Next Article in Journal
Study of a High-Power, Long-Pulse-Width Acousto-Optical Q-Switched 1064 nm Laser Based on a Multi-Pass Cavity
Previous Article in Journal
Recent Advances in B-Mode Ultrasound Simulators
 
 
Font Type:
Arial Georgia Verdana
Font Size:
Aa Aa Aa
Line Spacing:
Column Width:
Background:
Article

A Continuous-Time Degradation Model for Autonomous Underwater Vehicles with Data-Driven Mission Decision Rules

1
Doctoral School, Koszalin University of Technology, 2 Sniadeckich St., 75-620 Koszalin, Poland
2
Department of Energy, Faculty of Mechanical Engineering and Power Engineering, Technical University of Koszalin, 15-17 Raclawicka St., 75-620 Koszalin, Poland
3
Department of Logistics Management, Academy of Applied Sciences in Walcz, 99 Wojska Polskiego St., 78-600 Walcz, Poland
4
Educational and Scientific Kyiv Institute, Railway Transport of the National Transport University, 04071 Kyiv, Ukraine
5
Faculty of Electronic and Informatics, Technical University of Koszalin, 2 Sniadeckich St., 75-620 Koszalin, Poland
*
Author to whom correspondence should be addressed.
Appl. Sci. 2025, 15(23), 12533; https://doi.org/10.3390/app152312533 (registering DOI)
Submission received: 29 October 2025 / Revised: 16 November 2025 / Accepted: 20 November 2025 / Published: 26 November 2025
(This article belongs to the Special Issue Fault Detection in Power Electronics)

Abstract

The article presents a methodology for assessing the mission state of the MBG-AUV, designed to support the decision to continue or abort a task in a traceable manner. The approach combines a five-state operational graph (S0–S4) with telemetry through a Markov chain, whose transition intensities are determined directly from onboard and environmental signals. The data are synchronized in UTC time, subject to quality control and unit standardization, and subsequently transformed into cumulative exposure (hazard) and risk as a function of time. For the analyzed 60 min coastal mission profile, the end-of-mission risks were RComm(T) ≈ 0.29, RHull(T) ≈ 0.011 and RPower(T) ≈ 0.006, with the first warning threshold (αₑ = 0.10) crossed after approximately 20 min at a depth of ~167 m. These values quantify the dominant contribution of acoustic communication to the overall mission risk. At the mission level, we report two complementary assessments—a weighted average (with operationally defined subsystem weights) and an assessment under the assumption of independence, along with the time of first warning, subsystem contribution ranking, and “hot” segments of the profile. The difference between the weighted mission estimate and the independence-based estimate was approximately 0.03 by the end of the mission, indicating the operational relevance of weight selection. A case study indicates that coastal missions are typically dominated by acoustic link limitations while maintaining comfortable energy and structural margins. The methodology preserves notational consistency, is straightforward to implement in ground or onboard tools, and is scalable to the full set of seven subsystems and subsequent profiles. The future work includes modeling parameter uncertainties, inter-subsystem couplings, and platform loss, as well as integration with trajectory planning to limit exposure.

1. Introduction

The decision to continue or abort an MBG-AUV mission is a critical problem and should be based on a quantitative assessment of subsystem reliability along with an actual mission timeline. In this study, we adopt a multi-state description (S0–S4) and model the evolution of states within a non-homogeneous continuous-time Markov chain (NH-CTMC), whose transition intensities are calibrated directly from telemetry. The literature combining state-based formalism with high-resolution data remains scarce and fragmented, which justifies the need for further research. Our objective is to ensure a consistent flow between data → intensities → hazard → risk → decision (continue/abort) with strict preservation of units (s−1) and real-time steps [1,2,3]. Exceptions are studies combining probabilistic approaches (particularly Bayesian) with data from consecutive missions, which demonstrate that the risk profile strongly depends on the effectiveness of preventive and corrective actions [4,5]. Concurrently, approaches addressing the performability and reliability of AUV systems have emerged, employing formal state models and fault trees, yet rarely coupling directly with telemetry and Δt derived from data [6]. This shortage of empirically calibrated non-homogeneous state models is the main motivation for introducing an NH-CTMC framework based on MBG-AUV data streams to derive operational decisions from measurable quantities.
Acoustic communication is particularly critical to mission success. Transmission range and reliability remain the function of the sound speed profile (SSP), bathymetry, and propagation losses, where even seemingly similar conditions may result in drastically different SNR/BER trajectories [7]. The latest studies highlight the effectiveness of adaptive and predictive techniques in UWA networks and the role of modulation schemes resilient to multipath effects in reducing errors in challenging channel profiles [8,9]. From a reliability modeling perspective, this implies the need for exposure-dependent intensities in the Comm subsystem as functions of, among others, TLdB, depth, and communication windows (explicitly reflected in the construction of λC(t)).
The second pillar of contemporary analyses concerns abort policies and risk planning. For multi-component systems, it has been shown that optimal abort strategies, often coupled with inspections and degradation modeled by CTMC/PHM, significantly reduce the probability of loss at an acceptable operational cost [10,11]. Risk-based trajectory planning transfers these principles to the control level, minimizing exposure to communication/structural hazards while maintaining mission objectives [12]. In the present framework, we leverage these findings to define a decision threshold α and two mission-level aggregators (weighted and independence-based), both derived directly from subsystem Ri(T).
The contribution of this work is threefold:
  • a consistent processing flow linking telemetry → λi(t) → Hi(t) → Ri(t) → decision
  • integration of environmental and operational factors into λi(t)
  • extension to a mission-level continue/abort rule with explicit thresholds
Firstly, we present a consistent flow “data → intensities → hazard → risk → decision” for AUV missions, based on an NH-CTMC calibrated with MBG-AUV telemetry, with strict preservation of units (s−1) and real Δt steps. Secondly, we integrate environmental and operational factors (depth, TLdB, load) at the λi(t) estimation stage, enabling identification of “hot” profile segments and mitigation opportunities with the highest operational payoff. Thirdly, we extend subsystem-level results into a mission-level decision with clear interpretation (time of first warning, margin to abort threshold, persistence relative to S2/S3/S4), while maintaining notational consistency with Section 3 and continuity with subsequent sections (data, results, discussion). The complete structure of this flow is outlined in the scenario diagram shown in Figure 1.
In a broader research context, the proposed approach addresses the gap between theoretical modeling and operational practice by linking the NH-CTMC formalism [1,2] with high-resolution telemetry, UTC synchronization, and explicitly defined operational thresholds. The scarcity of empirical works after 2015, particularly those reporting λi(t), Hi(t), Ri(t), and the “continue/abort” decision within a single, coherent framework, highlights the need for further studies and reporting standardization. The results presented in the following sections aim to provide such a reference, both as a baseline for mission comparisons and as a starting point for sensitivity analysis, subsystem extensions, and coupling with risk planning policies [13,14,15,16,17].

