New Insights into Drug Development via the Nose-to-Brain Pathway: Exemplification Through Dodecyl Creatine Ester for Neuronal Disorders
Abstract
1. Introduction
2. Considerations of Brain Targeting for Neurotherapeutics
3. Opportunities and Challenges of the Intranasal Delivery Route for Improving the Performance of Neurodrugs
3.1. Physiological Aspects of the NtB Pathway
3.2. Critical Aspects of NtB Delivery
3.3. Evidence of Efficiency for the NtB Pathway
4. Strategy for Developing a Drug Using the Nose-to-Brain Pathway
4.1. Selection of the Chemical Substance and Its Suitability for the Nose-to-Brain Pathway: General Considerations and Application to Dodecyl Creatine Ester Nasal Spray
4.2. Dodecyl Creatine Ester: A Creatine Prodrug for Neurological Diseases
4.2.1. Creatine
4.2.2. Creatine Transporter Deficiency
4.2.3. Amyotrophic Lateral Sclerosis
4.2.4. Previous Therapeutic Attempts Using Oral Creatine Monohydrate in Creatine Transported Deficiency and Amyotrophic Lateral Sclerosis
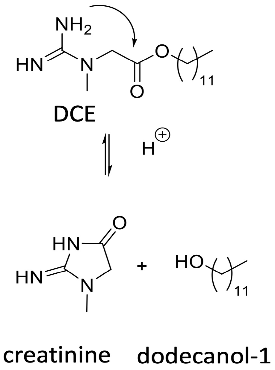
4.2.5. Dodecyl Creatine Ester
4.3. Development and Optimization of Specific Intranasal Formulations to Ensure Drug Stability, Facilitate Nose-to-Brain Delivery, and Improve Central Nervous System Bioavailability
4.4. Manufacturing Process Development and Quality Validation of the Intranasal Spray Formulation
- Sterility is not mandatory if microbiological quality complies with Pharmacopeial standards [128] as the nasal cavity hosts diverse microflora. Production must nonetheless occur in a suitably controlled cleanroom environment.
- The choice between single-dose and multi-dose delivery systems is essential. Single-dose devices deliver a precise amount, which is ideal for short treatments or controlled drugs and minimizing contamination risks. Multi-dose formats are preferred for long-term treatments or frequent dosing.
- The delivery volume is limited by nasal cavity size—typically <200 μL/nostril in adults and <100 µL/nostril in children [129]—to avoid drooling and nose fullness sensation, mucosal irritation, bacterial growth, and disruption of ciliary function.
- Ensuring consistent, reproducible dosing is a major challenge, particularly in self-administration. Device design, nasal air flow, and compliance all affect deposition and efficacy. Education, training, and intuitive devices are critical to ensure correct use and adherence, and reproducibility can be evaluated through pharmacokinetic and/or pharmacodynamic studies. Variability of drug brain exposure after nasal dosing is generally comparable to other routes, although it can be slightly higher in some cases. For example, midazolam shows a brain exposure variability of 15% (nasal administration) versus 24% (oral administration) [130]. For sumatriptan these are equivalent for both routes [131]. Ketamine shows variability ranging from 47 to 76% after nasal administration, versus 31 to 35% after oral administration [132].
- In line with nasal spray guidelines [122,123] key tests include: drug identification, assay, impurities, delivery performance (mean and uniformity per actuation), spray pattern and plume geometry, microbial limits, preservative content, dose count, droplet (to monitor particles <10 µm potentially reaching the lungs) and particle size distribution for suspensions).
4.5. Nasal Administration Devices and Techniques
4.5.1. General Considerations
4.5.2. Nasal Administration Device for Dodecyl Creatine Ester Formulation
4.6. Pharmacokinetic Studies: Assessing the Extent of the Nose-to-Brain Pathway—General Considerations, Case Examples, and Application to Dodecyl Creatine Ester
4.6.1. %DTE and %DTP
4.6.2. Enhanced Brain Penetration for Various Drugs Following Intranasal Administration
4.6.3. Cerebrospinal Fluid
4.6.4. Other Pharmacokinetic Considerations
4.6.5. Preclinical Studies
4.6.6. Considerations on Clinical Studies
4.6.7. Example of Dodecyl Creatine Ester
4.7. Toxicological Issues to Consider
4.7.1. General Considerations
4.7.2. Extrapolation Dosage from Animal to Human for First-in-Man Studies
4.7.3. Therapeutic Effects Measurable in Preclinical Studies and Their Clinical Translatability
4.8. Regulatory Aspects
5. Conclusions
6. Future Directions
Author Contributions
Funding
Institutional Review Board Statement
Informed Consent Statement
Data Availability Statement
Acknowledgments
Conflicts of Interest
Abbreviations
| AGAT | Arginine–glycine amidinotransferase |
| ALS | Amyotrophic lateral sclerosis |
| ALSFRS-R | Amyotrophic lateral sclerosis functional rating scale (revised) |
| AUC | Area under the curve |
| ATP | Adenosine triphosphate |
| BBB | Blood–brain barrier |
| BCRP | Breast cancer resistance protein |
| CMC | Chemistry, Manufacturing, and Controls |
| CNS | Central nervous system |
| CrT | Creatine transporter |
| CrTD | Creatine transporter deficiency |
| CSF | Cerebrospinal fluid |
| DCE | Dodecyl creatine ester |
| DHA | Docosahexaenoic acid |
| DTE | Drug targeting efficiency |
| DTP | Direct NtB percentage |
| EEG | Electroencephalogram |
| fMRI | Functional MRI |
| GAMT | Guanidinoacetate methyltransferase |
| GLUT | Glucose transporter |
| GRAS | Generally recognized as safe |
| GSPR | General safety and performance requirement |
| iDDC | Integral drug-device combination |
| IN | Intranasal |
| IV | Intravenous |
| LFP | Local field potential |
| MCT | Monocarboxylate transporter |
| MDR | Medical device regulation |
| MRI | Magnetic resonance imaging |
| MRP | Multidrug resistance-associated protein |
| NHP | Non-human primate |
| NOAEL | No observed adverse effect level |
| NORD | National Organization for Rare Disorders |
| NtB | Nose-to-brain |
| NtN | Nose-to-neurons |
| PBPK | Physiologically based pharmacokinetic modelling |
| P-gp | P-glycoprotein |
| PEG | Polyethylene glycol |
| PSD | Particle size distribution |
| PET | Positron emission tomography |
| qEEG | Quantitative EEG |
| SPECT | Single photon emission computed tomography |
| WGA | Wheat germ agglutinin |
References
- Scheen, A.J.; Paquot, N.; Lefebvre, P.J. Perspectives on atypical routes of insulin administration. Oral, rectal, and nasal routes. Ann. Endocrinol. 1988, 49, 386–390. [Google Scholar]
- Wüthrich, P.; Buri, P. The transnasal route of drug administration. Aspects of nasal anatomy and physiology. Pharm. Acta Helv. 1989, 64, 322–331. [Google Scholar]
- Thorne, R.G.; Frey, W.H. Delivery of Neurotrophic Factors to the Central Nervous System: Pharmacokinetic Considerations. Clin. Pharmacokinet. 2001, 40, 907–946. [Google Scholar] [CrossRef] [PubMed]
