Sign in to use this feature.

Years

Between: -

Subjects

remove_circle_outline
remove_circle_outline
remove_circle_outline
remove_circle_outline
remove_circle_outline
remove_circle_outline
remove_circle_outline

Journals

Article Types

Countries / Regions

Search Results (97)

Search Parameters:
Keywords = ion-atom collisions

Order results
Result details
Results per page
Select all
Export citation of selected articles as:
15 pages, 865 KB  
Article
Single Electron Capture by Dressed Projectiles Within the Distorted Wave Formalism
by Michele Arcangelo Quinto, Juan Manuel Monti and Roberto Daniel Rivarola
Atoms 2025, 13(10), 84; https://doi.org/10.3390/atoms13100084 - 3 Oct 2025
Viewed by 111
Abstract
Single electron capture in collisions involving neutral hydrogen atoms impacted by highly charged dressed projectiles is theoretically investigated using the distorted wave formalism. A series of continuum distorted wave approximations is employed to investigate the electron capture from neutral hydrogen atom impact by [...] Read more.
Single electron capture in collisions involving neutral hydrogen atoms impacted by highly charged dressed projectiles is theoretically investigated using the distorted wave formalism. A series of continuum distorted wave approximations is employed to investigate the electron capture from neutral hydrogen atom impact by boron and carbon projectiles. The projectile potential is described using a two-parameter analytical Green–Sellin–Zachor (GSZ) model potential. The theoretical prediction of total cross sections are compared against other theories and experiments. We looked at a very broad range of collision energies, from 10 keV/u up to 10 MeV/u. In addition, the state-selective cross sections for boron ions are presented. Full article
(This article belongs to the Section Atomic, Molecular and Nuclear Spectroscopy and Collisions)
Show Figures

Figure 1

12 pages, 1240 KB  
Article
State-Selective Differential Cross Sections for Single-Electron Capture in Slow He+–He Collisions
by Shucheng Cui, Kaizhao Lin, Dadi Xing, Ling Liu, Dongmei Zhao, Dalong Guo, Yong Gao, Shaofeng Zhang, Yong Wu, Chenzhong Dong, Xiaolong Zhu and Xinwen Ma
Atoms 2025, 13(9), 74; https://doi.org/10.3390/atoms13090074 - 28 Aug 2025
Viewed by 475
Abstract
A combined experimental and theoretical study is carried out on the single-electron capture process in He+–He collisions at energies ranging from 0.5 keV/u to 5 keV/u. Using cold target recoil ion momentum spectroscopy, we obtain state-selective cross sections and angular differential [...] Read more.
A combined experimental and theoretical study is carried out on the single-electron capture process in He+–He collisions at energies ranging from 0.5 keV/u to 5 keV/u. Using cold target recoil ion momentum spectroscopy, we obtain state-selective cross sections and angular differential cross sections. Within the entire studied energy range, the dominant channel is the electron captured into the ground-state, and the relative contribution of the dominant channel shows a decreasing trend with increasing energy. The angular differential cross sections of ground-state capture exhibit obvious oscillatory structures. To understand the oscillatory structures of the differential cross sections, we also performed theoretical calculations using the two-center atomic orbital close-coupling method, which well reproduced the oscillatory structures. The results indicate that these structures are strongly correlated to the oscillatory structures of the impact parameter dependence of electron probability. Full article
(This article belongs to the Section Atomic, Molecular and Nuclear Spectroscopy and Collisions)
Show Figures

