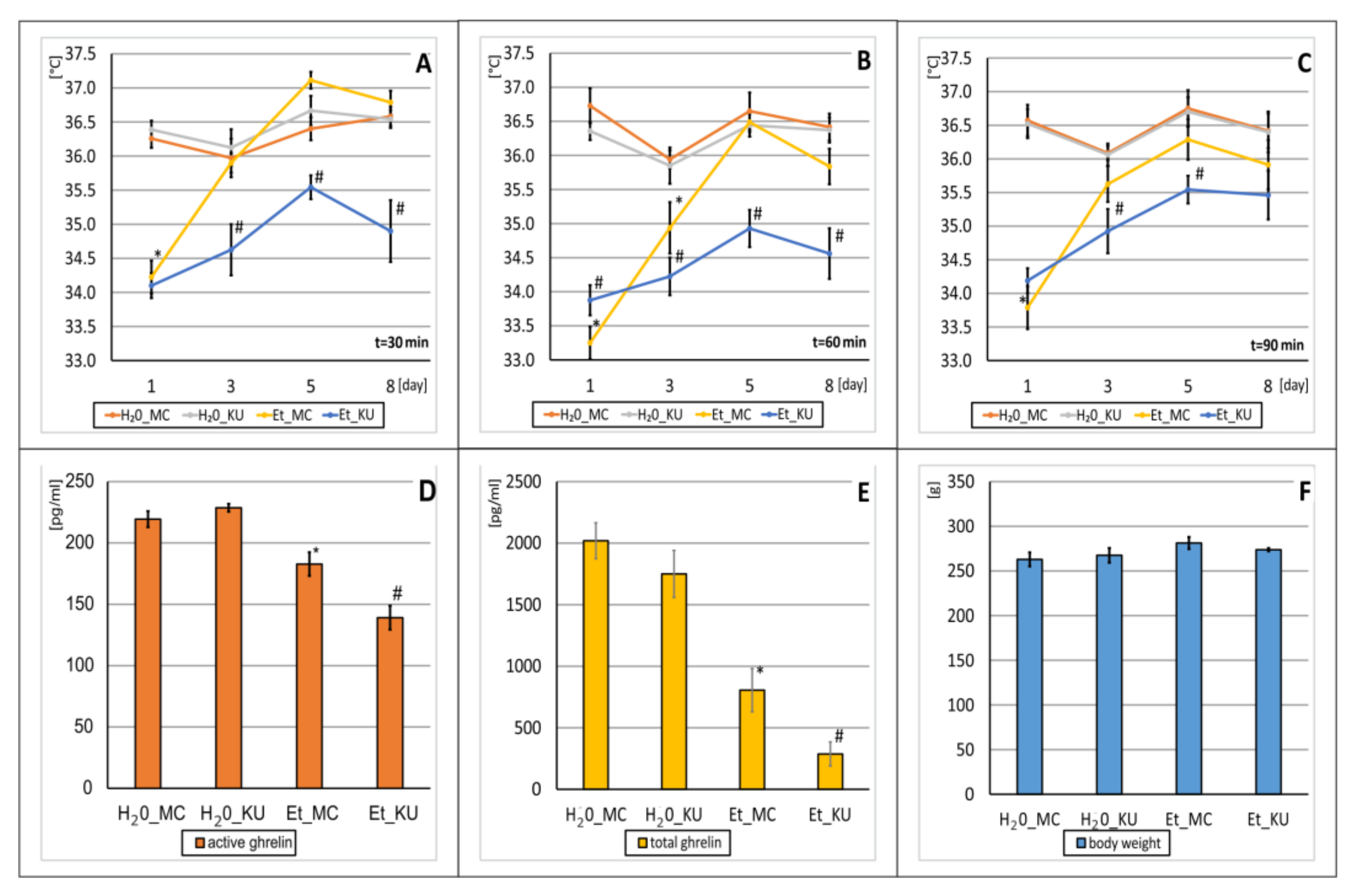
2.7. KU Effects on EtOH Tolerance Development and Ghrelin Levels
2.7.1. EtOH Tolerance
2.7.2. Ghrelin Levels
2.7.3. Body Weight
3. Discussion
3.1. EtOH Intake
3.2. Tolerance
3.3. Ghrelin Level
4. Materials and Methods
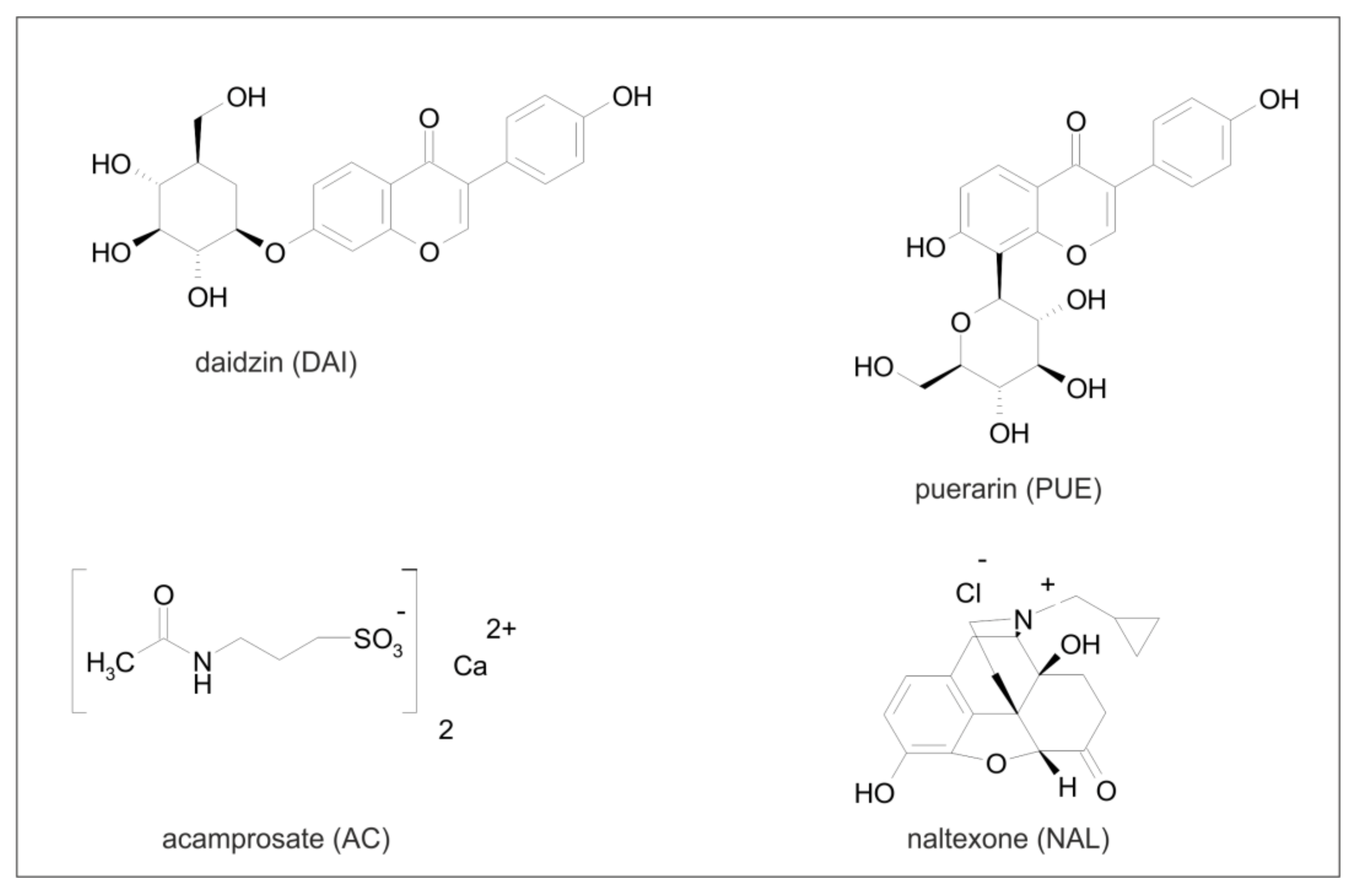
4.1. Substances and Drugs
4.2. Determination of Isoflavones in KU
4.3. Animals and Experimental Protocols
4.4. Measurements of the Animals’ Body Weight
4.5. KU, DAI, PUE, AC, and NAL Administration
4.6. KU Administration and the Development of EtOH Tolerance
4.7. Serum Sampling and Protection for Downstream Analyzes
4.8. Measuring the Total and Active Ghrelin Levels
4.9. Statistical Analysis
5. Conclusions
Author Contributions
Funding
Institutional Review Board Statement
Informed Consent Statement
Data Availability Statement
Acknowledgments
Conflicts of Interest
References
- Shield, K.D.; Parry, C.; Rehm, J. Chronic diseases and conditions related to alcohol use. Alcohol Res. 2013, 35, 155–173. [Google Scholar]
- Ramalho, R. Alcohol consumption and alcohol-related problems during the COVID-19 pandemic: A narrative review. Australas. Psychiatry 2020, 28, 524–526. [Google Scholar] [CrossRef]