- Illum, L. Is Nose-to-Brain Transport of Drugs in Man a Reality? J. Pharm. Pharmacol. 2004, 56, 3–17. [Google Scholar] [CrossRef]
- Merkus, F.W.; van den Berg, M.P. Can Nasal Drug Delivery Bypass the Blood-Brain Barrier?: Questioning the Direct Transport Theory. Drugs R D 2007, 8, 133–144. [Google Scholar] [CrossRef]
- Dhuria, S.V.; Hanson, L.R.; Frey, W.H. Intranasal Delivery to the Central Nervous System: Mechanisms and Experimental Considerations. J. Pharm. Sci. 2010, 99, 1654–1673. [Google Scholar] [CrossRef]
- Landis, M.S.; Boyden, T.; Pegg, S. Nasal-to-CNS Drug Delivery: Where Are We Now and Where Are We Heading? An Industrial Perspective. Ther. Deliv. 2012, 3, 195–208. [Google Scholar] [CrossRef] [PubMed]
- Erdő, F.; Bors, L.A.; Farkas, D.; Bajza, Á.; Gizurarson, S. Evaluation of Intranasal Delivery Route of Drug Administration for Brain Targeting. Brain Res. Bull. 2018, 143, 155–170. [Google Scholar] [CrossRef]
- Taha, E.; Shetta, A.; Nour, S.A.; Naguib, M.J.; Mamdouh, W. Versatile Nanoparticulate Systems as a Prosperous Platform for Targeted Nose-Brain Drug Delivery. Mol. Pharm. 2024, 21, 999–1014. [Google Scholar] [CrossRef]
- Drath, I.; Richter, F.; Feja, M. Nose-to-Brain Drug Delivery: From Bench to Bedside. Transl. Neurodegener. 2025, 14, 23. [Google Scholar] [CrossRef] [PubMed]
- Keller, L.A.; Merkel, O.; Popp, A. Intranasal Drug Delivery: Opportunities and Toxicologic Challenges during Drug Development. Drug Deliv. Transl. Res. 2022, 12, 735–757. [Google Scholar] [CrossRef]
- Trotier-Faurion, A.; Dézard, S.; Taran, F.; Valayannopoulos, V.; de Lonlay, P.; Mabondzo, A. Synthesis and Biological Evaluation of New Creatine Fatty Esters Revealed Dodecyl Creatine Ester as a Promising Drug Candidate for the Treatment of the Creatine Transporter Deficiency. J. Med. Chem. 2013, 56, 5173–5181. [Google Scholar] [CrossRef] [PubMed]
- Disdier, C.; Lhotellier, C.; Guyot, A.C.; Costa, N.; Théodoro, F.; Pruvost, A.; Skelton, M.R.; Joudinaud, T.; Mabondzo, A.; Bénech, H. Dodecyl Creatine Ester, a Promising Treatment to Deliver Creatine to Neurons, Achieves Pharmacology Efficacy in Creatine Transporter Deficiency. Eur. J. Med. Chem. 2025, 284, 117195. [Google Scholar] [CrossRef]
- Kalvass, J.C.; Olson, E.R.; Cassidy, M.P.; Selley, D.E.; Pollack, G.M. Pharmacokinetics and Pharmacodynamics of Seven Opioids in P-Glycoprotein-Competent Mice: Assessment of Unbound Brain EC50,u and Correlation of in Vitro, Preclinical, and Clinical Data. J. Pharmacol. Exp. Ther. 2007, 323, 346–355. [Google Scholar] [CrossRef] [PubMed]
- Sharma, K.R.; Malik, A.; Roof, R.A.; Boyce, J.P.; Verma, S.K. New Approaches for Challenging Therapeutic Targets. Drug Discov. Today 2024, 29, 103942. [Google Scholar] [CrossRef] [PubMed]
- Partridge, B.; Eardley, A.; Morales, B.E.; Campelo, S.N.; Lorenzo, M.F.; Mehta, J.N.; Kani, Y.; Mora, J.K.G.; Campbell, E.-O.Y.; Arena, C.B.; et al. Advancements in Drug Delivery Methods for the Treatment of Brain Disease. Front. Vet. Sci. 2022, 9, 1039745. [Google Scholar] [CrossRef]
- Löscher, W.; Potschka, H. Drug Resistance in Brain Diseases and the Role of Drug Efflux Transporters. Nat. Rev. Neurosci. 2005, 6, 591–602. [Google Scholar] [CrossRef]
- Hartz, A.M.; Bauer, B. ABC Transporters in the CNS—An Inventory. Curr. Pharm. Biotechnol. 2011, 12, 656–673. [Google Scholar] [CrossRef]
- Chen, T.; Dai, Y.; Hu, C.; Lin, Z.; Wang, S.; Yang, J.; Zeng, L.; Li, S.; Li, W. Cellular and Molecular Mechanisms of the Blood–Brain Barrier Dysfunction in Neurodegenerative Diseases. Fluids Barriers CNS 2024, 21, 60. [Google Scholar] [CrossRef]
- Pardridge, W.M. Drug Transport across the Blood-Brain Barrier. J. Cereb. Blood Flow Metab. 2012, 32, 1959–1972. [Google Scholar] [CrossRef]
- Zhao, P.; Wu, T.; Tian, Y.; You, J.; Cui, X. Recent Advances of Focused Ultrasound Induced Blood-Brain Barrier Opening for Clinical Applications of Neurodegenerative Diseases. Adv. Drug Deliv. Rev. 2024, 209, 115323. [Google Scholar] [CrossRef]
- Hynynen, K.; McDannold, N.; Sheikov, N.A.; Jolesz, F.A.; Vykhodtseva, N. Local and Reversible Blood-Brain Barrier Disruption by Noninvasive Focused Ultrasound at Frequencies Suitable for Trans-Skull Sonications. Neuroimage 2005, 24, 12–20. [Google Scholar] [CrossRef]
- Alvarez-Erviti, L.; Seow, Y.; Yin, H.; Betts, C.; Lakhal, S.; Wood, M.J. Delivery of siRNA to the Mouse Brain by Systemic Injection of Targeted Exosomes. Nat. Biotechnol. 2011, 29, 341–345. [Google Scholar] [CrossRef]
- Sahay, G.; Querbes, W.; Alabi, C.; Eltoukhy, A.; Sarkar, S.; Zurenko, C.; Karagiannis, E.; Love, K.; Chen, D.; Zoncu, R.; et al. Efficiency of siRNA Delivery by Lipid Nanoparticles Is Limited by Endocytic Recycling. Nat. Biotechnol. 2013, 31, 653–658. [Google Scholar] [CrossRef] [PubMed]
- Romeo, V.D.; deMeireles, J.; Sileno, A.P.; Pimplaskar, H.K.; Behl, C.R. Effects of Physicochemical Properties and Other Factors on Systemic Nasal Drug Delivery. Adv. Drug Deliv. Rev. 1998, 29, 89–116. [Google Scholar] [CrossRef] [PubMed]
- Illum, L. Nasal Drug Delivery—Possibilities, Problems and Solutions. J. Control. Release 2003, 87, 187–198. [Google Scholar] [CrossRef]
- Swati, M.; John, J.; Sandip, K. Review on Nasal Drug Delivery System. World J. Pharm. Sci. 2014, 2, 1058–1070. [Google Scholar]
- Féron, F.; Perry, C.; McGrath, J.J.; Mackay-Sim, A. New Techniques for Biopsy and Culture of Human Olfactory Epithelial Neurons. Arch. Otolaryngol. Head Neck Surg. 1998, 124, 861–866. [Google Scholar] [CrossRef]
- Pawar, B.; Vasdev, N.; Gupta, T.; Mhatre, M.; More, A.; Anup, N.; Tekade, R.K. Current Update on Transcellular Brain Drug Delivery. Pharmaceutics 2022, 14, 2719. [Google Scholar] [CrossRef]
- Crowe, T.P.; Greenlee, M.H.W.; Kanthasamy, A.G.; Hsu, W.H. Mechanism of Intranasal Drug Delivery Directly to the Brain. Life Sci. 2018, 195, 44–52. [Google Scholar] [CrossRef]
- Sasaki, K.; Fukakusa, S.; Torikai, Y.; Suzuki, C.; Sonohata, I.; Kawahata, T.; Magata, Y.; Kawai, K.; Haruta, S. Effective Nose-to-Brain Drug Delivery Using a Combination System Targeting the Olfactory Region in Monkeys. J. Control. Release 2023, 359, 384–399. [Google Scholar] [CrossRef] [PubMed]
- Johnson, N.J.; Hanson, L.R.; Frey, W.H. Trigeminal Pathways Deliver a Low Molecular Weight Drug from the Nose to the Brain and Orofacial Structures. Mol. Pharm. 2010, 7, 884–893. [Google Scholar] [CrossRef]
- Chemuturi, N.V.; Donovan, M.D. Role of Organic Cation Transporters in Dopamine Uptake across Olfactory and Nasal Respiratory Tissues. Mol. Pharm. 2007, 4, 936–942. [Google Scholar] [CrossRef] [PubMed]