2. Characteristics of AUV Subsystems

The MBG-AUV platform has a modular architecture. Functionally, it comprises seven interacting subsystems: power (Power), propulsion (Propulsion), control and navigation (Control/Nav), communications (Comm), payload sensors (Sensors), hull/structural integrity (Hull/Structure), and software with mission management (Software/Mission Management). These subsystems operate in close interaction with the marine environment, including depth/pressure, the sound speed profile and propagation losses (TLdB), currents, temperature, and salinity. A summary of subsystem roles, interaction vectors, and utilized signals is provided in Table 1 (factors → subsystems), while the operational interpretation of state transitions and typical triggers in the data are presented in Table 2.
Explanation of notation:
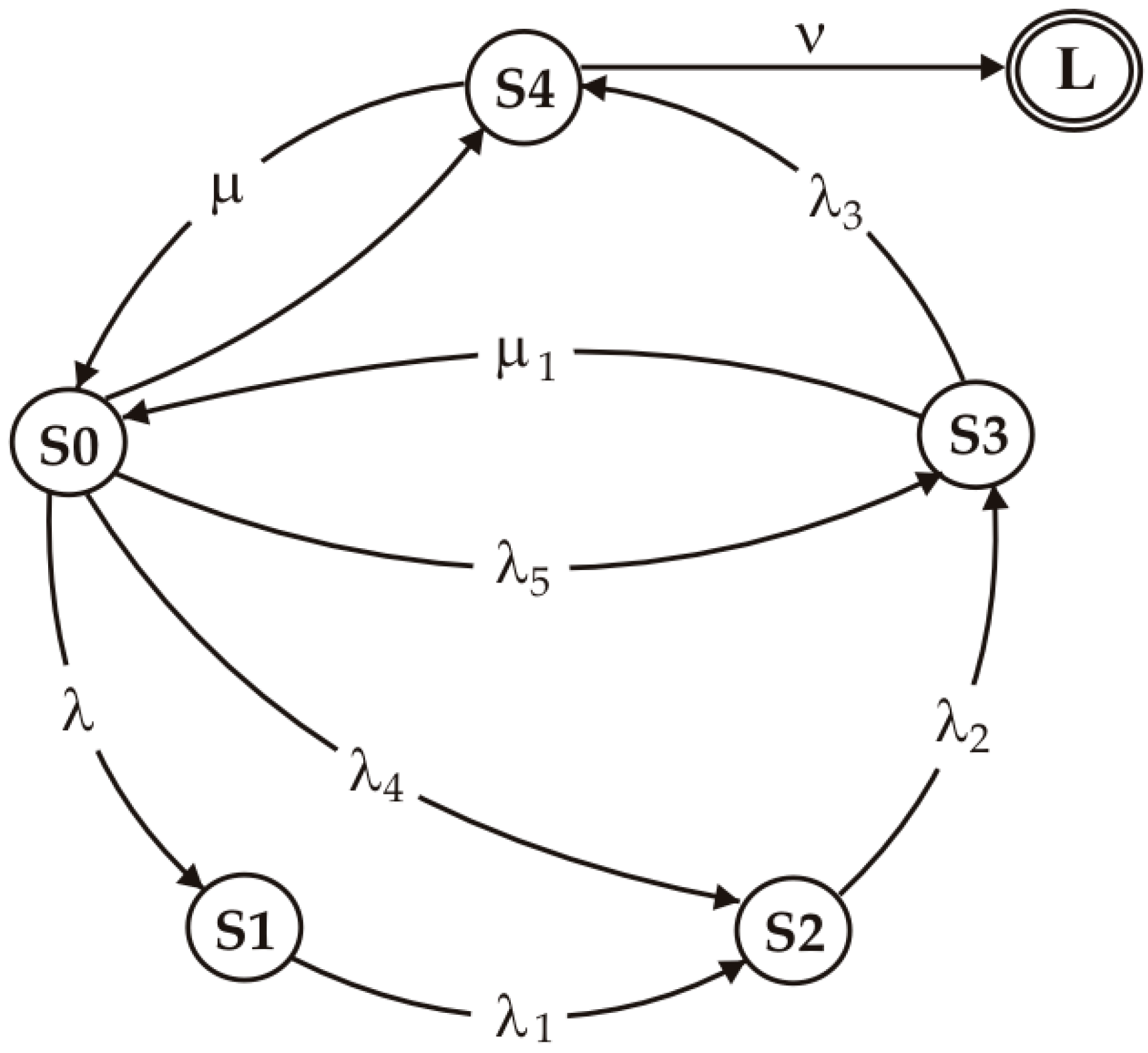
  • Arrows of the type Si → Sj denote a directional transition in the five-state classification graph from the source state Si to the target state Sj. The intensities λ and μ describe degradation and regeneration processes, respectively. Transitions marked as “jump” represent sudden, discontinuous state changes that skip intermediate levels.
  • The symbol * (asterisk) next to S4 → L (ν)* indicates that state L is absorbing, and once it is reached, the object cannot return to any operational state.
  • The designation T* refers to the cut-off time, after which the lack of a telemetric response or lack of confirmation from the buoy/beacon is treated as a clear signal of entering the absorbing state L (loss of the object).
  • The symbol ↑ indicates an increase in the value of a given parameter or intensity (e.g., ↑λ—increased degradation intensity, ↑power—higher power demand). Similarly, the symbol ↓ (if present) indicates a decrease in the value of a parameter.
For clarity, we note that transitions listed in Table 2 are typically accompanied by measurable changes in the corresponding signals (e.g., a noticeable increase in PER during communication windows for S0→S1). These examples are representative only and are not intended to redefine the structure of the table.
At the power level, the BMS monitors cell voltage, current, and temperature, as well as health indicators (internal resistance), enabling the assessment of energy reserves and the detection of power-limiting episodes. The propulsion subsystem, equipped with ESC controllers, generates thrust, ESC currents, and RPM, and the temperatures reveal load asymmetries and thermal phenomena. The control and navigation layer stabilizes the trajectory using the IMU, depth sensor, and DVL; the performance quality is reflected in depth/course deviations, the depth profile z(t), and bottom-lock availability. Communications are provided by an acoustic modem (with optional RF after surfacing), the channel quality is characterized by SNR, PER/BER, RTT, and TLdB exposure, with exchanges occurring in transmission windows. Payload sensors (optical, acoustic, and others) provide mission-relevant data, for whose quality/detection indicators are monitored. Structural integrity is tracked by flooding and stress sensors, with the depth profile and leak-signal dynamics being critical. Software supervision manages the mission plan, safety, and emergency modes (watchdog, resets, recovery procedures).
The operational logic of the subsystems is described by the state graph (Figure 2) S0–S4 (the “without L” variant described in Section 3). S0 denotes nominal operation, S1 indicates symptoms (warning), S2 corresponds to reduced performance, S3 to limited capability (fallback/emergency mode), and S4 to the critical state. We admit progressive degradations along the chain S0→S1→S2→S3→S4 (labeled λ, λ1, λ2, λ3) jumps bypassing levels (λ4 for S0→S2, λ5 for S0→S3), as well as recoveries to the safe mode μ1 (S3→S0—function restoration or switchover to redundancy) and μ (S4→S0—emergency procedures). Degradations correspond to the gradual deterioration of conditions or subsystem health (rising TLdB, loss of control reference, decreasing energy margin), jumps reflect abrupt events (redundancy-triggered reset, communication blackout), and μ arcs represent real opportunities to restore function and continue the mission after effective intervention. Typical triggers include PER/BER spikes and missing ACK (S0→S3 in communications), bottom-lock loss and increasing depth/course error (S2/S3 in control), or the appearance of a leak signal (escalation S3→S4 in the hull).
For a complete picture of the interdependencies among the seven subsystems, a hub-and-spoke view is useful. The circular variant, shown in Figure 3, treats Software/Mission Management as the coordinating node. Blue arrows from this node to the others denote the primary control and telemetry relationship (data/cmd). The relation between Control/Nav and Propulsion, labeled actuation (orange arrow), corresponds to actuator signals within the control loop. Red arrows from Power to all subsystems indicate power supply (DC bus). The dashed green arrow from Hull/Structure to Software, Control, and Power represents safety couplings and constraints (flooding detection, overpressure/depth exceedance). The Environment remains an external factor (water column and seabed) that affects Communications, Control/Nav, and Hull/Structure, but it does not constitute an eighth subsystem and, therefore, is not represented as a separate block.
To provide context, a simple data flow is also presented, linking the subsystems with the subsequent analysis, onboard logs (UTC) → synchronization and quality control → unit standardization → construction of derived variables (TLdB, control errors, quality flags) → estimation of instantaneous transition intensities λi(t) → accumulation of exposure (hazard) and risk → mission-level aggregates and the “continue/abort” decision. Figure 4 ensures terminological consistency with Table 1 and Table 2, and sets the stage for computations in the later sections without delving into calculation details here.
The structured characterization presented in Section 2 provides a shared technical vocabulary and a consistent interpretive framework for subsequent analysis. The same states and relationships shown in the figures are later supplied with observations, transformed into intensities (in s−1), accumulated over the mission timeline, and applied in the “continue/abort” assessment with an explicit reference to the specific subsystem, profile segment, and transition arrow in the graph.

