Sign in to use this feature.

Years

Between: -

Subjects

remove_circle_outline
remove_circle_outline
remove_circle_outline
remove_circle_outline
remove_circle_outline
remove_circle_outline
remove_circle_outline
remove_circle_outline
remove_circle_outline

Journals

remove_circle_outline
remove_circle_outline
remove_circle_outline

Article Types

Countries / Regions

remove_circle_outline
remove_circle_outline
remove_circle_outline
remove_circle_outline

Search Results (373)

Search Parameters:
Keywords = ice sheets

Order results
Result details
Results per page
Select all
Export citation of selected articles as:
18 pages, 6436 KB  
Article
The Influence of Meltwater on Centennial Variability of Australian Summer Monsoon Precipitation and Its Relevance to Sustainable Water Resources and Climate Adaptation
by Yunqing Jing and Changqing Jing
Sustainability 2026, 18(6), 2720; https://doi.org/10.3390/su18062720 - 11 Mar 2026
Viewed by 136
Abstract
Research on centennial-scale precipitation variability within the Australian summer monsoon (AUSM) remains limited, particularly regarding its driving mechanisms and the sustainability-relevant implications for long-term water security and climate adaptation. Here, we use the TraCE-21ka transient simulation, which credibly reproduces the centennial periodicities documented [...] Read more.
Research on centennial-scale precipitation variability within the Australian summer monsoon (AUSM) remains limited, particularly regarding its driving mechanisms and the sustainability-relevant implications for long-term water security and climate adaptation. Here, we use the TraCE-21ka transient simulation, which credibly reproduces the centennial periodicities documented in Holocene proxy records, to attribute the physical drivers of AUSM centennial variability. Attribution is conducted by contrasting the all-forcing (AF) simulation with four single-forcing experiments that isolate the effects of orbital parameters, ice sheets, meltwater flux, and greenhouse gases. Among these experiments, the meltwater-forcing run best reproduces the centennial periodicities found in the AF simulation, indicating that meltwater input is the leading contributor to Holocene AUSM centennial variability. We further identify a dynamical pathway in which Atlantic Meridional Overturning Circulation (AMOC) variability acts as the key mediator linking meltwater perturbations to Australian hydroclimate. The enhanced AMOC amplitude during the meltwater interval (0.14 at 9–8 ka BP), compared with much weaker fluctuations during the non-meltwater interval (0.01 at 4–3 ka BP), is accompanied by a ~200-year periodicity in AUSM precipitation. This periodicity arises through an interhemispheric teleconnection: a strengthened AMOC cools Southern Hemisphere sea surface temperatures, reduces moisture availability for northern Australia, and promotes large-scale subsidence that suppresses monsoon rainfall. By contrast, during 4–3 ka BP, when meltwater forcing was negligible, weaker AMOC variability coincides with warmer Southern Hemisphere sea surface temperature (SST), favoring cyclonic circulation over northwestern Australia, enhanced moisture convergence, and stronger ascent, ultimately intensifying AUSM precipitation. Beyond advancing process understanding, these results provide a sustainability-oriented framework for interpreting low-frequency hydroclimate variability relevant to Australia’s water resources and climate adaptation. Specifically, the identified meltwater–AMOC–SST–AUSM pathway offers a physical basis for developing and evaluating long-horizon indicators of monsoon-driven rainfall variability, informing monitoring strategies and scenario planning for drought–flood risk management, water allocation, and climate-resilient infrastructure. By linking centennial-scale monsoon variability to an identifiable remote driver, this study contributes to quantifying and contextualizing natural hydroclimate variability that can confound near-term trends, thereby supporting more robust sustainability assessments, adaptation policy design, and integrated water-resource management under ongoing climate change. Full article
Show Figures