Figure 1

19 pages, 2243 KB  
Article
Theoretical Calculation of Ground and Electronically Excited States of MgRb+ and SrRb+ Molecular Ions: Electronic Structure and Prospects of Photo-Association
by Mohamed Farjallah, Hela Ladjimi, Wissem Zrafi and Hamid Berriche
Atoms 2025, 13(8), 69; https://doi.org/10.3390/atoms13080069 - 25 Jul 2025
Viewed by 668
Abstract
In this work, a comprehensive theoretical investigation is carried out to explore the electronic and spectroscopic properties of selected diatomic molecular ions MgRb+ and SrRb+. Using high-level ab initio calculations based on a pseudopotential approach, along with large Gaussian basis [...] Read more.
In this work, a comprehensive theoretical investigation is carried out to explore the electronic and spectroscopic properties of selected diatomic molecular ions MgRb+ and SrRb+. Using high-level ab initio calculations based on a pseudopotential approach, along with large Gaussian basis sets and full valence configuration interaction (FCI), we accurately determine adiabatic potential energy curves, spectroscopic constants, transition dipole moments (TDMs), and permanent electric dipole moments (PDMs). To deepen our understanding of these systems, we calculate radiative lifetimes for vibrational levels in both ground and low-lying excited electronic states. This includes evaluating spontaneous and stimulated emission rates, as well as the effects of blackbody radiation. We also compute Franck–Condon factors and analyze photoassociation processes for both ions. Furthermore, to explore low-energy collisional dynamics, we investigate elastic scattering in the first excited states (21Σ+) describing the collision between the Ra atom and Mg+ or Sr+ ions. Our findings provide detailed insights into the theoretical electronic structure of these molecular ions, paving the way for future experimental studies in the field of cold and ultracold molecular ion physics. Full article
Show Figures

Figure 1

18 pages, 2776 KB  
Article
Furan Dissociation Induced by Collisions with H3+ and C+ Ions
by Tomasz J. Wasowicz
Molecules 2025, 30(12), 2559; https://doi.org/10.3390/molecules30122559 - 12 Jun 2025
Viewed by 559
Abstract
Ion interactions with molecular structures give insights into physicochemical processes in the cosmos, radiation damage, plasma, combustion, and biomass conversion reactions. At the atomic scale, these interactions lead to excitation, ionization, and dissociation of the molecular components of structures found across all these [...] Read more.
Ion interactions with molecular structures give insights into physicochemical processes in the cosmos, radiation damage, plasma, combustion, and biomass conversion reactions. At the atomic scale, these interactions lead to excitation, ionization, and dissociation of the molecular components of structures found across all these environments. Furan, cyclic aromatic ether (C4H4O), serves as a gas-phase deoxyribose analog and is crucial for understanding key pathways in renewable biomass conversion, as its derivatives are versatile molecules from lignocellulosic biomass degradation. Therefore, collisions of H3+ and C+ ions with gas-phase furan molecules were investigated in the 50–1000 eV energy range, exploiting collision-induced emission spectroscopy. High-resolution fragmentation spectra measured at 1000 eV for both cations reveal similar structures, with C+ collisions resulting in more significant furan fragmentation. Relative cross-sections for product formation were measured for H3+ + C4H4O collisions. Possible collisional processes and fragmentation pathways in furan are discussed. These results are compared with those for tetrahydrofuran and pyridine to illustrate how the type and charge of the projectile influence neutral fragmentation in heterocyclic molecules. Full article
(This article belongs to the Section Physical Chemistry)
Show Figures

Figure 1

11 pages, 6957 KB  
Article
UK APAP R-Matrix Electron-Impact Excitation Cross-Sections for Modelling Laboratory and Astrophysical Plasma
by Giulio Del Zanna, Guiyun Liang, Junjie Mao and Nigel R. Badnell
Atoms 2025, 13(5), 44; https://doi.org/10.3390/atoms13050044 - 14 May 2025
Cited by 3 | Viewed by 805
Abstract
Systematic R-matrix calculations of electron-impact excitation for ions of astrophysical interest have been performed since 2007 for many iso-electronic sequences as part of the UK Atomic Process for Astrophysical Plasma (APAP) network. Rate coefficients for Maxwellian electron distributions have been provided and used [...] Read more.
Systematic R-matrix calculations of electron-impact excitation for ions of astrophysical interest have been performed since 2007 for many iso-electronic sequences as part of the UK Atomic Process for Astrophysical Plasma (APAP) network. Rate coefficients for Maxwellian electron distributions have been provided and used extensively in the literature and many databases for astrophysics. Here, we provide averaged collision strengths to be used to model plasma where electrons are non-Maxwellian, which often occurs in laboratory and astrophysical plasma. We also provide many new Maxwellian-averaged collision strengths, which include important corrections to the published values. Recently, we made available the H- and He-like collision strengths. Here, we provide data for ions of the Li-, Be-, B-, C-, N-, O-, Ne-, Na-, and Mg-like sequences. Full article
Show Figures

