Sign in to use this feature.

Years

Between: -

Subjects

remove_circle_outline
remove_circle_outline
remove_circle_outline
remove_circle_outline
remove_circle_outline
remove_circle_outline
remove_circle_outline
remove_circle_outline
remove_circle_outline

Journals

remove_circle_outline
remove_circle_outline
remove_circle_outline
remove_circle_outline
remove_circle_outline
remove_circle_outline

Article Types

Countries / Regions

remove_circle_outline
remove_circle_outline
remove_circle_outline
remove_circle_outline
remove_circle_outline

Search Results (444)

Search Parameters:
Keywords = hot working operations

Order results
Result details
Results per page
Select all
Export citation of selected articles as:
29 pages, 3429 KB  
Article
Integrating Eco-Design and a Building-Integrated Photovoltaic (BIPV) System for Achieving Net Zero Energy Building for a Hot–Dry Climate
by Mohamed Ouazzani Ibrahimi, Abdelali Mana, Samir Idrissi Kaitouni and Abdelmajid Jamil
Buildings 2025, 15(24), 4538; https://doi.org/10.3390/buildings15244538 - 16 Dec 2025
Abstract
Despite growing interest in positive-energy and net-zero-energy buildings (NZEBs), few studies have addressed the integration of biobased construction with building-integrated photovoltaics (BIPV) under hot–dry climate conditions, particularly in Morocco and North Africa. This study fills this gap by presenting a simulation-based evaluation of [...] Read more.
Despite growing interest in positive-energy and net-zero-energy buildings (NZEBs), few studies have addressed the integration of biobased construction with building-integrated photovoltaics (BIPV) under hot–dry climate conditions, particularly in Morocco and North Africa. This study fills this gap by presenting a simulation-based evaluation of energy performance and renewable energy integration strategies for a residential building in the Fes-Meknes region. Two structural configurations were compared using dynamic energy simulations in DesignBuilder/EnergyPlus, that is, a conventional concrete brick model and an eco-constructed alternative based on biobased wooden materials. Thus, the wooden construction reduced annual energy consumption by 33.3% and operational CO2 emissions by 50% due to enhanced thermal insulation and moisture-regulating properties. Then multiple configurations of the solar energy systems were analysed, and an optimal hybrid off-grid hybrid system combining rooftop photovoltaic, BIPV, and lithium-ion battery storage achieved a 100% renewable energy fraction with an annual output of 12,390 kWh. While the system incurs a higher net present cost of $45,708 USD, it ensures full grid independence, lowers the electricity cost to $0.70/kWh, and improves occupant comfort. The novelty of this work lies in its integrated approach, which combines biobased construction, lifecycle-informed energy modelling, and HOMER-optimised PV/BIPV systems tailored to a hot, dry climate. The study provides a replicable framework for designing NZEBs in Morocco and similar arid regions, supporting the low-carbon transition and informing policy, planning, and sustainable construction strategies. Full article
(This article belongs to the Section Building Energy, Physics, Environment, and Systems)
Show Figures

Figure 1

17 pages, 2299 KB  
Article
Impact of Elevated Wall Temperatures on Nitrate Salt Stability in Thermal Energy Storage
by Freerk Klasing and Thomas Bauer
Energies 2025, 18(23), 6308; https://doi.org/10.3390/en18236308 - 30 Nov 2025
Viewed by 180
Abstract
Energy storage is vital for on-demand electricity generation from renewable sources like wind and solar. Besides employing batteries, retrofitting conventional fossil-fired power plants with thermal energy storage might present a highly cost-effective solution. State-of-the-art molten salt storage systems currently operate at a maximum [...] Read more.
Energy storage is vital for on-demand electricity generation from renewable sources like wind and solar. Besides employing batteries, retrofitting conventional fossil-fired power plants with thermal energy storage might present a highly cost-effective solution. State-of-the-art molten salt storage systems currently operate at a maximum temperature of 565 °C. At a higher permanent temperature, nitrate salts start to decompose. The actual wall temperatures of power components for heating, such as solar receivers and electrical heaters, may exceed temperature limits. To date, there is no clear threshold identified up to which heating surfaces in contact with nitrate salt can be operated without leading to the degradation of the salt, which is inevitably followed by increased corrosivity. In this study, possible mechanisms affecting the maximum permissible wall temperature of heating surfaces are identified. The local production of oxygen and nitrite at hot surfaces and its accumulation in the entire system is looked at in an experiment with 9.3 kg of nitrate salt. The effect of high wall temperatures on the evolution of oxygen and nitrite content over time is monitored and analyzed. Parametric studies with an experimentally validated physical model focusing on the nitrate/nitrite equilibrium reveal major influencing factors, with wall temperatures significantly exceeding current design limits. These findings potentially allow for more compact and cost-effective heating components. This work supports the advancement of high-temperature thermal energy storage systems essential for the scalability and economic competitiveness of renewable energy infrastructure. Full article
(This article belongs to the Section D: Energy Storage and Application)
Show Figures