- Akita, T.; Oda, Y.; Kimura, R.; Nagai, M.; Tezuka, A.; Shimamura, M.; Washizu, K.; Oka, J.I.; Yamashita, C. Involvement of Trigeminal Axons in Nose-to-Brain Delivery of Glucagon-like Peptide-2 Derivative. J. Control. Release 2022, 351, 573–580. [Google Scholar] [CrossRef]
- Maigler, F.; Ladel, S.; Flamm, J.; Gänger, S.; Kurpiers, B.; Kiderlen, S.; Völk, R.; Hamp, C.; Hartung, S.; Spiegel, S.; et al. Selective CNS Targeting and Distribution with a Refined Region-Specific Intranasal Delivery Technique via the Olfactory Mucosa. Pharmaceutics 2021, 13, 1904. [Google Scholar] [CrossRef]
- Balin, B.J.; Broadwell, R.D.; Salcman, M.; el-Kalliny, M. Avenues for Entry of Peripherally Administered Protein to the Central Nervous System in Mouse, Rat, and Squirrel Monkey. J. Comp. Neurol. 1986, 251, 260–280. [Google Scholar] [CrossRef]
- Alcalá-Barraza, S.R.; Lee, M.S.; Hanson, L.R.; McDonald, A.A.; Frey, W.H.; McLoon, L.K. Intranasal Delivery of Neurotrophic Factors BDNF, CNTF, EPO, and NT-4 to the CNS. J. Drug Target. 2010, 18, 179–190. [Google Scholar] [CrossRef]
- Kamei, N.; Suwabe, S.; Arime, K.; Bando, H.; Murata, K.; Yamaguchi, M.; Yokoyama, N.; Tanaka, E.; Hashimoto, A.; Kanazawa, T.; et al. Investigation of the Transport Pathways Associated with Enhanced Brain Delivery of Peptide Drugs by Intranasal Coadministration with Penetratin. Pharmaceutics 2021, 13, 1745. [Google Scholar] [CrossRef]
- Thorne, R.G.; Pronk, G.J.; Padmanabhan, V.; Frey, W.H. Delivery of Insulin-like Growth Factor-I to the Rat Brain and Spinal Cord along Olfactory and Trigeminal Pathways Following Intranasal Administration. Neuroscience 2004, 127, 481–496. [Google Scholar] [CrossRef]
- Akita, T.; Kimura, R.; Akaguma, S.; Nagai, M.; Nakao, Y.; Tsugane, M.; Suzuki, H.; Oka, J.I.; Yamashita, C. Usefulness of Cell-Penetrating Peptides and Penetration Accelerating Sequence for Nose-to-Brain Delivery of Glucagon-like Peptide-2. J. Control. Release 2021, 335, 575–583. [Google Scholar] [CrossRef] [PubMed]
- Pires, A.; Fortuna, A.; Alves, G.; Falcão, A. Intranasal Drug Delivery: How, Why and What For? J. Pharm. Pharm. Sci. 2009, 12, 288–311. [Google Scholar] [CrossRef] [PubMed]
- Kozlovskaya, L.; Abou-Kaoud, M.; Stepensky, D. Quantitative Analysis of Drug Delivery to the Brain via Nasal Route. J. Control. Release 2014, 189, 133–140. [Google Scholar] [CrossRef]
- Quintana, D.S.; Guastella, A.J.; Westlye, L.T.; Andreassen, O.A. The Promise and Pitfalls of Intranasally Administering Psychopharmacological Agents for the Treatment of Psychiatric Disorders. Mol. Psychiatry 2016, 21, 29–38. [Google Scholar] [CrossRef]
- Vikas, R. Nasal Vaccine Delivery. In Micro and Nanotechnology in Vaccine Development; William Andrew Publishing: Norwich, NY, USA, 2016; pp. 279–302. ISBN 978-0-323-39981-4. [Google Scholar]
- FDA Inactive Ingredients Database Download. 2025. Available online: https://www.fda.gov/drugs/drug-approvals-and-databases/inactive-ingredients-database-download (accessed on 19 December 2025).
- Tan, N.C.; Cooksley, C.M.; Paramasivan, S.; Vreugde, S.; Wormald, P.J. Safety Evaluation of a Sinus Surfactant in an Explant-Based Cytotoxicity Assay. Laryngoscope 2014, 124, 369–372. [Google Scholar] [CrossRef]
- Blumenthal, H.J. Butterscotch Masks the Bitter Taste of Sumatriptan Nasal Spray. Headache J. Head Face Pain 2001, 41, 210. [Google Scholar] [CrossRef] [PubMed]
- Perez, A.P.; Mundiña-Weilenmann, C.; Romero, E.L.; Morilla, M.J. Increased Brain Radioactivity by Intranasal P-Labeled siRNA Dendriplexes within in Situ-Forming Mucoadhesive Gels. Int. J. Nanomed. 2012, 7, 1373–1385. [Google Scholar] [CrossRef]
- Ikechukwu Ugwoke, M.; Sam, E.; Van Den Mooter, G.; Verbeke, N.; Kinget, R. Nasal Mucoadhesive Delivery Systems of the Anti-Parkinsonian Drug, Apomorphine: Influence of Drug-Loading on in Vitro and in Vivo Release in Rabbits. Int. J. Pharm. 1999, 181, 125–138. [Google Scholar] [CrossRef]
- Varshosaz, J.; Sadrai, H.; Heidari, A. Nasal Delivery of Insulin Using Bioadhesive Chitosan Gels. Drug Deliv. 2006, 13, 31–38. [Google Scholar] [CrossRef]
- Zaki, N.M.; Awad, G.A.; Mortada, N.D.; Abd ElHady, S.S. Rapid-Onset Intranasal Delivery of Metoclopramide Hydrochloride. Part I. Influence of Formulation Variables on Drug Absorption in Anesthetized Rats. Int. J. Pharm. 2006, 327, 89–96. [Google Scholar] [CrossRef] [PubMed]
- Nagstrup, A.H. The Use of Benzalkonium Chloride in Topical Glaucoma Treatment. Acta Ophthalmol. 2023, 101, 3–21. [Google Scholar] [CrossRef]
- Johnson, N.F. Pulmonary Toxicity of Benzalkonium Chloride. J. Aerosol. Med. Pulm. Drug Deliv. 2018, 31, 1–17. [Google Scholar] [CrossRef]
- Ali, A.; Prajapati, S.K.; Devendra, S.; Kumar, B.; Kausar, S. Enhanced Bioavailability of Drugs via Intranasal Drug Delivery System. Int. Res. J. Pharm. 2012, 3, 68–74. [Google Scholar]
- Wang, H.; Hussain, A.A.; Wedlund, P.J. Nipecotic Acid: Systemic Availability and Brain Delivery after Nasal Administration of Nipecotic Acid and n-Butyl Nipecotate to Rats. Pharm. Res. 2005, 22, 556–562. [Google Scholar] [CrossRef]
- Quintana, D.S.; Westlye, L.T.; Rustan, Ø.; Tesli, N.; Poppy, C.L.; Smevik, H.; Tesli, M.; Røine, M.; Mahmoud, R.A.; Smerud, K.T.; et al. Low-Dose Oxytocin Delivered Intranasally with Breath Powered Device Affects Social-Cognitive Behavior: A Randomized Four-Way Crossover Trial with Nasal Cavity Dimension Assessment. Transl. Psychiatry 2015, 5, e602. [Google Scholar] [CrossRef]
- Guastella, A.J.; Hickie, I.B.; McGuinness, M.M.; Otis, M.; Woods, E.A.; Disinger, H.M.; Chan, H.K.; Chen, T.F.; Banati, R.B. Recommendations for the Standardisation of Oxytocin Nasal Administration and Guidelines for Its Reporting in Human Research. Psychoneuroendocrinology 2013, 38, 612–625. [Google Scholar] [CrossRef] [PubMed]
- Kaag Rasmussen, M.; Møllgård, K.; Bork, P.A.R.; Weikop, P.; Esmail, T.; Drici, L.; Wewer Albrechtsen, N.J.; Carlsen, J.F.; Huynh, N.P.T.; Ghitani, N.; et al. Trigeminal Ganglion Neurons Are Directly Activated by Influx of CSF Solutes in a Migraine Model. Science 2024, 385, 80–86. [Google Scholar] [CrossRef] [PubMed]
- Ligocki, A.P.; Vinson, A.V.; Yachnis, A.T.; Dunn, W.A., Jr.; Smith, D.E.; Scott, E.A.; Alvarez-Castanon, J.V.; Baez Montalvo, D.E.; Frisone, O.G.; Brown, G.A.J.; et al. Cerebrospinal Fluid Flow Extends to Peripheral Nerves Further Unifying the Nervous System. Sci. Adv. 2024, 10, eadn3259. [Google Scholar] [CrossRef] [PubMed]
