Isolation of Mirificin and Other Bioactive Isoflavone Glycosides from the Kudzu Root Lyophilisate Using Centrifugal Partition and Flash Chromatographic Techniques
Abstract
:1. Introduction
2. Results and Discussion
2.1. Qualitative and Quantitative Analysis of Isoflavone Constituents of the Kudzu Root Lyophilisate
2.2. Purification and Concentration of the Polar Fraction of Isoflavones Using CPC
2.2.1. Selection and Optimization of the Biphasic Solvent System in CPC
2.2.2. Effectiveness of the CPC Method in Purification and Isolation of Polar Fraction of Kudzu Isoflavone Glycosides
2.3. Isolation of Mirificin and Related Polar Isoflavone Glycosides Using Flash Chromatography
2.4. Graphical Presentation of Preparative Extraction and Chromatographic Procedures
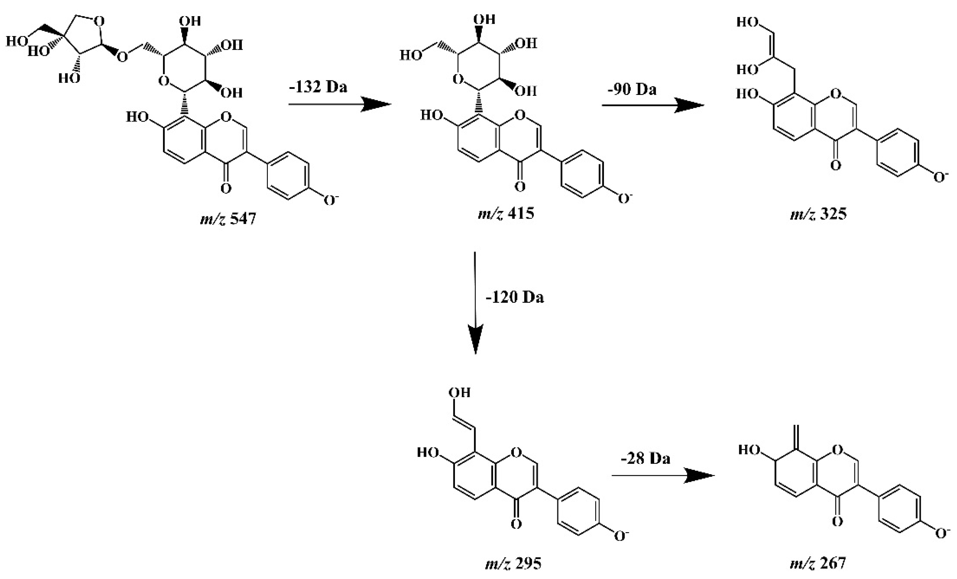
2.5. Molecular Structure Analysis of the Obtained Isoflavone Isolates Using Advanced Spectrometric and Spectroscopic Techniques
3. Materials and Methods
3.1. Solvents and Other Reagents
3.2. Plant Material and Obtaining a Vacuum-Dried Kudzu Root Extract
3.3. Centrifugal Partition Chromatography (CPC)
3.3.1. Determination of Partition Coefficients for Various Solvent Systems
3.3.2. Apparatus and Chromatographic Procedure
3.4. Flash Chromatography (FC)
3.5. RP-LC/PDA Protocol
3.6. Mass Spectrometry (MS) and Nuclear Magnetic Resonance (NMR)
4. Conclusions
Supplementary Materials
Author Contributions
Funding
Institutional Review Board Statement
Informed Consent Statement
Data Availability Statement
Acknowledgments
Conflicts of Interest
Sample Availability
References
- Tungmunnithum, D.; Intharuksa, A.; Sasaki, Y. A Promising View of Kudzu Plant, Pueraria Montana Var. Lobata (Willd.) Sanjappa & Pradeep: Flavonoid Phytochemical Compounds, Taxonomic Data, Traditional Uses and Potential Biological Activities for Future Cosmetic Application. Cosmetics 2020, 7, 12. [Google Scholar] [CrossRef]
- Wong, K.H.; Li, G.Q.; Li, K.M.; Razmovski-Naumovski, V.; Chan, K. Kudzu Root: Traditional Uses and Potential Medicinal Benefits in Diabetes and Cardiovascular Diseases. J. Ethnopharmacol. 2011, 134, 584–607. [Google Scholar] [CrossRef] [PubMed]
- Tanaka, T.; Tang, H.; Yu, F.; Michihara, S.; Uzawa, Y.; Zaima, N.; Moriyama, T.; Kawamura, Y. Kudzu (Pueraria Lobata) Vine Ethanol Extracts Improve Ovariectomy-Induced Bone Loss in Female Mice. J. Agric. Food Chem. 2011, 59, 13230–13237. [Google Scholar] [CrossRef]
- Zhang, Z.; Lam, T.N.; Zuo, Z. Radix Puerariae: An Overview of Its Chemistry, Pharmacology, Pharmacokinetics, and Clinical Use. J. Clin. Pharmacol. 2013, 53, 787–811. [Google Scholar] [CrossRef]
- Council of Europe. Kudzuvine root. In European Pharmacopoeia, 9th ed.; Council of Europe: Strasbourg, France, 2016; Volume I, p. 1407. [Google Scholar]
- Jiang, R.-W.; Lau, K.-M.; Lam, H.-M.; Yam, W.-S.; Leung, L.-K.; Choi, K.-L.; Waye, M.M.Y.; Mak, T.C.W.; Woo, K.-S.; Fung, K.-P. A Comparative Study on Aqueous Root Extracts of Pueraria Thomsonii and Pueraria Lobata by Antioxidant Assay and HPLC Fingerprint Analysis. J. Ethnopharmacol. 2005, 96, 133–138. [Google Scholar] [CrossRef] [PubMed]