Figure 1

10 pages, 4390 KB  
Article
The Laboratory Measurement of the Line Ratios in X-Ray Emission Resulting from the Charge Exchange Between Mg11+ and Helium
by Kebao Shu, Caojie Shao, Shuo Zhang, Ruitian Zhang, Cheng Qian, Yingli Xue, Mingwu Zhang, Jinlei Tian, Zhenqiang Wang, Xiaolong Zhu, Liangting Sun, Junxia Ran and Deyang Yu
Atoms 2025, 13(4), 34; https://doi.org/10.3390/atoms13040034 - 14 Apr 2025
Viewed by 685
Abstract
The line ratios in X-ray emission resulting from charge exchange between highly charged ions (HCIs) and neutral atoms are not only crucial for accurately modeling astrophysical X-ray emissions but also offer a unique perspective on the charge exchange processes happening during collisions. The [...] Read more.
The line ratios in X-ray emission resulting from charge exchange between highly charged ions (HCIs) and neutral atoms are not only crucial for accurately modeling astrophysical X-ray emissions but also offer a unique perspective on the charge exchange processes happening during collisions. The K X-ray spectra following charge exchange between Mg11+ and He are presented for a collision velocity of 1489 km/s (11.5 keV/amu). The spectra were measured by two Silicon Drift Detectors capable of resolving the Mg10+ Kα, Kβ, Kγ, and Kδ+ lines. The line intensity ratios of Kβ, Kγ, and Kδ+ relative to the Kα line, as well as the hardness ratio, were obtained. The experimental results were compared with the theoretical results from a cascade model that utilizes the state cross-sections produced by multichannel Landau–Zener (MCLZ) calculation. It was discovered that the K X-ray spectrum features can be reproduced well by MCLZ theory when the contributions of both single electron capture (SEC) and autoionizing double capture (ADC) processes are included. This finding implies that the ADC feeding mechanism is significant and should be taken into account for the X-ray emission during charge exchange between highly charged ions and multielectron atoms. Full article
(This article belongs to the Special Issue X-Ray Spectroscopy in Astrophysics)
Show Figures

Figure 1

8 pages, 490 KB  
Article
Diagnostics of Spin-Polarized Ions at Storage Rings
by Anna Maiorova, Stephan Fritzsche, Andrey Surzhykov and Thomas Stöhlker
Atoms 2025, 13(2), 15; https://doi.org/10.3390/atoms13020015 - 4 Feb 2025
Viewed by 818
Abstract
Polarized heavy ions in storage rings are seen as a valuable tool for a wide range of research, from the study of spin effects in relativistic atomic collisions to the tests of the Standard Model. For forthcoming experiments, several important challenges need to [...] Read more.
Polarized heavy ions in storage rings are seen as a valuable tool for a wide range of research, from the study of spin effects in relativistic atomic collisions to the tests of the Standard Model. For forthcoming experiments, several important challenges need to be addressed to work efficiently with such ions. Apart from the production and preservation of ion polarization in storage rings, its measurement is an extremely important issue. In this contribution, we employ the radiative recombination (RR) of polarized electrons into the ground state of initially hydrogen-like, finally helium-like, ions as a probe process for beam diagnostics. Our theoretical study clearly demonstrates that the RR cross section, integrated over photon emission angles, is highly sensitive to both the degree and the direction of ion polarization. Since the (integrated) cross-section measurements are well established, the proposed method offers promising prospects for ion spin tomography at storage rings. Full article
(This article belongs to the Special Issue 21st International Conference on the Physics of Highly Charged Ions)
Show Figures

