Decadal-Scale Warming Signals in Antarctic Ice Sheet Interior Revealed by L-Band Passive Microwave Observations from 2015 to 2025
Highlights
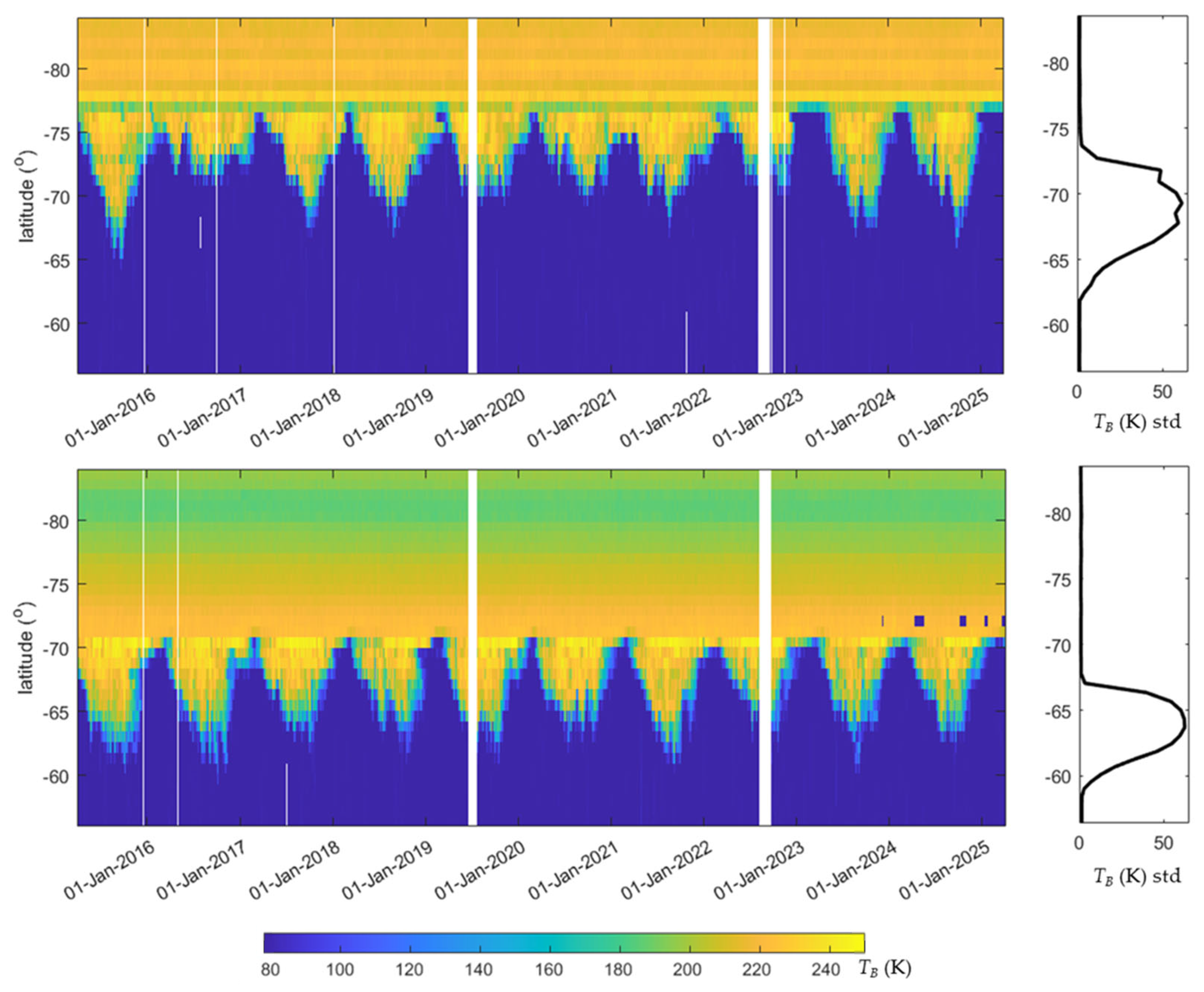
- SMAP L-band brightness temperature (TB) data (2015–2025) reveal a significant warming trend (>1.5 K over a decade) over West Antarctica, while East Antarctica shows seasonally dependent but no long-term TB trend.