- Wei, S.Y.; Chen, Y.; Xu, X.Y. Progress on the Pharmacological Research of Puerarin: A Review. Chin. J. Nat. Med. 2014, 12, 407–414. [Google Scholar] [CrossRef]
- Loutchanwoot, P.; Vortherms, T.; Jarry, H. Evaluation of in Vivo Estrogenic Potency of Natural Estrogen-Active Chemical, Puerarin, on Pituitary Function in Gonadectomized Female Rats. Life Sci. 2016, 165, 75–82. [Google Scholar] [CrossRef] [PubMed]
- Jiang, Z.; Cui, X.; Qu, P.; Shang, C.; Xiang, M.; Wang, J. Roles and Mechanisms of Puerarin on Cardiovascular Disease: A Review. Biomed. Pharmacother. 2022, 147, 112655. [Google Scholar] [CrossRef]
- Xiao, B.; Sun, Z.; Cao, F.; Wang, L.; Liao, Y.; Liu, X.; Pan, R.; Chang, Q. Brain Pharmacokinetics and the Pharmacological Effects on Striatal Neurotransmitter Levels of Pueraria Lobata Isoflavonoids in Rat. Front. Pharmacol. 2017, 8, 599. [Google Scholar] [CrossRef]
- Lee, M.R.; Kim, B.; Lee, Y.; Park, S.Y.; Shim, J.H.; Chung, B.H.; Heo, S.I. Ameliorative Effects of Pueraria Lobata Extract on Postmenopausal Symptoms through Promoting Estrogenic Activity and Bone Markers in Ovariectomized Rats. Evid.-based Complement. Altern. Med. 2021, 2021, 7924400. [Google Scholar] [CrossRef]
- Wang, C.; Meng, M.-X.; Tang, X.-L.; Chen, K.-M.; Zhang, L.; Liu, W.-N.; Zhao, Y.-Y. The Proliferation, Differentiation, and Mineralization Effects of Puerarin on Osteoblasts in Vitro. Chin. J. Nat. Med. 2014, 12, 436–442. [Google Scholar] [CrossRef]
- Jung, H.W.; Kang, A.N.; Kang, S.Y.; Park, Y.K.; Song, M.Y. The Root Extract of Pueraria Lobata and Its Main Compound, Puerarin, Prevent Obesity by Increasing the Energy Metabolism in Skeletal Muscle. Nutrients 2017, 9, 33. [Google Scholar] [CrossRef] [PubMed]
- Zhang, S.; Ge, Q.; Chen, L.; Chen, K. Studies of the Anti-Diabetic Mechanism of Pueraria Lobata Based on Metabolomics and Network Pharmacology. Processes 2021, 9, 1245. [Google Scholar] [CrossRef]
- Rezvani, A.H.; Overstreet, D.H.; Perfumi, M.; Massi, M. Plant Derivatives in the Treatment of Alcohol Dependency. Pharmacol. Biochem. Behav. 2003, 75, 593–606. [Google Scholar] [CrossRef]
- Liu, J.; Shi, Y.-C.; Lee, D.Y.-W. Applications of Pueraria Lobata in Treating Diabetics and Reducing Alcohol Drinking. Chin. Herb. Med. 2019, 11, 141–149. [Google Scholar] [CrossRef]
- Lin, C.-C.; Wu, C.-I.; Sheu, S.-J. Determination of 12 Pueraria Components by High-Performance Liquid Chromatography-Mass Spectrometry. J. Sep. Sci. 2005, 28, 1785–1795. [Google Scholar] [CrossRef]
- Du, G.; Zhao, H.Y.; Zhang, Q.W.; Li, G.H.; Yang, F.Q.; Wang, Y.; Li, Y.C.; Wang, Y.T. A Rapid Method for Simultaneous Determination of 14 Phenolic Compounds in Radix Puerariae Using Microwave-Assisted Extraction and Ultra High Performance Liquid Chromatography Coupled with Diode Array Detection and Time-of-Flight Mass Spectrometry. J. Chromatogr. A 2010, 1217, 705–714. [Google Scholar] [CrossRef]
- Li, L.; Li, B.; Zhao, A.; Han, B.; Fan, Y.; Liu, C.; Liu, J. Preparative Separation of Isoflavones in Plant Extract of Pueraria Lobata by High Performance Counter-Current Chromatography. Anal. Methods 2014, 7, 1321–1327. [Google Scholar] [CrossRef]