3. Mathematical Model

At this stage, we move from qualitative description to formal representation. The structure of the process follows the previously shown transition graph (Figure 2), where degradation steps dominate, operational jumps occur occasionally, and recovery switches appear only in states of advanced degradation. Transition intensities are conditioned on the mission profile w(t) = {z(t), T(t), S(t), u(t), κ(t)}, ensuring that the model is anchored in actual data.
For mission risk analysis, we extend the graph (Figure 5) with an absorbing state L (loss of the platform), which is reachable exclusively from the failure state through intensity ν: S4→L. Formally, each primary subsystem (power, propulsion, control/navigation, communications, sensors, hull, software) is described by a continuous-time process with five condition levels S0–S4. Admissible transitions include stepwise degradations S0→S1→S2→S3→S4, operational jumps S0→S2 and S0→S3, and recoveries to the operable state S3→S0 and S4→S0.
We treat the transition intensities as functions of the mission profile wherever justified by the structure of inter-subsystem influences. In this way, both the risk of escalation and the likelihood of recovery follow directly from the operating conditions. This structure is expressed in matrix form as the generator Q, which serves as the starting point for further derivations of risk measures and decision rules.
Q i = ( λ + λ 4 + λ 5 ) λ λ 4 λ 5 0 0 0 λ 1 λ 1 0 0 0 0 0 λ 2 λ 1 0 0 μ 1 0 0 ( λ 3 + μ 1 ) λ 3 0 μ 0 0 0 ( μ + v ) v 0 0 0 0 0 0
Expanded Kolmogorov equations derived from the generator Q(t):
P 0 ( t ) = ( λ + λ 4 + λ 5 ) P 0 + μ 1 P 3 + μ P 4
P 1 ( t ) = λ P 0 λ 1 P 1
P 2 ( t ) = λ 1 P 1 λ 2 P 2 + λ 4 P 0
P 3 ( t ) = λ 2 P 2 ( λ 3 + μ 1 ) P 3 + λ 5 P 0
P 4 ( t ) = λ 3 P 3 ( μ + ν ) P 4
P L ( t ) = ν   P 4
Normalization and consistency condition. For a time step Δt (in the data: 5 min), on the interval [tk,t{k+1}), we take Qk = Q(tk) and compute: p{k+1} = pk · exp(Qk · Δt), where pk = [P0,P1,P2,P3,P4,PL] at time tk.
d d t k = 0 4 P k ( t ) = ν   P 4 ( t ) = P L ( t )                       k = 0 4 P k ( t ) + P L ( t ) 1
In this expression, the numerator corresponds to the sum of transition intensities λi(t) in Q(t) that lead from S3 to more degraded states, while the denominator contains all outgoing intensities from S3 (both degradative and restorative). This highlights that the probability reflects the balance between escalation pathways and available recovery routes.
For practical purposes, two classes of quantities are useful. The first describes the race between escalation and recovery in S3, namely the probability that from S3, the system escalates to S4 before recovery occurs:
P ( S 3 S 4   b e f o r e   L ) = 0 μ ( t ) e x p 0 t μ ( s ) + μ 1 ( s ) d s d t
Here, the restorative terms μi in Q(t) represent transitions returning the system from S3 to safer states (typically S1 or S0), and compete directly with the degradative rates. The ratio, therefore, quantifies the likelihood that recovery occurs before any further degradation.
P ( S 4 S 0   i n s t e a d   o f   S 3 S 0 ) = 0 λ 3 ( t ) e x p 0 t λ 3 ( s ) + ν ( s ) d s d t
In the case of S4, the transition ν to the absorbing loss state L represents the only degradative pathway, while μL denotes the available restorative transition. The resulting probability thus expresses the chance that the platform is recovered, rather than lost, once S4 is reached.
Including state L does not alter the logic of reserve management, as it remains a state reachable only after entering S4. The parameter ν encapsulates scenarios in which the recovery S4→S0 does not occur during the mission; it corresponds, for example, to severe flooding, permanent immobilization, or destruction of critical components.
The elements of the matrix have a physical interpretation and are not chosen arbitrarily; each transition intensity is a function of environmental conditions and, where structurally justified, the states of other subsystems. In this way, both the risk of escalation and the chance of recovery follow directly from the mission profile and the reserve architecture. From this perspective, two quantities of key practical importance are obtained immediately—the probability that in state S3, escalation to S4 occurs before recovery, and the probability of recovery from S4 instead of unit loss. The former reflects the balance between degradation dynamics and the effectiveness of switchover to redundancy, while the latter captures the compromise between recovery procedures and the risk of absorption.
The subsequent description relies on observed signals and their conditional emissions, which makes it possible to determine the posterior distributions of individual subsystem states, to aggregate them into the overall system state in accordance with continuation tolerances, and to apply a unified mission abort rule, followed by the reporting of risk measures and cumulative hazards at mission completion.
Transition intensities are treated as functions of the mission profile w(t), including in particular depth, z(t), temperature T(t), salinity S(t), current velocity u(t), and turbidity κ(t). Where justified by vehicle design, inter-subsystem couplings are admitted (reduced power health increases the degradation rate of propulsion). The unified representation takes the form:
θ     ( i ) ( t ) = θ 0     ( i ) β     ( i )   T w   ( t ) ·   g i X i ( t )
where θ—denotes any of the transition intensities {λ,λ1,λ2,λ3,λ4,λ5,μ1,μ,ν}, and g(i) is a function capturing the influence of the states of other subsystems (g = 1 + ρ1{ X p o w e r     2 ). Importantly, two measures with clear interpretation follow directly from this construction—the probability that in state S3, escalation to S4 occurs before recovery, equal to λ 3 λ 3 + μ 1 , the probability of recovery from S4 (instead of loss), equal to t μ μ   +   ν . These design levers clearly show what is worthwhile reinforcing, and why.
The states themselves are hidden; we do not observe them directly, but only through measurement streams characteristic of each subsystem. For power, these include V(t), I(t), internal cell resistance, and temperature; for propulsion, thruster currents and RPM along with controller temperatures; for control and navigation, depth and course error, DVL bottom-lock quality, and IMU pressure consistency; for communications, SNR, PER/BER, and delays; for sensing, SNR measures of optical or acoustic channels; for the hull, leak signals and possibly structural acoustics; and for software, loop times and watchdog events. We assume that the emission distribution of these observations depends on the current state and conditions, for example:
y i ( t ) / X i ( t ) = k ~ N ( μ i k ( w ( t ) ) , i k ( w ( t ) ) )
However, nothing prevents the use of nonlinear models or mixtures in specific channels. On this basis, we determine the posterior distributions πik(t) = P{Xi(t) = k/Y0:t,w0:t}, The state of the entire vehicle must synthesize divergent information from multiple subsystems. Aggregation cannot be purely arithmetic; it must reflect operational significance. We therefore introduce continuation tolerances τi and criticality levels. The principle is simple and consistent with practice: mission-blocking subsystems (power, propulsion, control/navigation) cannot reach S2 without affecting the global state; in other subsystems, certain deviations are permissible (hull in S1, software in S2) without changing the overall state. In algebraic form, we define penalties pi = αi [Xi-τi]+ with coefficients αi reflecting subsystem criticality, compute E(t) = maxipi(t), and map E onto levels S0…S4 through three decision thresholds. In practice, instead of raw states Xi, we use their posteriors πik(t), which yields a smooth, probabilistic assessment of the system state.
The mission abort decision is a stopping problem, but in operational terms, it can be stated clearly—abort if the probability that the aggregated state has reached an unacceptable level (at least S2) exceeds a prescribed threshold, or if the communication quality remains below the required minimum for a specified duration, rendering risk supervision unreliable. In compact notation:
τ = i n f t :     P G X t   S 2 / Y 0 : t   α     o r   P E R ^ ( t )   α l i n k Δ t
We see that both thresholds (α for the state and αlink for the communication link) have an unambiguous operational interpretation and can be calibrated to the mission profile.
Risk measures and post-mission assessment follow directly from the transition matrix. If, from Q, we extract the submatrix of transitions among transient states (the first 5 × 5, excluding L) and denote it by T, and if we write the transitions to L as a vector t (nonzero only in the row corresponding to S4), then the distribution of the time to AUV loss is given by
P ( τ L   T ) = 1 e S 0 T e x p ( T   ·   T ) 1 ,     E τ L = e S 0 T T 1 1
Analogous constructions are applied to compute the probability of entering {S3, S4} by time T for any subsystem. After mission completion, we report not only these probabilities and the final posteriors πik(T) but also the cumulative degradation hazard:
C u m H a z i ( T ) = 0 T k = 0 2 λ k ( i ) ( t ) π i k ( t ) d t
It is a natural numerical measure of the “consumed reliability budget” under given conditions.
To preserve concreteness and comparability across subsystems, The Table 3 below compiles the typical diagnostic observations, environmental factors, and representative forms of transition intensities in one place. All formulas are consistent with the general form θ0exp{βw} and with the logic of jumps and recovery.
Since the model is meant to serve decision-making rather than elegance for its own sake, we conclude it with a procedure for estimating quantities not directly available from mission logs and environmental data. The “continuous” intensities (λ,λ1,λ2,λ3) are calibrated as functions of covariates w(t) (in the style of Eyring/Cox), the jump intensities (λ4,λ5) are identified through event models based on defined triggers (loss of DVL, reset, thruster asymmetry, micro-leak), and the recovery and loss intensities (μ1,μ,ν) are estimated from observed recovery episodes and actual loss cases. We fit the emission parameters μik(w), Σik(w) in parallel, so that filtering over the above process yields reliable posteriors π i k (t). Finally, for each subsystem, we compute the probability of entering {S3,S4} by time T, the distribution of the time to the first such entry, the cumulative hazard CumHazi(T) and the terminal state distribution π i k (T). For higher states, we obtain neat closed-form expressions λ 3 λ 3 + μ 1 i μ ( μ   +   ν ) , which synthesize the risk of escalation and the chance of recovery. For the entire AUV, we report the probability of a “stop” decision according to the stopping rule, and the probability of loss before the end of the mission T; both quantities follow directly from the transition matrix and require no arbitrary presets.
Thus, the consistently derived model integrates three levels of description, physics, statistics, and decision, into a single coherent narrative, starting from degradation phenomena and reserve architecture, formalizing dynamics on the transition graph, embedding actual measurements, and concluding with unambiguous evaluation rules and action choices. In this way, the chapter provides a complete foundation for the subsequent parts, data acquisition, calibration, and finally, the presentation of results for reference missions.

4. Data Sources and Processing

At this stage, we move from the conceptual description of states to the data that support the operational decision, whether to continue the mission or abort it. The perspective is purely operational: we monitor how the system trajectory approaches states S3 and S4, and whether effective recovery actions occur S3→S0 (μ1) as a switchover to redundancy, and S4→S0 (μ) as a forced recovery (surfacing). These events, together with their environmental context, form the measurable background for the “continue/abort” decision.
The following are presented data provenance (Table 4), mission profile D1–D14 with instantaneous intensities λ and cumulative hazard CumHaz (Table 5), as well as definitions of the indicators R(t) and the instant tα used in decision-making and in subsystem-level summaries (Table 6). Units of intensity: s−1, Δt is derived from differences between consecutive timestamps.
Data originate from MBG-AUV onboard recorders (BMS/ESC logs and onboard buses), the navigation–control suite (IMU, DVL, depth), communication telemetry (acoustic modem and/or RF packets/ACK), operator event logs, and environmental profiling (CTD/ADCP, metoceanographic data). All streams are synchronized to UTC time.
Obtaining a measurement result begins with synchronizing all streams to UTC time. The data are then cleaned; and short gaps (<2Δt) are filled using controlled imputation. In practice, this refers only to very short single-sample gaps and is implemented as a linear interpolation between the two adjacent time-stamped measurements, ensuring that no artificial trends are introduced into the λi(t) calibration. Concurrently, units are standardized and ranges verified (sanity check). The entire procedure is fully replicable for any mission profile given access to the underlying telemetry streams, as all processing steps (UTC alignment, QC filtering, and exposure mapping) are deterministic and explicitly documented. From the prepared data, auxiliary variables are constructed (including TLdB, Rint, thruster asymmetry, DVL bottom-lock signal, and event markers). At each time step, instantaneous hazard intensities are determined for the critical subsystems λhull, λpower, λcomm (D6-D8, in s−1). Subsequently, hazard increments are accumulated Hi(t) = ∑λiΔt (D9-D11) and the indicators are computed Ri(t) = 1 − exp(−Hi(t)) (D12-D14). Finally, the quality of computations is verified (time coverage, monotonicity of Hi, non-negativity of λi) and decision summaries are prepared, namely Ri(T), tα and mission-level aggregates.
Based on the synchronized streams, we construct a sequence of segments D1-D14, where each row describes a mission interval using environmental and load descriptors along with the corresponding model columns. We apply the following mapping of columns to model parameters: D6 = λ3 (Hull, S3→S4), D7 = λ (Power, S0→S1), D8 = λ5 (Comm, S0→S3), D9-D11 = CumHazi, D12-D14 = Ri.
From the time rows in Table 5 (5 min step), we extract (a) the final values at time T, and (b) the first exceedance of the early-warning level αₑ = 0.10 for each subsystem. For that moment, we report the UTC timestamp, the number of minutes since mission start, the row index Dk (counted from 1, in 5 min steps), and the depth at the time of exceedance.
Time format note: In the column Time, when Risk ≥ 0.10 (UTC), we report the UTC timestamp of the first exceedance of the 0.10 level. Preferred format: dd.mm.yyyy HH:MM (UTC). For full unambiguity, an ISO 8601 representation may be given in parallel 2025-04-03 12:43Z.
The Comm subsystem dominates both cumulative hazard and risk at time T and is the only one to exceed the warning threshold of 0.10; this occurs at k = 5 (~20 min after start, depth ~167 m). Hull and Power remain below 0.10 over the analyzed interval. In Section 5, we apply a higher decision threshold (α = 0.90); under such a stringent criterion, no subsystem reaches the threshold within this dataset.
Table 5 presents the mission timeline in five-minute steps, where each row corresponds to a successive underwater segment described by environmental conditions (depth, temperature, salinity) and communication difficulty (TLdB). Alongside this, three current subsystem risks are shown (Hull/Power/Comm). These represent per-second values calculated for the given interval. Over time, the exposure accumulates, hence the monotonic growth of the CumHaz columns, while the Riski columns map this exposure onto the 0–1 scale, which is easier for operational interpretation. The final row of Table 5 gives the end-of-mission state, which directly feeds into Table 6, where subsystem-wise summaries and first exceedances of the warning threshold (here: 0.10; times reported in UTC) are collected.
Three operational measures were applied: (a) risk accumulation for each subsystem at time T (CumHazi(T) and Riski(T)), (b) the first warning signal—the first instant when the condition Riskiαe is met, reported with context (UTC time, minutes since start, row Dk, depth), and (c) the mission-level assessment. The values were derived directly from Table 5; the last row provided CumHazi(T) i Riski(T), and the first row with Riskiαₑ was identified (with full context reported). The overall assessment is reported in two variants: a weighted average (with predefined weights www) and the “at least one event” variant (assuming independence). This set of indicators provides the basis for an unambiguous “continue/abort” qualification and highlights the segments requiring mitigation before the next deployment.

