Integrative Analyses of Metabolome and Transcriptome Reveal Regulatory Network of Puerarin Biosynthesis in Pueraria montana var. lobata
Abstract
1. Introduction
2. Results
2.1. Puerarin Content in Root Samples of P. lobata via HPLC
2.2. Flavonoid Content and Antioxidant Activity in Different Organs and Tissues of P. lobata
2.3. Enrichment of Flavonoid Metabolites in Different Organs and Tissues of P. lobata
2.4. P. lobata Transcriptome Analysis Using RNA-Seq
2.5. Analysis of DEGs and Functional Annotation
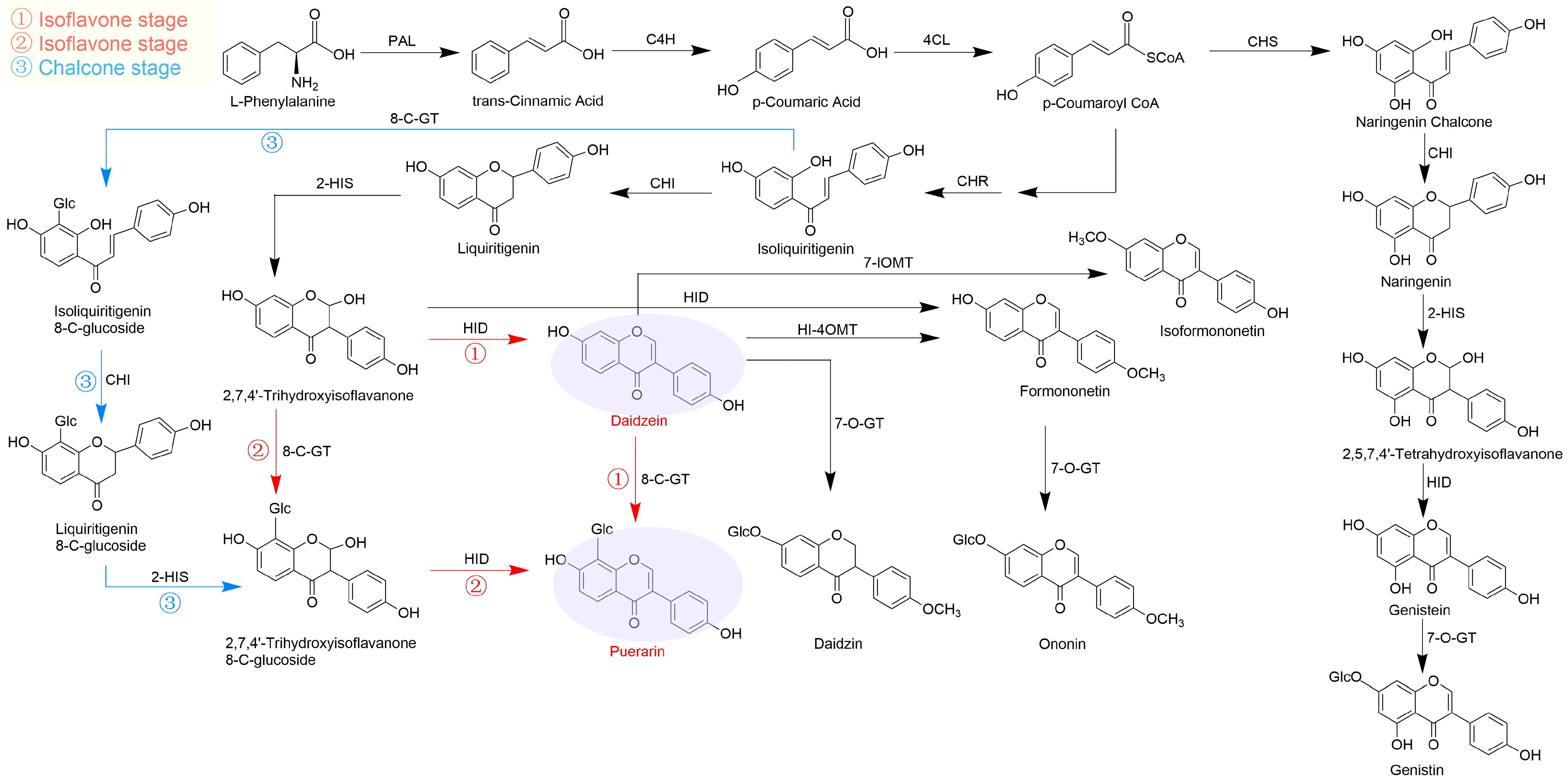
2.6. Identification of Structural Genes and Transcription Factors in Puerarin Biosynthetic Pathway
2.7. Weighted Gene Co-Expression Network Analysis and Visualization
2.8. Phylogenetic Analysis of Candidate UGTs and OMTs
2.9. Co-Expression Analysis of Important Genes and Metabolites
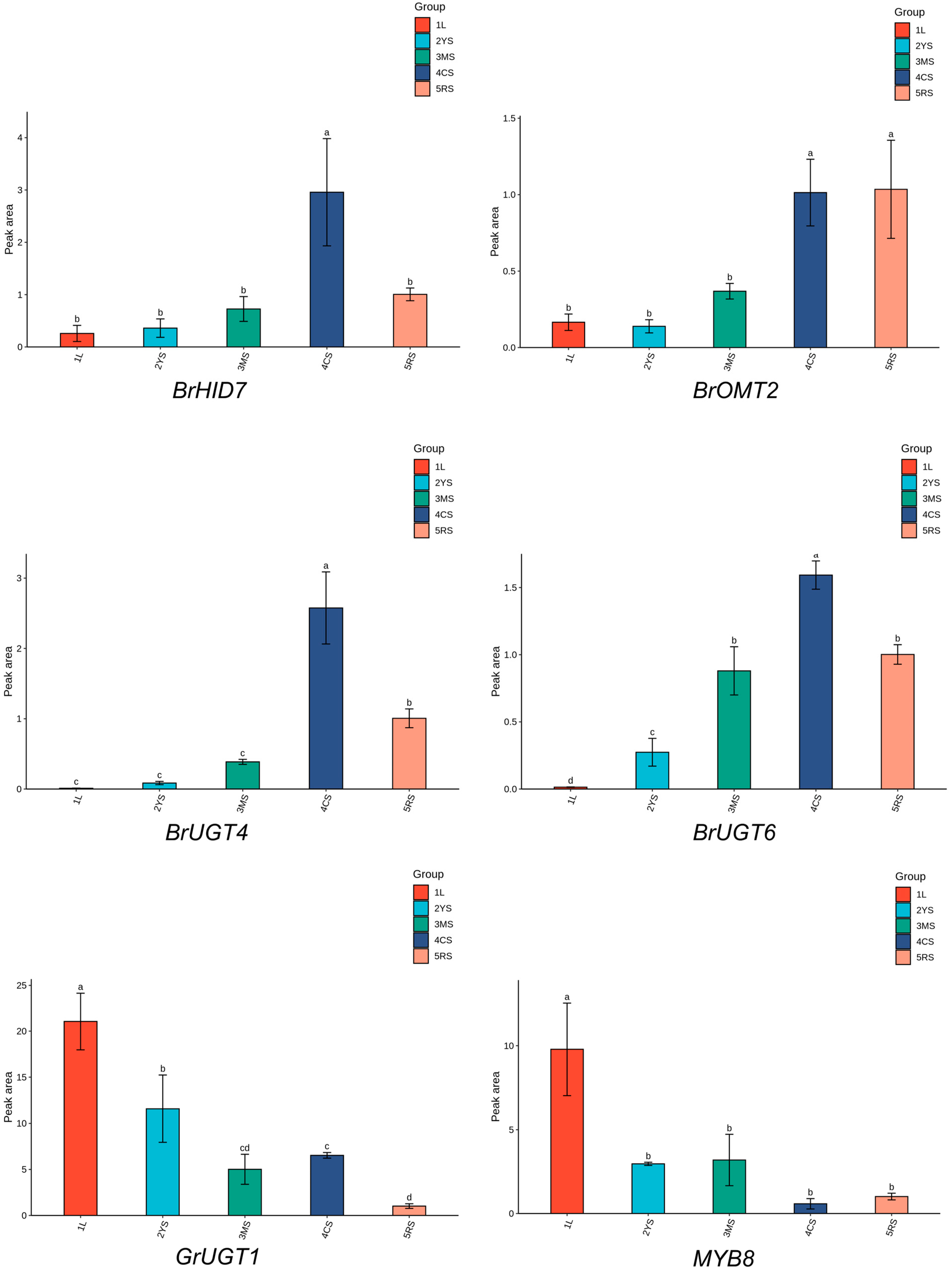
2.10. RT-qPCR Validation of the Puerarin Biosynthesis-Related Genes
3. Discussion
4. Materials and Methods
4.1. Plant Materials
4.2. Procedures of HPLC to Determine Puerarin
4.3. Determination of Flavonoid Content and Antioxidant Activity
4.4. UPLC–MS/MS-Based Flavonoid Targeted Metabolomic Analysis
4.5. RNA Extraction and RNA Sequencing
4.6. Analysis of Structural Genes in Puerarin Biosynthetic Pathway
4.7. Analysis of Differentially Expressed Genes in Different Groups
4.8. Weighted Gene Co-Expression Network Analysis
4.9. Procedures of Real-Time Quantitative Polymerase Chain Reaction
5. Conclusions
Supplementary Materials
Author Contributions
Funding
Institutional Review Board Statement
Informed Consent Statement
Data Availability Statement
Conflicts of Interest
References
- Zhao, Z.; Guo, P.; Brand, E. A concise classification of bencao (materia medica). Chin. Med. 2018, 13, 18. [Google Scholar] [CrossRef] [PubMed]
- Editorial Committee of Flora of China. Flora of China; Science Press: Beijing, China, 2004. [Google Scholar]
- Commission, C.P. Pharmacopoeia of the People’s Republic of China 2020 Edition; China Medical Science Press: Beijing, China, 2020. [Google Scholar]
- Wang, S.; Zhang, S.; Wang, S.; Gao, P.; Dai, L. A comprehensive review on Pueraria: Insights on its chemistry and medicinal value. Biomed. Pharmacother. 2020, 131, 110734. [Google Scholar] [CrossRef] [PubMed]
