Next Article in Journal
Generalized N-Dimensional Effective Temperature for Cryogenic Systems in Accelerator Physics
Next Article in Special Issue
Multi-Technique Characterization of Cartonnage and Linen Samples of an Egyptian Mummy from the Roman Period
Previous Article in Journal
Quantum Correlation Enhanced Optical Imaging
Previous Article in Special Issue
Comparative Evaluation of Two Analytical Functions for the Microdosimetry of Ions from 1H to 238U
 
 
Font Type:
Arial Georgia Verdana
Font Size:
Aa Aa Aa
Line Spacing:
Column Width:
Background:
Article

Coulomb Spike Model of Radiation Damage in Wide Band-Gap Insulators

by
Jean-Marc Costantini
1,* and
Tatsuhiko Ogawa
2
1
Université Paris-Saclay, CEA, Service de Recherche en Matériaux et Procédés Avancés, 91191 Gif-sur-Yvette, France
2
Nuclear Science and Engineering Center, Japan Atomic Energy Agency (JAEA), Shirakata 2-4, Tokai, Ibaraki 319-1195, Japan
*
Author to whom correspondence should be addressed.
Quantum Beam Sci. 2024, 8(3), 20; https://doi.org/10.3390/qubs8030020
Submission received: 31 May 2024 / Revised: 8 July 2024 / Accepted: 25 July 2024 / Published: 9 August 2024
(This article belongs to the Special Issue Quantum Beam Science: Feature Papers 2024)

Abstract

A novel Coulomb spike concept is applied to the radiation damage induced in LiF and SiO2 with about the same mass density (~2.65 g cm−3) by N i 28 60 and K r 36 84 ions of 1.0-MeV u−1 energy for about the same electronic energy loss (~10 MeV µm−1). This is an alternative concept to the already known models of the Coulomb spike and inelastic thermal spike for the damage induced by swift heavy ion irradiations. The distribution of ionizations and electrostatic energy gained in the electric field by the ionized atoms is computed with the PHITS code for both targets. Further, the atomic collision cascades induced by these low-energy hot ions of about 500 eV are simulated with the SRIM2013 code. It is found that melting is reached in a small volume for SiO2 due to the energy deposition in the subthreshold events of nuclear collisions induced by the Si and O ions. For LiF, the phonon contribution to the stopping power of the lighter Li and F ions is not sufficient to induce melting, even though the melting temperature is lower than for SiO2. The formation of amorphous domains in SiO2 is likely after fast quenching of the small molten pockets, whereas only point defects may be formed in LiF.

1. Introduction

The modeling of radiation damage in insulating materials by charged particles is a key issue for nuclear applications in order to understand the modifications induced by fission fragments in the nuclear fuels [1] or in the inert matrices for actinide transmutation [2]. It is also a matter of concern for space applications regarding the behavior of the SIMOX (separation by implanted oxygen) electronic devices containing buried silica layers under cosmic-ray irradiations with high-energy protons [3].
Various models and numerical simulations were developed to comprehend the evolution of wide band-gap insulators under swift ion irradiations, such as fission fragments or high-energy cosmic rays, in the electronic energy loss regime. In particular, the inelastic thermal spike (i-TS) model was applied to explain the track formation in oxides or halides [4]. The i-TS model, based on the two-temperature (TT) hypothesis, was first devised for the case of the laser irradiation of metals as a means of heat treatment, eventually leading to melting or vaporization [5]. It assumes that the energy deposited into the electronic subsystem on a short time scale (≤1 fs) by photons or charged particles is transferred to the lattice atoms by the electron–phonon coupling interaction on a longer time scale (≥1 ps) [6]. For the single excitations with photons, another approach was based on Boltzmann’s kinetic equations [7]. For the collective excitations with heavy ions, the lattice can reach the melting or vaporizing temperature above a given threshold electronic stopping power [4], and extended defects, such as ionization tracks, can be induced in the solid matrix after rapid cooling of the melt or vapor. Melting or vaporization is reached when the energy deposited in the solid is equal to the enthalpy of melting or vaporization, respectively. This approach was criticized by some authors claiming that the actual reached temperatures in metals are much lower than the computed values by the i-TS model [8]. An alternative approach was also proposed by these authors with the Monte Carlo (MC)–Molecular dynamics (MD) TREKIS model [9]. Moreover, there was also a recent development of the TT model by using the electronic excitations as an input for the MD simulations of metals such as tungsten under swift heavy ion irradiations [10,11]. In contrast, the original i-TS model is not relevant for metals and semiconductors owing to the high electronic thermal conductivity quickly spreading out the deposited energy in the electron gas.
Another type of model is based on the Coulomb spike or Coulomb explosion concept that was proposed a long time ago by Fleischer et al. [12]. This approach is generally disregarded nowadays. An analytical model of the Coulomb explosion was developed to interpret radiation damage, as well as phase changes, in metals such as titanium under swift heavy ion irradiations [13,14], which could not be readily explained by the standard i-TS model, as said above.
Among many other insulators, amorphous tracks are formed in SiO2 quartz by swift heavy ion irradiations above a threshold electronic stopping power of ~2 MeV µm−1 and 5 MeV µm−1 for ion velocities of 0.2 and 5 MeV u−1, respectively [15,16]. In contrast, for LiF, only saturated point defects (F centers) are induced in crystalline tracks up to the recombination volume [17]. A large swelling is actually induced in LiF above a threshold stopping power of 4.2 MeV µm−1 [18]. The i-TS model was unable to explain the formation of such defective crystalline tracks in alkali halides. It is based on the strong assumptions explained above, which may not be relevant in the case of such wide band-gap ionic insulators. An approach tried to extend the self-trapped exciton (STE) model of point defect formation by the laser excitation of insulators such as alkali halides to the track formation by swift heavy ions [19]. However, this approach remained at a qualitative level.
Therefore, our scope was to revisit the Coulomb spike model of radiation damage by tracking down the ionized atoms induced by the passage of N i 28 60 and K r 36 84 ions with the 1.0-MeV u−1 energy, corresponding to the fission-fragment energy per unit mass, in these two well-studied wide band-gap insulators, namely LiF and SiO2. Either crystalline or amorphous tracks are definitely formed in both materials with the present Ni and Kr ions for stopping powers (Table 1) higher than the respective thresholds [16,17,18].
However, the effect of the electrostatic energy induced by swift heavy ions among atoms on a short time scale (<1 ps) was disregarded. Electrostatic charge effects cannot be overlooked in such high-k dielectrics. However, we did not follow the same line as for the Coulomb explosion model by Lesueur et al. [13]. Simulations with the MC RITRACKS computer code have already been used to model the jet-like sputtering of amorphous ice induced by 1.0-MeV protons [20]. In the latter case, a large part of the ionized atoms with high kinetic energies did not escape from the target surface but remained trapped inside the bulk.
We show that the Si and O ions generated in the trails of swift ions can induce the melting of SiO2 in a very small volume by nuclear collisions, due to the subthreshold elastic events. Amorphous domains can be generated by the quenching of the molten solid after this elastic thermal spike. We have applied the same criterion of melting as for the inelastic thermal spike that melting is reached when the energy deposited in the solid is equal to the fusion enthalpy. By contrast, melting is not reached in LiF by the nuclear collisions induced by the lighter Li and F ions. Only some point defects may be formed after thermal quenching of the solid phase.
Table 1. Characteristics of the ion irradiations of LiF and SiO2 computed with the SRIM2013 code [21]: electronic (Se) and nuclear (Sn) stopping power, mean projected range (Rp), range straggling (∆Rp), and number of vacancies per ion.
Table 1. Characteristics of the ion irradiations of LiF and SiO2 computed with the SRIM2013 code [21]: electronic (Se) and nuclear (Sn) stopping power, mean projected range (Rp), range straggling (∆Rp), and number of vacancies per ion.
TargetIonE
(keV)
Se
(keV µm−1)
Se (*)
(keV µm−1)
Sn
(keV µm−1)
Rp
(nm)
∆Rp
(nm)
Vacancies
LiFLi0.512.89 75.264.02.14.8
F0.517.19 250.12.00.95.5
Ni6 × 1049.34 × 10310.5 × 10321.4511.81 × 103448
Kr8.4 × 1041.17 × 1041.32 × 10436.6811.93 × 103399.5
SiO2Si0.524.02 281.92.00.97.5
O0.521.97 176.72.41.37.0
Ni6 × 1048.52 × 1039.62 × 10324.3111.86 × 103489
Kr8.4 × 1041.07 × 1041.23 × 10441.6412.04 × 103435.5
(*) Computed with the CASP 5.0 code [21].