Figure 1

23 pages, 8875 KB  
Article
Climate-Resilient Retrofitting for Enhanced Indoor Comfort in Industrial Workplaces: A Post-Occupancy Evaluation of a Case Study
by Walaa S. E. Ismaeel and Fatma Othman Alamoudy
Climate 2025, 13(12), 243; https://doi.org/10.3390/cli13120243 - 28 Nov 2025
Viewed by 435
Abstract
Industrial workplaces, especially in vulnerable, hot, and arid developing countries, face major challenges in maintaining indoor comfort conditions due to the escalating problem of global temperature rise. This study investigates passive scenarios of adaptive retrofitting for a case study carpet and rug industrial [...] Read more.
Industrial workplaces, especially in vulnerable, hot, and arid developing countries, face major challenges in maintaining indoor comfort conditions due to the escalating problem of global temperature rise. This study investigates passive scenarios of adaptive retrofitting for a case study carpet and rug industrial plant in Cairo, Egypt to achieve indoor comfort conditions and energy efficiency. The research method included a Post Occupancy Evaluation (POE) for the operational phase of individual work units through measurements and simulations to investigate indoor thermal, visual, and acoustic comfort conditions as well as air quality concerns. Thus, the study presents a set of recommendations for building unit(s) and collectively for the entire facility by applying integrated application of building envelope enhancements; optimized opening design, thermal wall insulation and high-albedo (reflective) exterior coatings for wall and roof surfaces. Comparing the modified case to the base case scenario shows significant improvements. Thermal comfort achieved a 16% to 33% reduction in discomfort hours during peak summer, primarily through a 33% increase in air flow velocity and better humidity control. Visual comfort indicated improvements in daylight harvesting, with Daylighting Autonomy increasing by 47% to 64% in core areas, improving light uniformity and reducing glare potential by decreasing peak illuminance by approximately 25%. Thus, the combined envelope and system modifications resulted in a 60 to 80% reduction in monthly Energy Use Intensity (EUI). The effectiveness of the mitigation measures using acoustic insulation was demonstrated in reducing sound pollution transferring outdoors, but the high indoor sound levels require further near-source mitigation or specialized acoustic treatment for complete success. Eventually, the research method helps create a mechanism for measuring and controlling indoor comfort conditions, provide an internal baseline or benchmark to which future development can be compared against, and pinpoint areas of improvement. This can act as a pilot project for green solutions to mitigate the problem of climate change in industrial workplaces and pave the way for further collaboration with the industrial sector. Full article
Show Figures