- The τ-z model suggests that SMAP TB signals are most sensitive to internal ice temperatures at depths of 500–2000 m, thereby linking TB variability to subsurface thermal dynamics.
- The observed L-band TB warming over West Antarctica is not caused by internal ice shelf temperature increases, differing from changes at the Antarctic margins.
- These results offer new insights into the thermal processes of the Antarctic ice sheet, enhancing our understanding of its role in global climate research and sea-level projections.
Abstract
1. Introduction
2. Materials and Methods
2.1. SMAP SPL3FTP
2.2. Antarctica Ice Temperature (T) Profile
2.3. Tau-z (τ-z) Model
3. Results and Discussion
4. Conclusions
Author Contributions
Funding
Data Availability Statement
Acknowledgments
Conflicts of Interest
References
- Li, N.; Lei, R.; Heil, P.; Cheng, B.; Ding, M.; Tian, Z.; Li, B. Seasonal and interannual variability of the landfast ice mass balance between 2009 and 2018 in Prydz Bay, East Antarctica. The Cryosphere 2023, 17, 917–937. [Google Scholar] [CrossRef]
- Shepherd, A.; Ivins, E.; Rignot, E.; Smith, B.; van den Broeke, M.; Velicogna, I.; Whitehouse, P.; Briggs, K.; Joughin, I.; Krinner, G.; et al. Mass balance of the Antarctic Ice Sheet from 1992 to 2017. Nature 2018, 558, 219–222. [Google Scholar] [CrossRef]
- Phillpot, H.R.; Zillman, J.W. The surface temperature inversion over the Antarctic Continent. J. Geophys. Res. 1970, 75, 4161–4169. [Google Scholar] [CrossRef]
- Rohling, E.J.; Grant, K.; Bolshaw, M.; Roberts, A.P.; Siddall, M.; Hemleben, C.; Kucera, M. Antarctic temperature and global sea level closely coupled over the past five glacial cycles. Nat. Geosci. 2009, 2, 500–504. [Google Scholar] [CrossRef]
- Reading, A.M.; Stål, T.; Halpin, J.A.; Lösing, M.; Ebbing, J.; Shen, W.; McCormack, F.S.; Siddoway, C.S.; Hasterok, D. Antarctic geothermal heat flow and its implications for tectonics and ice sheets. Nat. Rev. Earth Environ. 2022, 3, 814–831. [Google Scholar] [CrossRef]
- Sutter, J.; Fischer, H.; Eisen, O. Investigating the internal structure of the Antarctic ice sheet: The utility of isochrones for spatiotemporal ice-sheet model calibration. Cryosphere 2021, 15, 3839–3860. [Google Scholar] [CrossRef]
- Huybers, P.; Denton, G. Antarctic temperature at orbital timescales controlled by local summer duration. Nat. Geosci. 2008, 1, 787–792. [Google Scholar] [CrossRef]
- Chapman, W.L.; Walsh, J.E. A Synthesis of Antarctic Temperatures. J. Clim. 2007, 20, 4096–4117. [Google Scholar] [CrossRef]
- Turner, J.; Lu, H.; King, J.; Marshall, G.J.; Phillips, T.; Bannister, D.; Colwell, S. Extreme Temperatures in the Antarctic. J. Clim. 2021, 34, 2653–2668. [Google Scholar] [CrossRef]
- Moreno-Ibáñez, M.; Laprise, R.; Gachon, P. Recent advances in polar low research: Current knowledge, challenges and future perspectives. Tellus A: Dyn. Meteorol. Oceanogr. 2021, 73, 1890412. [Google Scholar] [CrossRef]
- Turner, J.; Marshall, G.J. Climate Change in the Polar Regions; Cambridge University Press: Cambridge, UK, 2011. [Google Scholar]
- Matear, R.J.; O’Kane, T.J.; Risbey, J.S.; Chamberlain, M. Sources of heterogeneous variability and trends in Antarctic sea-ice. Nat. Commun. 2015, 6, 8656. [Google Scholar] [CrossRef]
