Sign in to use this feature.

Years

Between: -

Subjects

remove_circle_outline
remove_circle_outline
remove_circle_outline
remove_circle_outline
remove_circle_outline
remove_circle_outline
remove_circle_outline
remove_circle_outline
remove_circle_outline

Journals

remove_circle_outline
remove_circle_outline
remove_circle_outline
remove_circle_outline
remove_circle_outline
remove_circle_outline
remove_circle_outline
remove_circle_outline
remove_circle_outline

Article Types

Countries / Regions

remove_circle_outline
remove_circle_outline
remove_circle_outline
remove_circle_outline

Search Results (615)

Search Parameters:
Keywords = intranasal administration

Order results
Result details
Results per page
Select all
Export citation of selected articles as:
34 pages, 1770 KB  
Review
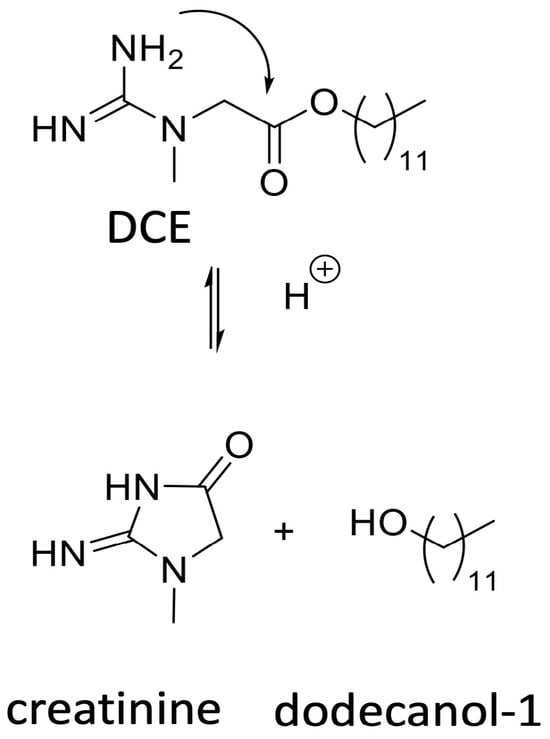
New Insights into Drug Development via the Nose-to-Brain Pathway: Exemplification Through Dodecyl Creatine Ester for Neuronal Disorders
by Henri Benech, Victoria Flament, Clara Lhotellier, Camille Roucairol and Thomas Joudinaud
Pharmaceutics 2026, 18(1), 80; https://doi.org/10.3390/pharmaceutics18010080 - 7 Jan 2026
Abstract
Brain disorders remain a major global health challenge, highlighting the urgent need for innovative therapeutic strategies and efficient drug-delivery approaches. Among alternative routes, intranasal administration has garnered significant interest over recent decades, not only for its systemic delivery but also for its unique [...] Read more.
Brain disorders remain a major global health challenge, highlighting the urgent need for innovative therapeutic strategies and efficient drug-delivery approaches. Among alternative routes, intranasal administration has garnered significant interest over recent decades, not only for its systemic delivery but also for its unique ability to bypass the bloodstream and the blood–brain barrier via the Nose-to-Brain (NtB) pathway. While numerous reviews have explored the opportunities and challenges of this route, industrial considerations—critical for successful clinical implementation and commercial development—remain insufficiently addressed. This review provides a comprehensive and critical assessment of the NtB pathway from a drug development and chemistry, manufacturing, and controls perspective, addressing key constraints in pre-clinical–clinical extrapolation, formulation design, device selection, dose feasibility, chronic safety, and regulatory requirements. We also discuss recent advances in neuronal targeting mechanisms, also with a focus on the role of trigeminal nerves. Dodecyl creatine ester (DCE), a highly unstable in plasma creatine prodrug developed by Ceres Brain Therapeutics, is presented as an illustrative case study. Delivered as a nasal spray, DCE enables direct neuronal delivery, exemplifying the potential of the NtB pathway for disorders characterized by neuronal energy deficiency, including creatine transporter deficiency and mitochondrial dysfunction. Overall, the NtB pathway—or, more precisely, the “Nose-to-Neurons” pathway—offers distinct advantages for unstable molecules and metabolic supplementation, particularly in neuron-centric diseases. Its successful implementation will depend on rational molecule design, optimized nasal formulations, appropriate devices, and early integration of industrial constraints to ensure feasibility, scalability, and safety for long-term treatment. Full article
(This article belongs to the Section Drug Delivery and Controlled Release)
Show Figures