Figure 1

28 pages, 4528 KB  
Article
A Continuous-Time Degradation Model for Autonomous Underwater Vehicles with Data-Driven Mission Decision Rules
by Marek Woźniak, Stanisław Duer, Beata Kulawińska, Oleg Gubarevych and Dariusz Bernatowicz
Appl. Sci. 2025, 15(23), 12533; https://doi.org/10.3390/app152312533 - 26 Nov 2025
Viewed by 187
Abstract
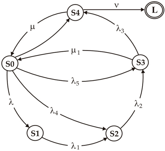
The article presents a methodology for assessing the mission state of the MBG-AUV, designed to support the decision to continue or abort a task in a traceable manner. The approach combines a five-state operational graph (S0–S4) with telemetry through a Markov chain, whose [...] Read more.
The article presents a methodology for assessing the mission state of the MBG-AUV, designed to support the decision to continue or abort a task in a traceable manner. The approach combines a five-state operational graph (S0–S4) with telemetry through a Markov chain, whose transition intensities are determined directly from onboard and environmental signals. The data are synchronized in UTC time, subject to quality control and unit standardization, and subsequently transformed into cumulative exposure (hazard) and risk as a function of time. For the analyzed 60 min coastal mission profile, the end-of-mission risks were RComm(T) ≈ 0.29, RHull(T) ≈ 0.011 and RPower(T) ≈ 0.006, with the first warning threshold (αₑ = 0.10) crossed after approximately 20 min at a depth of ~167 m. These values quantify the dominant contribution of acoustic communication to the overall mission risk. At the mission level, we report two complementary assessments—a weighted average (with operationally defined subsystem weights) and an assessment under the assumption of independence, along with the time of first warning, subsystem contribution ranking, and “hot” segments of the profile. The difference between the weighted mission estimate and the independence-based estimate was approximately 0.03 by the end of the mission, indicating the operational relevance of weight selection. A case study indicates that coastal missions are typically dominated by acoustic link limitations while maintaining comfortable energy and structural margins. The methodology preserves notational consistency, is straightforward to implement in ground or onboard tools, and is scalable to the full set of seven subsystems and subsequent profiles. The future work includes modeling parameter uncertainties, inter-subsystem couplings, and platform loss, as well as integration with trajectory planning to limit exposure. Full article
(This article belongs to the Special Issue Fault Detection in Power Electronics)
Show Figures

Figure 1

22 pages, 1891 KB  
Article
BIM-Based Life Cycle Carbon Assessment and PV Strategies for Residential Buildings in Central China
by Yifeng Guo, Yexue Li, Shanshan Xie, Wanqin Mao and Xuzhi Chen
Buildings 2025, 15(23), 4232; https://doi.org/10.3390/buildings15234232 - 24 Nov 2025
Viewed by 357
Abstract
Aligned with China’s “Dual Carbon” goals, this study addresses carbon emissions in the building sector. Existing research predominantly focuses on single-stage carbon emission assessment or separately examines the benefits of BIM applications and photovoltaic (PV) technology. There is a notable lack of studies [...] Read more.
Aligned with China’s “Dual Carbon” goals, this study addresses carbon emissions in the building sector. Existing research predominantly focuses on single-stage carbon emission assessment or separately examines the benefits of BIM applications and photovoltaic (PV) technology. There is a notable lack of studies that deeply integrate the BIM platform with dynamic assessment of building life cycle carbon emissions and PV carbon reduction strategies, particularly under the specific context of the hot-summer/cold-winter climate in Central China and a regional grid primarily reliant on thermal power. Moreover, localized and in-depth analyses targeting residential buildings in this region remain scarce. To address this gap, this study takes a residential building in Central China as a case study and establishes a BIM-based life cycle carbon emission assessment model to systematically quantify the carbon footprint across all stages. Results show total life cycle carbon emissions of 12600 tCO2, with embodied carbon (4590 tCO2, 36.6%) and the operational phase identified as the main emission sources. Through PV system integration and multi-scenario simulations, the study demonstrates significant carbon reduction potential: systems with 40–80 kW capacity can achieve annual carbon reductions ranging from 26 to 52 tCO2. The 60 kW system shows the optimal balance with an annual reduction of 38.7 tCO2 and a payback period of 3.53 years. The primary novelty of this work lies in its development of a dynamic BIM-LCA framework that enables real-time carbon footprint tracking, and the establishment of a first-of-its-kind quantitative model for PV strategy optimization under the specific climatic and grid conditions of Central China, providing a replicable pathway for region-specific decarbonization. Full article
Show Figures