- Dome Fuji Ice Core Project Members; Kawamura, K.; Abe-Ouchi, A.; Motoyama, H.; Ageta, Y.; Aoki, S.; Azuma, N.; Fujii, Y.; Fujita, K.; Fujita, S.; et al. State dependence of climatic instability over the past 720,000 years from Antarctic ice cores and climate modeling. Sci. Adv. 2017, 3, e1600446. [Google Scholar] [CrossRef]
- Entekhabi, D.; Njoku, E.G.; O’Neill, P.E.; Kellogg, K.H.; Crow, W.T.; Edelstein, W.N.; Entin, J.K.; Goodman, S.D.; Jackson, T.J.; Johnson, J.; et al. The Soil Moisture Active Passive (SMAP) Mission. Proc. IEEE 2010, 98, 704–716. [Google Scholar] [CrossRef]
- Lv, S.; Zeng, Y.; Su, Z.; Wen, J. A Closed-Form Expression of Soil Temperature Sensing Depth at L-Band. IEEE Trans. Geosci. Remote Sens. 2019, 57, 4889–4897. [Google Scholar] [CrossRef]
- Hu, Y.; Lv, S.; Li, Z.; Zeng, Y.; Li, S.; Wen, J.; Su, Z. Improving Soil Freeze-Thaw Retrieval from Spaceborne L-band measurements Based on Diurnal Amplitude Variation. J. Remote Sens. 2025, 5, 0806. [Google Scholar] [CrossRef]
- Jiang, H.; Lv, S.; Hu, Y.; Wen, J. Contrasting Drydown Time Scales: SMAP L-Band vs. AMSR2 C-Band Brightness Temperatures Against Ground Observations and SMAP Products. Remote Sens. 2025, 17, 3307. [Google Scholar] [CrossRef]
- Lv, S.; Zhao, T.; Hu, Y.; Wen, J. Empirical Validation of Soil Temperature Sensing Depth Derived from the Tau-z Model Utilizing Data from the Soil Moisture Experiment in the Luan River (SMELR). IEEE J. Sel. Top. Appl. Earth Obs. Remote Sens. 2024, 17, 14742–14751. [Google Scholar] [CrossRef]
- Lv, S.; Simmer, C.; Zeng, Y.; Su, Z.; Wen, J. Impact of profile-averaged soil ice fraction on passive microwave brightness temperature Diurnal Amplitude Variations (DAV) at L-band. Cold Reg. Sci. Technol. 2023, 205, 103674. [Google Scholar] [CrossRef]
- Dai, L.; Che, T.; Zhang, Y.; Ren, Z.; Tan, J.; Akynbekkyzy, M.; Xiao, L.; Zhou, S.; Yan, Y.; Liu, Y.; et al. Microwave radiometry experiment for snow in Altay, China: Time series of in situ data for electromagnetic and physical features of snowpack. Earth Syst. Sci. Data 2022, 14, 3509–3530. [Google Scholar] [CrossRef]
- Mousavi, M.; Colliander, A.; Miller, J.Z.; Entekhabi, D.; Johnson, J.T.; Shuman, C.A.; Kimball, J.S.; Courville, Z.R. Evaluation of Surface Melt on the Greenland Ice Sheet Using SMAP L-Band Microwave Radiometry. IEEE J. Sel. Top. Appl. Earth Obs. Remote Sens. 2021, 14, 11439–11449. [Google Scholar] [CrossRef]
- Passalacqua, O.; Picard, G.; Ritz, C.; Leduc-Leballeur, M.; Quiquet, A.; Larue, F.; Macelloni, G. Retrieval of the Absorption Coefficient of L-Band Radiation in Antarctica From SMOS Observations. Remote Sens. 2018, 10, 1954. [Google Scholar] [CrossRef]
- Macelloni, G.; Leduc-Leballeur, M.; Montomoli, F.; Brogioni, M.; Ritz, C.; Picard, G. On the retrieval of internal temperature of Antarctica Ice Sheet by using SMOS observations. Remote Sens. Environ. 2019, 233, 111405. [Google Scholar] [CrossRef]
- Surdyk, S. Using microwave brightness temperature to detect short-term surface air temperature changes in Antarctica: An analytical approach. Remote Sens. Environ. 2002, 80, 256–271. [Google Scholar] [CrossRef]
- Goursaud, S.; Masson-Delmotte, V.; Favier, V.; Preunkert, S.; Fily, M.; Gallée, H.; Jourdain, B.; Legrand, M.; Magand, O.; Minster, B.; et al. A 60-year ice-core record of regional climate from Adélie Land, coastal Antarctica. Cryosphere 2017, 11, 343–362. [Google Scholar] [CrossRef]