- Institute of Medicine; National Research Council; Division of Behavioral and Social Sciences and Education; Board on Children, Youth, and Families; Committee on Developing a Strategy to Reduce and Prevent Underage Drinking. Reducing Underage Drinking: A Collective Responsibility; National Academies Press: Washington, DC, USA, 2004; ISBN 9780309089357. [Google Scholar]
- Gilburt, H.; Drummond, C.; Sinclair, J. Navigating the Alcohol Treatment Pathway: A Qualitative Study from the Service Users’ Perspective. Alcohol Alcohol. 2015, 50, 444–450. [Google Scholar] [CrossRef]
- Klimas, J.; Fairgrieve, C.; Tobin, H.; Field, C.-A.; O’Gorman, C.S.; Glynn, L.G.; Keenan, E.; Saunders, J.; Bury, G.; Dunne, C.; et al. Psychosocial interventions to reduce alcohol consumption in concurrent problem alcohol and illicit drug users. Cochrane Database Syst. Rev. 2018, 12, CD009269. [Google Scholar] [CrossRef] [PubMed]
- National Institute on Drug Abuse. Principles of Effective Treatment. Available online: https://www.drugabuse.gov/publications/principles-drug-addiction-treatment-research-based-guide-third-edition/principles-effective-treatment (accessed on 22 September 2021).