- Song, W.; Li, Y.; Qiao, X.; Qian, Y.; Ye, M. Chemistry of the Chinese herbal medicine Puerariae Radix (Ge-Gen): A review. J. Chin. Pharm. Sci. 2014, 23, 347–360. [Google Scholar] [CrossRef]
- Zhang, C.; Yang, H.; Wu, Y.; Lyu, L.; Wu, W.; Li, W. Integrated transcriptomics and metabolomics analysis unveil flavonoid and anthocyanin metabolism in pink and blue blueberry cultivars. Sci. Hortic. 2024, 327, 112798. [Google Scholar] [CrossRef]
- Adolfo, L.M.; Rao, X.; Dixon, R.A. Identification of Pueraria spp. through DNA barcoding and comparative transcriptomics. BMC Plant Biol. 2022, 22, 10. [Google Scholar] [CrossRef]
- Jo, Y.; Choi, H.; Bae, M.; Kim, S.M.; Kim, S.L.; Lee, B.C.; Cho, W.K.; Kim, K.H. De novo Genome Assembly and Single Nucleotide Variations for Soybean Mosaic Virus Using Soybean Seed Transcriptome Data. Plant Pathol. J. 2017, 33, 478–487. [Google Scholar] [CrossRef]
- Jo, Y.; Choi, H.; Kim, S.-M.; Lee, B.C.; Cho, W.K. De novo genome assembly and single nucleotide variations for Soybean yellow common mosaic virus using soybean flower bud transcriptome data. J. Appl. Biol. Chem. 2020, 63, 189–195. [Google Scholar] [CrossRef]
- Machado, F.B.; Moharana, K.C.; Almeida-Silva, F.; Gazara, R.K.; Pedrosa-Silva, F.; Coelho, F.S.; Grativol, C.; Venancio, T.M. Systematic analysis of 1298 RNA-Seq samples and construction of a comprehensive soybean (Glycine max) expression atlas. Plant J. 2020, 103, 1894–1909. [Google Scholar] [CrossRef]
- Adolfo, L.M.; Burks, D.; Rao, X.; Alvarez-Hernandez, A.; Dixon, R.A. Evaluation of pathways to the C-glycosyl isoflavone puerarin in roots of kudzu (Pueraria montana lobata). Plant Direct 2022, 6, e442. [Google Scholar] [CrossRef]
- Li, J.; Li, C.; Gou, J.; Wang, X.; Fan, R.; Zhang, Y. An Alternative Pathway for Formononetin Biosynthesis in Pueraria lobata. Front. Plant Sci. 2016, 7, 861. [Google Scholar] [CrossRef]
- Xi, H.; Zhu, Y.; Sun, W.; Tang, N.; Xu, Z.; Shang, X.; Zhang, Y.; Yan, H.; Li, C. Comparative Transcriptome Analysis of Pueraria lobata Provides Candidate Genes Involved in Puerarin Biosynthesis and Its Regulation. Biomolecules 2023, 13, 170. [Google Scholar] [CrossRef] [PubMed]