Figure 1

21 pages, 12041 KB  
Article
Novel Intranasal Replication-Deficient NS1ΔC Flu Vaccine Confers Protection from Divergent Influenza A and B Viruses in Mice
by Daria Shamakova, Marina A. Shuklina, Nikita Yolshin, Ekaterina Romanovskaya-Romanko, Anna-Polina Shurygina, Kira Kudrya, Arman Muzhikyan, Mariia V. Sergeeva and Marina Stukova
Vaccines 2026, 14(1), 43; https://doi.org/10.3390/vaccines14010043 - 30 Dec 2025
Viewed by 308
Abstract
Background/Objectives: The current strategy for seasonal influenza prophylaxis relies on updating the vaccine components annually to account for the rapid antigenic drift of viruses and the low cross-protective efficacy of available vaccines. Mutant influenza viruses with truncated or deleted NS1 protein are [...] Read more.
Background/Objectives: The current strategy for seasonal influenza prophylaxis relies on updating the vaccine components annually to account for the rapid antigenic drift of viruses and the low cross-protective efficacy of available vaccines. Mutant influenza viruses with truncated or deleted NS1 protein are known to stimulate cross-specific T-cell immune response and provide protection against heterosubtypic influenza A and B viruses. Methods: We generated NS1ΔC influenza A and B viruses with C-terminal NS1 deletions by reverse genetics. In a mouse model, we assessed the safety and immunogenicity of the B/Lee/NS1ΔC strain upon intranasal administration, as well as the mechanism of its cross-protective efficacy against sublethal B/Victoria and B/Yamagata challenges. We then investigated the potential of the intranasal Flu/NS1ΔC vaccine–a trivalent formulation of NS1ΔC A/H1N1, A/H3N2, and B influenza viruses–to protect mice from lethal influenza infection with homologous, heterologous, and antigenically drifted influenza A and B viruses. Results: Intranasal immunization with the B/Lee/NS1ΔC strain was safe in mice. It activated cross-specific T-cell responses in the lungs and protected animals against heterologous challenge by reducing viral load, inflammation, and lung pathology. Immunization with the trivalent Flu/NS1ΔC vaccine formulation improved survival and reduced weight loss and viral load upon challenge with A/H1N1pdm, A/H2N2, A/H5N1, and B/Victoria viruses. Conclusions: The trivalent intranasal Flu/NS1ΔC influenza vaccine is a promising tool to improve seasonal influenza protection and preparedness for an influenza pandemic. Full article
(This article belongs to the Special Issue Mucosal Vaccines: Advances in Technology and Delivery)
Show Figures

Figure 1

16 pages, 1375 KB  
Article
Assessment of Nociception and Inflammatory/Tissue Damage Biomarkers in a Post-COVID-19 Animal Model
by Eva M. Sánchez-Robles, Carmen Rodríguez-Rivera, Nancy Paniagua Lora, Esperanza Herradón Pliego, Carlos Goicoechea Garcia, Lars Arendt-Nielsen, Cesar Fernández-de-las-Peñas and Visitación López-Miranda
Int. J. Mol. Sci. 2026, 27(1), 359; https://doi.org/10.3390/ijms27010359 - 29 Dec 2025
Viewed by 187
Abstract
Five years after the onset of the SARS-CoV-2 pandemic, post-COVID-19 condition continues to affect millions of subjects with persistent symptoms that significantly impair quality of life. Post-COVID-19 pain, particularly in women, has emerged as a frequent yet underestimated symptom. The validation and identification [...] Read more.
Five years after the onset of the SARS-CoV-2 pandemic, post-COVID-19 condition continues to affect millions of subjects with persistent symptoms that significantly impair quality of life. Post-COVID-19 pain, particularly in women, has emerged as a frequent yet underestimated symptom. The validation and identification of animal models that reproduce persistent symptoms after an acute SARS-CoV-2 infection is crucial for a better understanding of the underlying mechanisms. The aim of the current study was to evaluate thermal nociception, biomarkers of inflammation, and nerve tissue damage in a female animal model of post-COVID-19 condition. A SARS-CoV-2 infection model was established by intranasal administration of the Omicron variant (BA.1.17 lineage) in transgenic female C57BL/6 mice expressing the human ACE2 receptor (hACE2). Nociception was assessed using the hot-plate test for 28 days post-infection. Afterwards, animals were sacrificed to analyze plasma inflammatory biomarkers by multiplex analysis. In addition, IL-6, IL-18, and IL-1β expression were evaluated by immunohistochemistry to analyze neural inflammation in the saphenous nerve. The results revealed that heat nociceptive thresholds in infected mice did not significantly differ from those of non-infected, but a trend toward lower thresholds was observed in the infected group (days 14 and 28 post-infection). In addition, a slight modification in pro- and anti-inflammatory cytokines/chemokines in plasma was detected, but no changes in the expression of IL-6, IL-1β, or IL-18 were observed in the saphenous nerve. Based on all the analyses conducted, infection with the Omicron variant of SARS-CoV-2 did not induce thermal sensitization in animals nor alterations in the expression of inflammatory biomarkers in the saphenous nerve. Finally, a slight state of systemic inflammation was present in the infected animals. The absence of detectable changes in this animal model underscores the need for further research to clarify the discrepancies observed in human patients and to explore alternative pathways potentially involved in post-COVID-19 pain syndromes. Full article
(This article belongs to the Section Molecular Immunology)
Show Figures