- Li, X.; Wang, S.; Zhang, D.; Feng, Y.; Liu, Y.; Yu, W.; Cui, L.; Harkany, T.; Verkhratsky, A.; Xia, M.; et al. The Periaxonal Space as a Conduit for Cerebrospinal Fluid Flow to Peripheral Organs. Proc. Natl. Acad. Sci. USA 2024, 121, e2400024121. [Google Scholar] [CrossRef]
- Shipley, M.T. Transport of Molecules from Nose to Brain: Transneuronal Anterograde and Retrograde Labeling in the Rat Olfactory System by Wheat Germ Agglutinin-Horseradish Peroxidase Applied to the Nasal Epithelium. Brain Res. Bull. 1985, 15, 129–142. [Google Scholar] [CrossRef]
- Born, J.; Lange, T.; Kern, W.; McGregor, G.P.; Bickel, U.; Fehm, H.L. Sniffing Neuropeptides: A Transnasal Approach to the Human Brain. Nat. Neurosci. 2002, 5, 514–516. [Google Scholar] [CrossRef]
- Bose, M.; Farias Quipildor, G.; Ehrlich, M.E.; Salton, S.R. Intranasal Peptide Therapeutics: A Promising Avenue for Overcoming the Challenges of Traditional CNS Drug Development. Cells 2022, 11, 3629. [Google Scholar] [CrossRef]
- Henriksson, J.; Tallkvist, J.; Tjälve, H. Uptake of Nickel into the Brain via Olfactory Neurons in Rats. Toxicol. Lett. 1997, 91, 153–162. [Google Scholar] [CrossRef]
- Chen, X.Q.; Fawcett, J.R.; Rahman, Y.E.; Ala, T.A.; Frey, W.H., II. Delivery of Nerve Growth Factor to the Brain via the Olfactory Pathway. J. Alzheimer’s Dis. 1998, 1, 35–44. [Google Scholar] [CrossRef]
- Ross, T.M.; Martinez, P.M.; Renner, J.C.; Thorne, R.G.; Hanson, L.R.; Frey, W.H. Intranasal Administration of Interferon Beta Bypasses the Blood-Brain Barrier to Target the Central Nervous System and Cervical Lymph Nodes: A Non-Invasive Treatment Strategy for Multiple Sclerosis. J. Neuroimmunol. 2004, 151, 66–77. [Google Scholar] [CrossRef] [PubMed]
- Westin, U.E.; Boström, E.; Gråsjö, J.; Hammarlund-Udenaes, M.; Björk, E. Direct Nose-to-Brain Transfer of Morphine after Nasal Administration to Rats. Pharm. Res. 2006, 23, 565–572. [Google Scholar] [CrossRef]
- Chow, H.S.; Chen, Z.; Matsuura, G.T. Direct Transport of Cocaine from the Nasal Cavity to the Brain Following Intranasal Cocaine Administration in Rats. J. Pharm. Sci. 1999, 88, 754–758. [Google Scholar] [CrossRef] [PubMed]
- Gonçalves, J.; Silva, S.; Gouveia, F.; Bicker, J.; Falcão, A.; Alves, G.; Fortuna, A. A Combo-Strategy to Improve Brain Delivery of Antiepileptic Drugs: Focus on BCRP and Intranasal Administration. Int. J. Pharm. 2021, 593, 120161. [Google Scholar] [CrossRef]
- Shingaki, T.; Hidalgo, I.J.; Furubayashi, T.; Sakane, T.; Katsumi, H.; Yamamoto, A.; Yamashita, S. Nasal Delivery of P-Gp Substrates to the Brain through the Nose-Brain Pathway. Drug Metab. Pharmacokinet. 2011, 26, 248–255. [Google Scholar] [CrossRef] [PubMed]
- Kao, H.D.; Traboulsi, A.; Itoh, S.; Dittert, L.; Hussain, A. Enhancement of the Systemic and CNS Specific Delivery of L-Dopa by the Nasal Administration of Its Water Soluble Prodrugs. Pharm. Res. 2000, 17, 978–984. [Google Scholar] [CrossRef]
- Kirsch, P.; Esslinger, C.; Chen, Q.; Mier, D.; Lis, S.; Siddhanti, S.; Gruppe, H.; Mattay, V.S.; Gallhofer, B.; Meyer-Lindenberg, A. Oxytocin Modulates Neural Circuitry for Social Cognition and Fear in Humans. J. Neurosci. 2005, 25, 11489–11493. [Google Scholar] [CrossRef]
- Domes, G.; Heinrichs, M.; Michel, A.; Berger, C.; Herpertz, S.C. Oxytocin Improves “Mind-Reading” in Humans. Biol. Psychiatry 2007, 61, 731–733. [Google Scholar] [CrossRef] [PubMed]
- Guastella, A.J.; Einfeld, S.L.; Gray, K.M.; Rinehart, N.J.; Tonge, B.J.; Lambert, T.J.; Hickie, I.B. Intranasal Oxytocin Improves Emotion Recognition for Youth with Autism Spectrum Disorders. Biol. Psychiatry 2010, 67, 692–694. [Google Scholar] [CrossRef] [PubMed]
- Leng, G.; Ludwig, M. Intranasal Oxytocin: Myths and Delusions. Biol. Psychiatry 2016, 79, 243–250. [Google Scholar] [CrossRef]
- Godfrey, L.; Iannitelli, A.; Garrett, N.L.; Moger, J.; Imbert, I.; King, T.; Porreca, F.; Soundararajan, R.; Lalatsa, A.; Schätzlein, A.G.; et al. Nanoparticulate Peptide Delivery Exclusively to the Brain Produces Tolerance Free Analgesia. J. Control. Release 2018, 270, 135–144. [Google Scholar] [CrossRef]
- De Felice, F.G. Alzheimer’s Disease and Insulin Resistance: Translating Basic Science into Clinical Applications. J. Clin. Investig. 2013, 123, 531–539. [Google Scholar] [CrossRef]
- Kleinridders, A.; Ferris, H.A.; Cai, W.; Kahn, C.R. Insulin Action in Brain Regulates Systemic Metabolism and Brain Function. Diabetes 2014, 63, 2232–2243. [Google Scholar] [CrossRef]
- Wingrove, J.; Swedrowska, M.; Scherließ, R.; Parry, M.; Ramjeeawon, M.; Taylor, D.; Gauthier, G.; Brown, L.; Amiel, S.; Zelaya, F.; et al. Characterisation of Nasal Devices for Delivery of Insulin to the Brain and Evaluation in Humans Using Functional Magnetic Resonance Imaging. J. Control. Release 2019, 302, 140–147. [Google Scholar] [CrossRef] [PubMed]
- Shimizu, H.; Oh-I, S.; Okada, S.; Mori, M. Inhibition of Appetite by Nasal Leptin Administration in Rats. Int. J. Obes. 2005, 29, 858–863. [Google Scholar] [CrossRef][Green Version]
- De Rosa, R.; Garcia, A.A.; Braschi, C.; Capsoni, S.; Maffei, L.; Berardi, N.; Cattaneo, A. Intranasal Administration of Nerve Growth Factor (NGF) Rescues Recognition Memory Deficits in AD11 Anti-NGF Transgenic Mice. Proc. Natl. Acad. Sci. USA 2005, 102, 3811–3816. [Google Scholar] [CrossRef]
- Danielyan, L.; Schäfer, R.; von Ameln-Mayerhofer, A.; Buadze, M.; Geisler, J.; Klopfer, T.; Burkhardt, U.; Proksch, B.; Verleysdonk, S.; Ayturan, M.; et al. Intranasal Delivery of Cells to the Brain. Eur. J. Cell Biol. 2009, 88, 315–324. [Google Scholar] [CrossRef]
- Fachel, F.N.S.; Salatino-Oliveira, A.; Carniel, W.D.S.; Zimmermann, R.; Matte, U.; Teixeira, H.F.; Baldo, G.; Schuh, R.S. Recent Advances in Nose-to-Brain Gene Delivery for Central Nervous System Disorders. Pharmaceutics 2025, 17, 1177. [Google Scholar] [CrossRef]
- Ullio-Gamboa, G.; Udobi, K.C.; Dezard, S.; Perna, M.K.; Miles, K.N.; Costa, N.; Taran, F.; Pruvost, A.; Benoit, J.P.; Skelton, M.R.; et al. Dodecyl Creatine Ester-Loaded Nanoemulsion as a Promising Therapy for Creatine Transporter Deficiency. Nanomedicine 2019, 14, 1579–1593. [Google Scholar] [CrossRef] [PubMed]
- Disdier, C.; Soyer, A.; Broca-Brisson, L.; Goutal, S.; Guyot, A.C.; Ziani, N.; Breuil, L.; Winkeler, A.; Hugon, G.; Joudinaud, T.; et al. Impaired Brain Glucose Metabolism as a Biomarker for Evaluation of Dodecyl Creatine Ester in Creatine Transporter Deficiency: Insights from Patient Brain-Derived Organoids and in Vivo [18F]FDG PET Imaging in a Mouse Model. Neurobiol. Dis. 2024, 202, 106720. [Google Scholar] [CrossRef] [PubMed]