5. Results

The risk assessment is based on mission profile time-series data combined with the formal CTMC description and is intended to support the “continue/abort” decision. Three perspectives are of interest: the risk level at the end of the mission (T), any exceedances of the defined decision threshold, the overall picture through aggregated measures, and the contribution of individual segments. The table layout reflects this sequence values at T for each subsystem, followed by verification against the threshold α = 0.90, then, the mission-level assessment and identification of hot segments of the trajectory. Conventions remain consistent, intensities are given in s−1, and Δt is computed directly from the data.
All configuration parameters listed in Table 7 follow directly from the native sampling resolution (Δt), the operational safety doctrine (αₑ and α), and the standard weighting policy used for mission-level evaluation. As summarized in Table 7, the mission consisted of 13 diagnostic segments with a nominal resolution of 5 min and a total duration of approximately 60 min. The corresponding end-of-mission risk measures for the main subsystems are presented in Table 8, which reports cumulative hazard and risk values at time T.
The values at T indicate that the Comm subsystem dominates the risk (≈0.291), while Hull and Power remain low (≈1.1% i ≈0.6%).
For clarity, the variable SegmentIndex used in Table 9, Table 10, Table 11, Table 12 and Table 13 denotes the time-segment identifier (Dk) corresponding to the discrete 5 min intervals of the primary dataset described in Table 6. Each segment represents one temporal step within the data series D1–D14 (ranging from UTC timestamps, environmental parameters, and instantaneous transition rates to cumulative hazards and risk measures). Thus, SegmentIndex = Dk serves as a reference to the specific time step from which risk or degradation indicators such as Riskhull, Riskpower, and Riskcomm were extracted. This indexing does not constitute an additional data column, but rather a positional pointer to the relevant row of the dataset used for model evaluation.
In the analyzed segment, no subsystem reaches the threshold α = 0.90—not even Communications, despite being the weakest subsystem.
In Table 9, the SegmentIndex column remains intentionally blank, as no mission segment fulfilled the threshold condition for the analyzed variable. In the subsequent Table 11, Table 12 and Table 13, the corresponding indices are explicitly provided to indicate the exact time segments at which the subsystem-specific risk values and degradation states were registered.
The weighted-average assessment is moderate (≈0.102, operational variant ≈ 0.079), while under the independence assumption the probability of at least one event by T is ≈0.302. For the operational decision R M w was adopted with weights wᴼ = [0.40, 0.35, 0.25]. Since the threshold α = 0.90 was not reached, the decision is continued (no grounds for abort).
The final dive segment (~342–400 m) accounts for approximately ~27% of the total Comm exposure; this is the most reasonable area to target mitigation measures (communication windows, trajectory adjustments, transmitter power/relay).
The increments for Hull are small and evenly distributed, with no segments requiring immediate action.
Power shows no critical jumps, and the relative contributions from the initial part of the run are minor in absolute terms.
The analysis indicates that the Comm subsystem shapes the end-of-mission risk assessment and is the only one to generate an early-warning signal (Risk ≥ 0.10) about 20 min after the start, at a depth of ~167 m. The Hull and Power subsystems remain in the low-risk zone throughout the analyzed interval, confirming their resilience under the given conditions. The decision threshold α = 0.90 was not reached; therefore, under the adopted assumptions, there were no grounds for abort, and the profile could be continued. The results also highlight the direction for mitigation Comm exposure should be reduced in the final phase of the profile (trajectory adjustment, communication windows, transmitter power/relay). The obtained indicators Ri(T), the time of first warning, and the two mission-level assessments (weighted and independence-based) provide a solid foundation for variant comparisons and sensitivity analyses in the subsequent parts of the study.
These time-to-threshold values (~19 h, ~125 h and ~416 h) follow directly from a constant-rate extrapolation λi = Hi(T)/T obtained from the 60 min profile and are, therefore, intended as comparative indicators rather than mission forecasts.
The table shows that Comm has the shortest time to S4 (~6.7 h under the approximate constant λ assumption), while Hull and Power remain far from the critical threshold. Empty rows will be completed once the missing streams are provided (rules and signals in Table 14), without the need to expand Table 5.
In the analyzed dataset, the abort decision (α = 0.90) is determined solely by the considered streams Hull/Power/Comm. The remaining subsystems (Propulsion, Control, Sensors, Software) did not influence the abort decision in this analysis, as they were not included in the input data. In other operational profiles, however, their impact may be significant. The evolution of subsystem risk over the mission timeline is summarized in Figure 6.
Risk trajectories Ri(t) = 1 − exp[−Hi(t)] for Hull, Power, and Comm over the mission timeline. The hazard Hi is accumulated from instantaneous intensities λi (units s−1) and Δt steps derived directly from UTC timestamps in Table 5. A clear scale separation is visible: Comm grows steeply and drives the overall mission assessment, while Hull and Power maintain low risk levels. At the end of the profile: RC(T) ≈ 0.291, RH(T) ≈ 0.011, RP(T) ≈ 0.006. This difference identifies Communications as the main reliability limitation under the examined conditions. The cumulative hazard accumulation for the three subsystems is presented in Figure 7.
Cumulative hazard Hi(t) = ∑kλi(k) Δtk for the three subsystem. The curves are monotonic (each segment contributes δHi = λiΔt), and their slope reflects local exposure/conditions. Final values are as follows: HC(T) ≈ 0.344, HH(T) ≈ 0.0106, HP(T) ≈ 0.0060. The change in the growth rate of HC near the end of the profile correlates with increasing TLdB and depth. Figure 8 illustrates the instantaneous transition intensities λi(t) computed in 5-minute windows.
Instantaneous intensities λi(t) (D6–D8) in 5 min windows. The Y-axis shows transition rates (s−1), and the X-axis shows mission time. λC(t) exhibits an upward trend with deteriorating propagation, whereas λH(t) and λP(t) remain an order of magnitude lowering. These profiles drive the dynamics of Hi(t) and underpin the subsequent threshold plots. The risk trajectories compared against the early-warning and abort thresholds are shown in Figure 9.
Risk trajectories Ri(t) with thresholds αe = 0.10 (early warning) and α = 0.90 (abort threshold) overlaid. The first exceedance of αe occurs for Comm after ~20 min at a depth of ~167 m (segment Dk = 5). The decision threshold α is not reached, confirming the feasibility of mission continuation under the analyzed conditions. Figure 10 depicts the dependence of the communication subsystem risk on propagation losses (TLdB).
Dependence of RC on propagation losses (TLdB), shown pointwise per segment. The relationship is increasing and close to exponential: higher losses shift the risk distribution toward higher levels and shorten the time to thresholds. In practice, this means that communication windows (or trajectory/power/relay adjustments) are the most effective levers for reducing RC. The relationship between communication risk and depth across the mission is visualized in Figure 11.
Dependence of RC on depth. The early-warning threshold αe is reached at ~165–170 m; below this range, communication risk remains low, while above it, the risk increases progressively faster. This aligns with the final descent phase (segments Dk 11–13) and with the Pareto results. Figure 12 provides the Pareto ranking of segment-level contributions to the communication hazard.
Pareto contributions of segments to HC. The largest share comes from the three final descent segments Dk 11–13, accounting together for ~27% of the Comm hazard. These are the natural targets for mitigation (transmission windows, re-trajectory adjustments, power/relay), since any improvement in these segments yields the greatest reduction in risk. Mission-level reliability, aggregated using equal and operational weights, is presented in Figure 13.
Mission-level measures over time R M w ( t ) (weighted aggregation, shown for both equal and operational weights) and S M Π ( t ) i ( 1 R i ( t ) ) under the assumption of subsystem independence. Both assessments remain well below the threshold α = 0.90, the difference between the weighting variants reflects operational preferences (greater emphasis on communications lowers the assessment slightly more). Figure 14 shows the extrapolated mission-level reliability curve over a 4-hour operational horizon.
Mission reliability S M Π ( t ) over a 4 h horizon, obtained by neutral extrapolation of the 60 min profile (repetition of the ΔH sequence). The curve shows the pure effect of hazard accumulation without any change in the environmental regime and serves as a baseline for comparing variants of mission duration, trajectory, or communication-window policies. The structural-risk trajectory for the Hull subsystem is shown in Figure 15.
The entire trajectory remains in the S0 zone (below 0.10), with the final RH(T) on the order of 1%. No signs of escalation are visible in the data (no growth in λH), indicating a comfortable structural margin for the analyzed depth and duration. Figure 16 displays the communication-reliability curve SC(t) together with the S1–S4 threshold markers.
Reliability curve SC(t) = exp(−λCt) with vertical markers S1–S4. The rate λC was estimated from HC(T)/T (60 min). Characteristic readings: S2 (corresponding to R = 0.10) at ~0.3 h, S3 (R = 0.50) at ~2 h, and S4 (R = 0.90) at ~7 h. The common X-axis scale enables direct comparison of horizons across subsystems; Communications clearly has the shortest time to critical states. The reliability trajectory SH(t) for the Hull subsystem, including S-state markers, is depicted in Figure 17.
The estimated times are on the order of ∼11 h (S2), ∼72 h (S3), and ∼238 h (S4), which confirms that under a 60 min exposure the structural risk remains negligible. The figure serves as a reference point for longer tasks (anchoring duties) or missions at greater depths. Figure 18 illustrates the reliability profile SP(t) for the Power subsystem along with the S-state threshold
The horizons to the thresholds are the longest among the three subsystems: ∼19 h (S2), ∼125 h (S3), ∼416 h (S4). In practice, this means that in this profile, the power system does not constrain the operational decision, but in long drifting missions or under high loads, it is advisable to monitor the Rint trend and the Eres/Eneed margin (Figure 18).

