Time-Dependent Density Functional Theory for Atomic Collisions: A Progress Report
Abstract
1. Introduction
2. Theoretical Considerations
2.1. TDDFT Foundations
2.2. Approximate TDKS Potentials
2.3. Observables of Interest in Ion–Atom Collision Systems
2.3.1. Explicit Exact Density Functionals
2.3.2. Approximate Functionals at the IEM Level
2.3.3. The Correlation Integral for the Two-Electron Problem
3. Discussion of Selected Results
3.1. Projectile Energy Loss and Net Removal, Capture, and Ionization Cross-Sections


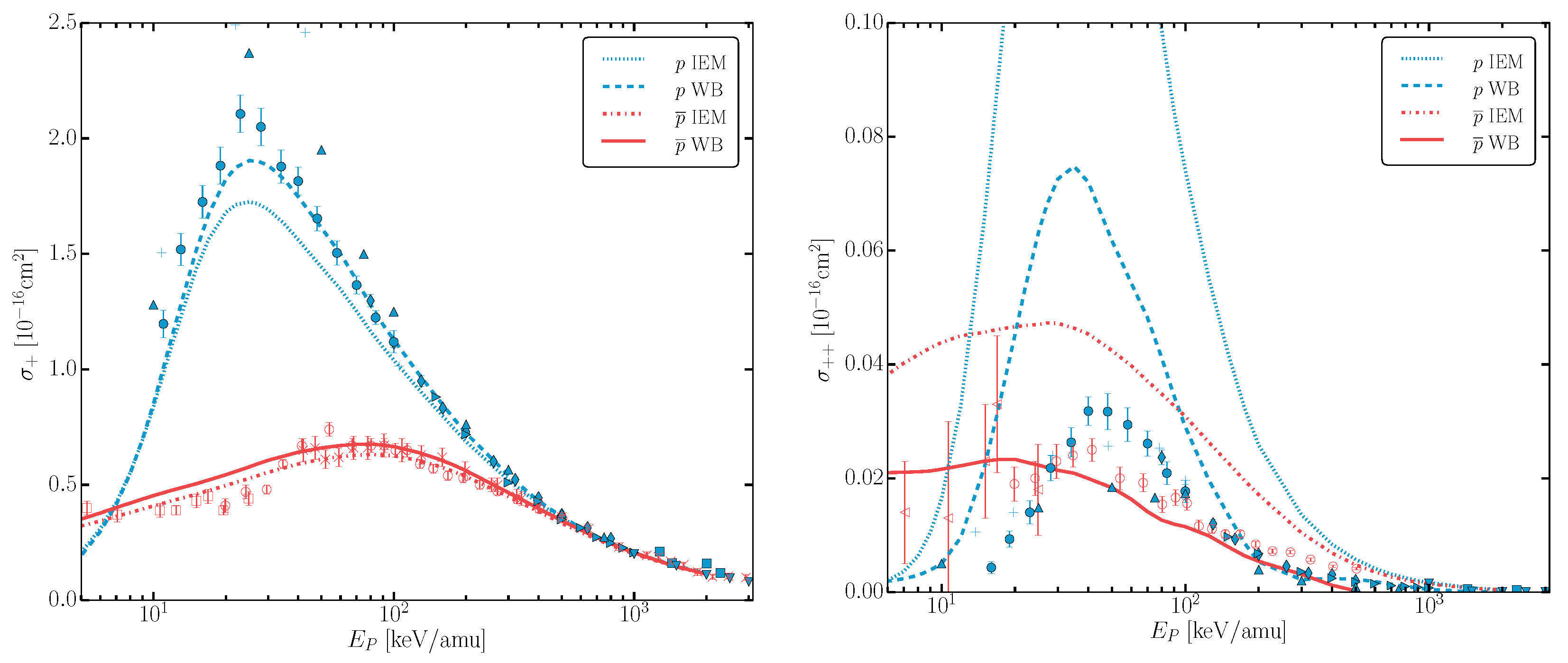
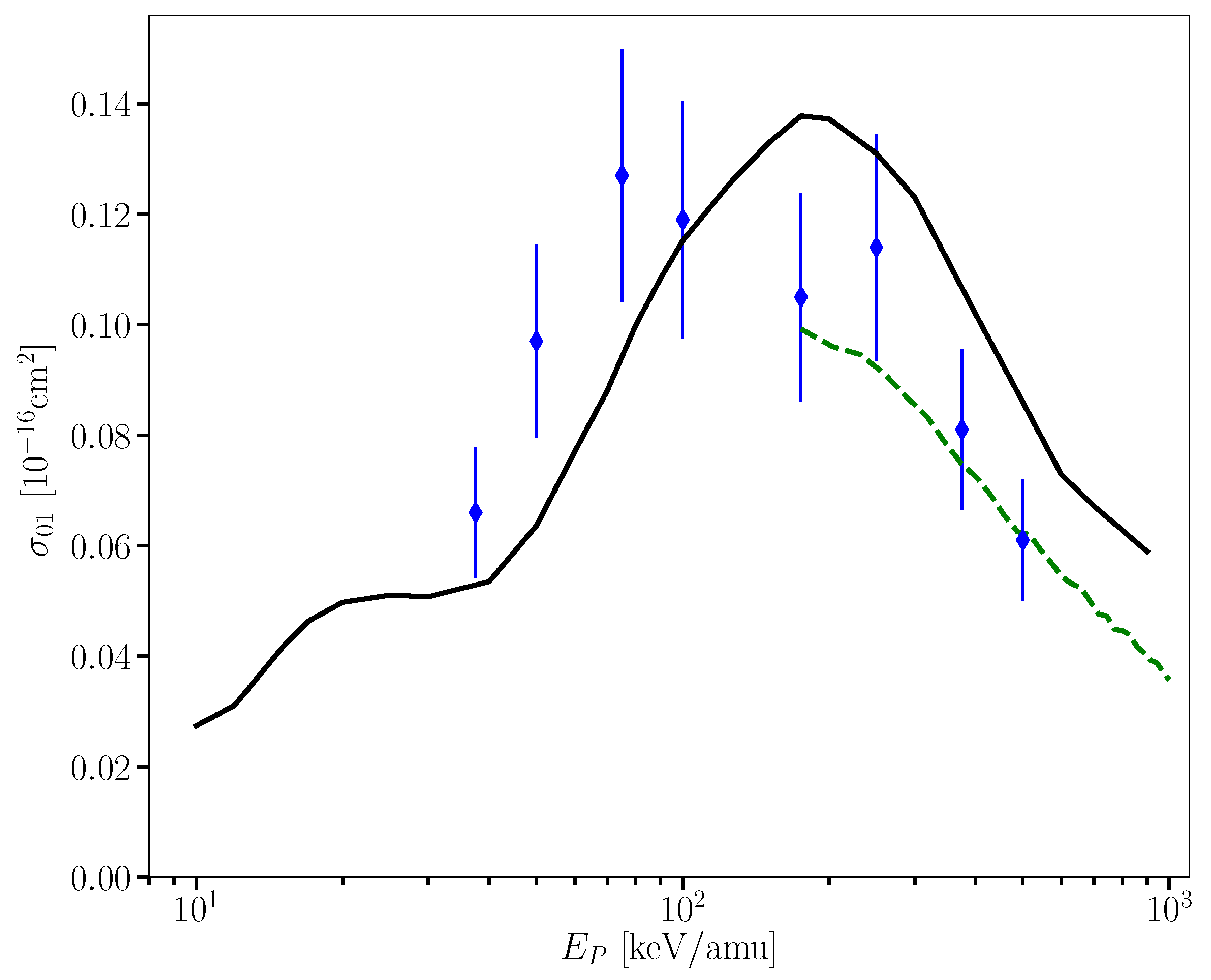
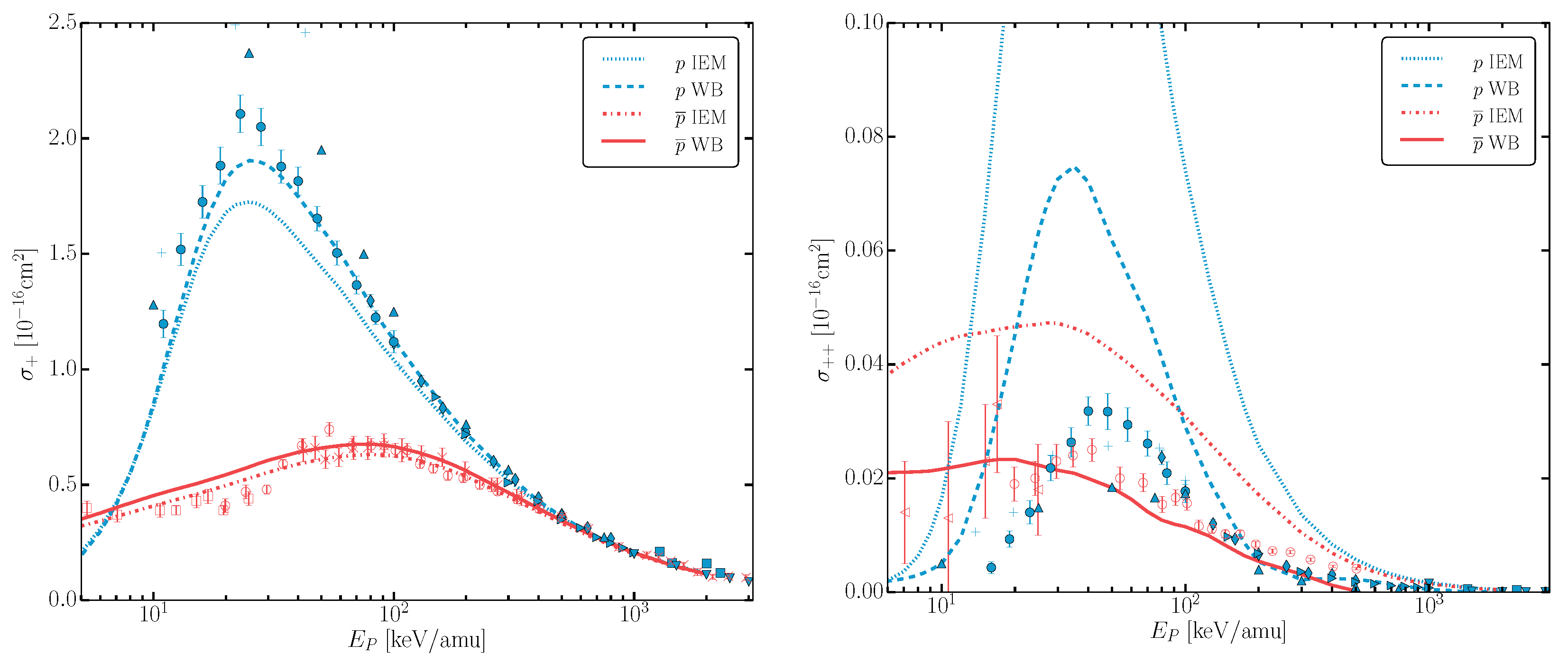
3.2. Single-Electron and Double-Electron Processes in Collisions Involving Helium Atoms
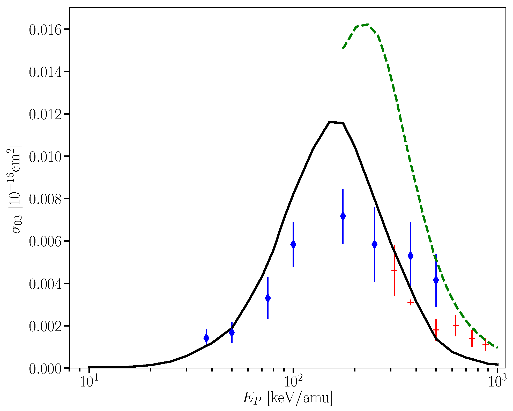
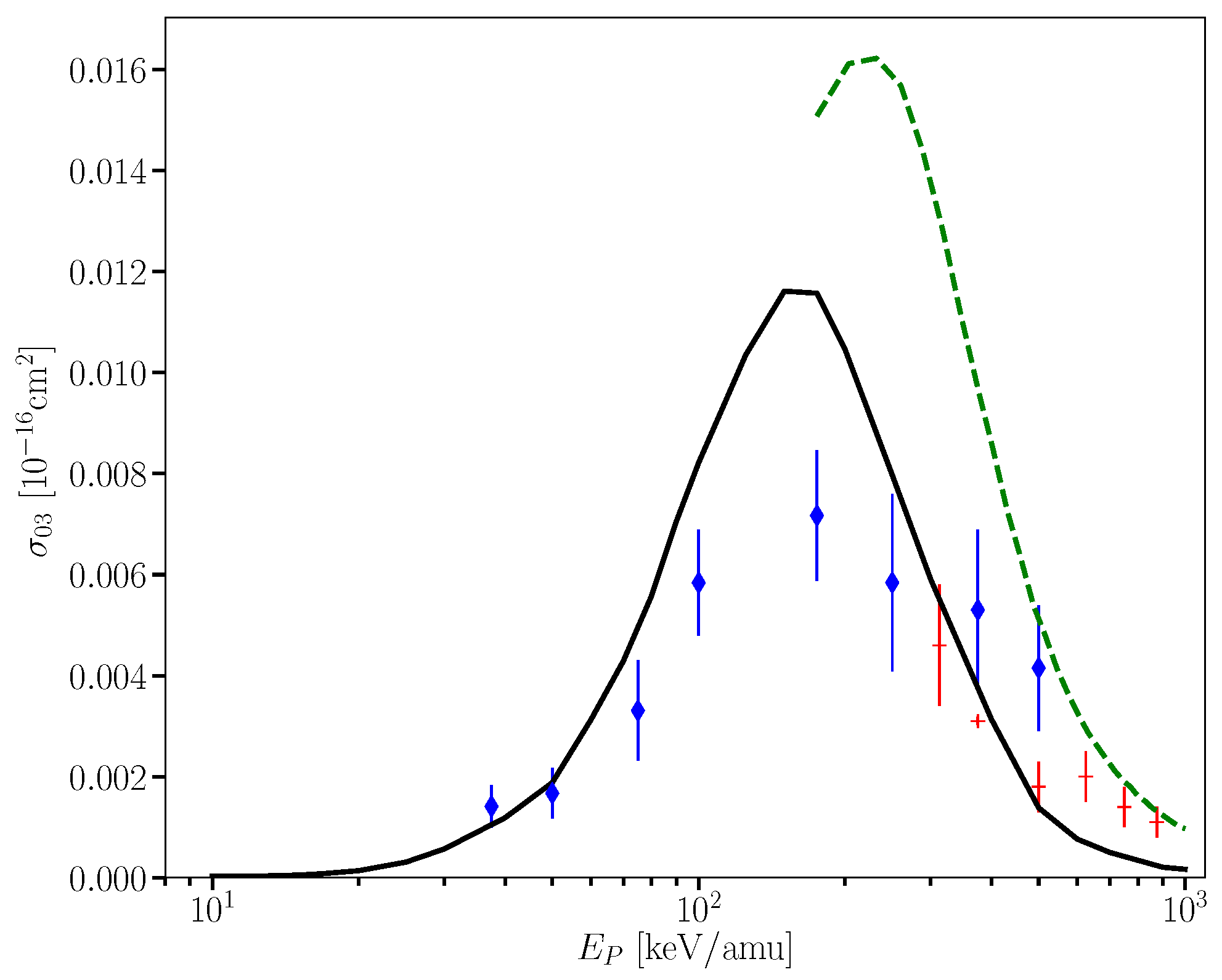
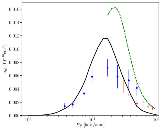
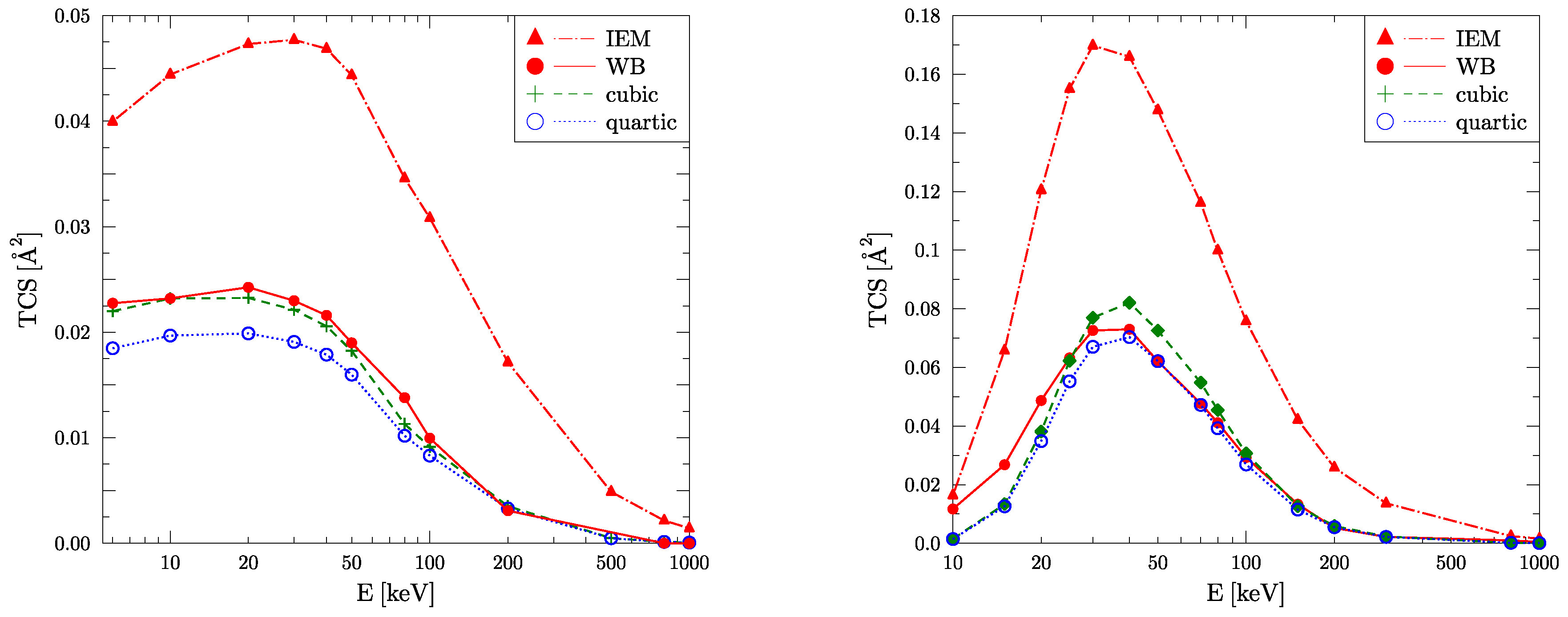
3.3. Multiple Electron Processes in Collisions Involving Neon Atoms
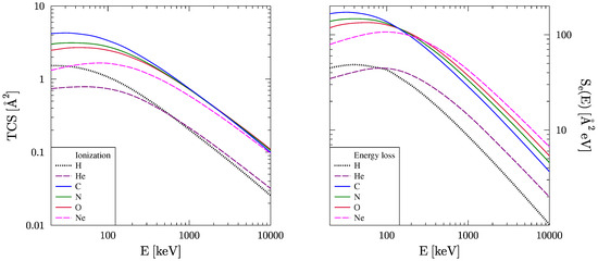
3.4. Collision Systems with Electrons on Both Centers
4. Conclusions and Outlook
Funding
Conflicts of Interest
Abbreviations
| ALDA | Adiabatic Local Density Approximation |
| BGM | Basis Generator Method |
| CCC | Convergent Close Coupling |
| DFT | Density Functional Theory |
| IEM | Independent Electron Model |
| KLI | Krieger–Li–Iafrate |
| OPM | Optimized Potential Method |
| pETF | partial Electron Translation Factor |
| SC-CCC | Semiclassical Convergent Close Coupling |
| TDDFT | Time-Dependent Density Functional Theory |
| TDHF | Time-Dependent Hartree–Fock |
| TDKS | Time-Dependent Kohn–Sham |
| TDSE | Time-Dependent Schrödinger Equation |
| WB | Wilken–Bauer |
| 1 | One actually needs the so-called van Leeuwen theorem to ensure that it is possible to replace the interacting system with a fictitious noninteracting system that reproduces the exact density [18]. |
| 2 | The energy loss contributions from projectile–nucleus target–nucleus scattering are known to be relatively small at sufficiently high collision energies; see the discussion in [27]. |
| 3 | |
| 4 | turn out to be weaker conditions in this representation, i.e., they do not play a role in determining the allowed area. |
References
- Runge, E.; Gross, E.K.U. Density-Functional Theory for Time-Dependent Systems. Phys. Rev. Lett. 1984, 52, 997. [Google Scholar] [CrossRef]
- Kirchner, T.; Gulyás, L.; Lüdde, H.J.; Engel, E.; Dreizler, R.M. Influence of electronic exchange on single and multiple processes in collisions between bare ions and noble-gas atoms. Phys. Rev. A 1998, 58, 2063. [Google Scholar] [CrossRef]
- Saalmann, U.; Schmidt, R. Excitation and Relaxation in Atom-Cluster Collisions. Phys. Rev. Lett. 1998, 80, 3213–3216. [Google Scholar] [CrossRef]
- Yabana, K.; Tazawa, T.; Abe, Y.; Bożek, P. Time-dependent mean-field description for multiple electron transfer in slow ion-cluster collisions. Phys. Rev. A 1998, 57, R3165–R3168. [Google Scholar] [CrossRef]