Figure 1

14 pages, 1619 KB  
Article
Adipose-Derived Stem Cell Secretome Attenuates Eosinophilic Inflammation in a Chronic Rhinosinusitis with Nasal Polyps Mouse Model
by Ji-Hwan Park, Hye-Jin Park, Dae Woo Kim, Sung-Dong Kim, Sue Jean Mun and Kyu-Sup Cho
Int. J. Mol. Sci. 2025, 26(24), 12137; https://doi.org/10.3390/ijms262412137 - 17 Dec 2025
Viewed by 313
Abstract
Adipose-derived stem cells (ASCs) and their secretome have been reported to improve allergic airway inflammation. Eosinophilic chronic rhinosinusitis with nasal polyps (ECRSwNP) is characterized by type 2 helper T (Th2)-diven inflammation, which shares similar mechanisms with allergic airway diseases. We assessed the immunomodulatory [...] Read more.
Adipose-derived stem cells (ASCs) and their secretome have been reported to improve allergic airway inflammation. Eosinophilic chronic rhinosinusitis with nasal polyps (ECRSwNP) is characterized by type 2 helper T (Th2)-diven inflammation, which shares similar mechanisms with allergic airway diseases. We assessed the immunomodulatory effects of ASC secretome on an ECRSwNP mouse model. ECRSwNP was induced by ovalbumin (OVA) and Staphylococcus aureus enterotoxin B (SEB) intranasal challenges in five-week-old BALB/c mice. To evaluate the effect of ASC secretome on eosinophilic nasal inflammation, 10 μg/50 μL of ASC-conditioned media were administered three times a week during the eight weeks. H&E and Sirius red staining were performed to evaluate the formation of nasal polyps (NPs) and the infiltration of eosinophils. The cytokine levels of interleukin (IL)-4, IL-5, IL-13, interferon-γ, IL-8, and eotaxin-1 were measured using ELISA(eBiosciences, San Diego, CA, USA). The expression levels of IL-8 and eotaxin-1 mRNA were determined by quantitative PCR. Eosinophil cationic protein (ECP) and eotaxin-1 expression were assessed by immunohistochemistry. Intranasal administration of ASC secretome significantly decreased NP-like formation and eosinophilic infiltration in the sinonasal mucosa of ECRSwNP mice. The increased IL-4, IL-5, and eotaxin-1 levels after OVA + SEB challenge remarkably decreased by ASC secretome treatment. Furthermore, ASC secretome notably decreased the gene expression of eotaxin-1 by PCR, as well as ECP and eotaxin-1 expression by immunohistochemistry. ASC secretome had immunomodulatory effects in a mouse model of ECRSwNP. Intranasal administration of ASC secretome resulted in a significant reduction in NP formation and eosinophilic inflammation through the suppression of IL-4, IL-5, eotaxin-1, and ECP. Full article
(This article belongs to the Section Molecular Biology)
Show Figures

Figure 1

42 pages, 5506 KB  
Article
From Genetic Engineering to Preclinical Safety: A Study on Recombinant Human Interferons
by Thelvia I. Ramos, Carlos A. Villacis-Aguirre, Emilio Lamazares, Viana Manrique-Suárez, Felipe Sandoval, Cristy N. Culqui-Tapia, Sarah Martin-Solano, Rodrigo Mansilla, Ignacio Cabezas, Oliberto Sánchez, Sergio Donoso-Erch, Natalie C. Parra, María A. Contreras and Nelson Santiago-Vispo
Int. J. Mol. Sci. 2025, 26(24), 11982; https://doi.org/10.3390/ijms262411982 - 12 Dec 2025
Viewed by 810
Abstract
There is a critical gap in the preclinical research of recombinant human interferons (rhIFNα-2b and rhIFN-γ), as most studies focus on modified variants, which complicates the understanding of the native molecules’ properties. This study addresses this limitation by comprehensively evaluating the structural stability [...] Read more.
There is a critical gap in the preclinical research of recombinant human interferons (rhIFNα-2b and rhIFN-γ), as most studies focus on modified variants, which complicates the understanding of the native molecules’ properties. This study addresses this limitation by comprehensively evaluating the structural stability and intrinsic toxicity of purified IFNs. Our findings confirm that both interferons retain their bioactivity (antiviral, antiproliferative, and immunomodulatory) and exhibit remarkable stability under controlled conditions. Accelerated stability assays showed that neither protein lost biological potency after 18 days at various temperatures, supporting their potential as liquid formulations. Acute and sub-chronic toxicity studies in rodent, non-rodent, and higher-organism animal models showed no signs of toxicity, even at doses 100 to 300 times higher than therapeutic levels. These assays, combined with the absence of pyrogens, support a favorable safety profile for clinical use, with no evidence of systemic or structural damage. This work establishes a reproducible experimental model and lays the groundwork for future preclinical evaluations. We underscore the importance of characterizing the safety profile of active pharmaceutical ingredients from the earliest stages of biopharmaceutical development to ensure a safe and well-founded transition to human clinical trials. Furthermore, these results open the door for the development of advanced formulations and alternative routes of administration, such as the intranasal route, an area with significant potential. Full article
(This article belongs to the Special Issue Advances in the Translational Preclinical Research)
Show Figures