6. Discussion

The obtained results form a clear picture of risk exposure for the analyzed MBG-AUV mission. Firstly, the bottleneck is acoustic communication: the cumulative hazard for Comm leads to RComm(T) = 0.291 and to an early crossing of the warning threshold R ≥ 0.10 around the 20th minute, at a depth of ~167 m. Secondly, the hard resources (hull/structure and power) remain in the low-risk zone throughout the horizon, with RHull(T) = 0.011, RPower(T) = 0.006. Thirdly, the aggregation method at the mission level is of significant importance: for equal weights of the three subsystems, we obtain R M w (T) = 0.102, whereas under the independence assumption R M (T) = 1     i (1 − Ri) = 0.302, the difference of 0.10 vs. 0.30 demonstrates that the choice of mission metric (and subsystem weights wi) must be explicit and agreed to operationally prior to the mission.
In coastal and shelf missions, it is the acoustic channel that degrades most rapidly: rising propagation losses (TLdB), path geometry, and increasing distance cause SNR to drop; PER/BER to increase; and RTT to extend. These exact signals feed into the communication intensity λComm(t) (column D8) and accumulate hazard at the actual time intervals Δtk. The parameter ranges of λ i ( t ) and the effects of environmental drift follow directly from the observed environmental and operational signals and are not imposed arbitrarily; the model, therefore, reflects the actual mission exposure exactly as recorded in the telemetry logs. For Hull and Power, the exposure profile in this mission was mild: the depths and rates of pressure change did not generate escalating leakage risk, and energy reserves did not approach termination regions nor indicate significant aging within the analyzed T. This risk structure aligns with operational practice in AUVs and with numerous reports that links and navigation more often determine mission margins, while structure and energy, when properly designed, rarely constrain short profiles.
From the mission command perspective, the results provide three things: (a) the time of the first warning (here ~20 min), which can be synchronized with a communication window/operational event; (b) subsystem ranking by contribution to risk (CommHullPower); (c) the numerical state at T, which can be directly inserted into the “continue/abort” decision rule. In practice, mitigations should be directed primarily towards the link: shallower trajectory in the critical segment, correction of communication windows (more frequent/shorter), relay/surface gateway, or higher transmitter power (if the energy budget allows). For Control/Navigation (once these subsystems are included in the full dataset), similar roles are played by decisions about maintaining DVL bottom-lock (altitude above seabed, avoiding sediments). For Power, load profile and monitoring ΔRint are relevant.
Many field studies with AUVs indicate that the acoustic channel is the most fragile element of the reliability chain, especially in shallow waters and complex bathymetry. The results presented here confirm this intuition quantitatively. At the same time, the applied time-varying (exposure-dependent) hazard and integration over actual Δt intervals move beyond the classical stationary CTMC view and better fit onboard telemetry with UTC timestamps. This translates into interpretability: every number in Table 7, Table 8, Table 9, Table 10, Table 11, Table 12, Table 13, Table 14 and Table 15 can be directly read on the state graph (Figure 2) and signal map (Table 1 and Table 2).
Two aspects are particularly sensitive:
  • Warning threshold α. Changing α shifts the time of the first alarm: a lower threshold triggers earlier (more conservative), a higher threshold later (more tolerant). For this mission, α = 0.10 generated a warning at ~20 min, with α = 0.20, the alarm would shift significantly deeper into the profile. The choice of α\alphaα should depend on tasks (mapping vs. intervention) and acceptable abort costs.
  • Weights wi and aggregation function. Even simple weighting scenarios show Comm dominance: for (wComm,wHull,wPower) = (0.5, 0.25, 0.25) we obtain   R M w     =   0 .150, and for (0.7, 0.15, 0.15) R M   w ≈ 0.206. Regardless of weight selection, the multiplicative metric R M gives a clearly higher assessment (0.302) than the weighted average (0.102), which must be explicitly communicated to operators.
The calculations are based on three subsystems (Comm, Hull, Power), as these intensities λi(t) were available in data D6–D8. The other four subsystems (Propulsion, Control/Nav, Sensors, Software) are currently described qualitatively and in the factor map.
Calibration of intensities (Table 1) is simplified and does not cover parameter uncertainty; no full Bayesian identification or cross-validation was performed. An independence was assumed in R M , aggregation, whereas actual interdependencies (bottom-lock loss ↔ PER increase) may alter results. A natural extension of the present framework is the explicit modeling of subsystem dependencies, for example, through correlated transition intensities or copula-based risk aggregation, particularly when multi-mission datasets become available. The analysis covers one mission/profile; generalizations require multi-session datasets under varying acoustic and energy conditions. The “no L” variant does not yet include an explicit platform loss model (transition ν: S4→L); in practice, ν should be modeled and reported separately for high-risk profiles.
The presented approach shows that CTMC with exposure-driven intensities and integration over actual Δt effectively captures operational state logic with telemetry. This allows derivation of threshold times (early warning), values Ri(T), and mission aggregates directly from data, without arbitrary averaging over fixed intervals.
Future research directions will include extending the model to all seven subsystems and full calibration of λi(t) with exponential models incorporating covariates (depth, TLdB, temperature, ΔRint); hierarchical Bayesian identification and uncertainty intervals for Hi(T) and Ri(T); inter-subsystem couplings (Control/Nav↔Comm) and time-dependent returns μ1(t),μ(t); introduction and calibration of the platform loss arc ν: S4→L with a dedicated decision rule, integration with trajectory planning (risk-aware routing) to control TLdB exposure and maintain bottom-lock while respecting the energy budget.
For the considered mission profile, communication determines risk assessment and the moment of the first warning, while Power and Hull ensure a comfortable margin. The method (CTMC + Δt from data) provides operational, time-comparable indicators and naturally links them to the S0–S4 graph. Extending it to the full seven subsystems and incorporating uncertainty will enable more formal and defensible “continue/abort” decisions under diverse conditions.

7. Conclusions

The proposed methodology links the state graph S0–S4 with MBG-AUV telemetry through a Markov chain with exposure-driven intensities and integration over actual time intervals Δt derived from UTC timestamps. As a result, the obtained indicators are both interpretable (each change can be assigned to a specific graph arc and mission profile segment) and operational (suitable for direct use in the “continue/abort” rule). In the analyzed 60 min mission profile, the final subsystem risks were RComm(T) ≈ 0.29, RHull(T) ≈ 0.011, and RPower(T) ≈ 0.006, and the first warning threshold (αₑ = 0.10) was crossed after ~20 min at a depth of ~167 m. In the analyzed profile, the dominant carrier of risk proved to be acoustic communication; while hull and power maintained low levels of threat, the difference between weighted and multiplicative aggregation shows that the choice of mission metric and subsystem weights must be defined prior to launch and explicitly communicated.
From a theoretical perspective, the key point is that the intensities λi(t) are functions of environmental and onboard signals (TLdB, bottom-lock availability, ΔRint), other than constant parameters. This formulation strengthens the link between the observed exposure and decision variables, enables reliable estimation of the time of the first warning, and facilitates mission comparisons without arbitrary averaging.
In practice, the mission state assessment procedure involves synchronizing subsystem streams in UTC, performing quality control and unit harmonization, and then mapping data columns to instantaneous transition intensities in accordance with the conventions (D6→λ3 for Hull, D7→λ for Power, D8→λ5 for Communications), with the time step Δt directly obtained from successive timestamp differences. These intensities are integrated along the mission–time axis to determine cumulative hazard Hi(t) and risk Ri(t), with parallel monitoring of the first crossing of the warning threshold αe, along with operational context (segment, depth).
For clarity, cumulative risk is obtained by aggregating the exposure increments implied by the time-resolved intensities, following the standard interpretation used in continuous-time reliability models Mission-level assessment is computed in two ways; first, as the weighted average R M w (t) with predefined weights wi, and second, as the independence-based estimate R M (t). These values are then compared to thresholds αe and α, to decide whether to continue, apply mitigation targeted at the dominant subsystem, or abort in accordance with the safety procedure and available return μ.
Operationally, this translates into earlier warnings and precise targeting of mission actions towards managing link exposure (trajectory, transmission windows, possible relay/surfacing), while maintaining a comfortable energy margin without hardware intervention. The methodology is scalable to subsequent profiles and ready for implementation in ground/onboard tools, as all quantities remain notationally consistent with the model in Section 3.
The limitation of this iteration is the lack of calibrated intensities for the four remaining subsystems and the absence of an explicit model for the loss arc ν: S4→L. Extending the framework to Propulsion, Control/Nav, Sensors, and Software in the same formalism and incorporating inter-subsystem dependencies and parameter uncertainty will complete the full reliability picture. Nevertheless, even at this stage, we obtain a measurable, traceable, and operational description of mission risk that supports the planning, execution, and debriefing of MBG-AUV tasks.