- Nagano, R.; Yabana, K.; Tazawa, T.; Abe, Y. Application of the time-dependent local density approximation to collision between a highly charged ion and an atom. J. Phys. B At. Mol. Opt. Phys. 1999, 32, L65. [Google Scholar] [CrossRef]
- Ullrich, C.A.; Gossmann, U.J.; Gross, E.K.U. Density-Functional Approach to Atoms in Strong Laser Pulses. Berichte Der Bunsenges. Für Phys. Chem. 1995, 99, 488–497. [Google Scholar] [CrossRef]
- Ullrich, C.A.; Erhard, S.; Gross, E.K.U. Density-functional approach to atoms in strong laser pulses. In Super Intense Laser Atom Physics IV; Muller, H.G., Fedorov, M.V., Eds.; Kluwer: Dordrecht, The Netherlands, 1996; pp. 267–284. [Google Scholar]
- Ullrich, C.A.; Gross, E.K.U. Many-Electron Atoms in Strong Femtosecond Laser Pulses: A Density-Functional Study. Comments At. Mol. Phys. 1997, 33, 211–236. [Google Scholar]
- Tong, X.M.; Chu, S.I. Time-dependent density-functional theory for strong-field multiphoton processes: Application to the study of the role of dynamical electron correlation in multiple high-order harmonic generation. Phys. Rev. A 1998, 57, 452–461. [Google Scholar] [CrossRef]
- Hill, C.; Dipti; Heinola, K.; Dubois, A.; Sisourat, N.; Taoutioui, A.; Agueny, H.; Tőkési, K.; Ziaeian, I.; Illescas, C.; et al. Atomic collisional data for neutral beam modeling in fusion plasmas. Nucl. Fusion 2023, 63, 125001. [Google Scholar] [CrossRef]
- Ullrich, J.; Shevelko, V.P. (Eds.) Many-Particle Quantum Dynamics in Atomic and Molecular Fragmentation; Springer Series on Atomic, Optical, and Plasma Physics; Springer: Berlin/Heidelberg, Germany, 2003; Volume 35. [Google Scholar] [CrossRef]
- Marques, M.A.L.; Maitra, N.T.; Nogueira, F.M.S.; Gross, E.K.U.; Rubio, A. (Eds.) Fundamentals of Time-Dependent Density Functional Theory; Lecture Notes in Physics; Springer: Berlin/Heidelberg, Germany, 2012; Volume 837. [Google Scholar] [CrossRef]
- Ullrich, C.A. Time-Dependent Density-Functional Theory: Concepts and Applications; Oxford University Press: Oxford, UK, 2012. [Google Scholar] [CrossRef]
- Marques, M.A.L.; Gross, E.K.U. Time-Dependent Density Functional Theory. Annu. Rev. Phys. Chem. 2004, 55, 427. [Google Scholar] [CrossRef]
- Sisourat, N.; Dubois, A. Semiclassical close-coupling approaches. In Ion-Atom Collisions: The Few-Body Problem in Dynamic Systems; Schulz, M., Ed.; De Gruyter: Berlin, Germany, 2019; pp. 157–178. [Google Scholar] [CrossRef]
- Laoutaris, A.; Nanos, S.; Biniskos, A.; Passalidis, S.; Benis, E.P.; Dubois, A.; Zouros, T.J.M. Projectile excitation to autoionizing states in swift collisions of open-shell He-like ions with helium. Phys. Rev. A 2024, 109, 032825. [Google Scholar] [CrossRef]
- Kirchner, T.; Ford, A.L.; Reading, J.F. Ion-Atom and Atom-Atom Collisions. In Springer Handbook of Atomic, Molecular, and Optical Physics; Drake, G.W.F., Ed.; Springer: Cham, Switzerland, 2023; pp. 785–794. [Google Scholar] [CrossRef]