Figure 1

21 pages, 12691 KB  
Article
Satellite-Derived Summer Albedo Variations on the Greenland Ice Sheet from 1979 to 2024 Linked with Climatic Indices
by Yulun Zhang, Shang Geng and Yetang Wang
Remote Sens. 2026, 18(2), 295; https://doi.org/10.3390/rs18020295 - 16 Jan 2026
Viewed by 405
Abstract
CLARA-A3 currently provides the longest temporal coverage among available albedo products, with improvements in both retrieval algorithms and product coverage compared to earlier versions. This study first evaluates the performance of the CLARA-A3-SAL product over Greenland Ice Sheet (GrIS) and subsequently applies it [...] Read more.
CLARA-A3 currently provides the longest temporal coverage among available albedo products, with improvements in both retrieval algorithms and product coverage compared to earlier versions. This study first evaluates the performance of the CLARA-A3-SAL product over Greenland Ice Sheet (GrIS) and subsequently applies it to investigate spatiotemporal trends in summer albedo from 1979 to 2024. Validation against 32 in situ observation sites indicates negligible bias in the interior regions, with RMSE values ranging from 0.01 to 0.07. Although larger errors exist in the coastal ablation zone due to unresolved sub-grid surface heterogeneity, the product successfully captures observed spatiotemporal variability and long-term trends, demonstrating that CLARA-A3-SAL provides a generally reliable representation of surface albedo. Since 1979, the summer surface albedo averaged over the entire ice sheet has decreased at a rate of −0.24% decade−1. Albedo in the dry snow area has remained relatively stable and showed no significant correlation with most climate variables, except for the North Atlantic Oscillation (NAO) and the Greenland Blocking Index (GBI). Conversely, the marginal zone has undergone substantial darkening (−0.66% decade−1), which is strongly correlated with temperature, snowfall and melt, with meltwater showing the highest correlation (r = −0.90, p < 0.01). This suggests that meltwater-driven grain growth and exposure of bare ice are the primary drivers of albedo reduction over the non-dry snow zone. Large-scale atmospheric circulation also plays a key role: the GBI exhibits the strongest association with albedo (r = −0.63, p < 0.05), underscoring the importance of persistent blocking in amplifying surface warming and darkening. Furthermore, decadal-scale variability associated with the Atlantic Multidecadal Oscillation (AMO) and the Pacific Decadal Oscillation (PDO) modulates both the magnitude and spatial pattern of albedo changes across GrIS, with AMO+ generally linked to reduced albedo and PDO+ tending to enhance it. Full article
(This article belongs to the Section Atmospheric Remote Sensing)
Show Figures

Graphical abstract

16 pages, 1555 KB  
Article
Off-the-Shelf Masked Ultrasonic Atomization for Hydrophilic Droplet Microarrays and Gradient Screening
by Xiaochen Lai, Xicheng Wang, Yanfei Sun, Yong Zhu and Mingpeng Yang
Appl. Sci. 2026, 16(2), 737; https://doi.org/10.3390/app16020737 - 10 Jan 2026
Viewed by 280
Abstract
Droplet microarrays are increasingly used for miniaturized, high-throughput biochemical assays, yet their fabrication commonly relies on complex lithographic processes, custom masks, or specialized coatings. Here we present a simple method for generating hydrophilic arrays on hydrophobic plastic substrates by combining ultrasonic atomization with [...] Read more.
Droplet microarrays are increasingly used for miniaturized, high-throughput biochemical assays, yet their fabrication commonly relies on complex lithographic processes, custom masks, or specialized coatings. Here we present a simple method for generating hydrophilic arrays on hydrophobic plastic substrates by combining ultrasonic atomization with off-the-shelf perforated masks. A fine mist of poly(vinyl alcohol) (PVA) solution is directed through commercial diamond sieves onto polypropylene (PP) sheets and polystyrene (PS) sheets, forming hydrophilic spots surrounded by the native hydrophobic background. Static contact angle measurements confirm a strong local contrast in wettability (from 100.85 ± 0.91° on untreated PP to 39.96 ± 0.71° on patterned spots, from 95.68 ± 3.61° on untreated PS to 52.00 ± 0.85° on patterned spots), while Image analysis shows droplet CVs of 6–8% in aqueous dye solutions for 1.2–2.0 mm masks; in complex media (LB), droplet uniformity decreases. By mounting the moving mask on a motorized stage, we generate one-dimensional reagent gradients simply by controlling the moving mask motion during atomization. We further demonstrate biological compatibility by culturing Escherichia coli in LB droplets containing resazurin, and by performing localized antibiotic screening using a moving mask-guided streptomycin gradient. The resulting droplet-wise viability data yield an on-chip dose–response curve with an IC50 of 5.1 µg · mL−1 (95% CI: 4.5–5.6 µg·mL−1), obtained from a single array. Covering droplets with Electronic Fluorinated Fluid maintains volumes within 5% of their initial value over 24 h. Compared with conventional droplet microarray fabrication, the proposed method eliminates custom mask production and cleanroom steps, is compatible with standard plastic labware, and intrinsically supports spatial gradients. These attributes make masked ultrasonic atomization a practical platform for high-throughput microfluidic assays, especially in resource-limited settings. Full article
(This article belongs to the Section Additive Manufacturing Technologies)
Show Figures