Figure 1

29 pages, 2670 KB  
Article
Modelling Solar Intermittency Effects on PEM Electrolyser Performance & Degradation: A Comparison of Oman and UK
by Mohamed Al-Mandhari and Aritra Ghosh
Energies 2025, 18(23), 6131; https://doi.org/10.3390/en18236131 - 23 Nov 2025
Viewed by 385
Abstract
The durability of Proton Exchange Membrane Water Electrolysers (PEMWEs) under intermittent renewable power is a critical challenge for scaling green hydrogen. This study investigates the influence of solar intermittency on PEMWE performance and degradation in direct-coupled photovoltaic (PV) systems by comparing two contrasting [...] Read more.
The durability of Proton Exchange Membrane Water Electrolysers (PEMWEs) under intermittent renewable power is a critical challenge for scaling green hydrogen. This study investigates the influence of solar intermittency on PEMWE performance and degradation in direct-coupled photovoltaic (PV) systems by comparing two contrasting climates: Muscat, Oman (hot-arid, high irradiance) and Brighton, UK (temperate, variable irradiance). A validated physics-based model, incorporating reversible, activation, ohmic, and concentration overpotentials along with empirical degradation laws for catalyst decay, membrane thinning, and interfacial resistance growth, was applied to hourly PV-generation data. The results indicate that Muscat’s high irradiance (985 MWh year−1) produced nearly double Brighton’s hydrogen yield (14,018 kg vs. 7566 kg) and longer operational hours (3269 h vs. 2244 h), but at the cost of accelerated degradation (359.8 μV h−1 vs. 231.4 μV h−1). In contrast, Brighton’s cooler and more humid climate preserved efficiency (65.8% vs. 59.8%) and reduced degradation, although higher daily cycling and seasonal variability constrained total output. The findings reveal a climate-dependent trade-off: hot, stable regions maximise hydrogen productivity at the expense of lifespan, whereas variable, cooler climates extend durability but limit yield. By explicitly linking intermittency to performance and ageing, this work provides a location-specific assessment of PEMWE feasibility, supporting design and operation strategies for renewable hydrogen deployment. Full article
Show Figures

Figure 1

19 pages, 3511 KB  
Article
A Hybrid Earth–Air Heat Exchanger with a Subsurface Water Tank: Experimental Validation in a Hot–Arid Climate
by Safieddine Ounis, Okba Boucherit, Abdelhafid Moummi, Tallal Abdel Karim Bouzir, Djihed Berkouk, Fabrizio Leonforte, Claudio Del Pero and Mohammed M. Gomaa
Sustainability 2025, 17(22), 10216; https://doi.org/10.3390/su172210216 - 14 Nov 2025
Viewed by 611
Abstract
Earth–Air Heat Exchangers (EAHEs) exploit stable subsurface temperatures to pre-condition supply air. To address limitations of conventional systems in hot–arid climates, this study investigates the performance of a hybrid EAHE prototype combining a serpentine subsurface pipe with a buried water tank. Installed in [...] Read more.
Earth–Air Heat Exchangers (EAHEs) exploit stable subsurface temperatures to pre-condition supply air. To address limitations of conventional systems in hot–arid climates, this study investigates the performance of a hybrid EAHE prototype combining a serpentine subsurface pipe with a buried water tank. Installed in a residential building in Lichana, Biskra (Algeria), the system was designed to enhance land compactness, thermal stability, and soil–water heat harvesting. Experimental monitoring was conducted across 13 intervals strategically spanning seasonal transitions and extremes and was complemented by calibrated numerical simulations. From over 30,000 data points, outlet trajectories, thermal efficiency, Coefficient of Performance (COP), and energy savings were assessed against a straight-pipe baseline. Results showed that the hybrid EAHE delivered smoother outlet profiles under moderate gradients while the baseline achieved larger instantaneous ΔT. Thermal efficiencies exceeded 90% during high-gradient episodes and averaged above 70% annually. COP values scaled with the inlet–soil gradient, ranging from 1.5 to 4.0. Cumulative recovered energy reached 80.6 kWh (3.92 kWh/day), while the heat pump electricity referred to a temperature-dependent ASHP totaled 34.59 kWh (1.40 kWh/day). Accounting for the EAHE fan yields a net saving of 25.46 kWh across the campaign, only one interval (5) was net-negative, underscoring the value of bypass/fan shut-off under weak gradients. Overall, the hybrid EAHE emerges as a footprint-efficient option for arid housing, provided operation is dynamically controlled. Future work will focus on controlling logic and soil–moisture interactions to maximize net performance. Full article
(This article belongs to the Special Issue Sustainability and Energy Performance of Buildings)
Show Figures