- Lochhead, J.J.; Thorne, R.G. Intranasal Delivery of Biologics to the Central Nervous System. Adv. Drug Deliv. Rev. 2012, 64, 614–628. [Google Scholar] [CrossRef]
- Smith, K.; Fan, J.; Marriner, G.A.; Gerdes, J.; Kessler, R.; Zinn, K.R. Distribution of Insulin in Primate Brain Following Nose-to-Brain Transport. Alzheimer’s Dement. Transl. Res. Clin. Interv. 2024, 10, e12459. [Google Scholar] [CrossRef]
- Wong, C.Y.J.; Baldelli, A.; Hoyos, C.M.; Tietz, O.; Ong, H.X.; Traini, D. Insulin Delivery to the Brain via the Nasal Route: Unraveling the Potential for Alzheimer’s Disease Therapy. Drug Deliv. Transl. Res. 2024, 14, 1776–1793. [Google Scholar] [CrossRef]
- Grassin-Delyle, S.; Buenestado, A.; Naline, E.; Faisy, C.; Blouquit-Laye, S.; Couderc, L.J.; Le Guen, M.; Fischler, M.; Devillier, P. Intranasal Drug Delivery: An Efficient and Non-Invasive Route for Systemic Administration: Focus on Opioids. Pharmacol. Ther. 2012, 134, 366–379. [Google Scholar] [CrossRef]
- Nedelcovych, M.; Dash, R.P.; Tenora, L.; Zimmermann, S.C.; Gadiano, A.J.; Garrett, C.; Alt, J.; Hollinger, K.R.; Pommier, E.; Jančařík, A.; et al. Enhanced Brain Delivery of 2-(Phosphonomethyl)Pentanedioic Acid Following Intranasal Administration of Its γ-Substituted Ester Prodrugs. Mol. Pharm. 2017, 14, 3248–3257. [Google Scholar] [CrossRef] [PubMed]
- Pires, P.C.; Fazendeiro, A.C.; Rodrigues, M.; Alves, G.; Santos, A.O. Nose-to-Brain Delivery of Phenytoin and Its Hydrophilic Prodrug Fosphenytoin Combined in a Microemulsion-Formulation Development and in Vivo Pharmacokinetics. Eur. J. Pharm. Sci. 2021, 164, 105918. [Google Scholar] [CrossRef]
- Lee, K.R.; Maeng, H.J.; Chae, J.B.; Chong, S.; Kim, D.D.; Shim, C.K.; Chung, S.J. Lack of a Primary Physicochemical Determinant in the Direct Transport of Drugs to the Brain after Nasal Administration in Rats: Potential Involvement of Transporters in the Pathway. Drug Metab. Pharmacokinet. 2010, 25, 430–441. [Google Scholar] [CrossRef]
- Rajput, A.; Pingale, P.; Dhapte-Pawar, V. Nasal Delivery of Neurotherapeutics. Front. Pharmacol. 2022, 13, 979682. [Google Scholar] [CrossRef]
- Kamei, N.; Takeda-Morishita, M. Brain Delivery of Insulin Boosted by Intranasal Coadministration with Cell-Penetrating Peptides. J. Control. Release 2015, 197, 105–110. [Google Scholar] [CrossRef]
- Kamei, N.; Okada, N.; Ikeda, T.; Choi, H.; Fujiwara, Y.; Okumura, H.; Takeda-Morishita, M. Effective Nose-to-Brain Delivery of Exendin-4 via Coadministration with Cell-Penetrating Peptides for Improving Progressive Cognitive Dysfunction. Sci. Rep. 2018, 8, 17641. [Google Scholar] [CrossRef] [PubMed]
- Khafagy, E.S.; Kamei, N.; Fujiwara, Y.; Okumura, H.; Yuasa, T.; Kato, M.; Arime, K.; Nonomura, A.; Ogino, H.; Hirano, S.; et al. Systemic and Brain Delivery of Leptin via Intranasal Coadministration with Cell-Penetrating Peptides and Its Therapeutic Potential for Obesity. J. Control. Release 2020, 319, 397–406. [Google Scholar] [CrossRef] [PubMed]
- Nash, S.R.; Giros, B.; Kingsmore, S.F.; Rochelle, J.M.; Suter, S.T.; Gregor, P.; Seldin, M.F.; Caron, M.G. Cloning, Pharmacological Characterization, and Genomic Localization of the Human Creatine Transporter. Recept. Channels 1994, 2, 165–174. [Google Scholar] [PubMed]
- Wyss, M.; Kaddurah-Daouk, R. Creatine and Creatinine Metabolism. Physiol. Rev. 2000, 80, 1107–1213. [Google Scholar] [CrossRef]
- Fons, C.; Campistol, J. Creatine Defects and Central Nervous System. Semin. Pediatr. Neurol. 2016, 23, 285–289. [Google Scholar] [CrossRef]
- Fons, C.; Sempere, A.; Arias, A.; López-Sala, A.; Póo, P.; Pineda, M.; Mas, A.; Vilaseca, M.A.; Salomons, G.S.; Ribes, A.; et al. Arginine Supplementation in Four Patients with X-Linked Creatine Transporter Defect. J. Inherit. Metab. Dis. 2008, 31, 724–728. [Google Scholar] [CrossRef]
- Perasso, L.; Cupello, A.; Lunardi, G.L.; Principato, C.; Gandolfo, C.; Balestrino, M. Kinetics of Creatine in Blood and Brain after Intraperitoneal Injection in the Rat. Brain Res. 2003, 974, 37–42. [Google Scholar] [CrossRef]
- Lyoo, I.K.; Kong, S.W.; Sung, S.M.; Hirashima, F.; Parow, A.; Hennen, J.; Cohen, B.M.; Renshaw, P.F. Multinuclear Magnetic Resonance Spectroscopy of High-Energy Phosphate Metabolites in Human Brain Following Oral Supplementation of Creatine-Monohydrate. Psychiatry Res. 2003, 123, 87–100. [Google Scholar] [CrossRef]
- Tabrizi, S.J.; Blamire, A.M.; Manners, D.N.; Rajagopalan, B.; Styles, P.; Schapira, A.H.; Warner, T.T. Creatine Therapy for Huntington’s Disease: Clinical and MRS Findings in a 1-Year Pilot Study. Neurology 2003, 61, 141–142. [Google Scholar] [CrossRef]
- van de Kamp, J.M.; Betsalel, O.T.; Mercimek-Mahmutoglu, S.; Abulhoul, L.; Grünewald, S.; Anselm, I.; Azzouz, H.; Bratkovic, D.; de Brouwer, A.; Hamel, B.; et al. Phenotype and Genotype in 101 Males with X-Linked Creatine Transporter Deficiency. J. Med. Genet. 2013, 50, 463–472. [Google Scholar] [CrossRef]
- Bruun, T.U.J.; Sidky, S.; Bandeira, A.O.; Debray, F.-G.; Ficicioglu, C.; Goldstein, J.; Joost, K.; Koeberl, D.D.; Luísa, D.; Nassogne, M.-C.; et al. Treatment Outcome of Creatine Transporter Deficiency: International Retrospective Cohort Study. Metab. Brain Dis. 2018, 33, 875–884. [Google Scholar] [CrossRef] [PubMed]
- Lion-François, L.; Cheillan, D.; Pitelet, G.; Acquaviva-Bourdain, C.; Bussy, G.; Cotton, F.; Guibaud, L.; Gérard, D.; Rivier, C.; Vianey-Saban, C.; et al. High Frequency of Creatine Deficiency Syndromes in Patients with Unexplained Mental Retardation. Neurology 2006, 67, 1713–1714. [Google Scholar] [CrossRef]
- Corcia, P.; Beltran, S.; Bakkouche, S.E.; Couratier, P. Therapeutic News in ALS. Rev. Neurol. 2021, 177, 544–549. [Google Scholar] [CrossRef]
- Saxena, S.; Caroni, P. Selective Neuronal Vulnerability in Neurodegenerative Diseases: From Stressor Thresholds to Degeneration. Neuron 2011, 71, 35–48. [Google Scholar] [CrossRef] [PubMed]
- Dupuis, L.; Oudart, H.; René, F.; Gonzalez de Aguilar, J.L.; Loeffler, J.P. Evidence for Defective Energy Homeostasis in Amyotrophic Lateral Sclerosis: Benefit of a High-Energy Diet in a Transgenic Mouse Model. Proc. Natl. Acad. Sci. USA 2004, 101, 11159–11164. [Google Scholar] [CrossRef] [PubMed]
- Dupuis, L.; Gonzalez de Aguilar, J.L.; Oudart, H.; de Tapia, M.; Barbeito, L.; Loeffler, J.P. Mitochondria in Amyotrophic Lateral Sclerosis: A Trigger and a Target. Neurodegener. Dis. 2004, 1, 245–254. [Google Scholar] [CrossRef]
- Kew, S.Y.N.; Mok, S.Y.; Goh, C.H. Machine Learning and Brain-Computer Interface Approaches in Prognosis and Individualized Care Strategies for Individuals with Amyotrophic Lateral Sclerosis: A Systematic Review. MethodsX 2024, 13, 102765. [Google Scholar] [CrossRef]