- Chen, Y.; Zhang, R.; Song, Y.; He, J.; Sun, J.; Bai, J.; An, Z.; Dong, L.; Zhan, Q.; Abliz, Z. RRLC-MS/MS-based metabonomics combined with in-depth analysis of metabolic correlation network: Finding potential biomarkers for breast cancer. Anal. 2009, 134, 2003–2011. [Google Scholar] [CrossRef] [PubMed]
- Long, L.X.; Gu, L.J.; Wang, S.J.; Cai, H.Y.; Wu, J.H.; Wang, J.M.; Yang, M.S. Progress in the understanding of WRKY transcription factors in woody plants. Int. J. Biol. Macromol. 2023, 242, 124379. [Google Scholar] [CrossRef] [PubMed]
- Zheng, Y.; Jiao, C.; Sun, H.; Rosli, H.G.; Pombo, M.A.; Zhang, P.; Banf, M.; Dai, X.; Martin, G.B.; Giovannoni, J.J.; et al. iTAK: A Program for Genome-wide Prediction and Classification of Plant Transcription Factors, Transcriptional Regulators, and Protein Kinases. Mol. Plant 2016, 9, 1667–1670. [Google Scholar] [CrossRef]
- Anguraj Vadivel, A.K.; McDowell, T.; Renaud, J.B.; Dhaubhadel, S. A combinatorial action of GmMYB176 and GmbZIP5 controls isoflavonoid biosynthesis in soybean (Glycine max). Commun. Biol. 2021, 4, 356. [Google Scholar] [CrossRef]
- Han, X.; Yin, Q.; Liu, J.; Jiang, W.; Di, S.; Pang, Y. GmMYB58 and GmMYB205 are seed-specific activators for isoflavonoid biosynthesis in Glycine max. Plant Cell Rep. 2017, 36, 1889–1902. [Google Scholar] [CrossRef]
- Shen, G.; Wu, R.; Xia, Y.; Pang, Y. Identification of Transcription Factor Genes and Functional Characterization of PlMYB1 From Pueraria lobata. Front. Plant Sci. 2021, 12, 743518. [Google Scholar] [CrossRef]
- Wu, Z.; Zeng, W.; Li, C.; Wang, J.; Shang, X.; Xiao, L.; Cao, S.; Zhang, Y.; Xu, S.; Yan, H. Genome-wide identification and expression pattern analysis of R2R3-MYB transcription factor gene family involved in puerarin biosynthesis and response to hormone in Pueraria lobata var. thomsonii. BMC Plant Biol. 2023, 23, 107. [Google Scholar] [CrossRef]
- Zhao, W.; Langfelder, P.; Fuller, T.; Dong, J.; Li, A.; Hovarth, S. Weighted Gene Coexpression Network Analysis: State of the Art. J. Biopharm. Stat. 2010, 20, 281–300. [Google Scholar] [CrossRef]
- Liu, W.; Li, L.; Ye, H.; Tu, W. Weighted gene co-expression network analysis in biomedicine research. Sheng Wu Gong Cheng Xue Bao = Chin. J. Biotechnol. 2017, 33, 1791–1801. [Google Scholar] [CrossRef]