Figure 1

24 pages, 5008 KB  
Article
Modeling and Performance Evaluation of a District Heating Network with Integration of a Thermal Prosumer: A Case Study in Italy
by Giulia Bonelli, Martina Capone, Vittorio Verda and Elisa Guelpa
Energies 2025, 18(22), 5977; https://doi.org/10.3390/en18225977 - 14 Nov 2025
Viewed by 374
Abstract
The decarbonization of the heating sector requires the progressive transformation of district heating systems toward low-temperature and renewable-based configurations. In this context, the integration of thermal prosumers, capable of both consuming and producing heat, represents a promising solution to increase network flexibility and [...] Read more.
The decarbonization of the heating sector requires the progressive transformation of district heating systems toward low-temperature and renewable-based configurations. In this context, the integration of thermal prosumers, capable of both consuming and producing heat, represents a promising solution to increase network flexibility and support sector coupling through technologies such as heat pumps. This work presents a thermo-fluid dynamic modeling framework developed to analyze the integration of a heat pump-based prosumer into an existing large-scale district heating network in Italy. The model adopts a graph-based, thermo-fluid dynamic model, combining a steady-state hydraulic formulation with a transient thermal analysis, and is complemented by a set of Key Performance Indicators for the evaluation of energy exchanges and self-sufficiency at user and network levels. Different operational configurations are analyzed, including local sharing within the distribution network and heat export to the main transport network, with and without local thermal storage. The study focuses on summer operation, when the network supplies only domestic hot water, a condition in which distributed renewable generation can play a major role in reducing central plant operation. The results highlight the potential of thermal prosumers to enhance energy autonomy and flexibility in existing district heating networks, paving the way for their evolution toward fully renewable and bidirectional systems. Full article
(This article belongs to the Special Issue Trends and Developments in District Heating and Cooling Technologies)
Show Figures

Figure 1

16 pages, 4838 KB  
Article
Exploring Accelerated Aging Stress for Physical Unclonable Function Self-Corruption
by Eric Hunt-Schroeder and Tian Xia
Chips 2025, 4(4), 48; https://doi.org/10.3390/chips4040048 - 11 Nov 2025
Viewed by 295
Abstract
Silicon-Based Physical Unclonable Functions (PUFs) exploit inherent manufacturing variations to produce a unique, random, and ideally unclonable secret key. As electronic devices are decommissioned and sent for End of Life (EOL) recycling, the encrypted critical program information remains within the device. However, conventional [...] Read more.
Silicon-Based Physical Unclonable Functions (PUFs) exploit inherent manufacturing variations to produce a unique, random, and ideally unclonable secret key. As electronic devices are decommissioned and sent for End of Life (EOL) recycling, the encrypted critical program information remains within the device. However, conventional PUFs remain vulnerable to invasive attacks and reverse engineering that with sufficient time, resources, and effort can enable an adversary to bypass the security enclave of the system and extract this secret data. Recent research has started to explore techniques to respond to tamper attempts using electromigration (EM) and time-dependent dielectric breakdown (TDDB) to the PUF entropy source, preventing future authentication attempts with well-known semiconductor reliability failure mechanisms. This work presents a Pre-Amplifier Physical Unclonable Function (Pre-Amp PUF) with a self-corruption function designed and manufactured in a 3 nm FinFET technology. This PUF can perform a destructive read operation as an EOL anti-counterfeit measure against recycled and reused electronics. The destructive read utilizes an accelerated aging technique that exploits both Hot Carrier Injection (HCI) and Bias Temperature Instability (BTI) degradations directly at the PUF entropy source bitcell data. This work demonstrates a silicon proven ability to irreversibly corrupt the encryption key, invalidating the PUF key, and blocking future authentication attempts. By utilizing HCI and BTI aging effects rather than physical damage a PUF that can self-corrupt its own key without being detectable with imaging techniques is demonstrated for the first time. A feedback loop enables corruption of up to ~30% of the PUF entropy source, which is approximately 3× more data corruption than the prior state of the art self-corrupting PUF. Our technique reuses on-chip stable (repeatable) PUF bitcells identifying circuitry and thereby minimizes the area overhead to support this differentiated feature. Full article
(This article belongs to the Special Issue Emerging Issues in Hardware and IC System Security)
Show Figures