Graphical abstract

21 pages, 1985 KB  
Article
Inactivated Type ‘O’ Foot and Mouth Disease Virus Encapsulated in Chitosan Nanoparticles Induced Protective Immune Response in Guinea Pigs
by Kalaivanan Ramya, Subodh Kishore, Palanisamy Sankar, Ganesh Kondabatulla, Bedaso Mamo Edao, Ramasamy Saravanan and Kumaraguruban Karthik
Animals 2025, 15(24), 3540; https://doi.org/10.3390/ani15243540 - 9 Dec 2025
Viewed by 403
Abstract
Foot and mouth disease is a contagious viral disease infecting ungulates, with great economic impact on farmers’ income; it is primarily controlled using inactivated vaccines, which have certain limitations, such as short-lived immunity and a lack of mucosal immunity at the portals of [...] Read more.
Foot and mouth disease is a contagious viral disease infecting ungulates, with great economic impact on farmers’ income; it is primarily controlled using inactivated vaccines, which have certain limitations, such as short-lived immunity and a lack of mucosal immunity at the portals of virus entry. The present approach aims to exploit the efficiency of chitosan nanoparticle-encapsulated inactivated type ‘O’ FMDV antigen (FMDV-CS-NPs) to induce mucosal and systemic immune responses in a guinea pig animal model through intranasal and intramuscular administration in comparison with the conventional inactivated, mineral oil-adjuvanted vaccine that is administered systemically. In this study, the FMDV-CS-NPs were prepared by ionotropic gelation, followed by incubation; were characterized for their physical properties and in vitro antigen release; and were found to encapsulate a good amount of antigen. The prepared nanoparticles were assessed for their ability to induce humoral and cell-mediated immune responses by SNTs; indirect ELISAs for serum IgG, IgG1, and IgG2; and nasal washing sIgA and lymphocyte proliferation assays. The preparation induced comparatively more measurable sIgA and systemic immune responses with the intranasal and intramuscular routes of administration, respectively, which are attributable to a specific interaction between the positively charged chitosan and the negatively charged mucosal surface and cell membrane. The challenge infection protected 87.5% of the animals in the FMDV-CS-NP I/M group, followed by 77.7% in the FMDV-CS-NP I/N and inactivated vaccine groups. The outcomes of this study in guinea pigs highlight that chitosan nanoparticle-based vaccine formulations could be employed as a promising antigen delivery system for targeted delivery, devoid of any adverse effect, to induce protective immune responses. Full article
(This article belongs to the Section Veterinary Clinical Studies)
Show Figures

Figure 1

15 pages, 3399 KB  
Article
Adjuvant-Free Murine Models of Allergic Sensitization to the Major Soybean Allergen Gly m 4
by Ivan V. Bogdanov, Ekaterina I. Finkina, Alfia G. Kamaeva, Marina S. Krasilshchikova and Tatiana V. Ovchinnikova
Int. J. Mol. Sci. 2025, 26(23), 11695; https://doi.org/10.3390/ijms262311695 - 3 Dec 2025
Viewed by 331
Abstract
Gly m 4, a soybean PR-10 allergen, is known to trigger systemic allergic reactions. However, the intrinsic sensitizing potential of the allergen remains unclear. Adjuvant-free murine models of sensitization to Gly m 4 might help to investigate mechanisms of a soy allergy and [...] Read more.
Gly m 4, a soybean PR-10 allergen, is known to trigger systemic allergic reactions. However, the intrinsic sensitizing potential of the allergen remains unclear. Adjuvant-free murine models of sensitization to Gly m 4 might help to investigate mechanisms of a soy allergy and establish relevant in vivo platforms for developing novel allergen-specific immunotherapy strategies. BALB/c mice were sensitized to Gly m 4 via intraperitoneal (i.p.), subcutaneous (s.c.), or intranasal (i.n.) routes, with or without adjuvant (alum or lipopolysaccharide (LPS)). In order to assess sensitization, we evaluated levels of allergen-specific IgE, IgG1, IgG2a, systemic anaphylaxis, rat basophil (RBL) degranulation, and cytokine/chemokine profiles in mouse sera. I.n. exposure with or without LPS proved to be ineffective and did not elicit sensitization. I.p. and s.c. routes of sensitization with and without alum induced a Th2-skewed response, which was demonstrated by high levels of IgE and IgG1, systemic anaphylaxis, and IgE-mediated degranulation of RBL cells. Adjuvant-free i.p. administration led to a shift in cytokine production, with reduced levels of proinflammatory (IL-1α/IL-6) cytokines and increased levels of Th2-associated (IL-13/GM-CSF) ones. Thus, adjuvant-free murine models validated the intrinsic sensitizing capacity of Gly m 4. Moreover, Gly m 4 demonstrated similar immunogenic profiles to Bet v 1 in alum-based models. It is the first evidence that soybean Gly m 4 can induce in vivo allergic sensitization in mice without adjuvants, particularly via i.p. and s.c. routes. Established adjuvant-free murine models offer a relevant tool for studying soy allergy and developing targeted immunotherapy. Full article
(This article belongs to the Special Issue Food Allergens: Latest Molecular Advancements)
Show Figures