- Zhang, B.; Horvath, S. A general framework for weighted gene co-expression network analysis. Stat. Appl. Genet. Mol. Biol. 2005, 4, Article17. [Google Scholar] [CrossRef] [PubMed]
- Brazier-Hicks, M.; Evans, K.M.; Gershater, M.C.; Puschmann, H.; Steel, P.G.; Edwards, R. The C-glycosylation of flavonoids in cereals. J. Biol. Chem. 2009, 284, 17926–17934. [Google Scholar] [CrossRef] [PubMed]
- Wang, X.; Li, C.; Zhou, Z.; Zhang, Y. Identification of Three (Iso)flavonoid Glucosyltransferases From Pueraria lobata. Front. Plant Sci. 2019, 10, 28. [Google Scholar] [CrossRef] [PubMed]
- Li, C.; Zhang, Y. Glycosylation and methylation in the biosynthesis of isoflavonoids in Pueraria lobata. Front. Plant Sci. 2023, 14, 1330586. [Google Scholar] [CrossRef] [PubMed]
- Li, J.; Li, Z.; Li, C.; Gou, J.; Zhang, Y. Molecular cloning and characterization of an isoflavone 7-O-glucosyltransferase from Pueraria lobata. Plant Cell Rep. 2014, 33, 1173–1185. [Google Scholar] [CrossRef]
- Wang, X.; Li, C.; Zhou, C.; Li, J.; Zhang, Y. Molecular characterization of the C-glucosylation for puerarin biosynthesis in Pueraria lobata. Plant J. 2017, 90, 535–546. [Google Scholar] [CrossRef]
- Mochida, K.; Sakurai, T.; Seki, H.; Yoshida, T.; Takahagi, K.; Sawai, S.; Uchiyama, H.; Muranaka, T.; Saito, K. Draft genome assembly and annotation of Glycyrrhiza uralensis, a medicinal legume. Plant J. Cell Mol. Biol. 2017, 89, 181–194. [Google Scholar] [CrossRef]
- Abdallah, H.B.; Bauer, P. Quantitative Reverse Transcription-qPCR-Based Gene Expression Analysis in Plants. Methods Mol. Biol. 2016, 1363, 9–24. [Google Scholar] [CrossRef]
- Feng, C.Y.; Li, S.S.; Taguchi, G.; Wu, Q.; Yin, D.D.; Gu, Z.Y.; Wu, J.; Xu, W.Z.; Liu, C.; Wang, L.S. Enzymatic basis for stepwise C-glycosylation in the formation of flavonoid di-C-glycosides in sacred lotus (Nelumbo nucifera Gaertn.). Plant J. Cell Mol. Biol. 2021, 106, 351–365. [Google Scholar] [CrossRef]
- Ferrer, J.L.; Jez, J.M.; Bowman, M.E.; Dixon, R.A.; Noel, J.P. Structure of chalcone synthase and the molecular basis of plant polyketide biosynthesis. Nat. Struct. Biol. 1999, 6, 775–784. [Google Scholar] [CrossRef]