Figure 1

13 pages, 2198 KB  
Article
Characterising Ice Motion Variability at Helheim Glacier Front from Continuous GPS Observations
by Christopher Pearson, James Colinese, Tavi Murray and Stuart Edwards
Glacies 2026, 3(1), 1; https://doi.org/10.3390/glacies3010001 - 7 Jan 2026
Viewed by 460
Abstract
Understanding short-term glacier motion is vital for assessing ice sheet dynamics in a warming climate. This study investigates the tidal and diurnal influences on the flow of Helheim Glacier, one of Greenland’s fastest-flowing marine-terminating glaciers, using data from 18 high-frequency GPS sensors and [...] Read more.
Understanding short-term glacier motion is vital for assessing ice sheet dynamics in a warming climate. This study investigates the tidal and diurnal influences on the flow of Helheim Glacier, one of Greenland’s fastest-flowing marine-terminating glaciers, using data from 18 high-frequency GPS sensors and a regional tide gauge collected during summer 2013. A Kalman filter was applied to separate and quantify glacier velocity, tidal admittance, and diurnal melt-driven acceleration. Results reveal a high level of tidal admittance affecting the horizontal flow speed of the glacier, especially at the centre of the glacier, which is propagated upstream. This admittance corresponds to a 0.38–0.68 m/day reduction from the mean at high spring tide and a comparable increase at low tide. The glacier’s vertical motion showed strong tidal control close to the terminus, of 0.6–1.05 m during high spring tides, but this was significantly reduced more than 1 km from the terminus. Diurnal variations in horizontal speed are less spatially and temporally variable, with most nodes experiencing changes from a mean speed of ±0.1–0.3 m/day. These findings demonstrate that both tidal forcing and meltwater input to the basal system exert a significant, and potentially spatially variable, control on glacier dynamics, highlighting the need to incorporate short-period external forcing into predictive models of marine-terminating glacier behaviour. Full article
Show Figures

Figure 1

18 pages, 10989 KB  
Article
Aerodynamic Roughness Retrieval at Typical Antarctic Stations Based on Multi-Source Remote Sensing
by Yongzhe Sun, Zhaoliang Zeng, Che Wang, Lizhong Zhu, Biao Tian, Ruqing Zhu and Minghu Ding
Remote Sens. 2026, 18(1), 67; https://doi.org/10.3390/rs18010067 - 25 Dec 2025
Viewed by 546
Abstract
Antarctica’s aerodynamic roughness length (z0m) is crucial for surface energy exchange and atmospheric modeling, but its remote sensing estimation remains challenging due to complex ice-surface conditions and limited observations. To address these challenges, this study establishes a z0m retrieval framework [...] Read more.
Antarctica’s aerodynamic roughness length (z0m) is crucial for surface energy exchange and atmospheric modeling, but its remote sensing estimation remains challenging due to complex ice-surface conditions and limited observations. To address these challenges, this study establishes a z0m retrieval framework derived from the Raupach model using Unmanned Aerial Vehicle (UAV), Reference Elevation Model of Antarctica (REMA), and Ice, Cloud, and land Elevation Satellite-2 (ICESat-2) datasets at three representative Antarctic sites. The results show that UAV benchmarks yield mean z0m values of 0.009795, 0.011597, and 0.005203 m at Zhongshan Station, Great Wall Station, and Qinling Station, respectively. In experiments with ICESat-2 data, z0m derived from ATL06 demonstrates accuracy comparable to that from ATL03 (RMSE = 7.45 × 10−6 m), with the best performance obtained at a 2 km window. Spatially, the agreement with UAV-derived z0m decreases in the order: REMA > ICESat-2 (IDW-interpolated). The accuracy of REMA and ICESat-2 decreased with terrain complexity, from ice-free zones to the ice-shelf front and finally to the steep ice sheet margin. The elevation and slope variations emerge as dominant controls of z0m spatial patterns. This study demonstrates the complementary strengths of UAV, REMA, and ICESat-2 datasets in Antarctic aerodynamic roughness estimation, providing practical guidance for data selection and methodology optimization. This study develops an improved z0m retrieval method for Antarctica, clarifies the applicability and limitations of UAV, REMA, and ICESat-2 data, and provides methodological and data support for simulations of near-surface atmospheric parameters in Antarctica region. Full article
Show Figures

Graphical abstract

12 pages, 4170 KB  
Article
Wind-Induced Seismic Noise and Stable Resonances Reveal Ice Shelf Thickness at Pine Island Glacier
by Yuqiao Chen, Peng Yan, Yuande Yang, David M. Holland and Fei Li
J. Mar. Sci. Eng. 2026, 14(1), 36; https://doi.org/10.3390/jmse14010036 - 24 Dec 2025
Viewed by 584
Abstract
Antarctic ice shelves regulate ice-sheet discharge and global sea-level rise, yet their rapid retreat underscores the need for new, low-cost monitoring tools. We analyze ambient seismic noise recorded by seismometers on the Pine Island Glacier ice shelf to characterize wind-induced signals and detect [...] Read more.
Antarctic ice shelves regulate ice-sheet discharge and global sea-level rise, yet their rapid retreat underscores the need for new, low-cost monitoring tools. We analyze ambient seismic noise recorded by seismometers on the Pine Island Glacier ice shelf to characterize wind-induced signals and detect persistent structural resonances. Power spectral analysis shows that wind sensitivity is strongly damped compared with bedrock sites: noise increases only 5–7 dB from 0 to 25 m s−1 winds, versus a 42 dB increase at an inland bedrock station, reflecting the contrasted coupling environments of floating and grounded substrates. The horizontal-to-vertical spectral ratio (HVSR) spectrograms reveal two temporally stable peaks at ~2.2 Hz and ~4.3 Hz that persist across stations and remain independent of environmental forcing. Forward modeling indicates that these peaks correspond to S-wave resonances within the ice shelf. The inferred ice-water interface depth (~440 m) agrees with the Bedmap2 thickness estimate (466 m). This work demonstrates that HVSR provides an effective passive, single-station method for measuring ice shelf thickness. Full article
(This article belongs to the Section Marine Environmental Science)
Show Figures