- Kim, Y.; Kimball, J.S.; Xu, X.L.; Dunbar, R.S.; Colliander, A.; Derksen, C. Global Assessment of the SMAP Freeze/Thaw Data Record and Regional Applications for Detecting Spring Onset and Frost Events. Remote Sens. 2019, 11, 1317. [Google Scholar] [CrossRef]
- Macelloni, G.; Leduc-Leballeur, M.; Brogioni, M.; Ritz, C.; Picard, G. Analyzing and modeling the SMOS spatial variations in the East Antarctic Plateau. Remote Sens. Environ. 2016, 180, 193–204. [Google Scholar] [CrossRef]
- Wilheit, T.T. Radiative-transfer in a plane stratified dielectric. IEEE Trans. Geosci. Remote Sens. 1978, 16, 138–143. [Google Scholar] [CrossRef]
- Lv, S.; Wen, J.; Zeng, Y.; Tian, H.; Su, Z. An improved two-layer algorithm for estimating effective soil temperature in microwave radiometry using in situ temperature and soil moisture measurements. Remote Sens. Environ. 2014, 152, 356–363. [Google Scholar] [CrossRef]
- Brakhasi, F.; Walker, J.P.; Ye, N.; Wu, X.; Shen, X.; Yeo, I.-Y.; Boopathi, N.; Kim, E.; Kerr, Y.; Jackson, T. Towards soil moisture profile estimation in the root zone using L- and P-band radiometer observations: A coherent modelling approach. Sci. Remote Sens. 2023, 7, 100079. [Google Scholar] [CrossRef]
- Brakhasi, F.; Walker, J.P.; Judge, J.; Liu, P.-W.; Shen, X.; Ye, N.; Wu, X.; Yeo, I.-Y.; Kim, E.; Kerr, Y.; et al. Soil moisture profile estimation under bare and vegetated soils using combined L-band and P-band radiometer observations: An incoherent modeling approach. Remote Sens. Environ. 2024, 307, 114148. [Google Scholar] [CrossRef]
- Mätzler, C. Thermal Microwave Radiation: Applications for Remote Sensing; IET Electromagnetic Waves Series; IET: London, UK, 2006; Volume 52. [Google Scholar]
- Marshall, G.J.; Thompson, D.W.J.; van den Broeke, M.R. The Signature of Southern Hemisphere Atmospheric Circulation Patterns in Antarctic Precipitation. Geophys. Res. Lett. 2017, 44, 11580–11589. [Google Scholar] [CrossRef]
- Turner, J.; Orr, A.; Gudmundsson, G.H.; Jenkins, A.; Bingham, R.G.; Hillenbrand, C.-D.; Bracegirdle, T.J. Atmosphere-ocean-ice interactions in the Amundsen Sea Embayment, West Antarctica. Rev. Geophys. 2017, 55, 235–276. [Google Scholar] [CrossRef]
- Shindell, D.; Schulz, M.; Ming, Y.; Takemura, T.; Faluvegi, G.; Ramaswamy, V. Spatial scales of climate response to inhomogeneous radiative forcing. J. Geophys. Res. Atmos. 2010, 115, D19110. [Google Scholar] [CrossRef]
- Turner, J.; Marshall, G.J.; Clem, K.; Colwell, S.; Phillips, T.; Lu, H. Antarctic temperature variability and change from station data. Int. J. Climatol. 2020, 40, 2986–3007. [Google Scholar] [CrossRef]
- Bromwich, D.H.; Nicolas, J.P.; Monaghan, A.J. An assessment of changes in Antarctic and Southern Ocean precipitation since 1989 in contemporary global reanalyses. J. Clim. 2011, 24, 4189–4209. [Google Scholar] [CrossRef]
- Gossart, A.; Helsen, S.; Lenaerts, J.T.M.; Broucke, S.V.; van Lipzig, N.P.M.; Souverijns, N. An Evaluation of Surface Climatology in State-of-the-Art Reanalyses over the Antarctic Ice Sheet. J. Clim. 2019, 32, 6899–6915. [Google Scholar] [CrossRef]
- Nicolas, J.P.; Bromwich, D.H. New Reconstruction of Antarctic Near-Surface Temperatures: Multidecadal Trends and Reliability of Global Reanalyses. J. Clim. 2014, 27, 8070–8093. [Google Scholar] [CrossRef]