- O’Malley, S.S.; O’Connor, P.G. Medications for unhealthy alcohol use: Across the spectrum. Alcohol Res. Health 2011, 33, 300–312. [Google Scholar]
- Witkiewitz, K.; Litten, R.Z.; Leggio, L. Advances in the science and treatment of alcohol use disorder. Sci. Adv. 2019, 5, eaax4043. [Google Scholar] [CrossRef] [PubMed]
- Zhang, S.; Wang, J.; Zhao, H.; Luo, Y. Effects of three flavonoids from an ancient traditional Chinese medicine on geriatric diseases. Brain Circ. 2018, 4, 174–184. [Google Scholar] [PubMed]
- Keung, W.M. Anti-dipsotropic isoflavones: The potential therapeutic agents for alcohol dependence. Med. Res. Rev. 2003, 23, 669–696. [Google Scholar] [CrossRef]
- Overstreet, D.H.; Lee, D.Y.-W.; Chen, Y.T.; Rezvani, A.H. The Chinese herbal medicine NPI-028 suppresses alcohol intake in alcohol-preferring rats and monkeys without inducing taste aversion. Focus Altern. Complement. Ther. 2010, 2, 194. [Google Scholar] [CrossRef]
- Mikolajczak, P. Postep w badaniach nad wykorzystaniem surowcow roslinnych w terapii uzaleznienia alkoholowego. Herba Pol. 2006, 4, 133–145. [Google Scholar]
- Ulbricht, C.; Costa, D.; Dam, C.; D’Auria, D.; Giese, N.; Isaac, R.; LeBlanc, Y.; Rusie, E.; Weissner, W.; Windsor, R.C. An evidence-based systematic review of kudzu (Pueraria lobata) by the Natural Standard Research Collaboration. J. Diet. Suppl. 2015, 12, 36–104. [Google Scholar] [CrossRef]
- Keung, W.M.; Vallee, B.L. Daidzin and daidzein suppress free-choice ethanol intake by Syrian golden hamsters. Proc. Natl. Acad. Sci. USA 1993, 90, 10008–10012. [Google Scholar] [CrossRef] [PubMed]
- Lin, R.C.; Guthrie, S.; Xie, C.-Y.; Mai, K.; Lee, D.Y.; Lumeng, L.; Li, T.-K. Isoflavonoid Compounds Extracted from Pueraria lobata Suppress Alcohol Preference in a Pharmacogenetic Rat Model of Alcoholism. Alcohol. Clin. Exp. Res. 1996, 20, 659–663. [Google Scholar] [CrossRef]
- Penetar, D.M.; Toto, L.H.; Farmer, S.L.; Lee, D.Y.-W.; Ma, Z.; Liu, Y.; Lukas, S.E. The isoflavone puerarin reduces alcohol intake in heavy drinkers: A pilot study. Drug Alcohol Depend. 2012, 126, 251–256. [Google Scholar] [CrossRef] [PubMed]
- Lukas, S.E.; Penetar, D.; Berko, J.; Vicens, L.; Palmer, C.; Mallya, G.; Macklin, E.A.; Lee, D.Y.-W. An Extract of the Chinese Herbal Root Kudzu Reduces Alcohol Drinking by Heavy Drinkers in a Naturalistic Setting. Alcohol. Clin. Exp. Res. 2005, 29, 756–762. [Google Scholar] [CrossRef] [PubMed]
- Lukas, S.E.; Penetar, D.; Su, Z.; Geaghan, T.; Maywalt, M.; Tracy, M.; Rodolico, J.; Palmer, C.; Ma, Z.; Lee, D.Y.-W. A standardized kudzu extract (NPI-031) reduces alcohol consumption in nontreatment-seeking male heavy drinkers. Psychopharmacology 2013, 226, 65–73. [Google Scholar] [CrossRef] [PubMed]
- Bracken, B.K.; Penetar, D.M.; Maclean, R.R.; Lukas, S.E. Kudzu root extract does not perturb the sleep/wake cycle of moderate drinkers. J. Altern. Complement. Med. 2011, 17, 961–966. [Google Scholar] [CrossRef] [PubMed]
- Penetar, D.M.; Toto, L.H.; Lee, D.Y.-W.; Lukas, S.E. A single dose of kudzu extract reduces alcohol consumption in a binge drinking paradigm. Drug Alcohol Depend. 2015, 153, 194–200. [Google Scholar] [CrossRef] [PubMed]
- Oh, J.H.; Baek, S.-E.; Lee, W.-Y.; Baek, J.Y.; Trinh, T.A.; Park, D.H.; Lee, H.L.; Kang, K.S.; Kim, C.-E.; Yoo, J.-E. Investigating the Systems-Level Effect of Pueraria lobata for Menopause-Related Metabolic Diseases Using an Ovariectomized Rat Model and Network Pharmacological Analysis. Biomolecules 2019, 9, 747. [Google Scholar] [CrossRef]
- Jung, H.W.; Kang, A.N.; Kang, S.Y.; Park, Y.-K.; Song, M.Y. The Root Extract of Pueraria lobata and Its Main Compound, Puerarin, Prevent Obesity by Increasing the Energy Metabolism in Skeletal Muscle. Nutrients 2017, 9, 33. [Google Scholar] [CrossRef]
- Yang, M.; Hu, Z.; Yue, R. Effect of pueraria, scutellaria, and coptis decoction for type 2 diabetes: A systematic review and meta-analysis protocol. Medicine 2020, 99, e19770. [Google Scholar] [CrossRef]
- Luo, D.; Dong, X.; Huang, J.; Huang, C.; Fang, G.; Huang, Y. Pueraria lobata root polysaccharide alleviates glucose and lipid metabolic dysfunction in diabetic db/db mice. Pharm. Biol. 2021, 59, 382–390. [Google Scholar] [CrossRef]
- Lertpatipanpong, P.; Janpaijit, S.; Park, E.-Y.; Kim, C.-T.; Baek, S.J. Potential Anti-Diabetic Activity of Pueraria lobata Flower (Flos Puerariae) Extracts. Molecules 2020, 25, 3970. [Google Scholar] [CrossRef] [PubMed]