2. Methodology

In order to calculate the electrostatic energy of ions on the trajectories of projectile ions, a calculation procedure similar to that developed in [20] was used. The ionization of the constituent atoms in the targets was calculated by ITSART [22], one of the track-structure models of PHITS [23], for one primary particle history. Even though the calculation is on one history, the electrostatic energy calculated afterward is based on the distance between several ten thousand cations which is statistically significant. Track structure models allow for the calculation of the transport of charged particles by taking into account each atomic reaction explicitly, unlike the conventional condensed history method or the continuous slowing-down approach. When the projectiles undergo ionization reactions in the target, the spatial coordinates of the reactions are scored at each time. The secondary electrons above 1 keV and those below 1 keV were transported by using the EGS5 and ETSART [24] models, respectively. Using the recorded coordinates as the position of the cations, the electrostatic potential among them was calculated offline. This calculation was performed for LiF and SiO2 irradiated with 60-MeV 60Ni and 84-MeV 84Kr ions.
Energetic ionized Li and F or Si and O atoms are produced in the trails of these swift ions that cross the target thickness of 2 µm. The parameters, such as electronic (Se) and nuclear (Sn) stopping powers, projected range (Rp), and range straggling (∆Rp), are computed with the MC SRIM2013 code [25] for all these ions in LiF and SiO2 (Table 1). In this range of kinetic energies, SRIM is more accurate than PHITS. The radial distributions of the secondary electrons (δ-rays) were computed for both Kr and Ni ion irradiations in LiF and SiO2 targets (Figure 1). These electrons were knocked out by the primary ion or by energetic secondary electrons and transported by either EGS or ETSART codes until they slowed down to the cut-off energy of 10 eV up to a time scale of 150 fs (Figure 2). The steps found for the Ni ion irradiation of SiO2 derive from the ionizations of the various electronic shells. A quadratic dependence in r−2 is found for large radii (r), as found by the older analysis of [25]. The 3D distributions of cations computed for one history in these four cases are shown by the denser points corresponding to the ionizations induced along the ion trajectories and by discrete points corresponding to the ionization events arising from secondary electrons or photons far away from the ion path (Figure 3a–d). The primary ions are deflected by elastic Rutherford nuclear scattering and inelastic electron scattering. Almost all of the ionization events are localized on the ion path.
There is the challenging issue of a possible cancellation of the electric potential between ionized atoms by the major part of δ-rays in the track core (Figure 1). However, at the short time scale (fs) of the electro-magnetic interactions, these ejected electrons have still kinetic energies above the band-gap energy (EG) of about 10 eV for both materials (EG = 14 eV for LiF and EG = 9.5 eV for α-SiO2). They are in the conduction band in quantized plasmonic states (Figure 2), where the behaviors of electrons and nuclei can be decoupled in the adiabatic approximation. In the classical approach, the electric field is partially screened by the electron gas with the corresponding dielectric constant at the plasmon resonance frequency ε(ωp). For SiO2, the oxygen bulk plasmon energy is ħωp = 23.1 eV [26], for the frequency 5.58 × 1015 Hz and period 0.179 fs, whereas for LiF, ħωp = 25.3 eV [27]. For those insulators, the real (ε1) and imaginary (ε2) parts of ε(ω) tend towards the free-space permittivity (ε0) for high frequencies [28]. The plasmon resonance occurs for ε1p) = 0 [27]. Since ħωp >> EG the electrons are quasi-free for this energy. As such, the screening by these free electrons is negligible on the fs time scale. Plasmon decay to single excitations (electron-hole pairs) takes place later on the 10 fs time scale (Figure 2).
The higher energy electrons are flying far away from the ion path (Figure 1), yet they are not likely trapped back onto the ionized atoms at the time scale of the interactions owing to the low mobility of carriers in these dielectric media. For a standard electronic diffusivity of D = 0.1 cm2 s−1 for trapped electrons, an upper-boundary estimation of the mean free path of the stopped electrons would be of λ = D t ~10−7 cm = 1 nm for ∆t = 100 fs after the electron cascade cooling on the 150 fs time scale (Figure 2). These secondary electrons may induce a few negligible atomic displacements by elastic collisions for the most energetic ones that are far away from the track cores.
In order to estimate the damage induced by these trapped energetic ions with a very small range, SRIM2013 simulations were performed for 105 ions by using the following threshold-displacement energies of Ed (Li) = Ed (F) = 25 eV for LiF (mass density of ρ0 = 2.64 g cm−3) and Ed (Si) = 15 eV, Ed (O) = 28 eV for SiO20 = 2.65 g cm−3). The relative contributions of ionization, vacancies, and phonons of the energy loss were obtained for the primary and secondary ions and their recoils.