- Bromwich, D.H.; Nicolas, J.P.; Monaghan, A.J.; Lazzara, M.A.; Keller, L.M.; Weidner, G.A.; Wilson, A.B. Central West Antarctica among the most rapidly warming regions on Earth. Nat. Geosci. 2013, 6, 139–145. [Google Scholar] [CrossRef]
- Stammerjohn, S.E.; Scambos, T.A. Warming reaches the South Pole. Nat. Clim. Change 2020, 10, 710–711. [Google Scholar] [CrossRef]
- Ding, M.-H.; Wang, X.; Bian, L.-G.; Jiang, Z.-N.; Lin, X.; Qu, Z.-F.; Su, J.; Wang, S.; Wei, T.; Zhai, X.-C.; et al. State of polar climate in 2023. Adv. Clim. Change Res. 2024, 15, 769–783. [Google Scholar] [CrossRef]
- Wang, S.; Li, G.-C.; Zhang, Z.-H.; Zhang, W.-Q.; Wang, X.; Chen, D.; Chen, W.; Ding, M.-H. Recent warming trends in Antarctica revealed by multiple reanalysis. Adv. Clim. Change Res. 2025, 16, 447–459. [Google Scholar] [CrossRef]
- Wang, Y.-R.; Hessen, D.O.; Samset, B.H.; Stordal, F. Evaluating global and regional land warming trends in the past decades with both MODIS and ERA5-Land land surface temperature data. Remote Sens. Environ. 2022, 280, 113181. [Google Scholar] [CrossRef]
- Oliva, M.; Navarro, F.; Hrbáček, F.; Hernández, A.; Nývlt, D.; Pereira, P.; Ruiz-Fernández, J.; Trigo, R. Recent regional climate cooling on the Antarctic Peninsula and associated impacts on the cryosphere. Sci. Total Environ. 2017, 580, 210–223. [Google Scholar] [CrossRef]
- Thompson, D.W.J.; Solomon, S.; Kushner, P.J.; England, M.H.; Grise, K.M.; Karoly, D.J. Signatures of the Antarctic ozone hole in Southern Hemisphere surface climate change. Nat. Geosci. 2011, 4, 741–749. [Google Scholar] [CrossRef]
- Li, X.; Cai, W.; Meehl, G.A.; Chen, D.; Yuan, X.; Raphael, M.; Holland, D.M.; Ding, Q.; Fogt, R.L.; Markle, B.R.; et al. Tropical teleconnection impacts on Antarctic climate changes. Nat. Rev. Earth Environ. 2021, 2, 680–698. [Google Scholar] [CrossRef]










Disclaimer/Publisher’s Note: The statements, opinions and data contained in all publications are solely those of the individual author(s) and contributor(s) and not of MDPI and/or the editor(s). MDPI and/or the editor(s) disclaim responsibility for any injury to people or property resulting from any ideas, methods, instructions or products referred to in the content. |
© 2025 by the authors. Licensee MDPI, Basel, Switzerland. This article is an open access article distributed under the terms and conditions of the Creative Commons Attribution (CC BY) license (https://creativecommons.org/licenses/by/4.0/).
Share and Cite
Lv, S.; Hu, Y.; Wen, J. Decadal-Scale Warming Signals in Antarctic Ice Sheet Interior Revealed by L-Band Passive Microwave Observations from 2015 to 2025. Remote Sens. 2025, 17, 3757. https://doi.org/10.3390/rs17223757
Lv S, Hu Y, Wen J. Decadal-Scale Warming Signals in Antarctic Ice Sheet Interior Revealed by L-Band Passive Microwave Observations from 2015 to 2025. Remote Sensing. 2025; 17(22):3757. https://doi.org/10.3390/rs17223757
Chicago/Turabian StyleLv, Shaoning, Yin Hu, and Jun Wen. 2025. "Decadal-Scale Warming Signals in Antarctic Ice Sheet Interior Revealed by L-Band Passive Microwave Observations from 2015 to 2025" Remote Sensing 17, no. 22: 3757. https://doi.org/10.3390/rs17223757
APA StyleLv, S., Hu, Y., & Wen, J. (2025). Decadal-Scale Warming Signals in Antarctic Ice Sheet Interior Revealed by L-Band Passive Microwave Observations from 2015 to 2025. Remote Sensing, 17(22), 3757. https://doi.org/10.3390/rs17223757