- Jin, S.E.; Son, Y.K.; Min, B.-S.; Jung, H.A.; Choi, J.S. Anti-inflammatory and antioxidant activities of constituents isolated from Pueraria lobata roots. Arch. Pharm. Res. 2012, 35, 823–837. [Google Scholar] [CrossRef] [PubMed]
- Eom, S.H.; Jin, S.-J.; Jeong, H.-Y.; Song, Y.; Lim, Y.J.; Kim, J.-I.; Lee, Y.-H.; Kang, H. Kudzu Leaf Extract Suppresses the Production of Inducible Nitric Oxide Synthase, Cyclooxygenase-2, Tumor Necrosis Factor-Alpha, and Interleukin-6 via Inhibition of JNK, TBK1 and STAT1 in Inflammatory Macrophages. Int. J. Mol. Sci. 2018, 19, 1536. [Google Scholar] [CrossRef] [PubMed]
- Wang, S.; Zhang, S.; Wang, S.; Gao, P.; Dai, L. A comprehensive review on Pueraria: Insights on its chemistry and medicinal value. Biomed. Pharmacother. 2020, 131, 110734. [Google Scholar] [CrossRef] [PubMed]
- Larsson, A.; Engel, J.A. Neurochemical and behavioral studies on ethanol and nicotine interactions. Neurosci. Biobehav. Rev. 2004, 27, 713–720. [Google Scholar] [CrossRef]
- Engel, J.A.; Jerlhag, E. Role of appetite-regulating peptides in the pathophysiology of addiction: Implications for pharmacotherapy. CNS Drugs 2014, 28, 875–886. [Google Scholar] [CrossRef]
- Söderpalm, B.; Ericson, M. Neurocircuitry involved in the development of alcohol addiction: The dopamine system and its access points. Curr. Top. Behav. Neurosci. 2013, 13, 127–161. [Google Scholar]
- Kojima, M.; Hosoda, H.; Date, Y.; Nakazato, M.; Matsuo, H.; Kangawa, K. Ghrelin is a growth-hormone-releasing acylated peptide from stomach. Nature 1999, 402, 656–660. [Google Scholar] [CrossRef]
- Jerlhag, E.; Janson, A.C.; Waters, S.; Engel, J.A. Concomitant release of ventral tegmental acetylcholine and accumbal dopamine by ghrelin in rats. PLoS ONE 2012, 7, e49557. [Google Scholar]
- Overstreet, D.H.; Kralic, J.E.; Leslie Morrow, A.; Ma, Z.Z.; Zhang, Y.W.; Lee, D.Y.W. NPI-031G (puerarin) reduces anxiogenic effects of alcohol withdrawal or benzodiazepine inverse or 5-HT2C agonists. Pharmacol. Biochem. Behav. 2003, 75, 619–625. [Google Scholar] [CrossRef]
- Bogdanov, V.B.; Bogdanova, O.V.; Dexpert, S.; Delgado, I.; Beyer, H.; Aubert, A.; Dilharreguy, B.; Beau, C.; Forestier, D.; Ledaguenel, P.; et al. Reward-related brain activity and behavior are associated with peripheral ghrelin levels in obesity. Psychoneuroendocrinology 2020, 112, 104520. [Google Scholar] [CrossRef]
- Jerlhag, E. Gut-brain axis and addictive disorders: A review with focus on alcohol and drugs of abuse. Pharmacol. Ther. 2019, 196, 1–14. [Google Scholar] [CrossRef]
- Banks, W.A.; Tschöp, M.; Robinson, S.M.; Heiman, M.L. Extent and direction of ghrelin transport across the blood-brain barrier is determined by its unique primary structure. J. Pharmacol. Exp. Ther. 2002, 302, 822–827. [Google Scholar] [CrossRef] [PubMed]
- Abizaid, A.; Liu, Z.-W.; Andrews, Z.B.; Shanabrough, M.; Borok, E.; Elsworth, J.D.; Roth, R.H.; Sleeman, M.W.; Picciotto, M.R.; Tschöp, M.H.; et al. Ghrelin modulates the activity and synaptic input organization of midbrain dopamine neurons while promoting appetite. J. Clin. Investig. 2006, 116, 3229–3239. [Google Scholar] [CrossRef] [PubMed]
- Skibicka, K.P. The central GLP-1: Implications for food and drug reward. Front. Neurosci. 2013, 7, 181. [Google Scholar] [CrossRef] [PubMed]
- Suchankova, P.; Jerlhag, E.; Jayaram-Lindström, N.; Nilsson, S.; Toren, K.; Rosengren, A.; Engel, J.A.; Franck, J. Genetic variation of the ghrelin signalling system in individuals with amphetamine dependence. PLoS ONE 2013, 8, e61242. [Google Scholar]
- Kern, A.; Albarran-Zeckler, R.; Walsh, H.E.; Smith, R.G. Apo-ghrelin receptor forms heteromers with DRD2 in hypothalamic neurons and is essential for anorexigenic effects of DRD2 agonism. Neuron 2012, 73, 317–332. [Google Scholar] [CrossRef]
- Edvardsson, C.E.; Vestlund, J.; Jerlhag, E. A ghrelin receptor antagonist reduces the ability of ghrelin, alcohol or amphetamine to induce a dopamine release in the ventral tegmental area and in nucleus accumbens shell in rats. Eur. J. Pharmacol. 2021, 899, 174039. [Google Scholar] [CrossRef] [PubMed]
- Landgren, S.; Simms, J.A.; Hyytiä, P.; Engel, J.A.; Bartlett, S.E.; Jerlhag, E. Ghrelin receptor (GHS-R1A) antagonism suppresses both operant alcohol self-administration and high alcohol consumption in rats. Addict. Biol. 2012, 17, 86–94. [Google Scholar] [CrossRef]