- Sun, Y.; Zhang, H.; Cheng, M.; Cao, S.; Qiao, M.; Zhang, B.; Ding, L.; Qiu, F. New Hepatoprotective Isoflavone Glucosides from Pueraria Lobata (Willd.) Ohwi. Nat. Prod. Res. 2019, 33, 3485–3492. [Google Scholar] [CrossRef]
- Xiao, B.X.; Feng, L.; Cao, F.R.; Pan, R.L.; Liao, Y.H.; Liu, X.M.; Chang, Q. Pharmacokinetic Profiles of the Five Isoflavonoids from Pueraria Lobata Roots in the CSF and Plasma of Rats. J. Ethnopharmacol. 2016, 184, 22–29. [Google Scholar] [CrossRef]
- Wang, S.; Zhang, S.; Wang, S.; Gao, P.; Dai, L. A Comprehensive Review on Pueraria: Insights on Its Chemistry and Medicinal Value. Biomed. Pharmacother. 2020, 131, 110734. [Google Scholar] [CrossRef] [PubMed]
- Zhao, C.-P.; Yin, S.-J.; Chen, G.-Y.; Wang, Y.; Chen, H.; Zhao, J.; Yang, F.-Q. Adsorbed Hollow Fiber Immobilized Tyrosinase for the Screening of Enzyme Inhibitors from Pueraria Lobata Extract. J. Pharm. Biomed. Anal. 2021, 193, 113743. [Google Scholar] [CrossRef]
- Liu, H.; Zhu, Y.; Wang, T.; Qi, J.; Liu, X. Enzyme-Site Blocking Combined with Optimization of Molecular Docking for Efficient Discovery of Potential Tyrosinase Specific Inhibitors from Puerariae Lobatae Radix. Molecules 2018, 23, 2612. [Google Scholar] [CrossRef] [PubMed]
- Duo-Long, D.; Yuan-Yuan, Z.; Xiao-Fen, C.; Xin-Yi, H.; Shi-Lan, F. Advances in Application of High-Speed Countercurrent Chromatography in Separation and Purification of Flavonoids. Chin. J. Anal. Chem. 2011, 39, 269–275. [Google Scholar] [CrossRef]
- Malca Garcia, G.R.; Friesen, J.B.; Liu, Y.; Nikolić, D.; Lankin, D.C.; McAlpine, J.B.; Chen, S.N.; Pauli, G.F. Preparation of DESIGNER Extracts of Red Clover (Trifolium Pratense L.) by Centrifugal Partition Chromatography. J. Chromatogr. A 2019, 1605, 360277. [Google Scholar] [CrossRef] [PubMed]
- Fu, J.; Jing, W.; Wang, W.; Chen, S.; Zhang, J.; Liu, A. A Novel and Effective Chromatographic Approach to the Separation of Isoflavone Derivatives from Pueraria Lobata. Molecules 2015, 20, 4238–4253. [Google Scholar] [CrossRef]
- Jeon, J.S.; Kang, S.W.; Um, B.H.; Kim, C.Y. Preparative Isolation of Antioxidant Flavonoids from Small Black Soybeans by Centrifugal Partition Chromatography and Sequential Solid-Phase Extraction. Sep. Sci. Technol. 2014, 49, 2756–2764. [Google Scholar] [CrossRef]
- Skalicka-Woźniak, K.; Garrard, I. Counter-Current Chromatography for the Separation of Terpenoids: A Comprehensive Review with Respect to the Solvent Systems Employed. Phytochem. Rev. 2014, 13, 547–572. [Google Scholar] [CrossRef]
- Cao, X.; Tian, Y.; Zhang, T.; Li, X.; Ito, Y. Separation and Purification of Isoflavones from Pueraria Lobata by High-Speed Counter-Current Chromatography. J. Chromatogr. A 1999, 855, 709–713. [Google Scholar] [CrossRef]
- Sun, B.; Yang, Y.; Hu, X.; Xie, X.; Meucci, J.; Fang, M.; Zhao, L. Purification of Puerarin from Pueraria Lobata by FCPC versus HSCCC Using Small-Volume Columns. Chin. Herb. Med. 2014, 6, 140–144. [Google Scholar] [CrossRef]
- Shinomiya, K.; Kabasawa, Y.; Nakazawa, H.; Ito, Y. Countercurrent Chromatographic Separation of Soybean Isoflavones by Two Different Types of Coil Planet Centrifuges with Various Two-Phase Solvent Systems. J. Liq. Chromatogr. Relat. Technol. 2003, 26, 3497–3509. [Google Scholar] [CrossRef]