- Wang, X.; Fan, R.; Li, J.; Li, C.; Zhang, Y. Molecular Cloning and Functional Characterization of a Novel (Iso)flavone 4′,7-O-diglucoside Glucosyltransferase from Pueraria lobata. Front. Plant Sci. 2016, 7, 387. [Google Scholar] [CrossRef] [PubMed]
- Suntichaikamolkul, N.; Tantisuwanichkul, K.; Prombutara, P.; Kobtrakul, K.; Zumsteg, J.; Wannachart, S.; Schaller, H.; Yamazaki, M.; Saito, K.; De-eknamkul, W.; et al. Transcriptome analysis of Pueraria candollei var. mirifica for gene discovery in the biosyntheses of isoflavones and miroestrol. BMC Plant Biol. 2019, 19, 581. [Google Scholar] [CrossRef]
- Wang, C.; Xu, N.; Cui, S. Comparative transcriptome analysis of roots, stems, and leaves of Pueraria lobata (Willd.) Ohwi: Identification of genes involved in isoflavonoid biosynthesis. PeerJ 2021, 9, e10885. [Google Scholar] [CrossRef] [PubMed]
- Han, R.; Takahashi, H.; Nakamura, M.; Yoshimoto, N.; Suzuki, H.; Shibata, D.; Yamazaki, M.; Saito, K. Transcriptomic landscape of Pueraria lobata demonstrates potential for phytochemical study. Front. Plant Sci. 2015, 6, 426. [Google Scholar] [CrossRef] [PubMed]
- Liga, S.; Paul, C. Puerarin-A Promising Flavonoid: Biosynthesis, Extraction Methods, Analytical Techniques, and Biological Effects. Int. J. Mol. Sci. 2024, 25, 5222. [Google Scholar] [CrossRef]
- Qu, L.; Song, K.; Zhang, Q.; Guo, J.; Huang, J. Simultaneous Determination of Six Isoflavones from Puerariae Lobatae Radix by CPE-HPLC and Effect of Puerarin on Tyrosinase Activity. Molecules 2020, 25, 344. [Google Scholar] [CrossRef]
- Fraga, C.G.; Clowers, B.H.; Moore, R.J.; Zink, E.M. Signature-discovery approach for sample matching of a nerve-agent precursor using liquid chromatography-mass spectrometry, XCMS, and chemometrics. Anal. Chem. 2010, 82, 4165–4173. [Google Scholar] [CrossRef]
- Chen, S.; Zhou, Y.; Chen, Y.; Gu, J. fastp: An ultra-fast all-in-one FASTQ preprocessor. Bioinformatics 2018, 34, i884–i890. [Google Scholar] [CrossRef]
- Kim, D.; Langmead, B.; Salzberg, S.L. HISAT: A fast spliced aligner with low memory requirements. Nat. Methods 2015, 12, 357–360. [Google Scholar] [CrossRef]
- Pertea, M.; Pertea, G.M.; Antonescu, C.M.; Chang, T.C.; Mendell, J.T.; Salzberg, S.L. StringTie enables improved reconstruction of a transcriptome from RNA-seq reads. Nat. Biotechnol. 2015, 33, 290–295. [Google Scholar] [CrossRef]