- van Leeuwen, R. Mapping from Densities to Potentials in Time-Dependent Density-Functional Theory. Phys. Rev. Lett. 1999, 82, 3863. [Google Scholar] [CrossRef]
- Engel, E. Orbital-Dependent Functionals for the Exchange-Correlation Energy: A Third Generation of Density Functionals. In A Primer in Density Functional Theory; Fiolhais, C., Nogueira, F., Marques, M.A.L., Eds.; Springer: Berlin/Heidelberg, Germany, 2003; pp. 56–122. [Google Scholar] [CrossRef]
- Kümmel, S.; Kronik, L. Orbital-dependent density functionals: Theory and applications. Rev. Mod. Phys. 2008, 80, 3–60. [Google Scholar] [CrossRef]
- Ullrich, C.A.; Gossmann, U.J.; Gross, E.K.U. Time-Dependent Optimized Effective Potential. Phys. Rev. Lett. 1995, 74, 872–875. [Google Scholar] [CrossRef]
- Krieger, J.; Li, Y.; Iafrate, G. Derivation and application of an accurate Kohn-Sham potential with integer discontinuity. Phys. Lett. A 1990, 146, 256–260. [Google Scholar] [CrossRef]
- de Faria, J.C.; Santiago, J.; Francis, Z.; Bernal, M.A. Time-Dependent Density-Functional Theory for Determining the Electron-Capture Cross Section for Protons Impacting on Atoms and Molecules. J. Phys. Chem. A 2023, 127, 2453–2459. [Google Scholar] [CrossRef]
- Kirchner, T.; Horbatsch, M.; Lüdde, H.J.; Dreizler, R.M. Time-dependent screening effects in ion-atom collisions with many active electrons. Phys. Rev. A 2000, 62, 042704. [Google Scholar] [CrossRef]
- Kirchner, T.; Horbatsch, M.; Lüdde, H.J. Nonperturbative calculation of charge-changing processes in C4+ scattering from neon atoms. Phys. Rev. A 2001, 64, 012711. [Google Scholar] [CrossRef]
- Baxter, M.; Kirchner, T.; Engel, E. Time-dependent spin-density-functional-theory description of He+-He collisions. Phys. Rev. A 2017, 96, 032708. [Google Scholar] [CrossRef]
- Lüdde, H.J.; Horbatsch, M.; Kirchner, T. Calculation of energy loss in antiproton collisions with many-electron systems using Ehrenfest’s theorem. Phys. Rev. A 2021, 104, 032813. [Google Scholar] [CrossRef]
- Lüdde, H.J. Time-Dependent Density Functional Theory in Atomic Collisions. In Many-Particle Quantum Dynamics in Atomic and Molecular Fragmentation; Ullrich, J., Shevelko, V.P., Eds.; Springer: Berlin/Heidelberg, Germany, 2003; pp. 205–220. [Google Scholar] [CrossRef]
- Löwdin, P.O. Quantum Theory of Many-Particle Systems. I. Physical Interpretations by Means of Density Matrices, Natural Spin-Orbitals, and Convergence Problems in the Method of Configurational Interaction. Phys. Rev. 1955, 97, 1474–1489. [Google Scholar] [CrossRef]
- Lüdde, H.J.; Horbatsch, M.; Kirchner, T. Independent-atom-model description of multiple ionization of water, methane, and ammonia molecules by proton impact. Phys. Rev. A 2022, 106, 022813. [Google Scholar] [CrossRef]