Figure 1

18 pages, 3484 KB  
Article
How Microsolvation Affects the Balance of Atomic Level Mechanism in Substitution and Elimination Reactions: Insights into the Role of Solvent Molecules in Inducing Mechanistic Transitions
by Gang Fu, Hongyi Wang, Wenqing Zhen, Xin Zhou, Li Yang and Jiaxu Zhang
Molecules 2025, 30(3), 496; https://doi.org/10.3390/molecules30030496 - 23 Jan 2025
Viewed by 1097
Abstract
Solvents play a crucial role in ion–molecule reactions and have been used to control the outcome effectively. However, little is known about how solvent molecules affect atomic-level mechanisms. Therefore, we executed direct dynamics simulations of the HO(H2Ow) [...] Read more.
Solvents play a crucial role in ion–molecule reactions and have been used to control the outcome effectively. However, little is known about how solvent molecules affect atomic-level mechanisms. Therefore, we executed direct dynamics simulations of the HO(H2Ow) + CH3CH2Br system to elucidate the dynamics behavior of chemical reactions in a microsolvated environment and compared them with previous gas-phase data. Our results show that the presence of a single water solvent molecule significantly suppresses the direct mechanism, reducing its ratio from 0.62 to 0.18, thereby promoting the indirect mechanism. Spatial effects and prolonged ion–molecule collisions combine to drive this mechanism shift. Among them, water molecules impede the reactive collisions of HO and CH3CH2Br, while at the same time, the attractive interaction of hydrogen bonds between ions and molecules produces long-lived intermediates that favor the indirect mechanism. On the other hand, microsolvation also affects the reaction preference of the SN2 and E2 channels, which is more conducive to stabilizing the transition state of the SN2 channel due to the difference in solute–solvent interactions, thus increasing the competitiveness of this pathway. These results emphasize the profound influence of solvent molecules in regulating reaction selectivity and underlying microscopic mechanisms in more complex systems. Full article
(This article belongs to the Special Issue Advances in the Theoretical and Computational Chemistry)
Show Figures

Graphical abstract

12 pages, 2269 KB  
Article
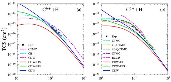
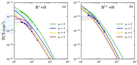
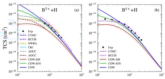
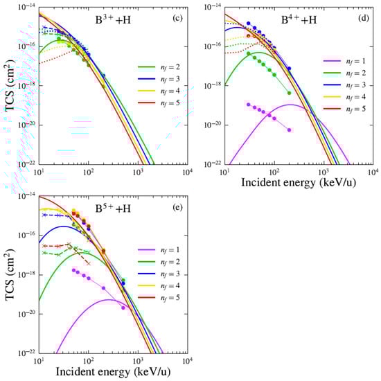
Cross-Sections for Projectile Ionization, Electron Capture, and System Breakdown of C5+ and Li2+ Ions with Atomic Hydrogen
by Saed J. Al Atawneh
Atoms 2024, 12(12), 63; https://doi.org/10.3390/atoms12120063 - 2 Dec 2024
Cited by 1 | Viewed by 929
Abstract
For many disciplines of science, all conceivable collisional cross-sections and reactions must be precisely known. Although recent decades have seen a trial of large-scale research to obtain such data, many essential atomic and molecular cross-section data are still missing, and the reliability of [...] Read more.
For many disciplines of science, all conceivable collisional cross-sections and reactions must be precisely known. Although recent decades have seen a trial of large-scale research to obtain such data, many essential atomic and molecular cross-section data are still missing, and the reliability of the existing cross-sections has to be validated. In this paper, we present projectile ionization, electron capture, and system breakdown cross-sections in carbon (C5+) ions and lithium (Li2+) ion collisions with atomic hydrogen based on the Monte Carlo models of classical and quasi-classical trajectories. According to our expectation, the QCTMC results show higher results in comparison to standard CTMC data, emphasizing the role of the Heisenberg correction constraint, especially in the low-energy regime. On the other hand, at high energy, the Heisenberg correction term has less influence as the projectile momentum increases. We present the total cross-sections of projectile ionization, electron capture, and system breakdown in C5+ ions and Li2+ ion collisions with atomic hydrogen in the impact energy range from 10 keV to 160 keV, which is of interest in astrophysical plasmas, atmospheric sciences, plasma laboratories, and fusion research. Full article
(This article belongs to the Section Atomic, Molecular and Nuclear Spectroscopy and Collisions)
Show Figures