Figure 1

22 pages, 11612 KB  
Article
A Novel Method for Reducing Uncertainty in Subglacial Topography: Implications for Greenland Ice Sheet Volume and Stability
by Oliver T. Bartlett and Steven J. Palmer
Remote Sens. 2026, 18(1), 16; https://doi.org/10.3390/rs18010016 - 20 Dec 2025
Viewed by 624
Abstract
Subglacial topography is a critical boundary condition for ice sheet models projecting past and future ice sheet–climate interactions. Contemporary ice-sheet-wide bed topography datasets are partially derived using mass conservation, but approximately 75% of the most widely used Greenland Ice Sheet (GrIS) dataset is [...] Read more.
Subglacial topography is a critical boundary condition for ice sheet models projecting past and future ice sheet–climate interactions. Contemporary ice-sheet-wide bed topography datasets are partially derived using mass conservation, but approximately 75% of the most widely used Greenland Ice Sheet (GrIS) dataset is based on simple interpolation of airborne radio-echo sounding (RES) measurements, such as kriging or streamline diffusion. Due to limited independent validation data, the errors and biases in this approach are poorly understood, creating largely unknown uncertainties in subglacial topography. Here, we interpolated synthetic RES observations of bed topography over ice-free areas with a known topography at a 5 m spatial resolution and quantify discrepancies. We found that the absolute error in kriged bed topography increases with distance from the input data, though at a reduced rate than previously estimated. The difference between an interpolated elevation estimate and the local mean elevation is a strong predictor of real bed errors (R2 = 0.72), with further improvement as input observation sparsity increases (R2 > 0.82). We propose a method to quantify and reduce uncertainty in kriged bed topography in sparsely surveyed regions, reducing uncertainty for at least 56% of the kriged interior at a 99% confidence interval. Our results suggest that subglacial depth is on average 5 m deeper than previous estimates, though individual areas may be shallower or deeper (σ = 41 m). Consequently, the area grounded below sea level is likely underestimated by 2%, increasing to 29% for regions deeper than 200 m. These findings have potential implications for the future stability of the GrIS under climate change. Full article
(This article belongs to the Special Issue Remote Sensing of the Cryosphere (Third Edition))
Show Figures

Figure 1

18 pages, 12047 KB  
Article
Modeling Ice Detachment Events on Cryopumps During Space Propulsion Ground Testing
by Andreas Neumann
Aerospace 2025, 12(12), 1114; https://doi.org/10.3390/aerospace12121114 - 17 Dec 2025
Viewed by 297
Abstract
At DLR’s electric space propulsion vacuum test facility in Goettingen, spontaneous pressure rise events were observed, which led to interruptions of thruster testing. This study investigates the causes of four such events and presents a model that is able to simulate pressure rise [...] Read more.
At DLR’s electric space propulsion vacuum test facility in Goettingen, spontaneous pressure rise events were observed, which led to interruptions of thruster testing. This study investigates the causes of four such events and presents a model that is able to simulate pressure rise events due to xenon ice sheet detachment from operating cryogenic pumps. The model results show good agreement with the observed pressure curves and can reproduce the pressure rise slope, event duration, down slope, and maximum pressure during these events. The masses of the detached xenon ice sheets are in the range from 2 g to 0.4 kg, which is reasonable with respect to the amount of ice on cryopump cold plates. This first modeling step is based on a phenomenological approach, but the good results show that it is worth expanding and refining the model, e.g., by introducing more ice shape options, adding ice bonding layer properties, and adding other gases and physical condensate properties. Full article
(This article belongs to the Section Astronautics & Space Science)
Show Figures