- Love, M.I.; Huber, W.; Anders, S. Moderated estimation of fold change and dispersion for RNA-seq data with DESeq2. Genome Biol. 2014, 15, 550. [Google Scholar] [CrossRef] [PubMed]
- Varet, H.; Brillet-Guéguen, L.; Coppée, J.Y.; Dillies, M.A. SARTools: A DESeq2- and EdgeR-Based R Pipeline for Comprehensive Differential Analysis of RNA-Seq Data. PLoS ONE 2016, 11, e0157022. [Google Scholar] [CrossRef] [PubMed]
- Benjamini, Y.; Hochberg, Y. Controlling the False Discovery Rate: A Practical and Powerful Approach to Multiple Testing. J. R. Stat. Soc. Ser. B (Methodol.) 1995, 57, 289–300. [Google Scholar] [CrossRef]
- Kanehisa, M.; Araki, M.; Goto, S.; Hattori, M.; Hirakawa, M.; Itoh, M.; Katayama, T.; Kawashima, S.; Okuda, S.; Tokimatsu, T.; et al. KEGG for linking genomes to life and the environment. Nucleic Acids Res. 2008, 36, D480–D484. [Google Scholar] [CrossRef] [PubMed]
- He, X.; Blount, J.W.; Ge, S.; Tang, Y.; Dixon, R.A. A genomic approach to isoflavone biosynthesis in kudzu (Pueraria lobata). Planta 2011, 233, 843–855. [Google Scholar] [CrossRef]
- Livak, K.J.; Schmittgen, T.D. Analysis of relative gene expression data using real-time quantitative PCR and the 2(-Delta Delta C(T)) Method. Methods 2001, 25, 402–408. [Google Scholar] [CrossRef]









| Sample | Description | Acquisition Time | Moisture Content (%/Mean ± SD) | Puerarin Content (%/Mean ± SD) |
|---|---|---|---|---|
| CS | tuberous cortices of roots | September 2023 | 6.74 ± 0.65 b | 3.67 ± 0.36 b |
| RS | cortex-excised tubers of roots | September 2023 | 8.33 ± 0.31 a | 2.22 ± 0.02 c |
| CD | tuberous cortices of roots | December 2023 | 6.50 ± 0.50 b | 4.59 ± 0.42 a |
| RD | cortex-excised tubers of roots | December 2023 | 9.03 ± 0.33 a | 2.41 ± 0.17 c |
| Sample | Flavonoid Content (%/Mean ± SD) | DPPH (%/Mean ± SD) | ·OH (%/Mean ± SD) | T-AOC (%/Mean ± SD) |
|---|---|---|---|---|
| L | 2.37 ± 0.31 c | 42.39 ± 1.75 b | 46.36 ± 7.80 ab | 14.9 ± 1.00 b |
| YS | 1.68 ± 0.40 c | 21.34 ± 2.13 d | 12.74 ± 2.35 c | 7.14 ± 0.83 d |
| MS | 5.25 ± 0.89 b | 40.43 ± 2.83 b | 39.06 ± 4.34 b | 11.88 ± 1.43 c |
| CS | 10.75 ± 0.51 a | 50.49 ± 0.92 a | 59.11 ± 7.37 a | 18.90 ± 0.86 a |
| RS | 5.67 ± 0.33 b | 32.13 ± 0.32 c | 31.99 ± 5.05 b | 8.36 ± 0.29 d |