3. Results

The histograms of electrostatic energy distributions of ionized Li and F and Si and O atoms are shown for LiF (Figure 4 and Figure 5) and SiO2, respectively (Figure 6 and Figure 7). This is the energy gained in the electrostatic field generated by the incoming swift ions in the targets. For LiF, similar distributions are fitted with three broad Gaussian profiles centered at 180, 450, and 610 eV for the Ni ions and 180, 480, and 660 eV for the Kr ions. The low energy events below 100 eV, corresponding to strong statistical fluctuations, are discarded. For SiO2, a most prominent Gaussian profile centered at 620 eV and 455 eV is found for the Ni and Kr ions, respectively, with much higher intensities than for LiF and minor contributions centered at 550 and 350 eV, respectively, as deduced from fits of the distributions. The band centers and standard deviations of the Gaussian profiles are summarized in Table 2.
Maxwellian distributions of these ions are computed to approximately match the maxima of these distributions (Figure 4, Figure 5, Figure 6 and Figure 7). It is seen that the ion energy distributions are much narrower than the broad thermal equilibrium distributions for the corresponding high temperatures. This means that these energetic atoms are not in thermal equilibrium at the end of the ionization process.
The projected range and number of vacancies per ion are deduced from the SRIM2013 simulations of atomic collision cascades for a typical kinetic energy of 500 eV of the incident ions (Table 1). The relative contributions in % of ionization, vacancies, and phonons for the primary ions and recoils are also given (Table 3). It is clearly seen that the major part (~80%) of the ion energy is dissipated in phonons and mainly by the recoils for energies below Ed. Very few atoms (~7 per incident ion) are displaced by the nuclear collisions. A smaller part (~20%) of the total stopping power is dissipated in ionizations and electronic excitations.
The energy deposited by the primary swift Ni and Kr ions is of δE ~20 MeV for both ions inside the 2 µm target thickness (Table 1). Almost all of the energy loss is homogeneously deposited in ionizations by the primary ions and recoils across the target, with a negligible contribution of phonons by the recoils (~0.1%) and almost no atom displacement (Table 3). Calculations with the CASP 5.0 computer code [30] yield values for the electronic stopping power of Se = 1.721 × 10−12 eV cm2 and Se = 2.163 × 10−12 eV cm2 per molecule for the 28Ni and 36Kr ions in LiF, respectively, corresponding to ionizations of the 1s, 2s, and 2p shells. This gives Se = 10.5 MeV µm−1 and Se = 13.2 MeV µm−1, respectively, for A = 26 g and ρ0 = 2.64 g cm−3, which are in rather good agreement with the values of Se = 9.34 MeV µm−1 and Se = 11.7 MeV µm−1 computed with the SRIM2013 code (Table I). The other values computed with CASP 5.0 for SiO2 (for A = 60 g and ρ0 = 2.65 g cm−3), corresponding to the ionizations of 1s, 2s, 2p, 3s, and 3p shells, are given in comparison (Table I). Similar deviations by about 10% between both computer codes were already found for a lower velocity ion (82-keV u−1 Si ions) in SiC [30] for a similar mass density (ρ0 = 3.21 g cm−3).