Figure 1

22 pages, 5506 KB  
Article
Respiratory Delivery of Highly Conserved Antiviral siRNAs Suppress SARS-CoV-2 Infection
by Yuan Zhang, Matt D. Johansen, Scott Ledger, Stuart Turville, Pall Thordarson, Philip M. Hansbro, Anthony D. Kelleher and Chantelle L. Ahlenstiel
Int. J. Mol. Sci. 2025, 26(23), 11675; https://doi.org/10.3390/ijms262311675 - 2 Dec 2025
Viewed by 533
Abstract
COVID-19 has resulted in over 777 million confirmed cases and more than 7 million deaths globally. While vaccination offers protection for individuals with a functional immune system, immunocompromised populations will not generate sufficient responses, highlighting the critical need for new antiviral treatments. Here [...] Read more.
COVID-19 has resulted in over 777 million confirmed cases and more than 7 million deaths globally. While vaccination offers protection for individuals with a functional immune system, immunocompromised populations will not generate sufficient responses, highlighting the critical need for new antiviral treatments. Here we evaluated four highly conserved anti-COVID siRNAs targeting the ORF1a-Nsp1, Membrane, and Nucleocapsid regions by identifying their antiviral efficacy in vitro and investigated the direct delivery of naked siRNAs to the respiratory tract of mice via intranasal instillation to provide proof-of-concept evidence of their in vivo antiviral activity. Dose-response analysis of siRNAs revealed a range of IC50 0.02 nM to 0.9 nM. Intranasal administration of naked anti-COVID siRNA-18 in a K18-hACE2 transgenic SARS-CoV-2 mouse model was capable of reducing viral mRNA levels and disease severity. While anti-COVID siRNA-30 induced modest interferon-stimulated gene expression in vitro and immune cell infiltration in vivo, these effects were markedly reduced by 2′-O-methyl-AS456 chemical modification, which preserved antiviral efficacy against SARS-CoV-2 while minimizing off-target immune activation. These results demonstrate the feasibility of direct respiratory siRNA administration for in vivo viral suppression and highlight the benefit of using conserved target sequences and chemical modification to enhance therapeutic safety and efficacy. Full article
Show Figures

Graphical abstract

17 pages, 939 KB  
Review
Orthobiologics and Peptide Therapy for Central Nervous System Repair in Neurodegenerative Conditions
by Cézar Augusto Alves de Oliveira, Bernardo Scaldini Oliveira, Amanda Scaldini Oliveira, Rafael Duarte de Souza Loduca, Carlos Roberto Massella Junior and Gabriel Silva Santos
Cells 2025, 14(23), 1853; https://doi.org/10.3390/cells14231853 - 25 Nov 2025
Viewed by 1211
Abstract
Alzheimer’s disease and Parkinson’s disease remain the most prevalent neurodegenerative disorders associated with aging and continue to lack curative treatments. Their pathophysiology is often multifaceted, encompassing protein aggregation, mitochondrial dysfunction, chronic neuroinflammation, synaptic degeneration, and vascular compromise. This complex landscape reduces the effectiveness [...] Read more.
Alzheimer’s disease and Parkinson’s disease remain the most prevalent neurodegenerative disorders associated with aging and continue to lack curative treatments. Their pathophysiology is often multifaceted, encompassing protein aggregation, mitochondrial dysfunction, chronic neuroinflammation, synaptic degeneration, and vascular compromise. This complex landscape reduces the effectiveness of single-target pharmacological agents and underscores the need for therapies capable of acting across multiple axes. Orthobiologics and peptide-based strategies exemplify this approach. Autologous cellular alternatives such as platelet-rich plasma, bone marrow aspirates, mesenchymal stromal cell derivatives, and extracellular vesicles deliver paracrine signals that can reprogram glia, preserve mitochondrial function, and promote synaptic and vascular repair. Peptide therapeutics, including glucagon-like peptide-1 receptor agonists and novel sequences targeting protein aggregation or mitochondrial pathways, provide complementary precision by engaging defined receptors and intracellular cascades. Together, these modalities converge on mechanisms central to circuit preservation rather than symptomatic relief alone. Preclinical studies across Alzheimer’s and Parkinson’s disease demonstrate consistent neuroprotective and functional benefits, and early human trials support feasibility and safety. The translational path forward requires standardized preparation, biomarker integration, optimized delivery routes such as intranasal administration, and regulatory frameworks adapted to biologic therapies. This review synthesizes current evidence on orthobiologics and peptides in neurodegeneration, outlines safety and translational considerations, and highlights future directions, including rational combinations and biomarker-driven trials. By uniting the broad signaling capacity of orthobiologics with the precision of peptides, neurology can move beyond symptomatic care toward regenerative strategies that aim to preserve neural circuits and improve long-term outcomes in Alzheimer’s disease and Parkinson’s disease. Full article
Show Figures