| Sample | Description | Acquisition Time |
|---|---|---|
| L | Leaves | September 2023 |
| YS | Young stems | September 2023 |
| MS | Mature stems | September 2023 |
| CS | Tuberous cortices of roots | September 2023 |
| RS | Cortex-excised tubers of roots | September 2023 |
| CD | Tuberous cortices of roots | December 2023 |
| RD | Cortex-excised tubers of roots | December 2023 |
| Time/min | A (%) | B (%) |
|---|---|---|
| 0 | 95 | 5 |
| 9 | 5 | 95 |
| 10 | 5 | 95 |
| 11.1 | 95 | 5 |
| 14 | 95 | 5 |
Disclaimer/Publisher’s Note: The statements, opinions and data contained in all publications are solely those of the individual author(s) and contributor(s) and not of MDPI and/or the editor(s). MDPI and/or the editor(s) disclaim responsibility for any injury to people or property resulting from any ideas, methods, instructions or products referred to in the content. |
© 2024 by the authors. Licensee MDPI, Basel, Switzerland. This article is an open access article distributed under the terms and conditions of the Creative Commons Attribution (CC BY) license (https://creativecommons.org/licenses/by/4.0/).
Share and Cite
Zhu, T.; He, J.; Li, J.; Liu, C.; Min, X.; Hu, X.; Liu, X. Integrative Analyses of Metabolome and Transcriptome Reveal Regulatory Network of Puerarin Biosynthesis in Pueraria montana var. lobata. Molecules 2024, 29, 5556. https://doi.org/10.3390/molecules29235556
Zhu T, He J, Li J, Liu C, Min X, Hu X, Liu X. Integrative Analyses of Metabolome and Transcriptome Reveal Regulatory Network of Puerarin Biosynthesis in Pueraria montana var. lobata. Molecules. 2024; 29(23):5556. https://doi.org/10.3390/molecules29235556
Chicago/Turabian StyleZhu, Ting, Jianing He, Junting Li, Chenxi Liu, Xinyi Min, Xinyi Hu, and Xia Liu. 2024. "Integrative Analyses of Metabolome and Transcriptome Reveal Regulatory Network of Puerarin Biosynthesis in Pueraria montana var. lobata" Molecules 29, no. 23: 5556. https://doi.org/10.3390/molecules29235556
APA StyleZhu, T., He, J., Li, J., Liu, C., Min, X., Hu, X., & Liu, X. (2024). Integrative Analyses of Metabolome and Transcriptome Reveal Regulatory Network of Puerarin Biosynthesis in Pueraria montana var. lobata. Molecules, 29(23), 5556. https://doi.org/10.3390/molecules29235556