- Jerlhag, E.; Egecioglu, E.; Dickson, S.L.; Engel, J.A. Glutamatergic regulation of ghrelin-induced activation of the mesolimbic dopamine system. Addict. Biol. 2011, 16, 82–91. [Google Scholar] [CrossRef] [PubMed]
- Bahi, A.; Tolle, V.; Fehrentz, J.-A.; Brunel, L.; Martinez, J.; Tomasetto, C.-L.; Karam, S.M. Ghrelin knockout mice show decreased voluntary alcohol consumption and reduced ethanol-induced conditioned place preference. Peptides 2013, 43, 48–55. [Google Scholar] [CrossRef] [PubMed]
- Mary, S.; Fehrentz, J.-A.; Damian, M.; Gaibelet, G.; Orcel, H.; Verdié, P.; Mouillac, B.; Martinez, J.; Marie, J.; Banères, J.-L. Heterodimerization with Its Splice Variant Blocks the Ghrelin Receptor 1a in a Non-signaling Conformation. J. Biol. Chem. 2013, 288, 24656–24665. [Google Scholar] [CrossRef]
- Szulc, M.; Mikolajczak, P.L.; Geppert, B.; Wachowiak, R.; Dyr, W.; Bobkiewicz-Kozlowska, T. Ethanol affects acylated and total ghrelin levels in peripheral blood of alcohol-dependent rats. Addict. Biol. 2013, 18, 689–701. [Google Scholar] [CrossRef]
- Healey, K.L.; Landin, J.D.; Dubester, K.; Kibble, S.; Marquardt, K.; Brutman, J.N.; Davis, J.F.; Swartzwelder, H.S.; Chandler, L.J. Effects of ethanol on plasma ghrelin levels in the rat during early and late adolescence. Alcohol 2020, 85, 111–118. [Google Scholar] [CrossRef]
- Orellana, E.R.; Piscura, M.K.; Horvath, N.; Hajnal, A. Differential Response in Ethanol Behaviors of Female Rats Given Various Weight Loss Surgeries. Alcohol Alcohol. 2021, 56, 599–604. [Google Scholar] [CrossRef]
- Kraus, T.; Schanze, A.; Gröschl, M.; Bayerlein, K.; Hillemacher, T.; Reulbach, U.; Kornhuber, J.; Bleich, S. Ghrelin levels are increased in alcoholism. Alcohol. Clin. Exp. Res. 2005, 29, 2154–2157. [Google Scholar] [CrossRef] [PubMed]
- Addolorato, G.; Capristo, E.; Leggio, L.; Ferrulli, A.; Abenavoli, L.; Malandrino, N.; Farnetti, S.; Domenicali, M.; D’Angelo, C.; Vonghia, L.; et al. Relationship Between Ghrelin Levels, Alcohol Craving, and Nutritional Status in Current Alcoholic Patients. Alcohol. Clin. Exp. Res. 2006, 30, 1933–1937. [Google Scholar] [CrossRef] [PubMed]
- Badaoui, A.; De Saeger, C.; Duchemin, J.; Gihousse, D.; de Timary, P.; Stärkel, P. Alcohol dependence is associated with reduced plasma and fundic ghrelin levels. Eur. J. Clin. Investig. 2008, 38, 397–403. [Google Scholar] [CrossRef]
- Calissendorff, J.; Gustafsson, T.; Holst, J.J.; Brismar, K.; Röjdmark, S. Alcohol intake and its effect on some appetite-regulating hormones in man: Influence of gastroprotection with sucralfate. Endocr. Res. 2012, 37, 154–162. [Google Scholar] [CrossRef]
- Koob, G.F. Animal models of craving for ethanol. Addiction 2000, 95, 73–81. [Google Scholar] [CrossRef]
- Samson, H.H. The microstructure of ethanol drinking: Genetic and behavioral factors in the control of drinking patterns. Addiction 2000, 95, 61–72. [Google Scholar] [CrossRef] [PubMed]
- Spanagel, R.; Kiefer, F. Drugs for relapse prevention of alcoholism: Ten years of progress. Trends Pharmacol. Sci. 2008, 29, 109–115. [Google Scholar] [CrossRef] [PubMed]
- Heyser, C.J.; Schulteis, G.; Koob, G.F. Increased Ethanol Self-Administration after a Period of Imposed Ethanol Deprivation in Rats Trained in a Limited Access Paradigm. Alcohol Clin. Exp. Res. 1997, 21, 784–791. [Google Scholar] [CrossRef] [PubMed]
- Spanagel, R. Alcohol addiction research: From animal models to clinics. Best Pract. Res. Clin. Gastroenterol. 2003, 17, 507–518. [Google Scholar] [CrossRef]
- Mikolajczak, P.; Wiktorowicz, K.; Okulicz-Kozaryn, I.; Kostrzewa, A.; Kaminska, E. Analysis of the distribution of peripheral blood lymphocyte subsets associated with chronic ethanol treatment in rats with a disturbed circadian cycle. Drug Alcohol Depend 2000, 60, 303–309. [Google Scholar] [CrossRef]
- Mikolajczak, P.; Okulicz-Kozaryn, I.; Nowaczyk, M.; Kaminska, E. Ethanol facilitation of short-term memory in adult rats with a disturbed circadian cycle. Alcohol Alcohol. 2001, 36, 292–297. [Google Scholar] [CrossRef][Green Version]
- McGregor, I.S.; Gallate, J.E. Rats on the grog: Novel pharmacotherapies for alcohol craving. Addict. Behav. 2004, 29, 1341–1357. [Google Scholar] [CrossRef]