- Baxter, M.; Kirchner, T. Correlation in time-dependent density-functional-theory studies of antiproton-helium collisions. Phys. Rev. A 2013, 87, 062507. [Google Scholar] [CrossRef]
- Jia, C.C.; Kirchner, T.; Gao, J.W.; Wu, Y.; Wang, J.G.; Sisourat, N. Single- and double-ionization processes of antiproton-helium and antiproton–molecular hydrogen collisions in the keV energy range. Phys. Rev. A 2023, 107, 012808. [Google Scholar] [CrossRef]
- Petersilka, M.; Gross, E.K.U. Strong-field double ionization of helium: A density-functional perspective. Laser Phys. 1999, 9, 105–114. [Google Scholar]
- de Wijn, A.S.; Kümmel, S.; Lein, M. Numerical aspects of real-space approaches to strong-field electron dynamics. J. Comput. Phys. 2007, 226, 89–103. [Google Scholar] [CrossRef]
- Wilken, F.; Bauer, D. Adiabatic Approximation of the Correlation Function in the Density-Functional Treatment of Ionization Processes. Phys. Rev. Lett. 2006, 97, 203001. [Google Scholar] [CrossRef]
- Baxter, M.; Kirchner, T. Time-dependent density-functional-theory studies of collisions involving He atoms: Extension of an adiabatic correlation-integral model. Phys. Rev. A 2016, 93, 012502. [Google Scholar] [CrossRef]
- Wang, F.; Zhang, K.; Mao, F.; Wang, J. Calculation of electron capture probability of energetic protons colliding with rare-gas atoms: A comparison study on four methods. Chem. Phys. 2021, 541, 111035. [Google Scholar] [CrossRef]
- Kroneisen, O.J.; Lüdde, H.J.; Kirchner, T.; Dreizler, R.M. The basis generator method: Optimized dynamical representation of the solution of time-dependent quantum problems. J. Phys. A Math. Gen. 1999, 32, 2141. [Google Scholar] [CrossRef]
- Bailey, J.J.; Kadyrov, A.S.; Abdurakhmanov, I.B.; Fursa, D.V.; Bray, I. Antiproton stopping in atomic targets. Phys. Rev. A 2015, 92, 022707. [Google Scholar] [CrossRef]
- Keim, M.; Achenbach, A.; Lüdde, H.; Kirchner, T. Time-dependent density functional theory calculations for collisions of bare ions with helium. Nucl. Instrum. Methods Phys. Res. Sect. B Beam Interact. Mater. At. 2005, 233, 240–243. [Google Scholar] [CrossRef]
- Zhao, S.; Kang, W.; Xue, J.; Zhang, X.; Zhang, P. H+ (D+, T+)–beryllium collisions studied using time-dependent density functional theory. Phys. Lett. A 2015, 379, 319–326. [Google Scholar] [CrossRef]
- Avendaño-Franco, G.; Piraux, B.; Grüning, M.; Gonze, X. Time-dependent density functional theory study of charge transfer in collisions. Theor. Chem. Acc. 2012, 131, 1289. [Google Scholar] [CrossRef]
- Wang, F.; Yao, Y.; Calvayrac, F.; Zhang, F. Extraction of state-resolved information from systems with a fractional number of electrons within the framework of time-dependent density functional theory. J. Chem. Phys. 2016, 145, 114104. [Google Scholar] [CrossRef]
- Rudd, M.E.; DuBois, R.D.; Toburen, L.H.; Ratcliffe, C.A.; Goffe, T.V. Cross sections for ionization of gases by 5-4000-keV protons and for electron capture by 5-150-keV protons. Phys. Rev. A 1983, 28, 3244–3257. [Google Scholar] [CrossRef]