- Groeneveld, G.J.; Veldink, J.H.; van der Tweel, I.; Kalmijn, S.; Beijer, C.; de Visser, M.; Wokke, J.H.; Franssen, H.; van den Berg, L.H. A Randomized Sequential Trial of Creatine in Amyotrophic Lateral Sclerosis. Ann. Neurol. 2003, 53, 437–445. [Google Scholar] [CrossRef]
- Shefner, J.M.; Cudkowicz, M.E.; Schoenfeld, D.; Conrad, T.; Taft, J.; Chilton, M.; Urbinelli, L.; Qureshi, M.; Zhang, H.; Pestronk, A.; et al. A Clinical Trial of Creatine in ALS. Neurology 2004, 63, 1656–1661. [Google Scholar] [CrossRef]
- Vielhaber, S.; Kaufmann, J.; Kanowski, M.; Sailer, M.; Feistner, H.; Tempelmann, C.; Elger, C.E.; Heinze, H.J.; Kunz, W.S. Effect of Creatine Supplementation on Metabolite Levels in ALS Motor Cortices. Exp. Neurol. 2001, 172, 377–382. [Google Scholar] [CrossRef]
- Rosenfeld, J.; King, R.M.; Jackson, C.E.; Bedlack, R.S.; Barohn, R.J.; Dick, A.; Phillips, L.H.; Chapin, J.; Gelinas, D.F.; Lou, J.S. Creatine Monohydrate in ALS: Effects on Strength, Fatigue, Respiratory Status and ALSFRS. Amyotroph. Lateral Scler. 2008, 9, 266–272. [Google Scholar] [CrossRef]
- Simon, D.K.; Wu, C.; Tilley, B.C.; Wills, A.M.; Aminoff, M.J.; Bainbridge, J.; Hauser, R.A.; Schneider, J.S.; Sharma, S.; Singer, C.; et al. Caffeine and Progression of Parkinson Disease: A Deleterious Interaction With Creatine. Clin. Neuropharmacol. 2015, 38, 163–169. [Google Scholar] [CrossRef]
- Pastula, D.M.; Moore, D.H.; Bedlack, R.S. Creatine for Amyotrophic Lateral Sclerosis/Motor Neuron Disease. Cochrane Database Syst. Rev. 2012, 12, CD005225. [Google Scholar] [CrossRef] [PubMed]
- Higuchi, T.; Stella, V.J.; American Chemical Society. Division of Medicinal Chemistry. Pro-Drugs as Novel Drug Delivery Systems; a Symposium Sponsored by the Division of Medicinal Chemistry at the 168th Meeting of the American Chemical Society, Atlantic City, N.J., September 10, 1974; ACS symposium series; American Chemical Society: Washington, DC, USA, 1975. [Google Scholar]
- Huang, C.H.; Kimura, R.; Bawarshi-Nassar, R.; Hussain, A. Mechanism of Nasal Absorption of Drugs. II: Absorption of L-Tyrosine and the Effect of Structural Modification on Its Absorption. J. Pharm. Sci. 1985, 74, 1298–1301. [Google Scholar] [CrossRef] [PubMed]
- Antunes Viegas, D.; Rodrigues, M.; Francisco, J.; Falcão, A.; Alves, G.; Santos, A.O. Development and Application of an Ex Vivo Fosphenytoin Nasal Bioconversion/Permeability Evaluation Method. Eur. J. Pharm. Sci. 2016, 89, 61–72. [Google Scholar] [CrossRef]
- Gufford, B.T.; Ezell, E.L.; Robinson, D.H.; Miller, D.W.; Miller, N.J.; Gu, X.; Vennerstrom, J.L. pH-Dependent Stability of Creatine Ethyl Ester: Relevance to Oral Absorption. J. Diet. Suppl. 2013, 10, 241–251. [Google Scholar] [CrossRef]
- EMA Guideline on the Pharmaceutical Quality of Inhalation and Nasal Medicinal Products–Revision 1 (EMEA/CHMP/QWP/49313/2005 Rev. 1); European Medicines Agency: Amsterdam, The Netherlands, 2025.
- Center for Drug Evaluation and, R. Guidance for Industry: Nasal Spray and Inhalation Solution, Suspension, and Spray Drug Products: Chemistry, Manufacturing, and Controls Documentation; U.S. Department of Health and Human Services, Food and Drug Administration, Center for Drug Evaluation and Research: Rockville, MD, USA, 2002.
- Disdier, C.; Lhotellier, C.; Wagner, S.; Andriambeloson, E.; Théodoro, F.; Pruvost, A.; Joudinaud, T.; Bénech, H.; Mabondzo, A. Intranasal Delivery of Dodecyl Creatine Ester Alleviates Motor Deficits and Increases Dopamine Levels in a 6-OHDA Rat Model of Parkinsonism. Front. Aging Neurosci. 2025, 17, 1597263. [Google Scholar] [CrossRef] [PubMed]
- Shinde, R.L.; Bharkad, G.P.; Devarajan, P.V. Intranasal Microemulsion for Targeted Nose to Brain Delivery in Neurocysticercosis: Role of Docosahexaenoic Acid. Eur. J. Pharm. Biopharm. 2015, 96, 363–379. [Google Scholar] [CrossRef]
- Wada, Y.; Ami, S.; Nozawa, M.; Goto, M.; Shimokawa, K.-I.; Ishii, F. Generic Selection Criteria for Safety and Patient Benefit [V]: Comparing the Pharmaceutical Properties and Patient Usability of Original and Generic Nasal Spray Containing Ketotifen Fumarate. Drug Discov. Ther. 2016, 10, 88–92. [Google Scholar] [CrossRef][Green Version]
- Ryan, W.R.; Hwang, P.H. Safety of a Preservative-Free Acidified Saline Nasal Spray: A Randomized, Double-Blind, Placebo-Controlled, Crossover Clinical Trial. Arch. Otolaryngol. Head Neck. Surg. 2010, 136, 1099–1103. [Google Scholar] [CrossRef] [PubMed][Green Version]
- European Pharmacopoeia Microbiological Quality of Non-Sterile Pharmaceutical Preparations and Substances for Pharmaceutical Use; European Directorate for the Quality of Medicines (EDQM): Strasbourg, France, 2011.
- Kushwaha, S.; Keshari, R.; Rai, A. Advances in Nasal Trans-Mucosal Drug Delivery. J. Appl. Pharm. Sci. 2011, 1, 21–28. [Google Scholar]
- Mehdi, I.; Parveen, S.; Choubey, S.; Rasheed, A.; Singh, P.; Ghayas, M. Comparative Study of Oral Midazolam Syrup and Intranasal Midazolam Spray for Sedative Premedication in Pediatric Surgeries. Anesth. Essays Res. 2019, 13, 370–375. [Google Scholar] [CrossRef]
- Duquesnoy, C.; Mamet, J.P.; Sumner, D.; Fuseau, E. Comparative Clinical Pharmacokinetics of Single Doses of Sumatriptan Following Subcutaneous, Oral, Rectal and Intranasal Administration. Eur. J. Pharm. Sci. 1998, 6, 99–104. [Google Scholar] [CrossRef]
- Peltoniemi, M.A.; Hagelberg, N.M.; Olkkola, K.T.; Saari, T.I. Ketamine: A Review of Clinical Pharmacokinetics and Pharmacodynamics in Anesthesia and Pain Therapy. Clin. Pharmacokinet. 2016, 55, 1059–1077. [Google Scholar] [CrossRef] [PubMed]
- Djupesland, P.G.; Messina, J.C.; Mahmoud, R.A. The Nasal Approach to Delivering Treatment for Brain Diseases: An Anatomic, Physiologic, and Delivery Technology Overview. Ther. Deliv. 2014, 5, 709–733. [Google Scholar] [CrossRef]
- Trevino, J.T.; Quispe, R.C.; Khan, F.; Novak, V. Non-Invasive Strategies for Nose-to-Brain Drug Delivery. J. Clin. Trials 2020, 10, 439. [Google Scholar]
- Kolanjiyil, A.V.; Walenga, R.; Babiskin, A.; Golshahi, L.; Hindle, M.; Longest, W. Establishing Quantitative Relationships between Changes in Nasal Spray in Vitro Metrics and Drug Delivery to the Posterior Nasal Region. Int. J. Pharm. 2023, 635, 122718. [Google Scholar] [CrossRef]
- EMA Questions & Answers–Implementation of the Medical Devices and In Vitro Diagnostic Medical Devices Regulations (EU) 2017/745 and (EU) 2017/746 (Revision 5, Reference No. EMA/37991/2019 Rev.5); European Medicines Agency: Amsterdam, The Netherlands, 2025.