- Piorunska-Mikolajczak, A.; Piorunska-Stolzmann, M.; Mikolajczak, P.; Okulicz-Kozaryn, I.; Kaminska, E. Acamprosate involvement in triacylglycerol hydrolysis and transacylation with cholesterol in chronically ethanol-drinking rats. J. Basic Clin. Physiol. Pharmacol. 2004, 15, 153–173. [Google Scholar] [CrossRef]
- Whitworth, A.B.; Fischer, F.; Lesch, O.M.; Nimmerrichter, A.; Oberbauer, H.; Platz, T.; Potgieter, A.; Walter, H.; Fleischhacker, W.W. Comparison of acamprosate and placebo in long-term treatment of alcohol dependence. Lancet 1996, 347, 1438–1442. [Google Scholar] [CrossRef]
- Mason, B.J. Acamprosate and naltrexone treatment for alcohol dependence: An evidence-based risk-benefits assessment. Eur. Neuropsychopharmacol. 2003, 13, 469–475. [Google Scholar] [CrossRef]
- Mason, B.J.; Goodman, A.M.; Chabac, S.; Lehert, P. Effect of oral acamprosate on abstinence in patients with alcohol dependence in a double-blind, placebo-controlled trial: The role of patient motivation. J. Psychiatr. Res. 2006, 40, 383–393. [Google Scholar] [CrossRef] [PubMed]
- Mann, K.; Kiefer, F.; Smolka, M.; Gann, H.; Wellek, S.; Heinz, A.; PREDICT Study Research Team. Searching for responders to acamprosate and naltrexone in alcoholism treatment: Rationale and design of the PREDICT study. Alcohol. Clin. Exp. Res. 2009, 33, 674–683. [Google Scholar] [CrossRef] [PubMed]
- Diehl, A.; Ulmer, L.; Mutschler, J.; Herre, H.; Krumm, B.; Croissant, B.; Mann, K.; Kiefer, F. Why is disulfiram superior to acamprosate in the routine clinical setting? A retrospective long-term study in 353 alcohol-dependent patients. Alcohol Alcohol. 2010, 45, 271–277. [Google Scholar] [CrossRef]
- Kalk, N.J.; Lingford-Hughes, A.R. The clinical pharmacology of acamprosate. Br. J. Clin. Pharmacol. 2014, 77, 315–323. [Google Scholar] [CrossRef]
- Mason, B.J. Alcohol Use Disorder: The Role of Medication in Recovery. Alc. Res. Curr. Rev. 2021, 41. [Google Scholar] [CrossRef] [PubMed]
- Koltunowska, D.; Gibula-Bruzda, E.; Kotlinska, J.H. The influence of ionotropic and metabotropic glutamate receptor ligands on anxiety-like effect of amphetamine withdrawal in rats. Prog. Neuropsychopharmacol. Biol. Psychiatry 2013, 45, 242–249. [Google Scholar] [CrossRef]
- Hu, W.; Morris, B.; Carrasco, A.; Kroener, S. Effects of acamprosate on attentional set-shifting and cellular function in the prefrontal cortex of chronic alcohol-exposed mice. Alcohol. Clin. Exp. Res. 2015, 39, 953–961. [Google Scholar] [CrossRef] [PubMed]
- Szulc, M.; Mikołajczak, P.; Okulicz-Kozaryn, I.; Kamińska, E.; Dyr, W.; Kostowski, W. Acamprosate effect on short-term memory in chronically EtOH treated rats. Pol. J. Pharmacol. 2002, 54, 539–540. [Google Scholar]
- Gewiss, M.; Heidbreder, C.; Opsomer, L.; Durbin, P.; De Witte, P. Acamprosate and diazepam differentially modulate alcohol-induced behavioural and cortical alterations in rats following chronic inhalation of ethanol vapour. Alcohol Alcohol. 1991, 26, 129–137. [Google Scholar] [CrossRef] [PubMed]
- Okulicz-Kozaryn, I.; Mikolajczak, P.; Kaminska, E.; Kaminska, I.; Szulc, M.; Bobkiewicz-Kozlowska, T. Effect of naltrexone administration on short-term memory in chronically ethanol-treated outbred rats. Alcohol Alcohol. 2004, 39, 14–19. [Google Scholar] [CrossRef]
- Williams, K.L.; Woods, J.H. Naltrexone reduces ethanol- and/or water-reinforced responding in rhesus monkeys: Effect depends upon ethanol concentration. Alcohol. Clin. Exp. Res. 1999, 23, 1462–1467. [Google Scholar] [CrossRef] [PubMed]
- Heinälä, P.; Alho, H.; Kiianmaa, K.; Lönnqvist, J.; Kuoppasalmi, K.; Sinclair, J.D. Targeted use of naltrexone without prior detoxification in the treatment of alcohol dependence: A factorial double-blind, placebo-controlled trial. J. Clin. Psychopharmacol. 2001, 21, 287–292. [Google Scholar] [CrossRef] [PubMed]
- Sinclair, J.D. Evidence about the use of naltrexone and for different ways of using it in the treatment of alcoholism. Alcohol Alcohol. 2001, 36, 2–10. [Google Scholar] [CrossRef] [PubMed][Green Version]
- Benlhabib, E.; Baker, J.I.; Keyler, D.E.; Singh, A.K. Kudzu root extract suppresses voluntary alcohol intake and alcohol withdrawal symptoms in P rats receiving free access to water and alcohol. J. Med. Food 2004, 7, 168–179. [Google Scholar] [CrossRef]
- Benlhabib, E.; Baker, J.I.; Keyler, D.E.; Singh, A.K. Effects of Purified Puerarin on Voluntary Alcohol Intake and Alcohol Withdrawal Symptoms in P Rats Receiving Free Access to Water and Alcohol. J. Med. Food 2004, 7, 180–186. [Google Scholar] [CrossRef]