4. Discussion

The present combined simulations of PHITS and SRIM codes show that the energetic ionized atoms of the targets generate a great number of phonons in a very small volume due to their low kinetic energies below the threshold displacement energies. The primary Coulomb spike generates a secondary elastic collision thermal spike. This is similar to the elastic collision spike used for modeling the ion sputtering by Sigmund [31]. This process must be distinguished from the i-TS model, in which the energy is mainly imparted to the electron subsystem through ionization and electronic excitations and further transferred to the atomic subsystem by the so-called electron–phonon coupling constant [4], as explained above.
The energy deposited by the primary swift Ni and Kr ions leads to the formation of a number of electron–hole pairs N e h ~ δ E 3 E G [32], which is about 600 per ion for the band-gap energy of EG ~10 eV. Few point defects are likely generated after the STE formation and subsequent relaxation of the atomic lattice [33]. Instead, ionization tracks are induced by these swift ions for electronic stopping powers (Table 1) that are higher than the thresholds of ~1 MeV µm−1 and 4 MeV µm−1 in SiO2 and LiF, respectively. However, the ionization processes of atoms and further steps of ionized atom motion at a very short time scale (<1 ps) were disregarded in the analysis of track formation by the i-TS model.
Here, we consider the becoming of these ionized atoms with a low electronic energy loss compared to the phonon energy loss (Table 3). We calculate the energy density deposited in heat in the ion range compared to the melting enthalpy. The energy ∆E is deposited in a volume of V = 4 3 π R p 3 ~32 nm3 for Rp ~2 nm. Considering that about 80% of the total energy loss d E d x = S e + S n of ions is deposited in phonons according to Equation (1):
E ~ 0.8 ( d E d x ) R p
Hence the deposited energy density in a volume of 4 π R p 3 3 is given in Equation (2):
D = E V ~ 0.8 3 4 π R p 3 ( d E d x )
This gives ∆E~489 eV and D~14.6 eV nm−3 for Rp~2 nm by using ( d E d x ) ~306 keV µm−1 = 306 eV nm−1 for the Si ions in SiO2 (Table 1). The energy per atom (Ea) is calculated from:
E a = E v n V  
where v is the unit cell volume, and n is the number of atoms per unit cell. For hexagonal α-SiO2 quartz, n = 9 (three Si and six O atoms), with the lattice parameters of a = 0.49 nm and c = 0.54 nm. This gives v = 3 a 2 c 3 2 ~0.34 nm3 and Ea ~0.6 eV at−1. However, the contribution of O ions must be also added with ∆E ~318 eV and Ea ~0.4 eV at−1 by using ( d E d x ) ~199 keV µm−1 (Table 1). This yields a total deposited energy per atom of ~1 eV for both Si and O ions.
For the F ions in LiF, this gives ∆E~427 eV and D~13.3 eV nm−3 for Rp~2 nm, by using ( d E d x ) ~267 eV nm−1 (Table 1). For LiF with the fcc NaCl rock-salt structure, n = 8 (4 Li and 4 F atoms) with the lattice parameter of a = 0.40 nm and v = a3 ~0.06 nm3, Ea~0.1 eV at−1. The contribution of the Li ions is much smaller, for Rp ~4 nm and ( d E d x ) ~88 eV nm−1, increasing Ea by ~10% only.
The energy density deposited in the phonon system ultimately yields a high temperature at the time scale ( τ D = ν D 1 ~1 ps) corresponding to the Debye frequency ( ν D ~1012 s−1) (Figure 2). The local lattice ion temperature (T) (in Kelvins) may be estimated and compared to the melting temperature (Tm) from Equation (4):
300 T ρ V C p T d T = E  
where m = ρV is the mass of matter corresponding to the heated volume V, and Cp is the specific heat at constant pressure which depends on temperature with a polynomial function (Shomate’s equation) in Equation (5):
C p = A + B T + C T 2 + D T 3 + E T 2
where A, B, C, D, and E are coefficients [34]. The integration of Equation (4) leads to a fourth-degree polynomial equation to solve for T by knowing the five coefficients. The same equation as Equation (4) can be used for the melting temperature by replacing T with Tm and ∆E with ∆Hm. A similar equation as Equation (5) holds for the standard enthalpy ∆H with respect to the value at 298 K after the integration of Equation (5):
H = A t + B 2 T 2 + C 3 T 3 + D 4 T 4 E T 1 + F G
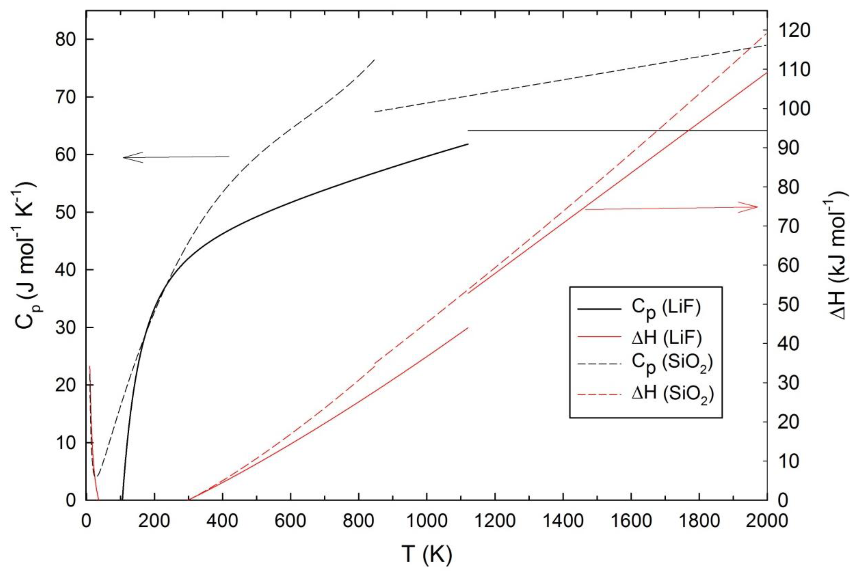
For solid LiF, A = 41.75837, B = 18.71110, C = 0.693674, D = −0.992621, E = −0.487055, F = −631.8342, and G = −616.9308, where T is expressed in mK, for 298 K ≤ T ≤ 1121 K [34]. For liquid LiF, A = 64.18298, B = 4.195423 × 10−11, C = −2.302271 × 10−11, D = 3.924242 × 10−12, E = 1.150237 × 10−12, F = −617.7885, and G = −598.6509 for 1121 K ≤ T ≤ 3000 K [34]. The values of Cp and ∆H are plotted versus T, with positive jumps corresponding to the melting point at Tm = 1117.8 K under normal pressure (Figure 8). This yields calculated values of Cp = 42 J mol−1 K−1 and ∆H = 0.09 kJ mol−1 for T = 300 K and Cp = 61.81 J mol−1 K−1 and ∆H = 44.03 kJ mol−1 for T = 1121 K (Figure 8). This is consistent with the scarce literature data, giving a value of Cp = 43.4 J mol−1 K−1 for 400 K [35]. For ∆H = Ea ~0.1 eV at−1, this gives ~0.2 eV per LiF molecule ~20 kJ mol−1, one finds that T ~700 K (Figure 8).