Graphical abstract

25 pages, 1627 KB  
Review
Resveratrol as an Adjunct Antiviral Agent in Pediatric Viral Infections: A Review on Mechanistic Insights and Gut Microbiota Modulation
by Roberta Leonardi, Manuela Lo Bianco, Salvatore Spinello, Pasqua Betta, Caterina Gagliano, Vittorio Calabrese, Agata Polizzi and Giulia Malaguarnera
Int. J. Mol. Sci. 2025, 26(23), 11341; https://doi.org/10.3390/ijms262311341 - 24 Nov 2025
Viewed by 826
Abstract
Pediatric viral infections impose a heavy burden on child health, often worsened by infection-induced gut dysbiosis. Resveratrol, a natural polyphenol with antiviral, anti-inflammatory, and microbiota-modulating properties, has been proposed to interrupt this pathogenic feedback. To our knowledge, this is the first narrative review [...] Read more.
Pediatric viral infections impose a heavy burden on child health, often worsened by infection-induced gut dysbiosis. Resveratrol, a natural polyphenol with antiviral, anti-inflammatory, and microbiota-modulating properties, has been proposed to interrupt this pathogenic feedback. To our knowledge, this is the first narrative review focused on resveratrol’s antiviral activity in pediatric viral infections, concurrently evaluating its impact on the gut microbiota and their interrelationship. We synthetized preclinical and the limited available pediatric clinical data regarding resveratrol’s effect on SARS-CoV-2, respiratory syncytial virus, influenza, rotavirus, and norovirus, extracting information on the models, routes of administration, dosages, mechanisms, and outcomes. Resveratrol interferes with viral lifecycles via diverse mechanisms (modulation of host signaling cascades, capsid or structural protein interactions, and suppression of pro-viral chaperones) while concurrently reshaping the gut microbiota (reducing opportunistic taxa and enriching beneficial genera such as Bifidobacterium and Lactobacillus) leading to improved short-chain fatty acid profiles, barrier integrity, and dampened inflammation. Intranasal resveratrol in children shows clinical benefit, while oral use is underexplored and limited by poor bioavailability; adult data hint at supportive microbiome and anti-inflammatory effects if the delivery is optimized. These dual antiviral and microbiome-directed effects position resveratrol as a promising adjunct in pediatric viral disease management, though well-powered pediatric clinical trials are needed to define dosages, delivery strategies, and the contribution of microbiota-mediated synergy. Full article
Show Figures

Figure 1

19 pages, 2737 KB  
Article
Chitosan-Coated Liposomes for Intranasal Delivery of Ghrelin: Enhancing Bioavailability to the Central Nervous System
by Cecilia T. de Barros, Thais F. R. Alves, Kessi M. M. Crescencio, Jessica Asami, Moema de A. Hausen, Eliana A. de R. Duek and Marco V. Chaud
Pharmaceutics 2025, 17(11), 1493; https://doi.org/10.3390/pharmaceutics17111493 - 19 Nov 2025
Viewed by 625
Abstract
Background/Objectives: Cachexia is a syndrome characterized by the progressive loss of muscle mass, leading to high morbidity and mortality. Ghrelin (Ghrl) exhibits orexigenic, anabolic, and anti-inflammatory properties with therapeutic potential. However, its low bioavailability limits the efficacy of systemic treatments. This study [...] Read more.
Background/Objectives: Cachexia is a syndrome characterized by the progressive loss of muscle mass, leading to high morbidity and mortality. Ghrelin (Ghrl) exhibits orexigenic, anabolic, and anti-inflammatory properties with therapeutic potential. However, its low bioavailability limits the efficacy of systemic treatments. This study aimed to develop chitosan-coated liposomes containing Ghrl (CH-Lip + Ghrl) for intranasal administration, allowing quantification of Ghrl brain bioavailability using a system optimized for a labile neuropeptide. Methods: The formulation was prepared using thin-film hydration, followed by extrusion and chitosan coating. It was characterized based on morphology, size, zeta potential, stability, encapsulation efficiency, and cell viability. Permeation and mucoadhesion were evaluated ex vivo using porcine nasal mucosa, and cerebral bioavailability was assessed in Wistar rats. Results: CH-Lip + Ghrl had an average of 152.4 ± 0.2 nm (evaluated by DLS), a polydispersity index of 0.159 ± 0.018, a zeta potential of +60.8 ± 6.6 mV, and an encapsulation efficiency of 53.2 ± 0.8%, maintaining stability for 180 days. At 1% (v/v) in culture medium, the formulation retained 73.2 ± 8.4% of the viability in nasal epithelial cells and 81.9 ± 4.8% in neuroblastoma cells. Chitosan coating increased ex vivo mucoadhesion 1.7-fold and permeation 1.3-fold. In vivo, 25 min after intranasal administration, CH-Lip + Ghrl delivered 48.2 ± 8.8% of the dose to the brain, whereas free Ghrl was undetectable. Conclusions: The intranasal administration of CH-Lip + Ghrl enhances cerebral bioavailability of Ghrl. This study integrates a chemically labile neuropeptide with chitosan-coated liposomes for direct brain delivery, representing an innovative platform for future translational studies. Full article
Show Figures