Author Contributions

Conceptualization, methodology, project administration, M.W.; formal analysis, validation, visualization, D.B.; software, investigation, O.G.; resources, data curation, writing—original draft preparation, B.K.; writing—review and editing, funding acquisition, S.D. All authors have read and agreed to the published version of the manuscript.

Funding

This research received no external funding.

Institutional Review Board Statement

Not applicable.

Informed Consent Statement

Not applicable.

Data Availability Statement

The original contributions presented in this study are included in the article. Further inquiries can be directed to the corresponding author.

Acknowledgments

The authors express their gratitude for the administrative and technical support provided during the preparation of this work.

Conflicts of Interest

The authors declare no conflicts of interest.

Abbreviations

AUVAutonomous Underwater Vehicle
MBG-AUVMarkBasket Autonomous Underwater Vehicle (experimental platform)
CTMCContinuous-Time Markov Chain
NH-CTMCNon-Homogeneous Continuous-Time Markov Chain
BMSBattery Management System
ESCElectronic Speed Controller
IMUInertial Measurement Unit
DVLDoppler Velocity Log
CTDConductivity–Temperature–Depth Profiler
ADCPAcoustic Doppler Current Profiler
CPUCentral Processing Unit
UWAUnderwater Acoustic (Network)
RFRadio Frequency
SoCState of Charge
QCQuality Control
SNRSignal-to-Noise Ratio
PERPacket Error Rate
BERBit Error Rate
RTTRound-Trip Time
TLdBTransmission Loss in decibels
AEAcoustic Emission
RintInternal Resistance
WiSubsystem Weights in Risk Assessment
CumHazCumulative Hazard
Ri(t)Risk Function of Subsystem i over Time
ΔtTime Step
UTCCoordinated Universal Time
TLTransmission Loss
NaAcoustic Noise Level
Eres/EneedEnergy Reserve/Energy Demand
ψFunctional Transition Trigger
μ, μ1, νRecovery and Loss Intensities
λ, λ15Degradation Transition Intensities
α, αₑDecision and Warning Thresholds
w(t)Mission Profile (Environmental Load)
Hi(t)Hazard Function
SC(t)Reliability of Communication Subsystem
SH(t), SP(t)Reliability of Hull and Power Subsystems
PLAbsorbing Loss State
θ, θR, θPER, θQDiagnostic Threshold Parameters
tα, t0, TTime Markers (Decision, Start, End)
z(t), T(t), S(t), u(t), κ(t)Depth, Temperature, Salinity, Current, Turbidity
E(t)Aggregated Degradation Measure
πik(t)Posterior Probability of State k in Subsystem i
τiMission Continuation Tolerance
g(i)Coupling Function between Subsystems