For solid SiO2, similar calculations can be made with the two sets of parameters: A = −6.076591, B = 251.6755, C = −324.7964, D = 168.5604, E = 0.002548, F = −917.6893, and G = −27.96962 for 298 K ≤ T ≤ 847 K and A = 58.75340, B = 10.27925, C = −0.131384, D = 0.025210, E = 0.025601, F = −929.3292, and G = −910.8568 for 847 K ≤ T ≤ 1996 K (Figure 8) [34]. There is the α → β phase change at T = 847 K, with a negative jump of Cp, but a weak change in ∆H. The values of Cp and ∆H are plotted versus T (Figure 8). These plots yield Cp = 44.8 J mol−1 K−1 and ∆H = 0.08 kJ mol−1 for T = 300 K and Cp = 78.95 J mol−1 K−1 and ∆H = 119 kJ mol−1 for T = 1996 K (Figure 8). These calculated values are in good agreement with the drop calorimetry data for quartz yielding Cp = 44.7 J mol−1 K−1 and ∆H = 0.083 kJ mol−1 for T = 300 K and Cp = 75.873 J mol−1 K−1 and ∆H = 118.226 kJ mol−1 for T = 2000 K [36]. For ∆H = Ea ~1 eV at−1. This gives ~3 eV per SiO2 molecule ~300 kJ mol−1; one finds that T >> Tm (Figure 8) within the approximations of our calculations. When crossing the melting point for T = Tm, a part of this energy (Ea) is spent in the enthalpy of fusion of about 10 kJ mol−1 [36].
After the energy deposition in heat at the 1 ps time scale, cooling of the embedded liquid pocket occurs at a later stage by thermal conduction in the neighboring solid host. Even though the lattice thermal conductivity of SiO2 quartz is low (κ = 1.35 W m−1 K−1 at T = 300 K and κ = 2.52 W m−1 K−1 at T = 1100 K [37]), fast cooling is expected, since the molten volume (V ~32 nm3) is very small. The formation of amorphous domains is likely after fast thermal quenching of the liquid pockets. For example, fast cooling of liquid metals for high quenching rates yields amorphous metallic glasses [38].
The lattice thermal diffusivity (D) is the important parameter involved in spreading out the heat flow:
D = κ ρ C p
where κ is the thermal conductivity coefficient. In the one-dimensional approximation, the time-dependent heat diffusion equation is written:
T t = D 2 T x 2
For solid α-SiO2 quartz at T = 1100 K, ρ = ρ0 (1 − α T) ~ ρ0 = 2.65 g cm−3, since α = 0.75 × 10−6 K−1 [39]. One finds a value of D = 7 × 10−3 cm2 s−1, for Cp = 69 J mol−1 K−1 = 1.35 J g−1 K−1 (Figure 8), and κ = 0.025 W cm−1 K−1 at T = 1100 K [37]. The mean diffusion time (τD), taking into account the characteristic diffusion length of Rp = 2 nm, is given by:
τ D = R p 2 D ~ 5.7 × 10 12   s
This rough estimation based on the available experimental data at 1100 K means that heat is quickly flowing out of the molten zones at Tm = 2000 K to the matrix at T0 = 300 K. This yields a very high cooling rate of T τ D = T m T 0 τ D = 1700 5.7 × 10 12   K s 1 ~3.0 × 1014 K s−1. For such a very high quenching rate, the liquid will turn to an amorphous silica phase. Complete amorphization in the ion track can be reached after the overlap of these small amorphous domains.
For solid LiF, ρ = ρ0 (1 − α T) ~ ρ0 = 2.64 g cm−3, since α = 37 × 10−6 K−1 from 273 K up to 373 K [40], and κ ~14 W m−1 K−1 at T = 300 K and κ ~5 W m−1 K−1 at T = 1000 K [41]. This yields D = 8.1 × 10−3 cm2 s−1, for Cp = 59.7 J mol−1 K−1 = 2.31 J g−1 K−1 (Figure 8) and κ ~0.05 W cm−1 K−1 for T = 1000 K. Assuming a value of τD = 4.87 × 10−12 s deduced from Equation (9), for T = 1000 K, the cooling rate from the maximum reached temperature of T = 700 K is of T τ D ~ T T 0   τ D ~ 400 4.87 × 10 12   K s 1 ~8.2 × 1013 K s−1. For such a high quenching rate, the solid will retain at 300 K the thermal vacancies formed at high temperature. The formation energy of the Li vacancy (VLi) is Ef = 0.74 ± 0.04 eV at T = 680 K [42]. Recent DFT calculations yield consistent values of Ef ~1 eV for VLi and Ef ~4 eV for VF for an expected Fermi energy of EF ~6 eV [43]. This means that Li vacancies will be preferentially generated by this thermal process after quenching. A rough estimation of the VLi concentration for Ef = 0.7 eV is V L i = e E f k B T ~6.2 × 10−4 for T = Tm and V L i ~9.2 × 10−6 for T = 700 K. This can contribute to the observed swelling [18] deriving from point-defect build up, even though LiF is not amorphized. Although this is not the classical interpretation of radiation damage by electronic excitations in wide band-gap insulators, the present analysis shows that the contribution to the radiation damage of the hot ionized atoms cannot be overlooked. A graphical model of the Coulomb spike model is displayed in Figure 9.