Figure 1

15 pages, 4555 KB  
Article
Description of Short-Range Interactions of Carbon-Based Materials with a Combined AIREBO and ZBL Potential
by Jing Li, Tan Shi, Yichao Sun, Xintian Cai, Rui Gao, Qing Peng, Peng Lu and Chenyang Lu
Nanomaterials 2024, 14(17), 1423; https://doi.org/10.3390/nano14171423 - 31 Aug 2024
Cited by 2 | Viewed by 1632
Abstract
An accurate description of short-range interactions among atoms is crucial for simulating irradiation effects in applications related to ion modification techniques. A smooth integration of the Ziegler–Biersack–Littmark (ZBL) potential with the adaptive intermolecular reactive empirical bond-order (AIREBO) potential was achieved to accurately describe [...] Read more.
An accurate description of short-range interactions among atoms is crucial for simulating irradiation effects in applications related to ion modification techniques. A smooth integration of the Ziegler–Biersack–Littmark (ZBL) potential with the adaptive intermolecular reactive empirical bond-order (AIREBO) potential was achieved to accurately describe the short-range interactions for carbon-based materials. The influence of the ZBL connection on potential energy, force, and various AIREBO components, including reactive empirical bond-order (REBO), Lennard–Jones (LJ), and the torsional component, was examined with configurations of the dimer structure, tetrahedron structure, and monolayer graphene. The REBO component is primarily responsible for the repulsive force, while the LJ component is mainly active in long-range interactions. It is shown that under certain conditions, the torsional energy can lead to a strong repulsive force at short range. Molecular dynamics simulations were performed to study the collision process in configurations of the C-C dimer and bulk graphite. Cascade collisions in graphite with kinetic energies of 1 keV and 10 keV for primary knock-on atoms showed that the short-range description can greatly impact the number of generated defects and their morphology. Full article
(This article belongs to the Section Synthesis, Interfaces and Nanostructures)
Show Figures

Figure 1

14 pages, 2053 KB  
Article
SF6 Negative Ion Formation in Charge Transfer Experiments
by Sarvesh Kumar, Masamitsu Hoshino, Boutheïna Kerkeni, Gustavo García, Ghofrane Ouerfelli, Muneerah Mogren Al-Mogren and Paulo Limão-Vieira
Molecules 2024, 29(17), 4118; https://doi.org/10.3390/molecules29174118 - 30 Aug 2024
Cited by 1 | Viewed by 1385
Abstract
In the present work, we report an update and extension of the previous ion-pair formation study of Hubers, M.M.; Los, J. Chem. Phys. 1975, 10, 235–259, noting new fragment anions from time-of-flight mass spectrometry. The branching ratios obtained from the [...] Read more.
In the present work, we report an update and extension of the previous ion-pair formation study of Hubers, M.M.; Los, J. Chem. Phys. 1975, 10, 235–259, noting new fragment anions from time-of-flight mass spectrometry. The branching ratios obtained from the negative ions formed in K + SF6 collisions, in a wide energy range from 10.7 up to 213.1 eV in the centre-of-mass frame, show that the main anion is assigned to SF5 and contributing to more than 70% of the total ion yield, followed by the non-dissociated parent anion SF6 and F. Other less intense anions amounting to <20% are assigned to SF3 and F2, while a trace contribution at 32u is tentatively assigned to S formation, although the rather complex intramolecular energy redistribution within the temporary negative ion is formed during the collision. An energy loss spectrum of potassium cation post-collision is recorded showing features that have been assigned with the help of theoretical calculations. Quantum chemical calculations for the lowest-lying unoccupied molecular orbitals in the presence of a potassium atom are performed to support the experimental findings. Apart from the role of the different resonances participating in the formation of different anions, the role of higher-lying electronic-excited states of Rydberg character are noted. Full article
(This article belongs to the Special Issue Exclusive Feature Papers in Physical Chemistry, 2nd Edition)
Show Figures