Figure 1

20 pages, 3681 KB  
Article
Development and Performance Analysis of a Novel Multi-Stage Microchannel Separated Gravity Heat Pipe for Compressor Room Cooling
by Zhihua Li, Ying Zhang, Fanghua Ye, Juan Zi, Deji Sun, Guanglie Liu, Renqin Kuang, Weiguo Jiang and Hualiang Wu
Processes 2025, 13(11), 3609; https://doi.org/10.3390/pr13113609 - 7 Nov 2025
Viewed by 323
Abstract
Traditional multi-stage separated heat pipes (SHPs) face limitations in independently setting operation parameters for each stage. To address this issue, this paper presents a novel independent multi-stage microchannel Separated Gravity Heat Pipe (SGHP) for air compressor room cooling. The innovative structure and working [...] Read more.
Traditional multi-stage separated heat pipes (SHPs) face limitations in independently setting operation parameters for each stage. To address this issue, this paper presents a novel independent multi-stage microchannel Separated Gravity Heat Pipe (SGHP) for air compressor room cooling. The innovative structure and working principle of this novel multi-stage SGHP were introduced. Furthermore, numerical investigations on a single stage of the SGHP were then conducted to study the gas–liquid two-phase flow characteristics and phase-change heat transfer performance. Experimental research on a three-stage SGHP was carried out to further explore the impact of the filling ratio combinations and the temperature difference between the hot and cold ends on the heat transfer performance of the SGHP. The results show that the temperature difference between the hot and cold ends affects the flow pattern of the working fluid, which has a vital effect on the heat transfer performance of the SGHP. The optimum filling ratio combination of the three-stage SGHP depends on the temperature difference between the hot and cold ends. The optimum filling ratio combination is 37%/37%/30% at low temperature difference conditions and 43%/37%/37% at high temperature difference conditions, respectively. The highest heat transfer capacity of the three-stage SGHP reaches 15.3 kW, and the peak heat recovery efficiency is 74.0%. The findings provide a crucial foundation for developing novel independent multi-stage SGHP in compressor room cooling and similar industrial settings, promising high potential to reduce energy consumption and operational costs. Full article
(This article belongs to the Special Issue Multi-Phase Flow and Heat and Mass Transfer Engineering)
Show Figures

Figure 1

22 pages, 7941 KB  
Article
Comparison Between Experimental and Simulated Hygrothermal Response of Chopped-Straw- and Cellulose-Insulated Wood Frame Panels
by Brock Conley and Mark Carver
Buildings 2025, 15(22), 4017; https://doi.org/10.3390/buildings15224017 - 7 Nov 2025
Viewed by 340
Abstract
Achieving a decarbonized built environment in Canada requires proven, resilient, and scalable building envelope assemblies. In 2022, building operations accounted for 18% of Canada’s greenhouse gas (GHG) emissions, with space heating responsible for nearly two-thirds of this total. Alongside operational carbon reductions, embodied [...] Read more.
Achieving a decarbonized built environment in Canada requires proven, resilient, and scalable building envelope assemblies. In 2022, building operations accounted for 18% of Canada’s greenhouse gas (GHG) emissions, with space heating responsible for nearly two-thirds of this total. Alongside operational carbon reductions, embodied carbon emissions—stemming from the production and transport of building materials—must be prioritized during the design phase. Without intervention, construction materials could consume up to half of the remaining global 1.5 °C carbon budget by 2050. This paper highlights NRCan’s prototype, low-carbon, prefabricated panels filled with chopped straw and cellulose insulation under the Prefabricated Exterior Energy Retrofit (PEER) research project. The research advances confidence in performance and durability of biogenic materials by conducting controlled experiments, guarded hot box testing, and hygrothermal modelling. These panels present a promising pathway to drastically lower embodied carbon in the built environment. The validated hygrothermal model, accurate to between 3% and 7, enables assessment of hygrothermal performance across Canadian climates, retrofit scenarios and future climate conditions. This work supports the evidence for low-carbon or bio-based materials as a solution for Canada’s built environment. Full article
(This article belongs to the Section Building Energy, Physics, Environment, and Systems)
Show Figures