- Wang, Y.; Tang, Y.; Liu, C.; Shi, C.; Zhang, Y. Determination and Isolation of Potential α-Glucosidase and Xanthine Oxidase Inhibitors from Trifolium Pratense L. by Ultrafiltration Liquid Chromatography and High-Speed Countercurrent Chromatography. Med. Chem. Res. 2016, 25, 1020–1029. [Google Scholar] [CrossRef]
- Ma, X.; Tu, P.; Chen, Y.; Zhang, T.; Wei, Y.; Ito, Y. Preparative Isolation and Purification of Two Isoflavones from Astragalus Membranaceus Bge. Var. Mongholicus (Bge.) Hsiao by High-Speed Counter-Current Chromatography. J. Chromatogr. A 2003, 992, 193–197. [Google Scholar] [CrossRef]
- Zhang, Y.; Liu, C.; Pan, Y.; Qi, Y.; Li, Y.; Li, S. Ultrasound-Assisted Dynamic Extraction Coupled with Parallel Countercurrent Chromatography for Simultaneous Extraction, Purification, and Isolation of Phytochemicals: Application to Isoflavones from Red Clover. Anal. Bioanal. Chem. 2015, 407, 4597–4606. [Google Scholar] [CrossRef]
- Bojczuk, M.; Żyżelewicz, D.; Hodurek, P. Centrifugal Partition Chromatography–A Review of Recent Applications and Some Classic References. J. Sep. Sci. 2017, 40, 1597–1609. [Google Scholar] [CrossRef]
- Suzuki, S.; Umezawa, T. Biosynthesis of Lignans and Norlignans. J. Wood Sci. 2007, 53, 273–284. [Google Scholar] [CrossRef]
- Ito, Y. Golden Rules and Pitfalls in Selecting Optimum Conditions for High-Speed Counter-Current Chromatography. J. Chromatogr. A 2005, 1065, 145–168. [Google Scholar] [CrossRef]
- Ito, Y.; Ma, Y. PH-Zone-Refining Countercurrent Chromatography. J. Chromatogr. A 1996, 753, 1–36. [Google Scholar] [CrossRef]
- Hung, P.V.; Morita, N. Chemical Compositions, Fine Structure and Physicochemical Properties of Kudzu (Pueraria Lobata) Starches from Different Regions. Food Chem. 2007, 105, 749–755. [Google Scholar] [CrossRef]
- Cuyckens, F.; Claeys, M. Mass Spectrometry in the Structural Analysis of Flavonoids. J. Mass Spectrom. 2004, 39, 1–15. [Google Scholar] [CrossRef]
- Du, G.; Zhao, H.; Song, Y.; Zhang, Q.; Wang, Y. Rapid Simultaneous Determination of Isoflavones in Radix Puerariae Using High-Performance Liquid Chromatography-Triple Quadrupole Mass Spectrometry with Novel Shell-Type Column. J. Sep. Sci. 2011, 34, 2576–2585. [Google Scholar] [CrossRef] [PubMed]
- Cao, J.; Yin, C.; Qin, Y.; Cheng, Z.; Chen, D. Approach to the Study of Flavone Di-C-Glycosides by High Performance Liquid Chromatography-Tandem Ion Trap Mass Spectrometry and Its Application to Characterization of Flavonoid Composition in Viola Yedoensis. J. Mass Spectrom. 2014, 49, 1010–1024. [Google Scholar] [CrossRef] [PubMed]
- Prasain, J.K.; Reppert, A.; Jones, K.; Moore, D.R.; Barnes, S.; Lila, M.A. Identification of Isoflavone Glycosides in Pueraria Lobata Cultures by Tandem Mass Spectrometry. Phytochem. Anal. 2007, 18, 50–59. [Google Scholar] [CrossRef] [PubMed]
- Kinjo, J.E.; Furusawa, J.I.; Baba, J.; Takeshita, T.; Nohara, T.; Yamasaki, M. Studies on the Constituents of Pueraria Lobata. III.1) Isoflavonoids and Related Compounds in the Roots and the Voluble Stems. Chem. Pharm. Bull. 1987, 35, 4846–4850. [Google Scholar] [CrossRef]