Figure 1

16 pages, 4422 KB  
Article
Coulomb Spike Model of Radiation Damage in Wide Band-Gap Insulators
by Jean-Marc Costantini and Tatsuhiko Ogawa
Quantum Beam Sci. 2024, 8(3), 20; https://doi.org/10.3390/qubs8030020 - 9 Aug 2024
Viewed by 1509
Abstract
A novel Coulomb spike concept is applied to the radiation damage induced in LiF and SiO2 with about the same mass density (~2.65 g cm−3) by Ni2860 and Kr3684 ions of 1.0-MeV u−1 [...] Read more.
A novel Coulomb spike concept is applied to the radiation damage induced in LiF and SiO2 with about the same mass density (~2.65 g cm−3) by Ni2860 and Kr3684 ions of 1.0-MeV u−1 energy for about the same electronic energy loss (~10 MeV µm−1). This is an alternative concept to the already known models of the Coulomb spike and inelastic thermal spike for the damage induced by swift heavy ion irradiations. The distribution of ionizations and electrostatic energy gained in the electric field by the ionized atoms is computed with the PHITS code for both targets. Further, the atomic collision cascades induced by these low-energy hot ions of about 500 eV are simulated with the SRIM2013 code. It is found that melting is reached in a small volume for SiO2 due to the energy deposition in the subthreshold events of nuclear collisions induced by the Si and O ions. For LiF, the phonon contribution to the stopping power of the lighter Li and F ions is not sufficient to induce melting, even though the melting temperature is lower than for SiO2. The formation of amorphous domains in SiO2 is likely after fast quenching of the small molten pockets, whereas only point defects may be formed in LiF. Full article
(This article belongs to the Special Issue Quantum Beam Science: Feature Papers 2024)
Show Figures

Figure 1

24 pages, 3758 KB  
Article
Charge Transfer in He+ − He → He(1s4l, l ≥ 2) − He+ Collisions in Intermediate Energy Range
by Patryk Kamiński and Ryszard Drozdowski
Int. J. Mol. Sci. 2024, 25(14), 7833; https://doi.org/10.3390/ijms25147833 - 17 Jul 2024
Viewed by 1278
Abstract
The anticrossing spectra of the helium line λ1s4l D3,F1s2p P3=447.2 nm emitted after electron capture by He+ ions in [...] Read more.
The anticrossing spectra of the helium line λ1s4l D3,F1s2p P3=447.2 nm emitted after electron capture by He+ ions in He+He collisions were measured for projectile energies of 10–29 keV. Furthermore, considering the excited states’ time evolution, the theoretical intensity functions were calculated. The electric field and density distributions of the target He atoms in the collision volume were taken into account, and by fitting the theoretical intensities to the measured ones, the post-collisional states of the charge-transferred He atoms were determined. The results indicate that for the intermediate projectile energy range, the electronic charge distributions were asymmetric, but the electric dipole moments did not change, as in the case of the target atoms excited directly in the collisions. This result shows that the Paul trap mechanism may play an important role in the charge transfer excitation in this energy range. Full article
(This article belongs to the Section Physical Chemistry and Chemical Physics)
Show Figures