- Rudd, M.E.; Kim, Y.K.; Madison, D.H.; Gallagher, J.W. Electron production in proton collisions: Total cross sections. Rev. Mod. Phys. 1985, 57, 965–994. [Google Scholar] [CrossRef]
- Rudd, M.E.; Goffe, T.V.; Itoh, A. Ionization cross sections for 10–300-keV/u and electron-capture cross sections for 5–150-keV/u 3He2+ ions in gases. Phys. Rev. A 1985, 32, 2128–2133. [Google Scholar] [CrossRef]
- DuBois, R.D. Ionization and charge transfer in He2+–rare-gas collisions. Phys. Rev. A 1986, 33, 1595–1601. [Google Scholar] [CrossRef]
- DuBois, R.D. Ionization and charge transfer in He2+–rare-gas collisions. II. Phys. Rev. A 1987, 36, 2585–2593. [Google Scholar] [CrossRef]
- Borbély, S.; Feist, J.; Tokési, K.; Nagele, S.; Nagy, L.; Burgdörfer, J. Ionization of helium by slow antiproton impact: Total and differential cross sections. Phys. Rev. A 2014, 90, 052706. [Google Scholar] [CrossRef]
- Barna, I.F.; Pocsai, M.A.; Tőkési, K. Ab Initio Double-Differential Ionization Cross-Section Calculations in Antiproton–Helium Collisions. Atoms 2023, 11, 74. [Google Scholar] [CrossRef]
- DuBois, R.D.; Toburen, L.H.; Rudd, M.E. Multiple ionization of rare gases by H+ and He+ impact. Phys. Rev. A 1984, 29, 70–76. [Google Scholar] [CrossRef]
- Solovev, E.S.; Ilin, R.N.; Oparin, V.A.; Fedorenko, N.V. Ionization of gases by fast hydrogen atoms and by protons. Sov. Phys. JETP-USSR 1962, 15, 459. [Google Scholar]
- Shah, M.B.; McCallion, P.; Gilbody, H.B. Electron capture and ionisation in collisions of slow H+ and He2+ ions with helium. J. Phys. B At. Mol. Opt. Phys. 1989, 22, 3037. [Google Scholar] [CrossRef]
- Shah, M.B.; Gilbody, H.B. Single and double ionisation of helium by H+, He2+ and Li3+ ions. J. Phys. B At. Mol. Phys. 1985, 18, 899. [Google Scholar] [CrossRef]
- Puckett, L.J.; Martin, D.W. Analysis of Recoil He+ and He++ Ions Produced by Fast Protons in Helium Gas. Phys. Rev. A 1970, 1, 1432–1439. [Google Scholar] [CrossRef]
- Wexler, S. Partial Ionization Cross Sections for Noble Gases Bombarded with 0.8–3.75-MeV Protons. J. Chem. Phys. 1964, 41, 1714–1719. [Google Scholar] [CrossRef]
- Knudsen, H.; Andersen, L.H.; Hvelplund, P.; Astner, G.; Cederquist, H.; Danared, H.; Liljeby, L.; Rensfelt, K.G. An experimental investigation of double ionisation of helium atoms in collisions with fast, fully stripped ions. J. Phys. B At. Mol. Phys. 1984, 17, 3545. [Google Scholar] [CrossRef]
- Knudsen, H.; Kristiansen, H.P.E.; Thomsen, H.D.; Uggerhøj, U.I.; Ichioka, T.; Møller, S.P.; Hunniford, C.A.; McCullough, R.W.; Charlton, M.; Kuroda, N.; et al. Ionization of Helium and Argon by Very Slow Antiproton Impact. Phys. Rev. Lett. 2008, 101, 043201. [Google Scholar] [CrossRef]
- Hvelplund, P.; Knudsen, H.; Mikkelsen, U.; Morenzoni, E.; Møller, S.P.; Uggerhøj, E.; Worm, T. Ionization of helium and molecular hydrogen by slow antiprotons. J. Phys. B At. Mol. Opt. Phys. 1994, 27, 925. [Google Scholar] [CrossRef]