5. Conclusions

The radiation damage in LiF and SiO2 by 1.0 MeV u−1 28Ni and 36Kr ions for about the same electronic stopping power of ~10 keV nm−1 was modeled by using a novel Coulomb spike concept. Our methodology was developed to help understand the radiation damage induced by fission fragments in nuclear fuels. The ionization of constituent atoms of the target was calculated on an event-by-event basis using the ITSART computer code for the track-structure calculation model of radiation transport code PHITS. Based on the coordinates of the calculated ionizations, the electrostatic energy between ions was calculated offline. The atomic collisions’ cascades induced by these ions of about 500 eV in kinetic energy were then simulated with the SRIM2013 code. It is found that the major part of energy (80%) is deposited in phonons in a small volume due to the subthreshold events that are unable to induce atomic displacements by nuclear collisions. As a result, the elastic thermal spike induced by the Si and O ions leads to the melting of SiO2 in a small volume, whereas melting is not reached in LiF by the lighter Li and F ions. The subsequent fast cooling of the molten pockets likely leads to small amorphous silica zones embedded in crystalline SiO2 quartz.

Author Contributions

Conceptualization, data treatment, writing and editing: J.-M.C.; computation, data treatment, writing and editing: T.O. All authors have read and agreed to the published version of the manuscript.

Funding

This research was funded by the cross-cutting basic research program (RTA program) of the CEA energy division and partially funded by JSPS (Japan Society for Promotion of Sciences) KAKENHI grant number 23K04635.

Data Availability Statement

Data can be available from the authors.

Conflicts of Interest

The authors declare no conflicts of interest.