Graphical abstract

13 pages, 1080 KB  
Article
Development of Propofol-Encapsulated Liposomes and the Effect of Intranasal Administration on Bioavailability in Rabbits
by Hitomi Ujita, Hitoshi Higuchi, Yukiko Nishioka, Saki Miyake, Riko Sato and Takuya Miyawaki
Pharmaceutics 2025, 17(11), 1446; https://doi.org/10.3390/pharmaceutics17111446 - 9 Nov 2025
Viewed by 664
Abstract
Background/Objectives: Propofol is frequently used as an intravenous anesthetic and is rapidly metabolized. Therefore, if it could be administered non-invasively (e.g., orally) as premedication, it might hasten emergence from anesthesia, thereby improving patient safety. However, it undergoes extensive first-pass metabolism in the liver [...] Read more.
Background/Objectives: Propofol is frequently used as an intravenous anesthetic and is rapidly metabolized. Therefore, if it could be administered non-invasively (e.g., orally) as premedication, it might hasten emergence from anesthesia, thereby improving patient safety. However, it undergoes extensive first-pass metabolism in the liver and intestines, limiting the route for premedication. We evaluated whether intranasal delivery of a propofol-encapsulated liposome solution improves systemic exposure and bioavailability in rabbits. Methods: A propofol-encapsulated liposome solution was administered to rabbits via the intravenous, oral, and intranasal routes. Blood propofol concentrations were measured for up to 60 min after administration and the area under the concentration–time curve (AUC0–60) and bioavailability of the propofol-encapsulated liposome solution were compared with those of the non-encapsulated propofol formulation. The differences were tested by two-way analysis of variance (ANOVA) with Šidák’s post hoc multiple-comparisons test and the Mann–Whitney test (α = 0.05). Results: The AUC0–60 for blood propofol concentrations after intravenous administration was significantly higher with the propofol-encapsulated liposome solution than with the non-encapsulated propofol formulation (3038.8 ± 661.5 vs. 1929.8 ± 58.2 ng·min/mL; p = 0.0286). By contrast, no increase in blood propofol concentrations was observed after oral administration, whereas intranasal administration increased blood propofol concentrations and yielded significantly higher bioavailability compared with the non-encapsulated propofol formulation (16.4 ± 7.3% vs. 2.0 ± 1.2%; p = 0.0286). Conclusions: The findings of the present study suggest that intranasal liposomal propofol increased systemic availability compared with a non-encapsulated formulation, supporting further evaluation as a candidate premedication approach for propofol. Full article
(This article belongs to the Special Issue Nasal Nanotechnology: What Do We Know and What Is Yet to Come?)
Show Figures

Figure 1

20 pages, 4128 KB  
Article
Protective Effects of Thyme Leaf Extract Against Particulate Matter-Induced Pulmonary Injury in Mice
by Jae-Kyoung Lee, Khawaja Muhammad Imran Bashir, Hye-Rim Park, Jin-Gwan Kwon, Beom-Rak Choi, Jae-Suk Choi and Sae-Kwang Ku
Antioxidants 2025, 14(11), 1343; https://doi.org/10.3390/antiox14111343 - 7 Nov 2025
Viewed by 1080
Abstract
Airborne particulate matter (PM), particularly PM2.5, contributes to pulmonary injury by inducing oxidative stress and inflammation. Thyme (Thymus vulgaris L.) contains bioactive compounds with anti-inflammatory, antioxidant, and expectorant properties. Here, we evaluated the dose-dependent protective effects of thyme extract (TV) [...] Read more.
Airborne particulate matter (PM), particularly PM2.5, contributes to pulmonary injury by inducing oxidative stress and inflammation. Thyme (Thymus vulgaris L.) contains bioactive compounds with anti-inflammatory, antioxidant, and expectorant properties. Here, we evaluated the dose-dependent protective effects of thyme extract (TV) against PM2.5-induced pulmonary injury in mice, using dexamethasone (DEXA) as a reference anti-inflammatory drug. Subacute pulmonary injury was induced in male Balb/c mice via intranasal administration of PM2.5 (1 mg/kg, twice at 48 h intervals). Mice received oral TV (50, 100, or 200 mg/kg) or DEXA (0.75 mg/kg) daily for 10 days. Assessments included lung weight, serum AST/ALT, bronchoalveolar lavage fluid (BALF) leukocyte counts, cytokines (TNF-α, IL-6), chemokines, oxidative stress markers (ROS, lipid peroxidation, antioxidant enzymes), histopathology, and mRNA expression of genes related to inflammation (PI3K/Akt, MAPK, and NF-κB), mucus production (MUC5AC, MUC5B), and apoptosis (Bcl-2, Bax). Exposure to PM2.5 caused oxidative stress, pulmonary inflammation, mucus hypersecretion, and histopathological changes. TV treatment dose-dependently reduced leukocyte infiltration, cytokine/chemokine release, ROS generation, and mucus overproduction, while enhancing antioxidant defenses and improving tissue pathology. Effects were comparable but slightly less potent than DEXA. Notably, unlike DEXA, TV reduced mucus hyperplasia and enhanced expectorant activity. No hepatotoxicity was observed. These results indicate that thyme extract could serve as a promising natural candidate for alternative respiratory therapeutics or functional food development. Full article
(This article belongs to the Special Issue Oxidative Stress Induced by Air Pollution, 2nd Edition)
Show Figures