- Andersen, L.H.; Hvelplund, P.; Knudsen, H.; Møller, S.P.; Pedersen, J.O.P.; Tang-Petersen, S.; Uggerhøj, E.; Elsener, K.; Morenzoni, E. Single ionization of helium by 40–3000-keV antiprotons. Phys. Rev. A 1990, 41, 6536–6539. [Google Scholar] [CrossRef]
- Hong, X.; Wang, F.; Jiao, Y.; Su, W.; Wang, J.; Gou, B. Theoretical investigation of the electron capture and loss processes in the collisions of He2+ + Ne. J. Chem. Phys. 2013, 139, 084321. [Google Scholar] [CrossRef]
- Wang, F.; Hong, X.; Wang, J.; Kim, K.S. Coordinate space translation technique for simulation of electronic process in the ion–atom collision. J. Chem. Phys. 2011, 134, 154308. [Google Scholar] [CrossRef]
- Wang, F.; Xu, X.; Hong, X.; Wang, J.; Gou, B. A theoretical model for electron transfer in ion–atom collisions: Calculations for the collision of a proton with an argon atom. Phys. Lett. A 2011, 375, 3290–3295. [Google Scholar] [CrossRef]
- Wang, F.; Hong, X.; Wang, J.; Gou, B.; Wang, J. Comparison of three methods for calculation of electron transfer probability in H++Ne. Phys. Lett. A 2012, 376, 469–471. [Google Scholar] [CrossRef]
- Zhang, C.L.; Hong, X.H.; Wang, F.; Wu, Y.; Wang, J.G. Theoretical investigation of He2+-Ar collisions in the energy range of 4–300 keV/amu. Phys. Rev. A 2013, 87, 032711. [Google Scholar] [CrossRef]
- Andrade, X.; Strubbe, D.; De Giovannini, U.; Larsen, A.H.; Oliveira, M.J.T.; Alberdi-Rodriguez, J.; Varas, A.; Theophilou, I.; Helbig, N.; Verstraete, M.J.; et al. Real-space grids and the Octopus code as tools for the development of new simulation approaches for electronic systems. Phys. Chem. Chem. Phys. 2015, 17, 31371–31396. [Google Scholar] [CrossRef]
- Andersen, L.H.; Hvelplund, P.; Knudsen, H.; Møller, S.P.; Sørensen, A.H.; Elsener, K.; Rensfelt, K.G.; Uggerhøj, E. Multiple ionization of He, Ne, and Ar by fast protons and antiprotons. Phys. Rev. A 1987, 36, 3612–3629. [Google Scholar] [CrossRef]
- Schenk, G.; Kirchner, T. Multiple ionization of neon atoms in collisions with bare and dressed ions: A mean-field description considering target response. Phys. Rev. A 2015, 91, 052712. [Google Scholar] [CrossRef]
- Ihani, J.S.; Luna, H.; Wolff, W.; Montenegro, E.C. Multiple ionization of neon induced by Li3+ and C3+ projectiles: Influence of projectile screening in the ionization and electron capture channels. J. Phys. B At. Mol. Opt. Phys. 2013, 46, 115208. [Google Scholar] [CrossRef]
- Schenk, G. On the Role of Projectile Electrons in an Independent Electron Model Description of Dressed-Ion Impact on Atoms. Ph.D. Thesis, York University, Toronto, ON, Canada, 2016. [Google Scholar]
- Schenk, G.; Horbatsch, M.; Kirchner, T. Role of projectile electrons for target-recoil-charge-state production in intermediate-energy B2+-Ne collisions. Phys. Rev. A 2013, 88, 012712. [Google Scholar] [CrossRef]