Figure 1

24 pages, 3342 KB  
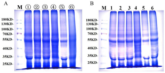
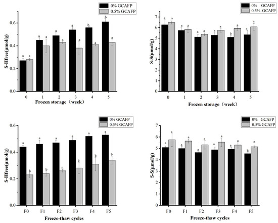
Article
Effects of Grass Carp Antifreeze Peptide on Freeze-Thaw Characteristics and Structure of Wet Gluten Protein
by Meizhu Dang, Bing Huang, Yangyang Jia, Yuanyuan Shao, Xingxing Mei and Chunmei Li
Foods 2025, 14(24), 4336; https://doi.org/10.3390/foods14244336 - 16 Dec 2025
Cited by 1 | Viewed by 571
Abstract
This study uniquely explores the impact of a novel natural antifreeze peptide derived from grass carp (GCAFP) on the freeze–thaw characteristics and structural stability of wet gluten protein, providing new insights into the development of natural cryoprotectants for frozen foods. The effects of [...] Read more.
This study uniquely explores the impact of a novel natural antifreeze peptide derived from grass carp (GCAFP) on the freeze–thaw characteristics and structural stability of wet gluten protein, providing new insights into the development of natural cryoprotectants for frozen foods. The effects of GCAFP on the physicochemical and structural properties of gluten protein were investigated using differential scanning calorimetry (DSC), nuclear magnetic resonance imaging (NMR), rheology, and scanning electron microscopy (SEM). The results showed that the addition of 0.5% GCAFP significantly reduced the freezing temperature (Tf, from −8.50 ± 1.31 °C to −10.75 ± 2.49 °C) and expanded the melting temperature range (Tm,δ, from 3.60 ± 1.40 °C to 5.65 ± 0.12 °C), indicating improved freezing stability. After five weeks of frozen storage, the ice crystal melting enthalpy (ΔHm) of gluten protein in the GCAFP group increased by only 20.17 J/g, compared with 27.23 J/g in the control, representing a 6.35% reduction (p < 0.05). Similarly, after five freeze–thaw cycles, the freezable water fraction (Fw) and ΔHm were reduced by 5.19% and 1.55%, respectively, demonstrating that GCAFP inhibited water migration and ice recrystallization. Low-field NMR revealed that GCAFP maintained a higher proportion of bound water (T21) and decreased free water (T23), confirming its role in restricting water mobility. Rheological analysis showed that GCAFP preserved the viscoelasticity of gluten protein, maintaining higher storage (G′) and loss (G″) moduli than the control after five freeze–thaw cycles, thus mitigating the decline in network elasticity. Structural characterization indicated that GCAFP stabilized the α-helix and β-sheet contents, reduced glutenin macropolymer depolymerization from 24.85% to 18.95%, and strengthened hydrogen bonding within the protein matrix. Overall, GCAFP effectively protected wet gluten protein against ice crystal damage by maintaining water distribution, viscoelasticity, and secondary structure integrity, highlighting its potential as a natural antifreeze ingredient for frozen food applications. Full article
Show Figures