Figure 1

25 pages, 7755 KB  
Article
The Influence of Process Conditions and Reinforcement Characteristics on the Densification and Mechanical Properties of Powder Metallurgy SiCp/Al Composites
by Liuxu Cao, Qingsong Dai, Qiwen Liang and Xiaoyong Zhang
Materials 2025, 18(21), 5060; https://doi.org/10.3390/ma18215060 - 6 Nov 2025
Viewed by 366
Abstract
Compared to pure aluminum powder, aluminum alloy powders exhibit higher strength and hardness, which leads to greater difficulty in plastic deformation during cold compaction, consequently impairing green compact formation and subsequent densification. This study introduces pure aluminum powder into the raw material system [...] Read more.
Compared to pure aluminum powder, aluminum alloy powders exhibit higher strength and hardness, which leads to greater difficulty in plastic deformation during cold compaction, consequently impairing green compact formation and subsequent densification. This study introduces pure aluminum powder into the raw material system based on 2024 aluminum alloy powder and SiC powder, effectively improving the powder compaction characteristics. A systematic investigation was conducted to examine the effects of sintering temperature (460–640 °C) and holding time (5–120 min) during pressureless sintering on the sintering shrinkage, relative density, mechanical properties, and microstructure of SiCp/Al composites reinforced with 35 wt.% of 31.9 μm SiC particles. The results indicate that sintering at 600 °C for 30 min constitutes the optimal process condition, achieving effective interparticle bonding while preventing coarsening of both precipitates and pores. Subsequent hot pressing effectively enhanced the relative density and mechanical properties of the sintered preforms, achieving a maximum tensile strength of 343 MPa, which represents an improvement of over 70% compared to the sintered-only state. For the hot-pressed state, elevated levels of SiC particle content and size compromised its mechanical performance. This work demonstrates a highly operable and industrially viable processing route for manufacturing aluminum matrix composites using alloy powders. Full article
(This article belongs to the Special Issue Study on Advanced Metal Matrix Composites (3rd Edition))
Show Figures

Figure 1

15 pages, 2384 KB  
Proceeding Paper
Leveraging IoT for Performance Enhancement of Logistics: Case of a Multinational Company
by Ndiene Manugu and Kapil Gupta
Eng. Proc. 2025, 114(1), 10; https://doi.org/10.3390/engproc2025114010 - 5 Nov 2025
Viewed by 559
Abstract
The implementation of the Internet of Things (IoT) in logistics has the ability to transform the whole logistics industry by improving business models, operational efficiency, traceability, security, and customer experience. The manual logistics process causing a lot of late deliveries, wrong deliveries, and [...] Read more.
The implementation of the Internet of Things (IoT) in logistics has the ability to transform the whole logistics industry by improving business models, operational efficiency, traceability, security, and customer experience. The manual logistics process causing a lot of late deliveries, wrong deliveries, and line stoppages in a multinational automotive company. That led to the pursuit of this research work to convert the manual call-off process to a fully system-controlled process. The main objective of this research was to implement system-controlled warehouse call-offs and scheduling processes to reduce line stoppages caused by late and incorrect delivery of parts to the line, as well as hot call-offs, and to improve the overall efficiency of line supply routes. The introduction of IoT in the warehouse comes with a takted process, meaning that each step of the line supply process is timed. The process introduces scanners to support process confirmation and link every process step to System Applications and Products in Data Processing (SAP) to allow for traceability. The interconnected devices and system in this study connect line-side reality (using Rapid Frequency Identification (RFID), optic sensors, and the Integrated Production System Logistics (IPSL) bill of material information) with the SAP demand and part requirements. The IoT implementation results show a great improvement in the overall logistics of line supply processes. A decrease in line stoppages is witnessed, with a reduction of 69%, and line-side confirmation makes tracing easier, thereby enhancing process transparency. The addition of scanners provides line supply employees transparency with respect to where parts are going, further reducing the probability of wrong deliveries. Waste reduction is also a result of this research, as the takted processes allow for time saving on the round-trip time, which is reduced by 32%. Conclusively, this research adds to the expanding corpus of research on the application of IoT in logistics and offers useful advice to policymakers and logistics managers who wish to integrate IoT technologies into their operations. Full article
Show Figures