- Council of the European Union Regulation (EU) 2017/745 of the European Parliament and of the Council of 5 April 2017 on Medical Devices, Amending Directive 2001/83/EC, Regulation (EC) No 178/2002 and Regulation (EC) No 1223/2009 and Repealing Council Directives 90/385/EEC and 93/42/EEC (Text with EEA Relevance); Official Journal of the European Union: Luxembourg, 2017; Volume L117, p. 1.
- Shinde, R.L.; Devarajan, P.V. Docosahexaenoic Acid–Mediated, Targeted and Sustained Brain Delivery of Curcumin Microemulsion. Drug Deliv. 2017, 24, 152–161. [Google Scholar] [CrossRef]
- Nigam, K.; Kaur, A.; Tyagi, A.; Nematullah, M.; Khan, F.; Gabrani, R.; Dang, S. Nose-to-Brain Delivery of Lamotrigine-Loaded PLGA Nanoparticles. Drug Deliv. Transl. Res. 2019, 9, 879–890. [Google Scholar] [CrossRef]
- Pacifici, G.M. Clinical Pharmacology of Midazolam in Neonates and Children: Effect of Disease—A Review. Int. J. Pediatr. 2014, 2014, 309342. [Google Scholar] [CrossRef]
- Wermeling, D.P.; Record, K.A.; Kelly, T.H.; Archer, S.M.; Clinch, T.; Rudy, A.C. Pharmacokinetics and Pharmacodynamics of a New Intranasal Midazolam Formulation in Healthy Volunteers. Anesth. Analg. 2006, 103, 344–349. [Google Scholar] [CrossRef]
- Mittal, D.; Ali, A.; Md, S.; Baboota, S.; Sahni, J.K.; Ali, J. Insights into Direct Nose to Brain Delivery: Current Status and Future Perspective. Drug Deliv. 2014, 21, 75–86. [Google Scholar] [CrossRef]
- Hanson, L.R.; Roeytenberg, A.; Martinez, P.M.; Coppes, V.G.; Sweet, D.C.; Rao, R.J.; Marti, D.L.; Hoekman, J.D.; Matthews, R.B.; Frey, W.H.; et al. Intranasal Deferoxamine Provides Increased Brain Exposure and Significant Protection in Rat Ischemic Stroke. J. Pharmacol. Exp. Ther. 2009, 330, 679–686. [Google Scholar] [CrossRef] [PubMed]
- Al-Ghananeem, A.M.; Saeed, H.; Florence, R.; Yokel, R.A.; Malkawi, A.H. Intranasal Drug Delivery of Didanosine-Loaded Chitosan Nanoparticles for Brain Targeting; an Attractive Route against Infections Caused by AIDS Viruses. J. Drug Target. 2010, 18, 381–388. [Google Scholar] [CrossRef] [PubMed]
- Yang, Z.; Huang, Y.; Gan, G.; Sawchuk, R.J. Microdialysis Evaluation of the Brain Distribution of Stavudine Following Intranasal and Intravenous Administration to Rats. J. Pharm. Sci. 2005, 94, 1577–1588. [Google Scholar] [CrossRef]
- Ducharme, N.; Banks, W.A.; Morley, J.E.; Robinson, S.M.; Niehoff, M.L.; Mattern, C. Brain Distribution and Behavioral Effects of Progesterone and Pregnenolone after Intranasal or Intravenous Administration. Eur. J. Pharmacol. 2010, 641, 128–134. [Google Scholar] [CrossRef] [PubMed]
- Md, S.; Khan, R.A.; Mustafa, G.; Chuttani, K.; Baboota, S.; Sahni, J.K.; Ali, J. Bromocriptine Loaded Chitosan Nanoparticles Intended for Direct Nose to Brain Delivery: Pharmacodynamic, Pharmacokinetic and Scintigraphy Study in Mice Model. Eur. J. Pharm. Sci. 2013, 48, 393–405. [Google Scholar] [CrossRef]
- Pardridge, W.M. Drug Transport in Brain via the Cerebrospinal Fluid. Fluids Barriers CNS 2011, 8, 7. [Google Scholar] [CrossRef]
- Srinivas, N.; Rosen, E.P.; Gilliland, W.M., Jr.; Kovarova, M.; Remling-Mulder, L.; De La Cruz, G.; White, N.; Adamson, L.; Schauer, A.P.; Sykes, C.; et al. Antiretroviral Concentrations and Surrogate Measures of Efficacy in the Brain Tissue and CSF of Preclinical Species. Xenobiotica 2019, 49, 1192–1201. [Google Scholar] [CrossRef]
- Fliedner, S.; Schulz, C.; Lehnert, H. Brain Uptake of Intranasally Applied Radioiodinated Leptin in Wistar Rats. Endocrinology 2006, 147, 2088–2094. [Google Scholar] [CrossRef]
- Banks, W.A.; Morley, J.E.; Niehoff, M.L.; Mattern, C. Delivery of Testosterone to the Brain by Intranasal Administration: Comparison to Intravenous Testosterone. J. Drug Target. 2009, 17, 91–97. [Google Scholar] [CrossRef]
- Chapman, C.D.; Frey, W.H.; Craft, S.; Danielyan, L.; Hallschmid, M.; Schiöth, H.B.; Benedict, C. Intranasal Treatment of Central Nervous System Dysfunction in Humans. Pharm. Res. 2013, 30, 2475–2484. [Google Scholar] [CrossRef]
- Iwasaki, S.; Yamamoto, S.; Sano, N.; Tohyama, K.; Kosugi, Y.; Furuta, A.; Hamada, T.; Igari, T.; Fujioka, Y.; Hirabayashi, H.; et al. Direct Drug Delivery of Low-Permeable Compounds to the Central Nervous System Via Intranasal Administration in Rats and Monkeys. Pharm. Res. 2019, 36, 76. [Google Scholar] [CrossRef] [PubMed]
- Kan, H.E.; Meeuwissen, E.; van Asten, J.J.; Veltien, A.; Isbrandt, D.; Heerschap, A. Creatine Uptake in Brain and Skeletal Muscle of Mice Lacking Guanidinoacetate Methyltransferase Assessed by Magnetic Resonance Spectroscopy. J. Appl. Physiol. 2007, 102, 2121–2127. [Google Scholar] [CrossRef]
- Illum, L. Nasal Delivery. The Use of Animal Models to Predict Performance in Man. J. Drug Target. 1996, 3, 427–442. [Google Scholar] [CrossRef]
- Gizurarson, S. The Relevance of Nasal Physiology to the Design of Drug Absorption Studies. Adv. Drug Deliv. Rev. 1993, 11, 329–347. [Google Scholar] [CrossRef]
- FDA Guidance for Industry: Estimating the Maximum Safe Starting Dose in Initial Clinical Trials for Therapeutics in Adult Healthy Volunteers; U.S. Food and Drug Administration: Rockville, MD, USA, 2005.