Figure 1

20 pages, 3497 KB  
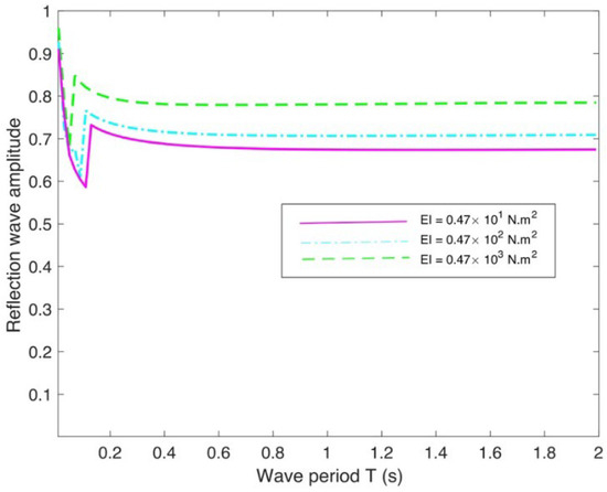
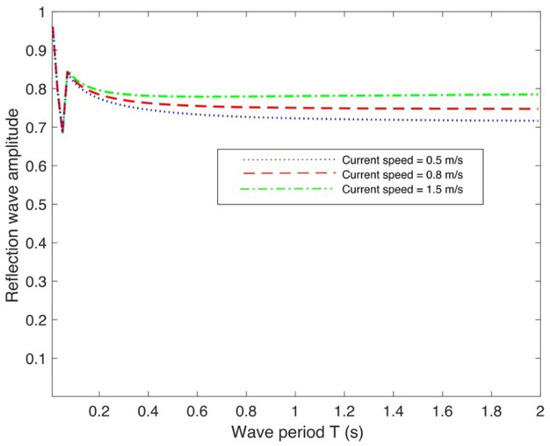
Article
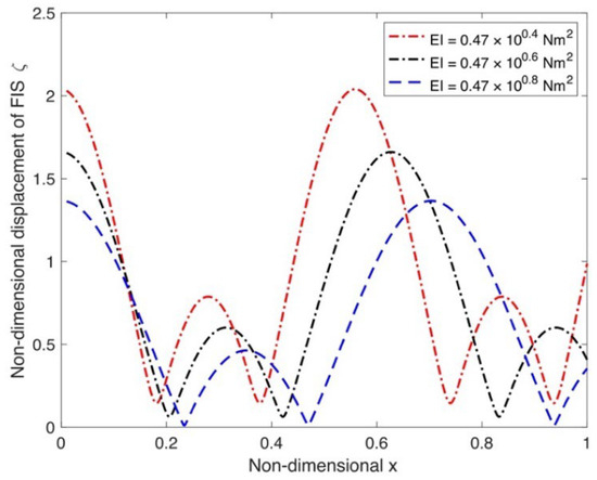
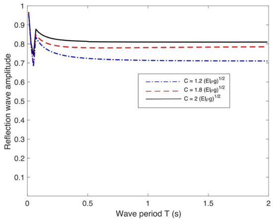
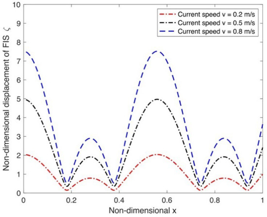
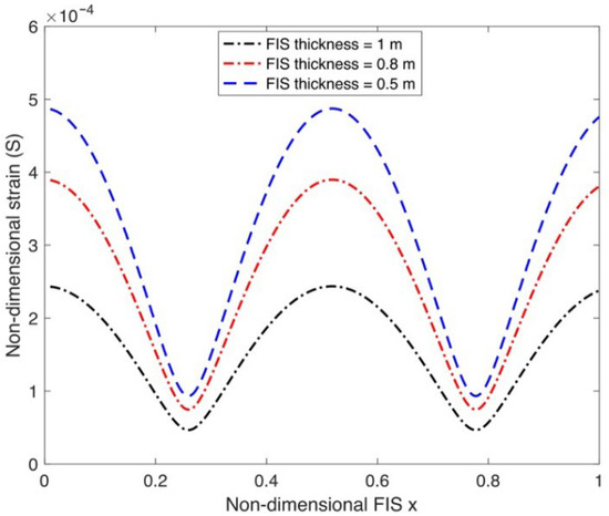
Effect of Following Current on the Hydroelastic Behavior of a Floating Ice Sheet near an Impermeable Wall
by Sarat Chandra Mohapatra, Pouria Amouzadrad and C. Guedes Soares
J. Mar. Sci. Eng. 2025, 13(12), 2386; https://doi.org/10.3390/jmse13122386 - 16 Dec 2025
Cited by 1 | Viewed by 383
Abstract
A theoretical model of the interaction between a following current and a semi-infinite floating ice sheet under compressive stress near a vertical impermeable wall is developed, within the scope of linear water wave theory, to study the hydroelastic behavior. The conceptual framework defining [...] Read more.
A theoretical model of the interaction between a following current and a semi-infinite floating ice sheet under compressive stress near a vertical impermeable wall is developed, within the scope of linear water wave theory, to study the hydroelastic behavior. The conceptual framework defining the buoyant ice structure incorporates the tenets of elastic beam theory. The associated fluid dynamics are governed by strict adherence to the potential flow paradigm. To resolve the undetermined parameters appearing in the Fourier series decomposition of the potential functions, investigators systematically apply higher-order criteria detailing the coupling relationships between modes. The current results are compared with a specific case of results available in the literature, and the convergence analysis of the analytical solution is made for computational accuracy. Further, the free edge conditions are applied at the edge of the floating ice sheet, and the effects of current speed, compressive stress, the thickness of the ice sheet, flexural rigidity, water depth on the strain, displacements, reflection wave amplitude, and the horizontal force on the rigid vertical wall are analyzed in detail. It is found that the higher values of the following current heighten the strain, displacements, reflection amplitude, and force on the wall. The study’s outcomes are considered to benefit not just cold region design applications but also the engineering of resilient floating structures for oceanic and offshore environments, and to the design of marine structures. Full article
(This article belongs to the Section Ocean Engineering)
Show Figures