References

  1. Woźniak, M.; Duer, S.; Zajkowski, K.; Stawowy, M.; Harničárová, M.; Duer, R. Analysis and assessment of the reliability of the operation process of a complex, diagnosed technical facility in 5-value logic. Inżynieria Bezpieczeństwa Obiektów Antropog. 2023, 4, 60–70. [Google Scholar] [CrossRef]
  2. Chen, X.; Bose, N.; Zou, T. A Review of Risk Analysis Research for the Operation of Autonomous Underwater Vehicles. Reliab. Eng. Syst. Saf. 2021, 214, 108011. [Google Scholar] [CrossRef]
  3. Noh, J. Fuzzy Fault Tree Analysis for Autonomous Underwater Vehicles with Explanatory Simulation. J. Mar. Sci. Eng. 2023, 11, 1976. [Google Scholar] [CrossRef]
  4. Campagnaro, A.; Guerra, F.; Cenedese, A.; Zorzi, M. Acoustic Underwater Channel Modeling with Map-Based Link Quality Evaluation. Electronics 2022, 11, 2262. [Google Scholar] [CrossRef]
  5. Tal, A.; Klein, I.; Katz, R. INS/DVL Odometry-Aided Navigation with Partial DVL Bottom-Lock. Sensors 2017, 17, 415. [Google Scholar] [CrossRef]
  6. Pan, R.; Shi, Z.; Li, X. Underwater Doppler Navigation with Self-Calibrating Short-Baseline Ranging. J. Navig. 2016, 69, 807–823. [Google Scholar] [CrossRef]
  7. Yao, L.; Xu, S.; Tang, A.; Zhou, F.; Hou, J.; Xiao, Y.; Fu, Z. A Review of Lithium-Ion Battery State of Health Estimation and Prediction Methods. World Electr. Veh. J. 2021, 12, 113. [Google Scholar] [CrossRef]
  8. Gong, K.; Wen, H.; Liu, L.; Xu, P.; Shi, J. WPCN-Based Underwater Acoustic Communications with Double-Threshold Age Constraint. Sensors 2023, 23, 4668. [Google Scholar] [CrossRef]
  9. Li, X.; Han, X.; Chen, L.; Pang, J.; Li, J.; Jiang, Q.; Li, J. Reliability Analysis of Phased Mission System with Non-Exponential Sojourn Time. Reliab. Eng. Syst. Saf. 2018, 175, 119–127. [Google Scholar] [CrossRef]
  10. Brito, M.P. Updating Autonomous Underwater Vehicle Risk Based on the Observed Environment. J. Atmos. Ocean. Technol. 2018, 35, 797–815. [Google Scholar] [CrossRef]
  11. Hegde, J.; Henriksen, E.H.; Utne, I.B.; Schjølberg, I. Development of Safety Envelopes and Subsea Traffic Rules for Autonomous Remotely Operated Vehicles. J. Loss Prev. Process Ind. 2019, 60, 145–158. [Google Scholar] [CrossRef]
  12. Domingos, L.C.F.; Morgado-Dias, F.; Simões, N. A Survey of Underwater Acoustic Data Classification Using Deep Learning. Sensors 2022, 22, 2181. [Google Scholar] [CrossRef] [PubMed]
  13. Gubarevych, O.; Goolak, S.; Daki, O.; Yakusevych, Y. Determining an additional diagnostic parameter for improving the accuracy of assessment of the condition of stator windings in an induction motor. East.-Eur. J. Enterp. Technol. 2021, 5, 21–29. [Google Scholar] [CrossRef]
  14. Epstein, B.; Weissman, I. Mathematical Models for Systems Reliability; CRC Press: Boca Raton, FL, USA; Taylor & Francis Group: Abingdon, UK, 2008. [Google Scholar]
  15. Jin, T. Reliability Engineering and Service; John Wiley & Sons: Hoboken, NJ, USA, 2019. [Google Scholar]
  16. Stawowy, M.; Rosiński, A.; Siergiejczyk, M.; Perlicki, K. Quality and Reliability-Exploitation Modeling of Power Supply Systems. Energies 2021, 14, 2727. [Google Scholar] [CrossRef]
  17. Xiong, F.; Ji, X.; Wei, D.; Li, G. Reliability Assessment of Micro Grid Power Supply System Based on D-Vine Copula Model. In Advanced Manufacturing and Automation X. IWAMA 2020, Lecture Notes in Electrical Engineering; Springer: Singapore, 2021; Volume 737. [Google Scholar] [CrossRef]
Figure 1. Scenario diagram for the MBG-AUV mission. The flowchart shows the sequence from mission and environmental context, through telemetry acquisition and data processing, estimation of time-varying transition intensities λi(t), and the computation of cumulative hazard Hi(t) and risk Ri(t), up to the mission-level decision (“continue/mitigate/abort”).
Figure 1. Scenario diagram for the MBG-AUV mission. The flowchart shows the sequence from mission and environmental context, through telemetry acquisition and data processing, estimation of time-varying transition intensities λi(t), and the computation of cumulative hazard Hi(t) and risk Ri(t), up to the mission-level decision (“continue/mitigate/abort”).
Applsci 15 12533 g001
Figure 2. MarkBasket-AUV Graph.
Figure 2. MarkBasket-AUV Graph.
Applsci 15 12533 g002
Figure 3. Seven subsystems, hub-and-spoke circular view.
Figure 3. Seven subsystems, hub-and-spoke circular view.
Applsci 15 12533 g003
Figure 4. Data flow from logs to decision.
Figure 4. Data flow from logs to decision.
Applsci 15 12533 g004
Figure 5. MarkBasket-AUV (MBG-AUV) with additional relation L.
Figure 5. MarkBasket-AUV (MBG-AUV) with additional relation L.
Applsci 15 12533 g005
Figure 6. Risk over time (Ri(t)).
Figure 6. Risk over time (Ri(t)).
Applsci 15 12533 g006
Figure 7. Cumulative hazard over time (Hi(t)).
Figure 7. Cumulative hazard over time (Hi(t)).
Applsci 15 12533 g007
Figure 8. Segment contributions (Comm).
Figure 8. Segment contributions (Comm).
Applsci 15 12533 g008
Figure 9. Risk with thresholds (0.10, 0.90).
Figure 9. Risk with thresholds (0.10, 0.90).
Applsci 15 12533 g009
Figure 10. Instantaneous hazards λi(t).
Figure 10. Instantaneous hazards λi(t).
Applsci 15 12533 g010
Figure 11. Comm risk vs. depth over time.
Figure 11. Comm risk vs. depth over time.
Applsci 15 12533 g011
Figure 12. Pareto of segment contributions (Comm).
Figure 12. Pareto of segment contributions (Comm).
Applsci 15 12533 g012
Figure 13. Mission-level reliability over time (60 min).
Figure 13. Mission-level reliability over time (60 min).
Applsci 15 12533 g013
Figure 14. Mission-level reliability over time (4 h, repeated-profile extrapolation).
Figure 14. Mission-level reliability over time (4 h, repeated-profile extrapolation).
Applsci 15 12533 g014
Figure 15. Hull: risk RH(t) with thresholds.
Figure 15. Hull: risk RH(t) with thresholds.
Applsci 15 12533 g015
Figure 16. Reliability SC(t) with S1–S4 markers.
Figure 16. Reliability SC(t) with S1–S4 markers.
Applsci 15 12533 g016
Figure 17. Reliability SH(t) with S1–S4 markers.
Figure 17. Reliability SH(t) with S1–S4 markers.
Applsci 15 12533 g017
Figure 18. Reliability SP(t) with S1–S4 markers.
Figure 18. Reliability SP(t) with S1–S4 markers.
Applsci 15 12533 g018
Table 1. Operating/environmental factors and affected subsystems (MBG-AUV).
Table 1. Operating/environmental factors and affected subsystems (MBG-AUV).
Factor (Symbol)Mechanism of ActionMost Exposed SubsystemsTypical Effect in OperationExample Signals/Metrics
Depth/pressure (z, p)Higher stresses, leak riskHull/Structure, Power (compartments), Pressure sensors, Control/Nav↑λ(hull); ψ04 (breach); harder safe surfacingp(z), leak flag, strain/AE, depth-sensor drift
Water temperature (T)Conductivity/viscosity change, agingPower and electronics, Propulsion↑λ(power/elec); ψ03 (thermal throttling → steering margin)V–I under load, Rint trend, TESC, Tcell, CPU temp
Salinity/conductivity (S, σ)Corrosion, insulation degradationHull, Power, Comm (connectors), Sensors↑λ(hull/power); ψ03 (shorts)Leakage current, connector logs, BMS faults
Currents/waves (u)Higher hydrodynamic load, asymmetryPropulsion, Control/Nav, Power↑λ(prop); ψ03 (loss of controllability); μ1 harderIthr vs. RPM, differential loads, energy/km
Turbidity/optical attenuation (κ)Optical SNR dropSensors (vision)↑λ(sensors) → quality loss; ψ02 (switch to backup)Camera SNR, HDR/ISO, contrast/scatter, detection errors
Acoustic propagation loss/noise (TLdB, Na)Link/DVL/sonar SNR dropComm, Control/Nav (DVL), Acoustic sensors↑λ(comm/nav); ψ03 (link loss), μ may fail remotelySNR, PER/BER, RTT, packet loss, DVL bottom-lock quality
Biofouling/growthDrag increase, sensor attenuationPropulsion, Sensors, Hull↑λ(prop/sens) (degradation); ψ02More power at same speed, sensor SNR drop
Collision/entanglement/impactInstant mechanical damageHull, Propulsion, Sensors, Control/Navψ04 (or ψ03)Shock accel., thruster stall, attitude alarms
Local leak (L)Water ingress, shorts, buoyancy lossHull, Power, Electronicsψ04 (breach); ↑λ(corrosion); μ less effectiveHumidity/conductivity probes, flood sensors, voltage sag
Magnetic/EM disturbancesCompass error, electronics interferenceControl/Nav, Comm↑λ(nav); ψ03 (course error → loss of position)Heading deviation, IMU/DVL inconsistency
Link geometry/distance (R, multipath)Higher TL, worse connectivityComm↑λ(comm); ψ03 (blackout)SNR vs. range, windowed PER, missing ACK
Mission time/fatigueAccumulated wear and driftsPower, Propulsion, Sensors, Hull↑λ(all) after thresholdsRint drift, higher energy/km, sensor bias
Electronics temperature (Telec)Derating, throttling, resetsPower/ESC, Software, Comm↑λ(elec/sw); ψ03 (watchdog)TESC/CPU, watchdog/reset counters
Proximity to seafloor/terrainContact risk, DVL issuesControl/Nav, Hull, Sensors↑λ(control); ψ03 (bottom-lock loss, contact)DVL quality, depth error, proximity alarms
Table 2. Interpretation of graph transitions (common across subsystems).
Table 2. Interpretation of graph transitions (common across subsystems).
TransitionTypeMost Frequent Triggers (Conditions)What is Observed (Signals)
S0 → S1 (λ)degradationLong-term T↑/z↑/S↑, biofouling onsetSlight ↑power per km, sporadic packet errors, small sensor drift
S1 → S2 (λ1)degradationIncreasing hydro loads, battery agingRint↑, energy reserve drop, thruster asymmetry
S2 → S3 (λ2)degradationEnergy limit at currents; loss of referencesNo DVL bottom-lock, growing depth/heading error
S3 → S4 (λ3)degradationController cannot stabilize; actuator saturationHigh control error, regulator alarms, oscillations
S0 → S2 (λ4)jumpCritical sensor failure with redundancy; watchdogStep-like performance drop, mode change
S0 → S3 (λ5)jumpAcoustic-link blackout; micro-leak with trend; sudden energy-margin fallPER spikes, missing ACK, leak trace L > 0↑, Eres/Eneed
S3 → S0 (μ1)restorationSwitch to reserve; recovered link; stabilized controller“backup” flags, link regained, errors stabilize
S4 → S0 (μ)restorationDrop-weight + surfacing; hard reset; beacon recoveryEmergency telemetry returns; recovery mode active
S4 → L (ν)*absorbing lossDeep flooding; power lost beyond reserve; entanglement/collisionNo telemetry after T*, no ACK from buoy/beacon
Table 3. Subsystems, observations, factors, example intensities.
Table 3. Subsystems, observations, factors, example intensities.
SubsystemKey Observations yiEnvironmental/Operational Factors wExample Intensities
Power systemV, I, Rint, TcellT, zλ, λ1 = λ0 exp(β1T + β2z); λ4 = κ1 1{ΔR/R > θR}; μ = μ0 exp(−ηTT)
PropulsionIthr, RPM, TESCu, Tλ2 = λ2,0 exp(γu); (λ5= κ2)
Control and navigationdepth/heading error, DVL lock, IMU-pressure u, zλ2 = λ2,0 exp(η1u); λ5 = κ3 1{DVL lost}; μ1 = μ1,0 exp(−ηzz)
CommSNR, PER/BER, RTTtransmission loss (TL), noise Naλ = λ0 exp(ξ TL); λ5 = κ4 1{PER > θPER ∧ Δt}
Mission sensorsoptical/acoustic SNR, biasesκ, zλ1 = λ1,0 exp(ζκ); λ4 = κ5 1{redundant sensor failure}
Hull/structureleak sensors L, AE/strainz, Sλ3 = λ3,0 exp(α1z + α2S); λ5 = κ6 1{L > Lwarn}; ν = ν0 1{L > Lcrit}
Onboard softwarewatchdogs, loop time, TCPUTCPUλ = λ0 exp(χTCPU); λ4 = κ7 1{watchdog reset}
Table 4. Data sources and preprocessing (provenance and usage).
Table 4. Data sources and preprocessing (provenance and usage).
Source/SystemData ProvenanceSignals (Symbols)Frequency/TimestampUnitsQC (Checks)Derived Variables (Examples)Model Usage (λ/ψ/μ)
PowerOnboard BMS logs (MBG AUV archive, mission [ID], firmware [ver])V, I, Rint, Tcell, Eres/Eneed1–10 Hz/UTCV, A, Ω, °C, —outliers, saturations, missing recordsΔRint/Rint, discharge/SoC trends, throttling episodesλP = λP(S0→S1); ψ0→1 thresholds; info for μ (energy-recovery)
PropulsionESC/thruster logs (MBG AUV archive, mission [ID], firmware [ver])Ithr(A/B), RPM(A/B), control demand, TESC1–50 Hz/UTCA, RPM, —, °Casymmetry spikes, sensor dropouts, actuator saturationcurrent asymmetry, torque proxy, load uλprop; ψ0→2 (asymmetry > θasym), ψ2→3 (saturation > θsat); μ (mode change)
Control/navigationIMU, DVL, depth, flight-controller logsheading/depth errors, z(t), IMU drift, DVL bottom-lock10–100 Hz/UTC°, m, —vector consistency, drift, DVL lockbottom-lock flags, drift rate, instability windowsλctrl (affects S2/S3); ψ0→2/ψ2→3; contributes to S2→S3, S3→S4
CommAcoustic/RF modem telemetry (SNR, PER/BER, RTT), comm windowsSNR, PER/BER, RTT, TLdBevent-driven/packet-time (UTC)dB, —, ms, dBsequence consistency, timeouts, missing ACKwindowed PER, mean TLdBλC (e.g., λC ∝ exp(ξ·TLdB)); ψ0→3 (blackout), ψ0→2 (high RTT)
Sensors (opt./acoustic)Sensor streams and quality flagsSNR, quality/detection flags1–30 Hz/UTCdB, —spikes, buffer drops, saturationquality metrics (HDR/ISO, scatter), detection errorψ0→2 (functional transitions); covariates to λsens
Hull/structurePressure/depth, flooding/leak sensorsz(t), structural stress S, leak L1–10 Hz/UTCm, —, —physical ranges, no unrealistic jumpsdepth trend, leak onset/growthλH (e.g., λH ∝ exp(α1z + α2S)); ψ0→3 (L > 0), ψ3→4 (L↑)
EnvironmentCTD/ADCP, models/buoysT(t), S(t), u(t), κ(t), TLdB, Na0.1–1 Hz/UTC or by segments°C, PSU, m/s, —, dB, —physical ranges, continuityTLdB, hydrodynamic load indicescovariates in λ (e.g., λ ∝ exp(β1T + β2z))
Units (symbols) glossary. V—volt (electric potential), A—ampere (current), Ω—ohm (internal resistance Rint), °C—degree Celsius (temperature), RPM—revolutions per minute, ms—millisecond, s—second (hazards in s−1), Hz—samples per second, dB—decibel (SNR, TLdB), m—meter (depth z), m/s—meter per second (currents u), PSU—Practical Salinity Unit, “—”—dimensionless indicator (flags, ratios, PER/BER), SNR—signal-to-noise ratio (dB), PER/BER—packet/bit error rate (fraction), RTT—round-trip time (ms), TLdB—transmission loss in dB, κ—optical turbidity/attenuation index (dimensionless), Na—acoustic noise/path index (dimensionless).
Table 5. Mission profile and hazards (D1–D14).
Table 5. Mission profile and hazards (D1–D14).
D1D2D3D4D5D6D7D8D9D10D11D12D13D14
03.04.2025 12:2350.018.0034.80071.00.0000010.0000020.0000710.0003630.0005980.0212430.0003630.0005980.021019
03.04.2025 12:2879.217.0834.83371.60.0000010.0000020.0000730.0007710.0011700.0432430.0007710.0011700.042321
03.04.2025 12:33108.316.1734.86772.20.0000020.0000020.0000760.0012310.0017180.0660260.0012300.0017160.063893
03.04.2025 12:38137.515.2534.90072.80.0000020.0000020.0000790.0017480.0022420.0896210.0017470.0022390.085722
03.04.2025 12:43166.714.3334.93373.30.0000020.0000020.0000810.0023310.0027430.1140560.0023280.0027390.107792
03.04.2025 12:48195.813.4234.96773.90.0000020.0000020.0000840.0029860.0032230.1393620.0029820.0032170.130087
03.04.2025 12:53225.012.5035.00074.50.0000020.0000020.0000870.0037240.0036820.1655690.0037170.0036750.152588
03.04.2025 12:58254.211.5835.03375.10.0000030.0000010.0000900.0045550.0041210.1927090.0045440.0041120.175278
03.04.2025 13:03283.310.6735.06775.70.0000030.0000010.0000940.0054890.0045410.2208160.0054740.0045300.198136
03.04.2025 13:08312.59.7535.10076.20.0000040.0000010.0000970.0065420.0049430.2499250.0065200.0049300.221141
03.04.2025 13:13341.78.8335.13376.80.0000040.0000010.0001000.0077260.0053270.2800700.0076970.0053130.244269
03.04.2025 13:18370.87.9235.16777.40.0000040.0000010.0001040.0090600.0056950.3112890.0090190.0056790.267498
03.04.2025 13:23400.07.0035.20078.00.0000050.0000010.0001080.0105610.0060470.3436200.0105050.0060290.290802
D1—timeutc—UTC time (5 min intervals). D2—depthm—depth z(t) in meters. D3—tempC—water temperature T(t) in °C. D4—salinitypsu—salinity S(t) in PSU. D5—TLdB—simple indicator of propagation losses (proxy for the communication link). D6–D8—lambdahulls−1 = λ3(S3⟶S4), lambdapowers−1 = λ(S0⟶S1), lambdacomms−1 = λ5(S0⟶S3)—instantaneous hazards (transition rates) for hull, power, and communications subsystems, in s−1. D9–D11—CumHazhull, CumHazpower, CumHazcomm—cumulative hazard up to the given time (dimensionless), i.e., the sum—suma ∑λΔt. D12–D14—Riskhull, Riskpower, Riskcomm—risk up to time t ≈ 1 − e−CumHaz for the respective subsystem.
Table 6. Subsystem summary at T and first early-warning crossing (Risk ≥ 0.10).
Table 6. Subsystem summary at T and first early-warning crossing (Risk ≥ 0.10).
SubsystemCumHazi(T)Riski(T)Time When Risk ≥ 0.10 (UTC)Minutes From StartDk (Segment at Cross)Depth at Cross [m]Data Coverage [%]
Hull0.0105610.010505not reached100
Power0.0060470.006029not reached100
Comm0.3436200.2908023 April 2025 12:43 (UTC)205166.7100
Table 7. Mission summary (context).
Table 7. Mission summary (context).
ItemValue
Start time t0 (UTC)[to be filled]
End time T (UTC)[to be filled]
Number of segments (Dk)13
Nominal Δt5 min (from D1)
Duration (T − t0)≈ 60 min
Early-warning threshold αe0.10
Decision threshold α0.90
Weights w (equal)[1/3, 1/3, 1/3]
Weights wᴼ (operational)[0.40, 0.35, 0.25]
Table 8. End-of-mission metrics (T).
Table 8. End-of-mission metrics (T).
SubsystemCumHaz(T)Risk(T)
Hull0.0105610.010505
Power0.0060470.006029
Comm0.3436200.290802
Table 9. Time to decision threshold α = 0.90.
Table 9. Time to decision threshold α = 0.90.
SubsystemReached?SegmentIndexDepthmRisk at Cross
Hullno---
Powerno---
Commno---
Table 10. Mission-level aggregates at T.
Table 10. Mission-level aggregates at T.
AggregateValue
R M w (equal w = 1/3, 1/3, 1/3)0.10244533
R M w (oper w = [0.40, 0.35, 0.25])0.07901265
R M II (independence)0.30248296
Table 11. Top 3 segment contributions—Comm.
Table 11. Top 3 segment contributions—Comm.
SegmentIndexDepthmΔCumHazShare of Total [%]Risk at Segment
12400.00.0015010.142126700.010505
11370.80.0013340.126313800.009019
10341.70.0011840.112110600.007697
Table 12. Top 3 segment contributions—Hull.
Table 12. Top 3 segment contributions—Hull.
SegmentIndexDepthmΔCumHazShare of Total [%]Risk at Segment
050.00.0005980.098892010.000598
179.20.0005720.094592360.001170
2108.30.0005480.090623450.001716
Table 13. Top 3 segment contributions—Power.
Table 13. Top 3 segment contributions—Power.
SegmentIndexDepthmΔCumHazShare of Total [%]Risk at Segment
12400.00.0323310.094089400.290802
11370.80.0312190.090853270.267498
10341.70.0301450.087727720.244269
Table 14. Time-to-state ranking (constant-rate from 60 min profile).
Table 14. Time-to-state ranking (constant-rate from 60 min profile).
SubsystemR(T)t{S2}t{S3}t{S4}Status @ T
Comm0.2910.31 h2.02 h6.70 hS2
Hull0.0119.98 h65.6 h218 hS0
Power0.00617.4 h114.6 h381 hS0
Propulsion
Control
Sensors
Software
Table 15. Proposed signals and rules to derive λ/ψ/μ (by subsystem).
Table 15. Proposed signals and rules to derive λ/ψ/μ (by subsystem).
SubsystemMinimal Signals (from Table 4)Example λi(t)/ProxyFunctional Triggers ψ (Examples)Recovery μ/Loss ν
PowerV, I, Rint, Tcell, Eres/EneedλP = c · exp(β1 · ΔRint/Rint + β2 · T)ψ0→1: ΔRint/Rint > θR; ψ0→2: rapid drop of Eres/Eneed; ψ0→3: BMS reset at low reserveμ: stabilization after throttling/load shedding
PropulsionIthr, RPM, control demand, hydrodynamic load uλprop = c · exp(γ1 · asym(Ithr) + γ2 · u)ψ0→2: thrust asymmetry > θasym; ψ2→3: actuator/ESC saturation > θsatμ: regain reference, change control mode
Controldepth/heading errors, DVL bottom-lock, IMU driftλctrl = c · exp(η1 · edepth + η2 · eheading) + penalty when bottom-lock is lostψ0→2: bottom-lock loss and growing error; ψ2→3: unstable control for > θ_timeμ1: controller stabilizes/reference recovered
CommSNR, PER/BER, RTT, TLdBλC = c · exp(ξ1 · TLdB) or λC ∝ PER within Δt windowψ0→3: link blackout (PER > θPER over Δt); ψ0→2: excessive RTTμ: successful comms window
SensorsSNR, quality flags, detection metricsλsens = c · exp(ζ1/SNR)ψ0→2: quality < θQ (switch to spare sensor)μ: quality back above θQ
Hulldepth z(t), salinity/stresses S/σ, flooding LλH = c · exp(α1 · z + α2 · S)ψ0→3: increasing moisture L > 0; ψ3→4: sharp growth of Lν: loss of telemetry after T*
Softwarewatchdog events, resets, TCPUλ_sw = c · exp(χ1 · TCPU)ψ0→2: watchdog; ψ0→3: reset cascadeμ: stable uptime > θup
Disclaimer/Publisher’s Note: The statements, opinions and data contained in all publications are solely those of the individual author(s) and contributor(s) and not of MDPI and/or the editor(s). MDPI and/or the editor(s) disclaim responsibility for any injury to people or property resulting from any ideas, methods, instructions or products referred to in the content.