- Keung, W.M.; Vallee, B.L. Kudzu root: An ancient Chinese source of modern antidipsotropic agents. Phytochemistry 1998, 47, 499–506. [Google Scholar] [CrossRef]
- Overstreet, D.H.; Lee, Y.W.; Rezvani, A.H.; Pei, Y.H.; Criswell, H.E.; Janowsky, D.S. Suppression of alcohol intake after administration of the Chinese herbal medicine, NPI-028, and its derivatives. Alcohol. Clin. Exp. Res. 1996, 20, 221–227. [Google Scholar] [CrossRef]
- Keung, W.M.; Lazo, O.; Kunze, L.; Vallee, B.L. Daidzin suppresses ethanol consumption by Syrian golden hamsters without blocking acetaldehyde metabolism. Proc. Natl. Acad. Sci. USA 1995, 92, 8990–8993. [Google Scholar] [CrossRef]
- Xiao, B.; Sun, Z.; Cao, F.; Wang, L.; Liao, Y.; Liu, X.; Pan, R.; Chang, Q. Brain Pharmacokinetics and the Pharmacological Effects on Striatal Neurotransmitter Levels of Pueraria lobata Isoflavonoids in Rat. Front. Pharmacol. 2017, 8. [Google Scholar] [CrossRef]
- Zhang, Z.; Li, S.; Jiang, J.; Yu, P.; Liang, J.; Wang, Y. Preventive effects of Flos Perariae (Gehua) water extract and its active ingredient puerarin in rodent alcoholism models. Chin. Med. 2010, 5, 36. [Google Scholar] [CrossRef] [PubMed]
- Keung, W.M.; Lazo, O.; Kunze, L.; Vallee, B.L. Potentiation of the bioavailability of daidzin by an extract of Radix puerariae. Proc. Natl. Acad. Sci. USA 1996, 93, 4284–4288. [Google Scholar] [CrossRef]
- Heyman, G.M.; Keung, W.M.; Vallee, B.L. Daidzin decreases ethanol consumption in rats. Alcohol. Clin. Exp. Res. 1996, 20, 1083–1087. [Google Scholar] [CrossRef]
- Matkowski, A.; Woźniak, D.; Oszmiański, J.; Lamer-Zarawska, E. Flavonoids of Pueraria lobata: Chromatographic analysis of leaves and roots of cultivated plants. Pharmazie 2003, 58, 682–683. [Google Scholar] [PubMed]
- Zhang, G.; Ji, J.; Sun, M.; Ji, Y.; Ji, H. Comparative Pharmacokinetic Profiles of Puerarin in Rat Plasma by UHPLC-MS/MS after Oral Administration of Pueraria lobata Extract and Pure Puerarin. J. Anal. Methods Chem. 2020, 2020, 4258156. [Google Scholar] [CrossRef]
- Szulc, M.; Mularczyk, P.; Kujawski, R.; Gryszczyńska, A.; Kamińska, E.; Geppert, B.; Baraniak, J.; Kania-Dobrowolska, M.; Ożarowski, M.; Krajewska-Patan, A.; et al. Influence of salidroside, a neuroactive compound of Rhodiola rosea L., on alcohol tolerance development in rats. Herba Pol. 2018, 64, 22–34. [Google Scholar] [CrossRef]
- Szulc, M.; Mularczyk, P.; Grzadzielski, P.; Zakowicz, P.; Kujawski, R.; Gryszczynska, A.; Buchwald, W.; Tezyk, A.; Krajewska-Patan, A.; Kaminska, E.; et al. Influence of extracts from Rhodiola rosea and Rhodiola kirilowii on the development of alcohol tolerance in rats. Herba Pol. 2018, 64, 34–43. [Google Scholar] [CrossRef]
- Okulicz-Kozaryn, I.; Mikolajczak, P.; Kaminska, E. Tolerance to hypothermia and hypnotic action of ethanol in 3 and 14 months old rats. Pharmacol. Res. 1992, 25, 63–64. [Google Scholar] [CrossRef]
- Soyka, M.; Kranzler, H.R.; Berglund, M.; Gorelick, D.; Hesselbrock, V.; Johnson, B.A.; Möller, H.-J. WFSBP Task Force on Treatment Guidelines for Substance Use Disorders World Federation of Societies of Biological Psychiatry (WFSBP) Guidelines for Biological Treatment of Substance Use and Related Disorders, Part 1: Alcoholism. World J. Biol. Psychiatry 2008, 9, 6–23. [Google Scholar] [CrossRef] [PubMed]
- Schuckit, M.A. Alcohol-use disorders. Lancet 2009, 373, 492–501. [Google Scholar] [CrossRef]
- Landgren, S.; Engel, J.A.; Hyytiä, P.; Zetterberg, H.; Blennow, K.; Jerlhag, E. Expression of the gene encoding the ghrelin receptor in rats selected for differential alcohol preference. Behav. Brain Res. 2011, 221, 182–188. [Google Scholar] [CrossRef] [PubMed]
- Deschaine, S.L.; Farokhnia, M.; Gregory-Flores, A.; Zallar, L.J.; You, Z.-B.; Sun, H.; Harvey, D.M.; Marchette, R.C.N.; Tunstall, B.J.; Mani, B.K.; et al. A closer look at alcohol-induced changes in the ghrelin system: Novel insights from preclinical and clinical data. Addict. Biol. 2021, e13033. [Google Scholar] [CrossRef] [PubMed]
- Farokhnia, M.; Grodin, E.N.; Lee, M.R.; Oot, E.N.; Blackburn, A.N.; Stangl, B.L.; Schwandt, M.L.; Farinelli, L.A.; Momenan, R.; Ramchandani, V.A.; et al. Exogenous ghrelin administration increases alcohol self-administration and modulates brain functional activity in heavy-drinking alcohol-dependent individuals. Mol. Psychiatry 2018, 23, 2029–2038. [Google Scholar] [CrossRef] [PubMed]