- Chefer, V.I.; Thompson, A.C.; Zapata, A.; Shippenberg, T.S. Overview of Brain Microdialysis. Curr. Protoc. Neurosci. 2009, 47, 7.1.1–7.1.28. [Google Scholar] [CrossRef] [PubMed]
- Heurling, K.; Leuzy, A.; Jonasson, M.; Frick, A.; Zimmer, E.R.; Nordberg, A.; Lubberink, M. Quantitative Positron Emission Tomography in Brain Research. Brain Res. 2017, 1670, 220–234. [Google Scholar] [CrossRef] [PubMed]
- Hampel, H.; O’Bryant, S.E.; Molinuevo, J.L.; Zetterberg, H.; Masters, C.L.; Lista, S.; Kiddle, S.J.; Batrla, R.; Blennow, K. Blood-Based Biomarkers for Alzheimer Disease: Mapping the Road to the Clinic. Nat. Rev. Neurol. 2018, 14, 639–652. [Google Scholar] [CrossRef] [PubMed]
- Buzsáki, G.; Anastassiou, C.A.; Koch, C. The Origin of Extracellular Fields and Currents—EEG, ECoG, LFP and Spikes. Nat. Rev. Neurosci. 2012, 13, 407–420. [Google Scholar] [CrossRef] [PubMed]
- Yang, L.; Wang, Z. Applications and Advances of Combined fMRI-fNIRs Techniques in Brain Functional Research. Front. Neurol. 2025, 16, 1542075. [Google Scholar] [CrossRef]
- Raja, S.M.; Guptill, J.T.; Mack, M.; Peterson, M.; Byard, S.; Twieg, R.; Jordan, L.; Rich, N.; Castledine, R.; Bourne, S.; et al. A Phase 1 Assessment of the Safety, Tolerability, Pharmacokinetics and Pharmacodynamics of (2R,6R)-Hydroxynorketamine in Healthy Volunteers. Clin. Pharmacol. Ther. 2024, 116, 1314–1324. [Google Scholar] [CrossRef]
- Shefner, J.M.; Bunte, T.; Kittle, G.; Genge, A.; van den Berg, L.H. Harmonized Standard Operating Procedures for Administering the ALS Functional Rating Scale-Revised. Amyotroph Lateral Scler Front. Degener. 2024, 25, 26–33. [Google Scholar] [CrossRef] [PubMed]



| Compounds | Function | Species | Key Findings |
|---|---|---|---|
| Small molecular weight (<10 kDa) | |||
| Morphine | Centrally acting analgesic | Rat | Morphine follows the NtB pathway, confirmed by plasma-to-brain AUC ratio Brain levels at 5 and 15 min post-intranasal dosing match intravenous administration Despite lower plasma levels, intranasal delivery shows an early brain distribution advantage [67] |
| Cocaine | Centrally acting stimulant | Rat | Cocaine produces effects within minutes of nasal use, before bloodstream detection, indicating an alternative brain entry pathway [68] |
| Zonisamide | Antiepileptic drug | Mouse | IV route: elacridar did not affect plasma zonisamide but tripled brain exposure IN route: no significant plasma or brain changes, suggesting limited BCRP influence Findings indicate zonisamide uses the NtB pathway for brain delivery [69] |
| Talinolol | Cardioselective β1-blocker | Rat | IN dosing results in greater delivery to the brain and CSF compared to IV [70] |
| Ketamine | General anesthetic and NMDA receptor antagonist | Human | Blood concentrations of ketamine were lower after IN administration than IV, despite achieving a comparable pharmacological effect, suggesting reduced peripheral exposure with similar CNS response IN dosing resulted in a lower proportion of responders compared with IV, highlighting the variability in response among individuals [43] |
| Prodrug of levodopa (L-dopa) | Precursor to dopamine, adrenaline, noradrenaline | Rat | IN administration of L-dopa results in higher concentrations in CSF and olfactory bulb compared to IV delivery This suggests that the butyl ester can reach the CSF or olfactory bulb through the NtB pathway [71] |
| Domperidone | Dopamine antagonist medication | Cynomolgus monkey | PET imaging of [18F] fallypride detected the compound in the caudate and putamen This indicates its transport to the brain through the NtB pathway [31] |
| Oxytocin | Peptide hormone and neuropeptide | Human | Limited ability to cross the BBB IN administration enables oxytocin to reach the brain via the NtB pathway and has been shown to improve trust, empathy, and emotional recognition, including in individuals with autism spectrum disorders [72,73,74,75] |
| Leucine- enkephalin | Peptide neurotransmitter | Rat | Reach the brain only when formulated as nanoparticles and administrated intranasally Showed no detectable peripheral exposure or activity [76] |
| Insulin | Peptide hormone | Human Rat Mouse Non-human primate | Dysregulation is linked to metabolic disorders (obesity, type 2 diabetes) and neurodegenerative diseases (AD) IN insulin administration showed minimal systemic absorption and predominantly reaches the brain via the NtB pathway [77,78,79] |
| High molecular weight (>15 kDa) | |||
| Leptin | Protein hormone | Rat | IN leptin delivers directly to the CNS Significantly reduces food intake [80] |
| Nerve growth factor (NGF) | Neurotrophic factor Neuropeptide | Rat Mouse | IN administration delivers to the brain reaching the olfactory bulbs Showed neuroprotective effects [65,81] |
| Plasmid DNA | Extrachromosomal DNA | Rat (cell culture) | IN administration successfully delivers intact cells to the brain Mesenchymal stem cells and glioma cells reach the brain within 1 h Suggests IN delivery could enable stem cell therapies for CNS disorders [82] |
| Device | Format | Formulation Type | Target Region(s) | Mechanism or Feature | References (URL Accessed on 19 December 2025) |
|---|---|---|---|---|---|
| Aero Pump | Multidose | Aqueous | General nasal cavity | Simple preservative-free spray | https://www.aeropump.de/en/products/nasal |
| Aptar VP7 or CPS | Uni/ Multidose | Aqueous | Olfactory & trigeminal | Preservative-free, consistent metering | https://aptar.com/en-us/products/pharmaceutical-cps-technology-platform |
| Gerresheimer | Multidose | Aqueous | General nasal cavity | Low actuation force | https://www.gerresheimer.com/fileadmin/user_upload/user_upload/primary-packaging/download/bottles-containers/Gerresheimer_Snap-on.pdf |
| Impel POD® | Unidose | Liquid | Olfactory bulb | Gas-propelled delivery, deep targeting | [133] |
| Kurve Vanase | Electronic | Liquid/ Powder | Upper posterior | Controlled waveform spray | [134] |
| Nemera | Multi/ Unidose | Aqueous | ENT/Olfactory | Range of nasal delivery options | https://www.nemera.net/products/ear-nose-throat/multidose-pumps/sp270-sp370/ |
| Optinose OptiMist™ | Breath-powered | Aqueous | Upper posterior | Patient-actuated via exhalation | https://optinose.com/exhalation-delivery-systems/technical-overview |
| Unither | Unidose | Aqueous | Variable | Simple, scalable, preservative-free | https://www.unither-pharma.fr/wp-content/uploads/2021/11/PFMD_Unither_1-page_EN.pdf |
Disclaimer/Publisher’s Note: The statements, opinions and data contained in all publications are solely those of the individual author(s) and contributor(s) and not of MDPI and/or the editor(s). MDPI and/or the editor(s) disclaim responsibility for any injury to people or property resulting from any ideas, methods, instructions or products referred to in the content. |
© 2026 by the authors. Licensee MDPI, Basel, Switzerland. This article is an open access article distributed under the terms and conditions of the Creative Commons Attribution (CC BY) license.
Share and Cite
Benech, H.; Flament, V.; Lhotellier, C.; Roucairol, C.; Joudinaud, T. New Insights into Drug Development via the Nose-to-Brain Pathway: Exemplification Through Dodecyl Creatine Ester for Neuronal Disorders. Pharmaceutics 2026, 18, 80. https://doi.org/10.3390/pharmaceutics18010080
Benech H, Flament V, Lhotellier C, Roucairol C, Joudinaud T. New Insights into Drug Development via the Nose-to-Brain Pathway: Exemplification Through Dodecyl Creatine Ester for Neuronal Disorders. Pharmaceutics. 2026; 18(1):80. https://doi.org/10.3390/pharmaceutics18010080
Chicago/Turabian StyleBenech, Henri, Victoria Flament, Clara Lhotellier, Camille Roucairol, and Thomas Joudinaud. 2026. "New Insights into Drug Development via the Nose-to-Brain Pathway: Exemplification Through Dodecyl Creatine Ester for Neuronal Disorders" Pharmaceutics 18, no. 1: 80. https://doi.org/10.3390/pharmaceutics18010080
APA StyleBenech, H., Flament, V., Lhotellier, C., Roucairol, C., & Joudinaud, T. (2026). New Insights into Drug Development via the Nose-to-Brain Pathway: Exemplification Through Dodecyl Creatine Ester for Neuronal Disorders. Pharmaceutics, 18(1), 80. https://doi.org/10.3390/pharmaceutics18010080