Figure 1

17 pages, 12414 KB  
Article
A Spatiotemporal Subgrid Least Squares Approach to DEM Generation of the Greenland Ice Sheet from ICESat-2 Laser Altimetry
by Qiyu Wang, Jinyun Guo, Tao Jiang and Xin Liu
Remote Sens. 2025, 17(24), 4027; https://doi.org/10.3390/rs17244027 - 13 Dec 2025
Viewed by 464
Abstract
Greenland, home to the largest ice sheet in the Northern Hemisphere, provides a crucial digital elevation model (DEM) for understanding polar climate evolution and valuable data for global climate change research. Based on ICESat-2 laser altimetry data collected from satellite observations over Greenland [...] Read more.
Greenland, home to the largest ice sheet in the Northern Hemisphere, provides a crucial digital elevation model (DEM) for understanding polar climate evolution and valuable data for global climate change research. Based on ICESat-2 laser altimetry data collected from satellite observations over Greenland between November 2020 and November 2021, the Shandong University of Science and Technology 2021 DEM (SDUST2021DEM) with 500 m grid resolution at the epoch of May 2021 was constructed using a spatiotemporally fitted subgrid least squares method. The precision of the DEM was evaluated by comparison with National Aeronautics and Space Administration IceBridge data and supplemented by GNSS station measurements. The median difference between the DEM and IceBridge data was −0.33 m, the mean deviation −0.58 m, and the median absolute deviation 2.31 m. The accuracy of SDUST2021DEM exhibits a clear spatial pattern: it is higher in the central ice sheet than at the margins, decreases in regions with complex terrain, and remains more reliable in areas characterized by gentle slopes and flat terrain. Overall, the SDUST2021DEM demonstrates stable accuracy and can reliably produce high-precision DEMs for a specific temporal epoch. Full article
Show Figures

Graphical abstract

18 pages, 3591 KB  
Article
Decadal-Scale Warming Signals in Antarctic Ice Sheet Interior Revealed by L-Band Passive Microwave Observations from 2015 to 2025
by Shaoning Lv, Yin Hu and Jun Wen
Remote Sens. 2025, 17(22), 3757; https://doi.org/10.3390/rs17223757 - 19 Nov 2025
Cited by 1 | Viewed by 680
Abstract
The Antarctic ice sheet, Earth’s largest ice mass, is vital to the global climate system. Analyzing its thermal behavior is crucial for sea-level projections and ice shelf assessments; however, internal temperature studies remain challenging due to the harsh environment and limited access to [...] Read more.
The Antarctic ice sheet, Earth’s largest ice mass, is vital to the global climate system. Analyzing its thermal behavior is crucial for sea-level projections and ice shelf assessments; however, internal temperature studies remain challenging due to the harsh environment and limited access to the site. Using ten years of Soil Moisture Active Passive (SMAP) satellite passive microwave brightness temperature (TB) data (2015–2025), we examined changes in TB across Antarctica. Results show a stronger warming trend in West Antarctica, with TB increasing by over 1.5 K over a decade, while East Antarctica remains relatively stable, showing only seasonal summer warming and winter cooling. Furthermore, TB in the Antarctic region correlates best with internal temperatures at depths of 500–2000 m, as indicated by the effective soil temperature, as demonstrated by the modeling data and the τ-z model’s inference. However, the total enthalpy is inconsistent with the TB trend and exhibits the opposite effect when combined with the sensing depth. By comparing the weak trend in surface ice temperature changes, we conclude that the TB warming trend observed on the western side of the Antarctic over the past decade does not originate from the increasing temperatures within the internal ice shelves, which differs from the increase in temperatures at the Antarctic margins. Full article
(This article belongs to the Special Issue Antarctic Remote Sensing Applications (Second Edition))
Show Figures

Figure 1

17 pages, 2438 KB  
Article
Assessing the Consistency Among Three Mascon Solutions and COST-G-Based Grid Products for Characterizing Antarctic Ice Sheet Mass Change
by Qing Long and Xiaoli Su
Remote Sens. 2025, 17(22), 3699; https://doi.org/10.3390/rs17223699 - 12 Nov 2025
Viewed by 684
Abstract
To facilitate easy accessibility to the Gravity Recovery and Climate Experiment (GRACE) and GRACE Follow-On (GRACE-FO) results for the geoscientific community, multiple institutions have successively developed mass anomaly grid products including mass concentration (mascon) grids; these were provided at the Gravity Information Service [...] Read more.
To facilitate easy accessibility to the Gravity Recovery and Climate Experiment (GRACE) and GRACE Follow-On (GRACE-FO) results for the geoscientific community, multiple institutions have successively developed mass anomaly grid products including mass concentration (mascon) grids; these were provided at the Gravity Information Service (GravIS) portal. However, an assessment of their consistency for studying large-scale mass redistribution and transport in Earth’s system is still not available. Here, we compare three major mascon solutions separately from the Center for Space Research (CSR), the Jet Propulsion Laboratory (JPL), the Goddard Space Flight Center (GSFC) and GravIS products based on the Combination Service for Time-variable Gravity fields (COST-G) by analyzing the Antarctic Ice Sheet (AIS) mass changes in four aspects. Our results demonstrate that: (1) the four datasets exhibit strong consistency on the entire AIS mass change time series, with the largest difference occurring in the Antarctic Peninsula; (2) mass trend estimates show better agreement over longer periods and larger regions, but differences with a percentage of 20–40 exist during the late stage of GRACE and the whole GRACE-FO timespan; (3) notable discrepancies arise in the annual statistics of the Eastern AIS in 2016, leading to inconsistency on the sign of annual AIS mass change; (4) good agreement can be seen among these interannual mass variations over the AIS and its three subregions during 2003–2023, excluding the period from mid-2016 to mid-2018. These findings may provide key insights into improving algorithms for mascon solutions and grid products towards refining their applications in ice mass balance studies. Full article
(This article belongs to the Special Issue Earth Observation of Glacier and Snow Cover Mapping in Cold Regions)
Show Figures