- Hicks, M.P.; Olive, M. Whole genome transcriptional profiling of the mouse frontal cortex following repeated acamprosate administration. In Proceedings of the 2nd WSEAS International Conference on Biomedical Electronics and Biomedical Informatics, Stevens Point, WI, USA, 20–22 August 2009; Volume 1, pp. 180–183. [Google Scholar]
- Zigman, J.M.; Elmquist, J.K. Minireview: From anorexia to obesity—The yin and yang of body weight control. Endocrinology 2003, 144, 3749–3756. [Google Scholar] [CrossRef]
- Chen, S.-R.; Chen, H.; Zhou, J.-J.; Pradhan, G.; Sun, Y.; Pan, H.-L.; Li, D.-P. Ghrelin receptors mediate ghrelin-induced excitation of agouti-related protein/neuropeptide Y but not pro-opiomelanocortin neurons. J. Neurochem. 2017, 142, 512–520. [Google Scholar] [CrossRef]
- Gomez, G.; Englander, E.W.; Greeley, G.H., Jr. Nutrient inhibition of ghrelin secretion in the fasted rat. Regul. Pept. 2004, 117, 33–36. [Google Scholar] [CrossRef]
- Pradhan, G.; Samson, S.L.; Sun, Y. Ghrelin: Much more than a hunger hormone. Curr. Opin. Clin. Nutr. Metab. Care 2013, 16, 619–624. [Google Scholar] [CrossRef]
- Mikolajczak, P.; Okulicz-Kozaryn, I.; Szczawinska, K.; Kaminska, E.; Kus, K. Zolpidem involvement on memory and hypnotic effect of ethanol in chronically ethanol-treated rats. Alcohol Alcohol. 1999, 34, 511–519. [Google Scholar] [CrossRef] [PubMed]
- Daoust, M.; Lhuintre, J.P.; Moore, N.; Saligaut, C.; Flipo, J.L.; Boismare, F. Is initial sensitivity to ethanol correlated with alcohol preference in alcohol-drinking and non-drinking rats? Alcohol Alcohol. 1987, 22, 409–414. [Google Scholar]
- Crabbe, J.C.; Janowsky, J.S.; Young, E.R.; Kosobud, A.; Stack, J.; Rigter, H. Tolerance to ethanol hypothermia in inbred mice: Genotypic correlations with behavioral responses. Alcohol. Clin. Exp. Res. 1982, 6, 446–458. [Google Scholar] [CrossRef] [PubMed]









| Rats | Substance | Dose | Concentration | Route of Administration | Solvent | Treatment |
|---|---|---|---|---|---|---|
| Wistar | KU | 500 mg/kg bw | 1000 mg/10 mL | p.o. | 0.5% MC | once daily for 28 days |
| DAI | 40 mg/kg bw | 100 mg/10 mL | p.o. | 0.5% MC | ||
| PUE | 150 mg/kg bw | 100 mg/10 mL | p.o. | 0.5% MC | ||
| AC | 500 mg/kg bw | 1000 mg/10 mL | p.o. | 0.5% MC | ||
| NAL | 0.1 mg/kg bw | 1 mg/10 mL | i.p. | water for injection | ||
| WHP | KU | 500 mg/kg bw | 1000 mg/10 mL | p.o. | 0.5% MC | once daily for 9 days |
Publisher’s Note: MDPI stays neutral with regard to jurisdictional claims in published maps and institutional affiliations. |
© 2021 by the authors. Licensee MDPI, Basel, Switzerland. This article is an open access article distributed under the terms and conditions of the Creative Commons Attribution (CC BY) license (https://creativecommons.org/licenses/by/4.0/).
Share and Cite
Szulc, M.; Kujawski, R.; Baraniak, J.; Kania-Dobrowolska, M.; Kamińska, E.; Gryszczyńska, A.; Czora-Poczwardowska, K.; Winiarska, H.; Mikołajczak, P.Ł. Differential Influence of Pueraria lobata Root Extract and Its Main Isoflavones on Ghrelin Levels in Alcohol-Treated Rats. Pharmaceuticals 2022, 15, 25. https://doi.org/10.3390/ph15010025
Szulc M, Kujawski R, Baraniak J, Kania-Dobrowolska M, Kamińska E, Gryszczyńska A, Czora-Poczwardowska K, Winiarska H, Mikołajczak PŁ. Differential Influence of Pueraria lobata Root Extract and Its Main Isoflavones on Ghrelin Levels in Alcohol-Treated Rats. Pharmaceuticals. 2022; 15(1):25. https://doi.org/10.3390/ph15010025
Chicago/Turabian StyleSzulc, Michał, Radosław Kujawski, Justyna Baraniak, Małgorzata Kania-Dobrowolska, Ewa Kamińska, Agnieszka Gryszczyńska, Kamila Czora-Poczwardowska, Hanna Winiarska, and Przemysław Ł. Mikołajczak. 2022. "Differential Influence of Pueraria lobata Root Extract and Its Main Isoflavones on Ghrelin Levels in Alcohol-Treated Rats" Pharmaceuticals 15, no. 1: 25. https://doi.org/10.3390/ph15010025
APA StyleSzulc, M., Kujawski, R., Baraniak, J., Kania-Dobrowolska, M., Kamińska, E., Gryszczyńska, A., Czora-Poczwardowska, K., Winiarska, H., & Mikołajczak, P. Ł. (2022). Differential Influence of Pueraria lobata Root Extract and Its Main Isoflavones on Ghrelin Levels in Alcohol-Treated Rats. Pharmaceuticals, 15(1), 25. https://doi.org/10.3390/ph15010025