References

  1. Matzke, H. Radiation Effects in Nuclear Fuels Matzke, H. In Radiation Effects in Solids; Sickafus, K.E., Kotomin, E.A., Uberuaga, B.P., Eds.; NATO Science Series; Springer: Berlin/Heidelberg, Germany, 2007; Volume 235, p. 401. [Google Scholar]
  2. Burghartz, M.; Matzke, H.; Léger, C.; Vambenepe, G. Rome, Inert matrices for the transmutation of actinides: Fabrication, thermal properties and radiation stability of ceramic materials. J. Alloy Compd. 1998, 271–273, 544–548. [Google Scholar] [CrossRef]
  3. Schwank, J.R.; Ferlet-Cavrois, V.; Shaneyfelt, M.R.; Paillet, P.; Dodd, P.E. Radiation effects in SOI technologies. IEEE Trans. Nucl. Sci. 2003, 50, 522. [Google Scholar] [CrossRef]
  4. Toulemonde, M. Experimental phenomena and thermal spike model description of ion tracks in amorphisable inorganic insulators. Mat. Fys. Medd. 2006, 52, 263. [Google Scholar]
  5. Kelly, R.; Miotello, A. On the mechanisms of target modification by ion beams and laser pulses. Nucl. Instr. Meth. B 1997, 122, 374–400. [Google Scholar] [CrossRef]
  6. Haglund, R.F.; Kelly, R. Electronic processes in sputtering by laser beams. Mat. Fys. Medd. 1992, 43, 527. [Google Scholar]
  7. Rethfeld, B.; Brenk, O.; Medvedev, N.; Krutsch, H.; Hoffmann, D.H.H. Interaction of dielectrics with femtosecond laser pulses: Application of kinetic approach and multiple rate equation. Appl. Phys. A 2010, 101, 19–25. [Google Scholar] [CrossRef]
  8. Volkov, A.E.; Borodin, V.A. Heating of metals in swift heavy ion tracks by electron–ion energy exchange. Nucl. Instrum. Methods Phys. Res. Sect. B Beam Interact. Mater. At. 1998, 146, 137–141. [Google Scholar] [CrossRef]
  9. Rymzhanov, R.A.; Gorbunov, S.A.; Medvedev, N.; Volkov, A.E. Damage along swift heavy ion trajectory. Nucl. Instr. Meth. B 2019, 440, 25. [Google Scholar] [CrossRef]
  10. Murphy, S.T.; Daraszewicz, S.L.; Giret, Y.; Watkins, M.; Shluger, A.L.; Tanimura, K.; Duffy, D.M. Dynamical simulations of an electronically induced solid-solid phase transformation in tungsten. Phys. Rev. B 2015, 92, 134110. [Google Scholar] [CrossRef]
  11. Khara, G.S.; Murphy, S.T.; Duffy, D.M. Dislocation loop formation by swift heavy ion irradiation of metals. J. Phys. Condens. Matter 2017, 29, 285303. [Google Scholar] [CrossRef]
  12. Fleischer, R.L.; Price, P.B.; Walker, R.M. Ion Explosion Spike Mechanism for Formation of Charged-Particle Tracks in Solids. J. Appl. Phys. 1965, 36, 3645. [Google Scholar] [CrossRef]
  13. Lesueur, D.; Dunlop, A. Damage creation via electronic excitations in metallic targets part II: A theoretical model. Radiat. Eff. Defects Solids 1993, 126, 163–172. [Google Scholar] [CrossRef]
  14. Dammak, H.; Dunlop, A.; Lesueur, D. Phase transformation induced by swift heavy ion irradiation of pure metals. Nucl. Instrum. Methods Phys. Res. Sect. B Beam Interact. Mater. At. 1996, 107, 204–211. [Google Scholar] [CrossRef]
  15. Meftah, A.; Brisard, F.; Costantini, J.M.; Dooryhee, E.; Hage-Ali, M.; Hervieu, M.; Stoquert, J.P.; Studer, F.; Toulemonde, M. Track formation in SiO2 quartz and the thermal-spike mechanism. Phys. Rev. B 1994, 49, 12457. [Google Scholar] [CrossRef] [PubMed]
  16. Toulemonde, M.; Costantini, J.M.; Dufour, C.; Meftah, A.; Paumier, E.; Studer, F. Track creation in SiO2 and BaFe12O19 by swift heavy ions: A thermal spike description. Nucl. Instrum. Methods Phys. Res. Sect. B Beam Interact. Mater. At. 1996, 116, 37–42. [Google Scholar] [CrossRef]
  17. Trautmann, C.; Schwartz, K.; Costantini, J.M.; Steckenreiter, T.; Toulemonde, M. Radiation defects in lithium fluoride induced by heavy ions. Nucl. Instrum. Methods Phys. Res. Sect. B Beam Interact. Mater. At. 1998, 146, 367. [Google Scholar] [CrossRef][Green Version]
  18. Trautmann, C.; Toulemonde, M.; Schwartz, K.; Costantini, J.M.; Müller, A. Damage structure in the ionic crystal LiF irradiated with swift heavy ions. Nucl. Instrum. Methods Phys. Res. Sect. B Beam Interact. Mater. At. 2000, 164–165, 365. [Google Scholar] [CrossRef]
  19. Itoh, N.; Stoneham, A.M. Excitonic model of track registration of energetic heavy ions in insulators. Nucl. Instrum. Methods Phys. Res. Sect. B Beam Interact. Mater. At. 1998, 146, 362. [Google Scholar] [CrossRef]
  20. Costantini, J.M.; Ogawa, T. Coulomb Spike Modelling of Ion Sputtering of Amorphous Water Ice. Quantum Beam Sci. 2023, 7, 7. [Google Scholar] [CrossRef]
  21. Schiwietz, G.G.; Grande, P.L. Introducing electron capture into the unitary-convolution-approximation energy-loss theory at low velocities. Phys. Rev. A 2011, 84, 052703. [Google Scholar] [CrossRef]
  22. Ogawa, T.; Hirata, Y.; Matsuya, Y.; Kai, T. Development and validation of proton track-structure model applicable to arbitrary materials. Sci. Rep. 2021, 11, 24401. [Google Scholar] [CrossRef]
  23. Sato, T.; Iwamoto, Y.; Hashimoto, S.; Ogawa, T.; Furuta, T.; Abe, S.; Kai, T.; Matsuya, Y.; Matsuda, N.; Hirata, Y.; et al. Recent improvements of the Particle and Heavy Ion Transport code System—PHITS version 3.33. J. Nucl. Sci. Technol. 2023, 61, 127–135. [Google Scholar] [CrossRef]
  24. Hirata, Y.; Kai, T.; Ogawa, T.; Matsuya, Y.; Sato, T. Development of an electron track-structure mode for arbitrary semiconductor materials in PHITS. Jpn. J. Appl. Phys. 2023, 62, 106001. [Google Scholar] [CrossRef]
  25. Kobetich, E.J.; Katz, R. Energy Deposition by Electron Beams and δ Rays. Phys. Rev. 1968, 170, 391. [Google Scholar] [CrossRef]
  26. Pauly, N.; Tougaard, S. Determination of the surface excitation parameter for oxides: TiO2, SiO2, ZrO2, and Al2O3. Surf. Sci. 2008, 602, 1974–1978. [Google Scholar] [CrossRef]
  27. Raether, H. Excitation of Plasmons and Interband Transitions by Electrons; Springer Tracts in Physics; Springer: Berlin/Heidelberg, Germany, 1979; Volume 88, p. 61. [Google Scholar]
  28. Fink, J. Recent Developments in Energy-Loss Spectroscopy. Adv. Electron. Electron Phys. 1989, 75, 121. [Google Scholar]
  29. Ziegler, J.F.; Ziegler, M.D.; Biersack, J.P. SRIM—The stopping and range of ions in matter. Nucl. Instrum. Methods Phys. Res. Sect. B Beam Interact. Mater. At. 2010, 268, 1818. [Google Scholar] [CrossRef]
  30. Costantini, J.M.; Ribis, J. Transmission electron microscopy study of extended defect evolution and amorphization in SiC under Si ion irradiation. J. Am. Ceram. Soc. 2020, 104, 1863–1873. [Google Scholar] [CrossRef]
  31. Sigmund, P. Energy density and time constant of heavy-ion-induced elastic-collision spikes in solids. Appl. Phys. Lett. 1974, 25, 169. [Google Scholar] [CrossRef]
  32. Alig, R.C.; Bloom, S. Electron-Hole-Pair Creation Energies in Semiconductors. Phys. Rev. Lett. 1975, 35, 1522–1525. [Google Scholar] [CrossRef]
  33. Itoh, N.; Stoneham, A.M. Materials modification by electronic excitation. Radiat. Eff. Defects Solids 2001, 155, 277. [Google Scholar] [CrossRef][Green Version]
  34. Chase, M.W., Jr. NIST-JANAF Thermochemical Tables, 4th ed.; The American Chemical Society and the American Institute of Physics for the National Institute of Standards and Technology: New York, NY, USA, 1998. [Google Scholar]
  35. Dayal, B. Lattice spectrum, specific heat, and thermal expansion of lithium and sodium fluorides. Proc. Indian Acad. Sci.-Sect. A 1944, 20, 138–144. [Google Scholar] [CrossRef]
  36. Richet, P.; Bottinga, Y.; Denielou, L.; Petitet, J.P.; Tequi, C. Thermodynamic properties of quartz, cristobalite and amorphous SiO2: Drop calorimetry measurements between 1000 and 1800 K and a review from 0 to 2000 K. Geochim. Et Cosmochim. Acta 1982, 46, 2639. [Google Scholar] [CrossRef]