Share and Cite

MDPI and ACS Style

Woźniak, M.; Duer, S.; Kulawińska, B.; Gubarevych, O.; Bernatowicz, D. A Continuous-Time Degradation Model for Autonomous Underwater Vehicles with Data-Driven Mission Decision Rules. Appl. Sci. 2025, 15, 12533. https://doi.org/10.3390/app152312533

AMA Style

Woźniak M, Duer S, Kulawińska B, Gubarevych O, Bernatowicz D. A Continuous-Time Degradation Model for Autonomous Underwater Vehicles with Data-Driven Mission Decision Rules. Applied Sciences. 2025; 15(23):12533. https://doi.org/10.3390/app152312533

Chicago/Turabian Style

Woźniak, Marek, Stanisław Duer, Beata Kulawińska, Oleg Gubarevych, and Dariusz Bernatowicz. 2025. "A Continuous-Time Degradation Model for Autonomous Underwater Vehicles with Data-Driven Mission Decision Rules" Applied Sciences 15, no. 23: 12533. https://doi.org/10.3390/app152312533

APA Style

Woźniak, M., Duer, S., Kulawińska, B., Gubarevych, O., & Bernatowicz, D. (2025). A Continuous-Time Degradation Model for Autonomous Underwater Vehicles with Data-Driven Mission Decision Rules. Applied Sciences, 15(23), 12533. https://doi.org/10.3390/app152312533

Note that from the first issue of 2016, this journal uses article numbers instead of page numbers. See further details here.

Article Metrics

Back to TopTop