Graphical abstract

14 pages, 2510 KB  
Article
Experimental Study on the Mechanical Response and Failure Behavior of High-Pressure Frozen Ice Under Axial Loading Conditions
by Zhijiang Yang, Yu Zhang, Tao Han, Ying Ding, Chenyi Zhang and Weihao Yang
Geosciences 2025, 15(11), 422; https://doi.org/10.3390/geosciences15110422 - 5 Nov 2025
Viewed by 734
Abstract
The mechanical response and failure behavior of high-pressure frozen ice are essential to the technological progress in drilling thick polar ice sheets, but current research primarily focuses on non-pressure-frozen ice. In this paper, ice specimens with a cylindrical geometry were fabricated at −20 [...] Read more.
The mechanical response and failure behavior of high-pressure frozen ice are essential to the technological progress in drilling thick polar ice sheets, but current research primarily focuses on non-pressure-frozen ice. In this paper, ice specimens with a cylindrical geometry were fabricated at −20 °C, applying freezing pressures across a range of 10 to 40 MPa with a 10 MPa interval. Their mechanical properties were investigated through triaxial compression tests under axial loading conditions and were compared with the results obtained at −10 °C. The results indicate that, with increasing freezing pressure, the samples transitioned from a failure state of interlaced cracking to a highly transparent state. The failure behavior observed in the specimens was characterized as ductile, as evidenced by the deviatoric stress–axial strain relationships. Moreover, the peak deviatoric stress exhibited a non-monotonic dependence on freezing pressure, with an initial rise from 9.59 MPa at 10 MPa to a peak of 14.37 MPa at 30 MPa and a subsequent decline to 10.12 MPa at 40 MPa. All specimens reached a relatively stable residual state at 5% axial strain, with residual deviatoric stresses ranging from 4.13 to 5.71 MPa. A reduction in freezing temperature from −10 °C to −20 °C can effectively enhance both the peak deviatoric stress and the residual stress of high-pressure frozen ice under triaxial shear conditions. All peak tangent modulus values, ranging from 1.61 to 2.93 GPa with an average of 2.2 GPa, were observed within 0.7% axial strain and exhibited mild fluctuations with increasing freezing pressure. These findings provide a more robust mechanical foundation for drilling research and operations in extremely thick polar ice caps. Full article
Show Figures

Figure 1

30 pages, 2309 KB  
Article
Annual and Interannual Oscillations of Greenland’s Ice Sheet Mass Variations from GRACE/GRACE-FO, Linked with Climatic Indices and Meteorological Parameters
by Florent Cambier, José Darrozes, Muriel Llubes, Lucia Seoane and Guillaume Ramillien
Remote Sens. 2025, 17(21), 3552; https://doi.org/10.3390/rs17213552 - 27 Oct 2025
Viewed by 1145
Abstract
The ongoing global warming threatens the Greenland Ice Sheet (GIS), which has exhibited an overall mass loss since 1990. This loss varies annually and interannually, reflecting the intricate interactions between the ice sheet and atmospheric and oceanic circulations. We investigate GIS mass balance [...] Read more.
The ongoing global warming threatens the Greenland Ice Sheet (GIS), which has exhibited an overall mass loss since 1990. This loss varies annually and interannually, reflecting the intricate interactions between the ice sheet and atmospheric and oceanic circulations. We investigate GIS mass balance variations (2002–2024) using data from the Gravity Recovery and Climate Experiment (GRACE) and its Follow-On (GRACE-FO) missions. Monthly mass anomalies from the International Combination Service for Time-variable Gravity Fields (COST-G) solution are compared with cumulative climate indices (North Atlantic Oscillation—NAO, Greenland Blocking Index—GBI, Atlantic Multidecadal Oscillation—AMO) and meteorological parameters (temperature, precipitation, surface albedo). Empirical Orthogonal Function analysis reveals five principal modes of variations, the first capturing annual and interannual frequencies (4–7 and 11 years), while subsequent modes only describe interannual frequencies. Wavelet analysis shows significant annual correlations between GIS mass changes and temperature (r = −0.88), NAO (r = 0.74), and GBI (r = −0.85). An annual cycle connects GIS mass changes, climatic indices, and meteorological parameters, while interannual variations highlight the role of the AMO and the NAO. The presence of an 11-year periodicity with the mass variations for NAO, GBI, and temperature strongly correlates with solar activity. Full article
(This article belongs to the Special Issue Space-Geodetic Techniques (Third Edition))
Show Figures

Figure 1

Back to TopTop