Figure 1

24 pages, 5154 KB  
Article
Simulation of Radiation-Induced DNA Damage and Protection by Histones Using the Code RITRACKS
by Ianik Plante, Devany W. West, Jason Weeks and Viviana I. Risca
BioTech 2024, 13(2), 17; https://doi.org/10.3390/biotech13020017 - 5 Jun 2024
Cited by 3 | Viewed by 2607
Abstract
(1) Background: DNA damage is of great importance in the understanding of the effects of ionizing radiation. Various types of DNA damage can result from exposure to ionizing radiation, with clustered types considered the most important for radiobiological effects. (2) Methods: The code [...] Read more.
(1) Background: DNA damage is of great importance in the understanding of the effects of ionizing radiation. Various types of DNA damage can result from exposure to ionizing radiation, with clustered types considered the most important for radiobiological effects. (2) Methods: The code RITRACKS (Relativistic Ion Tracks), a program that simulates stochastic radiation track structures, was used to simulate DNA damage by photons and ions spanning a broad range of linear energy transfer (LET) values. To perform these simulations, the transport code was modified to include cross sections for the interactions of ions or electrons with DNA and amino acids for ionizations, dissociative electron attachment, and elastic collisions. The radiochemistry simulations were performed using a step-by-step algorithm that follows the evolution of all particles in time, including reactions between radicals and DNA structures and amino acids. Furthermore, detailed DNA damage events, such as base pair positions, DNA fragment lengths, and fragment yields, were recorded. (3) Results: We report simulation results using photons and the ions 1H+, 4He2+, 12C6+, 16O8+, and 56Fe26+ at various energies, covering LET values from 0.3 to 164 keV/µm, and performed a comparison with other codes and experimental results. The results show evidence of DNA protection from damage at its points of contacts with histone proteins. (4) Conclusions: RITRACKS can provide a framework for studying DNA damage from a variety of ionizing radiation sources with detailed representations of DNA at the atomic scale, DNA-associated proteins, and resulting DNA damage events and statistics, enabling a broader range of future comparisons with experiments such as those based on DNA sequencing. Full article
(This article belongs to the Section Computational Biology)
Show Figures

Figure 1

25 pages, 723 KB  
Review
Time-Dependent Density Functional Theory for Atomic Collisions: A Progress Report
by Tom Kirchner
Atoms 2024, 12(6), 31; https://doi.org/10.3390/atoms12060031 - 1 Jun 2024
Cited by 1 | Viewed by 1940
Abstract
In this paper, the current status of time-dependent density functional theory (TDDFT)-based calculations for ion–atom collision problems is reviewed. Most if not all reported calculations rely on the semiclassical approximation of heavy particle collision physics and the time-dependent Kohn–Sham (TDKS) scheme for computing [...] Read more.
In this paper, the current status of time-dependent density functional theory (TDDFT)-based calculations for ion–atom collision problems is reviewed. Most if not all reported calculations rely on the semiclassical approximation of heavy particle collision physics and the time-dependent Kohn–Sham (TDKS) scheme for computing the electronic density of the system. According to the foundational Runge–Gross theorem, all information available about the electronic many-body system is encoded in the density; however, in practice it is often not known how to extract it without resorting to modelling and approximations. This is in addition to a necessarily approximate implementation of the TDKS scheme due to the lack of precise knowledge about the potential that drives the equations. Notwithstanding these limitations, an impressive body of work has been accumulated over the past few decades. A sample of the results obtained for various collision systems is discussed here, in addition to the formal underpinnings and theoretical and practical challenges of the application of TDDFT to atomic collision problems, which are expounded in mostly nontechnical terms. Open problems and potential future directions are outlined as well. Full article
Show Figures

Figure 1

Back to TopTop