- Sigaud, G.M.; Montenegro, E.C. Two-center electron-electron correlation within the independent event model. Braz. J. Phys. 2003, 33, 382–391. [Google Scholar] [CrossRef]
- DuBois, R.D. Multiple ionization in He+–rare-gas collisions. Phys. Rev. A 1989, 39, 4440–4450. [Google Scholar] [CrossRef]
- Santos, A.C.F.; Sigaud, G.M.; Melo, W.S.; Sant’Anna, M.M.; Montenegro, E.C. Absolute cross sections for projectile electron loss accompanied by target multiple ionization in collisions of He+ with noble gases. J. Phys. B At. Mol. Opt. Phys. 2011, 44, 045202. [Google Scholar] [CrossRef]
- Qin, S.; Gao, C.Z.; Yu, W.; Qu, Y.Z. Multi-Electron Transfer of Ar+ Colliding with Ne Atoms Based on a Time-Dependent Density-Functional Theory. Chin. Phys. Lett. 2021, 38, 063101. [Google Scholar] [CrossRef]
- Yu, W.; Gao, C.Z.; Sato, S.A.; Castro, A.; Rubio, A.; Wei, B. Single and double charge transfer in the Ne2+ + He collision within time-dependent density-functional theory. Phys. Rev. A 2021, 103, 032816. [Google Scholar] [CrossRef]
- Zhang, H.H.; Yu, W.D.; Gao, C.Z.; Qu, Y.Z. A Time-Dependent-Density-Functional-Theory Study of Charge Transfer Processes of Li2+ Colliding with Ar in the MeV Region. Chin. Phys. Lett. 2023, 40, 043101. [Google Scholar] [CrossRef]
- Lein, M.; Kümmel, S. Exact Time-Dependent Exchange-Correlation Potentials for Strong-Field Electron Dynamics. Phys. Rev. Lett. 2005, 94, 143003. [Google Scholar] [CrossRef]
- Henkel, N.; Keim, M.; Lüdde, H.J.; Kirchner, T. Density-functional-theory investigation of antiproton-helium collisions. Phys. Rev. A 2009, 80, 032704. [Google Scholar] [CrossRef]
- Maitra, N.T. Perspective: Fundamental aspects of time-dependent density functional theory. J. Chem. Phys. 2016, 144, 220901. [Google Scholar] [CrossRef]
- Lacombe, L.; Maitra, N.T. Non-adiabatic approximations in time-dependent density functional theory: Progress and prospects. Npj Comput. Mater. 2023, 9, 124. [Google Scholar] [CrossRef]
- Wang, Z.; Dinh, P.; Reinhard, P.G.; Suraud, E.; Bruny, G.; Montano, C.; Feil, S.; Eden, S.; Abdoul-Carime, H.; Farizon, B.; et al. Microscopic studies of atom–water collisions. Int. J. Mass Spectrom. 2009, 285, 143–148. [Google Scholar] [CrossRef][Green Version]
- Gao, C.Z.; Wang, J.; Wang, F.; Zhang, F.S. Theoretical study on collision dynamics of H+ + CH4 at low energies. J. Chem. Phys. 2014, 140, 054308. [Google Scholar] [CrossRef]
- Hong, X.; Wang, F.; Wu, Y.; Gou, B.; Wang, J. H+ − H2O collisions studied by time-dependent density-functional theory combined with the molecular dynamics method. Phys. Rev. A 2016, 93, 062706. [Google Scholar] [CrossRef]
- Quashie, E.E.; Saha, B.C.; Andrade, X.; Correa, A.A. Self-interaction effects on charge-transfer collisions. Phys. Rev. A 2017, 95, 042517. [Google Scholar] [CrossRef]