- Ingham, J.L.; Markham, K.R.; Dziedzic, S.Z.; Pope, G.S. Puerarin 6″-O-β-Apiofuranoside, a C-Glycosylisoflavone O-Glycoside from Pueraria Mirifica. Phytochemistry 1986, 25, 1772–1775. [Google Scholar] [CrossRef]
- Kim, J.M.; Lee, Y.M.; Lee, G.Y.; Jang, D.S.; Bae, K.H.; Kim, J.S. Constituents of the Roots of Pueraria Lobata Inhibit Formation of Advanced Glycation End Products (AGEs). Arch. Pharm. Res. 2006, 29, 821–825. [Google Scholar] [CrossRef]
- Maciejewska-Turska, M.; Zgórka, G. In-Depth Phytochemical and Biological Studies on Potential AChE Inhibitors in Red and Zigzag Clover Dry Extracts Using Reversed-Phase Liquid Chromatography (RP-LC) Coupled with Photodiode Array (PDA) and Electron Spray Ionization-Quadrupole/Time of Fligh. Food Chem. 2022, 375, 131846. [Google Scholar] [CrossRef]






| No | Biphasic Solvent System /Solvent Composition in Volume Proportions | KD |
|---|---|---|
| 1. | EtOAc-BuOH-H2O/1:1:1.5 | 1.99 |
| 2. | EtOAc-BuOH-H2O/1:1:2 | 1.56 |
| 3. | EtOAc-BuOH-H2O/1:1:1 | 1.35 |
| 4. | EtOAc-EtOH-H2O/5:1:5 | 1.01 |
| 5. | EtOAc-EtOH-H2O/5:2:4 | 0.96 |
| 6. | EtOAc-EtOH-H2O/10:1:10 + 1% (V/V) CH3COOH | 0.42 |
| 7. | EtOAc-EtOH-H2O/10:1:10 + 0.5% (V/V) CH3COOH | 0.36 |
| Compound Purity (%) | Method | Literature | ||||
|---|---|---|---|---|---|---|
| M | D | P | 3′-OHP | 3′-MeOP | ||
| ----- | 96,53 | 98,77 | 97.59 | 90.21 | HPCCC | [19] |
| ----- | > 95 | >98 | <90 | >95 | HSCCC | [30] |
| ----- | ----- | >99 | ----- | ----- | CPC | [31] |
| ----- | ----- | <90 | ----- | ----- | HSCCC | |
Publisher’s Note: MDPI stays neutral with regard to jurisdictional claims in published maps and institutional affiliations. |
© 2022 by the authors. Licensee MDPI, Basel, Switzerland. This article is an open access article distributed under the terms and conditions of the Creative Commons Attribution (CC BY) license (https://creativecommons.org/licenses/by/4.0/).
Share and Cite
Maciejewska-Turska, M.; Pecio, Ł.; Zgórka, G. Isolation of Mirificin and Other Bioactive Isoflavone Glycosides from the Kudzu Root Lyophilisate Using Centrifugal Partition and Flash Chromatographic Techniques. Molecules 2022, 27, 6227. https://doi.org/10.3390/molecules27196227
Maciejewska-Turska M, Pecio Ł, Zgórka G. Isolation of Mirificin and Other Bioactive Isoflavone Glycosides from the Kudzu Root Lyophilisate Using Centrifugal Partition and Flash Chromatographic Techniques. Molecules. 2022; 27(19):6227. https://doi.org/10.3390/molecules27196227
Chicago/Turabian StyleMaciejewska-Turska, Magdalena, Łukasz Pecio, and Grażyna Zgórka. 2022. "Isolation of Mirificin and Other Bioactive Isoflavone Glycosides from the Kudzu Root Lyophilisate Using Centrifugal Partition and Flash Chromatographic Techniques" Molecules 27, no. 19: 6227. https://doi.org/10.3390/molecules27196227
APA StyleMaciejewska-Turska, M., Pecio, Ł., & Zgórka, G. (2022). Isolation of Mirificin and Other Bioactive Isoflavone Glycosides from the Kudzu Root Lyophilisate Using Centrifugal Partition and Flash Chromatographic Techniques. Molecules, 27(19), 6227. https://doi.org/10.3390/molecules27196227