Figure 1

33 pages, 2311 KB  
Review
Cell Membrane- and Vesicle-Based Bionic Nanodrugs: Applications in Central Nervous System Diseases and Exploration of Nasal–Cerebral Delivery
by Fan Ding, Runzhe Hou, Bing Han and Xuexun Fang
Gels 2025, 11(11), 846; https://doi.org/10.3390/gels11110846 - 22 Oct 2025
Viewed by 1367
Abstract
Central nervous system (CNS) diseases exhibit high incidence rates, and the blood–brain barrier (BBB) poses a major obstacle to drug delivery. Conventional drug delivery methods not only show limited therapeutic efficacy but also cause significant side effects. Intranasal administration offers a new strategy [...] Read more.
Central nervous system (CNS) diseases exhibit high incidence rates, and the blood–brain barrier (BBB) poses a major obstacle to drug delivery. Conventional drug delivery methods not only show limited therapeutic efficacy but also cause significant side effects. Intranasal administration offers a new strategy for CNS therapy by bypassing the BBB through the unique nasal-brain pathway, while nanodrug delivery systems (NDDSs) can improve drug delivery efficiency. On this basis, biomimetic drug delivery systems (BDDSs) based on cell membrane structure have been developed. The combination of nanoparticles modified by cell membranes or cell membrane-derived vesicles with carriers such as hydrogels creates a drug delivery system that utilizes a unique transnasal-to-brain pathway, opening new avenues for treating CNS disorders. This paper systematically reviews the classification, characteristics, and preparation strategies of BDDSs, while analyzing the anatomical pathways and physiological mechanisms of nasal–cerebral delivery. Furthermore, it delves into the biogenesis mechanisms of extracellular vesicles (EVs) and bacterial extracellular vesicles (BEVs). For CNS disorders, including glioblastoma multiforme (GBM), ischemic stroke (IS), Alzheimer’s disease (AD), and Parkinson’s disease (PD), this paper presents diverse applications and challenges of BDDSs in nasal–cerebral delivery. Full article
(This article belongs to the Section Gel Applications)
Show Figures

Figure 1

27 pages, 2871 KB  
Article
Design of Polycation-Functionalized Resveratrol Nanocrystals for Intranasal Administration
by Angela Bonaccorso, Elide Zingale, Giuseppe Caruso, Anna Privitera, Claudia Carbone, Maria Josè Lo Faro, Filippo Caraci, Teresa Musumeci and Rosario Pignatello
Pharmaceutics 2025, 17(10), 1346; https://doi.org/10.3390/pharmaceutics17101346 - 18 Oct 2025
Viewed by 811
Abstract
Background/Objectives: Nanocrystals (NCs) are a relatively underexplored yet adaptable platform with broad potential for various applications. Currently, the surface modification of NCs leads to the development of versatile platforms capable of enhancing targeted delivery potential and supporting the advancement of precision medicine. With [...] Read more.
Background/Objectives: Nanocrystals (NCs) are a relatively underexplored yet adaptable platform with broad potential for various applications. Currently, the surface modification of NCs leads to the development of versatile platforms capable of enhancing targeted delivery potential and supporting the advancement of precision medicine. With this in mind, this study focused on the design and surface functionalization of a resveratrol (RSV) NC selected for its antioxidant and neuroprotective effects. Methods: The design of the RSV NC was assessed by the Quality by Design approach. With the aim of intranasal administration, we assessed the RSV NC functionalization with a cationic poly (amino acid) belonging to the class of cell-penetrating peptides. Both naked and surface-modified RSV nanosuspensions were characterized in terms of mucoadhesion, behavior in artificial cerebrospinal fluid, crystallinity, solubility, and storage stability. The scavenging activity (%) of neat RSV and its nanosized forms was measured using the DPPH assay. Results: RSV NCs were successfully designed, producing truncated cubic crystals (~240 nm) with an ~80% drug content. Functionalization was efficiently achieved with poly-l-arginine hydrochloride as revealed by DSC and FTIR and resulted in a positively charged nanosuspension. Nanonization technology improved drug solubility in water and did not affect RSV scavenging activity. Technological characterization demonstrated that both nanosuspensions present suitable properties for intranasal administration in terms of particle size, mucoadhesive tendency, and stability in artificial cerebrospinal fluid. An MTT assay revealed the safety of all treatments in human microglia (HMC3) cells. Conclusions: RSV NCs’ functionalization enhanced their brain delivery potential, establishing a promising platform to improve therapeutic outcomes in neurodegenerative diseases. Full article
(This article belongs to the Special Issue Nasal Nanotechnology: What Do We Know and What Is Yet to Come?)
Show Figures

Figure 1

Back to TopTop