- Covington, C.; Hartig, K.; Russakoff, A.; Kulpins, R.; Varga, K. Time-dependent density-functional-theory investigation of the collisions of protons and α particles with uracil and adenine. Phys. Rev. A 2017, 95, 052701. [Google Scholar] [CrossRef]
- Seraide, R.; Bernal, M.A.; Brunetto, G.; de Giovannini, U.; Rubio, A. TDDFT-Based Study on the Proton–DNA Collision. J. Phys. Chem. B 2017, 121, 7276–7283. [Google Scholar] [CrossRef]
- Zhao, R.T.; Zhang, N.; Zhang, F.S. Theoretical study on collision dynamics of H+ + H2O at low energies. Mol. Phys. 2018, 116, 231–241. [Google Scholar] [CrossRef]
- Yu, W.; Gao, C.Z.; Zhang, Y.; Zhang, F.S.; Hutton, R.; Zou, Y.; Wei, B. Collision cross sections of N2 by H+ impact at keV energies within time-dependent density-functional theory. Phys. Rev. A 2018, 97, 032706. [Google Scholar] [CrossRef]
- Yu, W.; Gao, C.Z.; Jiang, T.; Zou, Y.; Wang, J.G.; Wu, Y.; Wei, B. A theoretical study of Ar8+-acetylene collisions at 1.2 MeV: Ionization and dissociation dynamics. J. Chem. Phys. 2019, 150, 124304. [Google Scholar] [CrossRef]
- Wang, Z.; Zhang, F.; Xu, X.; Wang, Y.; Qian, C. Collision dynamics of proton to water dimer at 250 eV. Mod. Phys. Lett. B 2019, 33, 1950257. [Google Scholar] [CrossRef]
- Wang, Z.P.; Zhang, F.S.; Xu, X.F.; Qian, C.Y. Theoretical investigations of collision dynamics of cytosine by low-energy (150–1000 eV) proton impact. Chin. Phys. B 2020, 29, 023401. [Google Scholar] [CrossRef]
- Wang, X.; Wang, Z.P.; Zhang, F.S.; Qian, C.Y. Collision site effect on the radiation dynamics of cytosine induced by proton. Chin. Phys. B 2022, 31, 063401. [Google Scholar] [CrossRef]









Disclaimer/Publisher’s Note: The statements, opinions and data contained in all publications are solely those of the individual author(s) and contributor(s) and not of MDPI and/or the editor(s). MDPI and/or the editor(s) disclaim responsibility for any injury to people or property resulting from any ideas, methods, instructions or products referred to in the content. |
© 2024 by the author. Licensee MDPI, Basel, Switzerland. This article is an open access article distributed under the terms and conditions of the Creative Commons Attribution (CC BY) license (https://creativecommons.org/licenses/by/4.0/).
Share and Cite
Kirchner, T. Time-Dependent Density Functional Theory for Atomic Collisions: A Progress Report. Atoms 2024, 12, 31. https://doi.org/10.3390/atoms12060031
Kirchner T. Time-Dependent Density Functional Theory for Atomic Collisions: A Progress Report. Atoms. 2024; 12(6):31. https://doi.org/10.3390/atoms12060031
Chicago/Turabian StyleKirchner, Tom. 2024. "Time-Dependent Density Functional Theory for Atomic Collisions: A Progress Report" Atoms 12, no. 6: 31. https://doi.org/10.3390/atoms12060031
APA StyleKirchner, T. (2024). Time-Dependent Density Functional Theory for Atomic Collisions: A Progress Report. Atoms, 12(6), 31. https://doi.org/10.3390/atoms12060031