  37. Shi, Y.; Chen, X.; Sun, C.; Xia, X.-L. Temperature-Dependent Thermal Conductivity and Absorption Coefficient Identification of Quartz Window up to 1100 K. J. Therm. Sci. 2022, 32, 44–58. [Google Scholar] [CrossRef]
  38. Setsuhara, Y.; Kamiya, T.; Yamaura, S. (Eds.) Novel Structured Metallic and Inorganic Materials; Springer: Singapore, 2019. [Google Scholar]
  39. Oishi, J.; Kimura, T. Thermal Expansion of Fused Quartz. Metrologia 1969, 5, 50–55. [Google Scholar] [CrossRef]
  40. Combes, L.S.; Ballard, S.S.; McCarthy, K.A. Mechanical and Thermal Properties of Certain Optical Crystalline Materials. J. Opt. Soc. Am. 1951, 41, 215–221. [Google Scholar] [CrossRef]
  41. Liang, T.; Chen, W.-Q.; Hu, C.-E.; Chen, X.-R.; Chen, Q.-F. Lattice dynamics and thermal conductivity of lithium fluoride via first-principles calculations. Solid State Commun. 2018, 272, 28–32. [Google Scholar] [CrossRef]
  42. Spencer, O.S.; Plint, C.A. Formation Energy of Individual Cation Vacancies in LiF and NaCl. J. Appl. Phys. 1969, 40, 168–172. [Google Scholar] [CrossRef]
  43. Yildirim, H.; Kinaci, A.; Chan, M.K.Y.; Greeley, J. First-Principles Analysis of Defect Thermodynamics and Ion Transport in Inorganic SEI Compounds: LiF and NaF. ACS Appl. Mater. Interfaces 2015, 7, 18985–18996. [Google Scholar] [CrossRef]
Figure 1. Radial distributions of the ejected electrons (δ-rays) in LiF (solid lines) and SiO2 (dotted lines) targets under 1.0-MeV u−1 Kr and 1.0-MeV u−1 Ni ion irradiations. The dashed line corresponds to the quadratic dependence (r−2) on the radial distance (r).
Figure 1. Radial distributions of the ejected electrons (δ-rays) in LiF (solid lines) and SiO2 (dotted lines) targets under 1.0-MeV u−1 Kr and 1.0-MeV u−1 Ni ion irradiations. The dashed line corresponds to the quadratic dependence (r−2) on the radial distance (r).
Qubs 08 00020 g001
Figure 2. Time scale of interactions of ions in matter.
Figure 2. Time scale of interactions of ions in matter.
Qubs 08 00020 g002
Figure 3. The 3D distributions of cations computed for Kr ions in LiF (a) and in SiO2 (c), Ni ions in LiF (b), and SiO2 (d). The denser points correspond to the ionizations induced along the ion trajectories and discrete points correspond to ionization events arising from secondary electrons or photons. Length scales are in cm.
Figure 3. The 3D distributions of cations computed for Kr ions in LiF (a) and in SiO2 (c), Ni ions in LiF (b), and SiO2 (d). The denser points correspond to the ionizations induced along the ion trajectories and discrete points correspond to ionization events arising from secondary electrons or photons. Length scales are in cm.
Qubs 08 00020 g003aQubs 08 00020 g003b
Figure 4. Histogram (black curve) of the electrostatic energy distribution of Li and F ions induced by 60 MeV Ni ions in LiF fitted with three Gaussian profiles (red curve). A Maxwellian distribution (blue curve) peaked at the maximum electrostatic energy is also shown.
Figure 4. Histogram (black curve) of the electrostatic energy distribution of Li and F ions induced by 60 MeV Ni ions in LiF fitted with three Gaussian profiles (red curve). A Maxwellian distribution (blue curve) peaked at the maximum electrostatic energy is also shown.
Qubs 08 00020 g004
Figure 5. Histogram (black curve) of the electrostatic energy distribution of Li and F ions induced by 84 MeV Kr ions in LiF fitted with two Gaussian profiles (red curve). A Maxwellian distribution (blue curve) peaked at the maximum electrostatic energy is also shown.
Figure 5. Histogram (black curve) of the electrostatic energy distribution of Li and F ions induced by 84 MeV Kr ions in LiF fitted with two Gaussian profiles (red curve). A Maxwellian distribution (blue curve) peaked at the maximum electrostatic energy is also shown.
Qubs 08 00020 g005
Figure 6. Histogram (black curve) of the electrostatic energy distribution of Si and O ions induced by 60 MeV Ni ions in SiO2 fitted with two Gaussian profiles (red curve). A Maxwellian distribution (blue curve) peaked at the maximum electrostatic energy is also shown.
Figure 6. Histogram (black curve) of the electrostatic energy distribution of Si and O ions induced by 60 MeV Ni ions in SiO2 fitted with two Gaussian profiles (red curve). A Maxwellian distribution (blue curve) peaked at the maximum electrostatic energy is also shown.
Qubs 08 00020 g006
Figure 7. Histogram (black curve) of the electrostatic energy distribution of Si and O ions induced by 84 MeV Kr ions in SiO2 fitted with two Gaussian profiles (red curve). A Maxwellian distribution (blue curve) peaked at the maximum electrostatic energy is also shown.
Figure 7. Histogram (black curve) of the electrostatic energy distribution of Si and O ions induced by 84 MeV Kr ions in SiO2 fitted with two Gaussian profiles (red curve). A Maxwellian distribution (blue curve) peaked at the maximum electrostatic energy is also shown.
Qubs 08 00020 g007
Figure 8. Specific heat at constant pressure (Cp, left scale) and standard enthalpy difference (∆H, right scale) for LiF (solid lines) and SiO2 (dashed lines) as a function of temperature computed after [34].
Figure 8. Specific heat at constant pressure (Cp, left scale) and standard enthalpy difference (∆H, right scale) for LiF (solid lines) and SiO2 (dashed lines) as a function of temperature computed after [34].
Qubs 08 00020 g008
Figure 9. Graphical model of the Coulomb spike model as a function of time. The time evolves from number 1 to 7.
Figure 9. Graphical model of the Coulomb spike model as a function of time. The time evolves from number 1 to 7.
Qubs 08 00020 g009
Table 2. Fitted Gaussian profiles of the energy distributions of ionized atoms computed with the PHITS code [23].
Table 2. Fitted Gaussian profiles of the energy distributions of ionized atoms computed with the PHITS code [23].
TargetIonCenter
(eV)
Standard Deviation
(eV)
Center
(eV)
Standard Deviation
(eV)
Center
(eV)
Standard Deviation
(eV)
LiFNi1808045010061075
Kr1808048010065045
SiO2Ni5504062040
Kr3505045560
Table 3. Results of the quick damage simulations of ion irradiations computed with the SRIM2013 code [29].
Table 3. Results of the quick damage simulations of ion irradiations computed with the SRIM2013 code [29].
TargetIonPrimaries
Ionization
(%)
Vacancies
(%)
Phonons
(%)
Recoils
Ionization
(%)
Vacancies
(%)
Phonons
(%)
LiFLi10.21.81911.40.657
F5.11.916.613.10.862.5
Ni99.73/0.010.17/0.09
Kr99.60/0.010.26/0.11
SiO2Si7.61.912.112.51.464.5
O10.31.813.011.81.2561.8
Ni99.66/0.010.200.010.12
Kr99.55/0.010.280.010.16
Disclaimer/Publisher’s Note: The statements, opinions and data contained in all publications are solely those of the individual author(s) and contributor(s) and not of MDPI and/or the editor(s). MDPI and/or the editor(s) disclaim responsibility for any injury to people or property resulting from any ideas, methods, instructions or products referred to in the content.

Share and Cite

MDPI and ACS Style

Costantini, J.-M.; Ogawa, T. Coulomb Spike Model of Radiation Damage in Wide Band-Gap Insulators. Quantum Beam Sci. 2024, 8, 20. https://doi.org/10.3390/qubs8030020

AMA Style

Costantini J-M, Ogawa T. Coulomb Spike Model of Radiation Damage in Wide Band-Gap Insulators. Quantum Beam Science. 2024; 8(3):20. https://doi.org/10.3390/qubs8030020

Chicago/Turabian Style

Costantini, Jean-Marc, and Tatsuhiko Ogawa. 2024. "Coulomb Spike Model of Radiation Damage in Wide Band-Gap Insulators" Quantum Beam Science 8, no. 3: 20. https://doi.org/10.3390/qubs8030020

APA Style

Costantini, J.-M., & Ogawa, T. (2024). Coulomb Spike Model of Radiation Damage in Wide Band-Gap Insulators. Quantum Beam Science, 8(3), 20. https://doi.org/10.3390/qubs8030020

Article Metrics

Back to TopTop