Figure 1

16 pages, 6377 KB  
Article
Evolution of Galvanized Steel Pipe Corrosion in Hot Water Supply Systems
by Valentin Chukhin, Nikolay Makisha and Igor Gulshin
Corros. Mater. Degrad. 2025, 6(4), 55; https://doi.org/10.3390/cmd6040055 - 31 Oct 2025
Viewed by 668
Abstract
This paper presents comprehensive studies of pitting corrosion, which precedes the appearance of fistulas in galvanized steel pipelines of hot and cold water supply systems. Corroded galvanized pipes taken out from water supply systems within their operation and scale samples were the subject [...] Read more.
This paper presents comprehensive studies of pitting corrosion, which precedes the appearance of fistulas in galvanized steel pipelines of hot and cold water supply systems. Corroded galvanized pipes taken out from water supply systems within their operation and scale samples were the subject of this research. The current work continues the research on one of the four structural elements of tubercles—the dense layer. The corrosion of the zinc coating and the steel base of pipes inside the tubercles led to a gradual increase in the concentration of a solution containing components of the corroding metal (zinc and iron cations) and anions in water (mainly chlorides and sulfates). To explain the corrosion under the tubercles, their dense layer was compared with an anion exchange membrane with selective properties, which provided the primary concentration of the salt solution in the structure of the tubercles with a significant increase in the concentration of aggressive anions compared to the source water. The formation of fistulas in the cavity leads to a secondary concentration of solution inside the tubercle, mainly consisting of iron chloride. At the same time, due to the hydrolysis of the formed iron salts and a decrease in pH, the corrosion rate increases and becomes independent of external conditions. This article summarizes ten years of experience in examining corrosion of steel pipes from external and internal water supply systems. Full article
Show Figures

Figure 1

25 pages, 11489 KB  
Article
Bow-Tie Microwave Diodes on the Base of Modulation-Doped Semiconductor Structure with Wide Spacer: Theory and Experiment
by Algirdas Sužiedėlis, Steponas Ašmontas, Jonas Gradauskas, Aurimas Čerškus, Andžej Lučun and Maksimas Anbinderis
Crystals 2025, 15(11), 918; https://doi.org/10.3390/cryst15110918 - 24 Oct 2025
Viewed by 285
Abstract
Bow-tie microwave diodes have proven to be effective sensors of electromagnetic radiation across a wide wavelength range, from centimeter-scale radio waves to micrometer-scale mid-infrared radiation. Their operation is based on electron heating by strong electric fields. However, the experimental data obtained so far [...] Read more.
Bow-tie microwave diodes have proven to be effective sensors of electromagnetic radiation across a wide wavelength range, from centimeter-scale radio waves to micrometer-scale mid-infrared radiation. Their operation is based on electron heating by strong electric fields. However, the experimental data obtained so far remain inconclusive, and the exact nature of the voltage detected by bow-tie diodes is not yet fully understood. In this work, we extend the investigation of the electrical properties of bow-tie diodes based on modulation-doped semiconductor structures with a wide spacer. The analysis focuses on the influence of diode metal contact geometry, illumination conditions, and orientation relative to the crystallographic axes. To elucidate the origin of the voltage detected by bow-tie diodes, we compare theoretical predictions of their electrical parameters—including voltage sensitivity, electrical resistance, asymmetry of the I–V characteristic in weak electric fields, and the nonlinearity coefficient of the I–V characteristic in strong electric fields—with corresponding experimental results. The results of our investigations indicate that, for most diodes, the detected voltage originates from electron heating by the microwave electric field, as evidenced by the polarity of the detected voltage matching the thermoelectric emf of hot carriers. Full article
Show Figures

Figure 1

Back to TopTop