Bow-Tie Microwave Diodes on the Base of Modulation-Doped Semiconductor Structure with Wide Spacer: Theory and Experiment
Abstract
1. Introduction
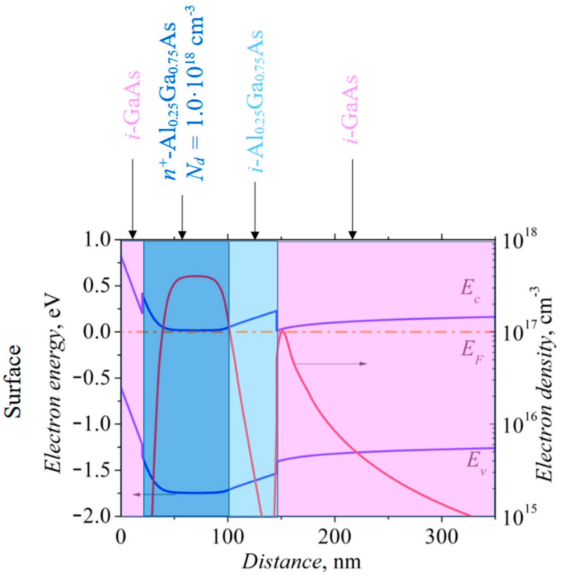
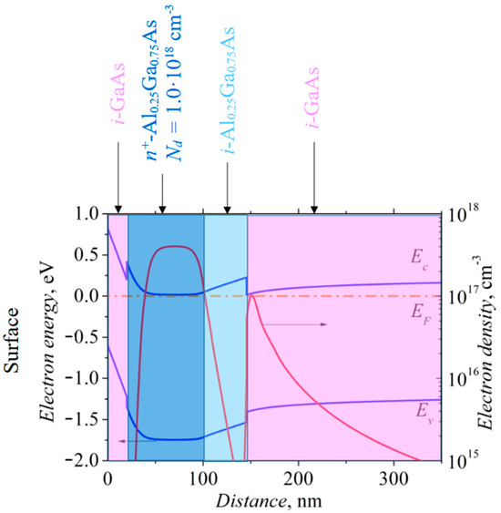
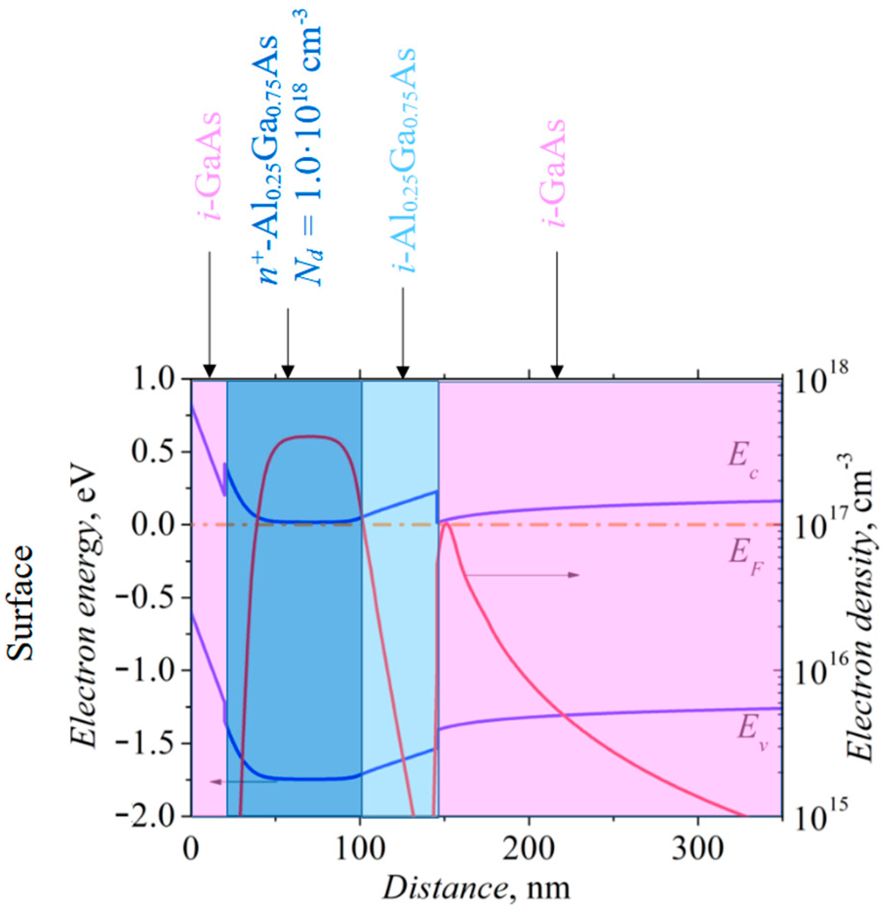
2. Materials and Methods
3. Results
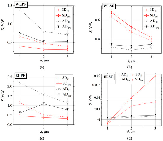
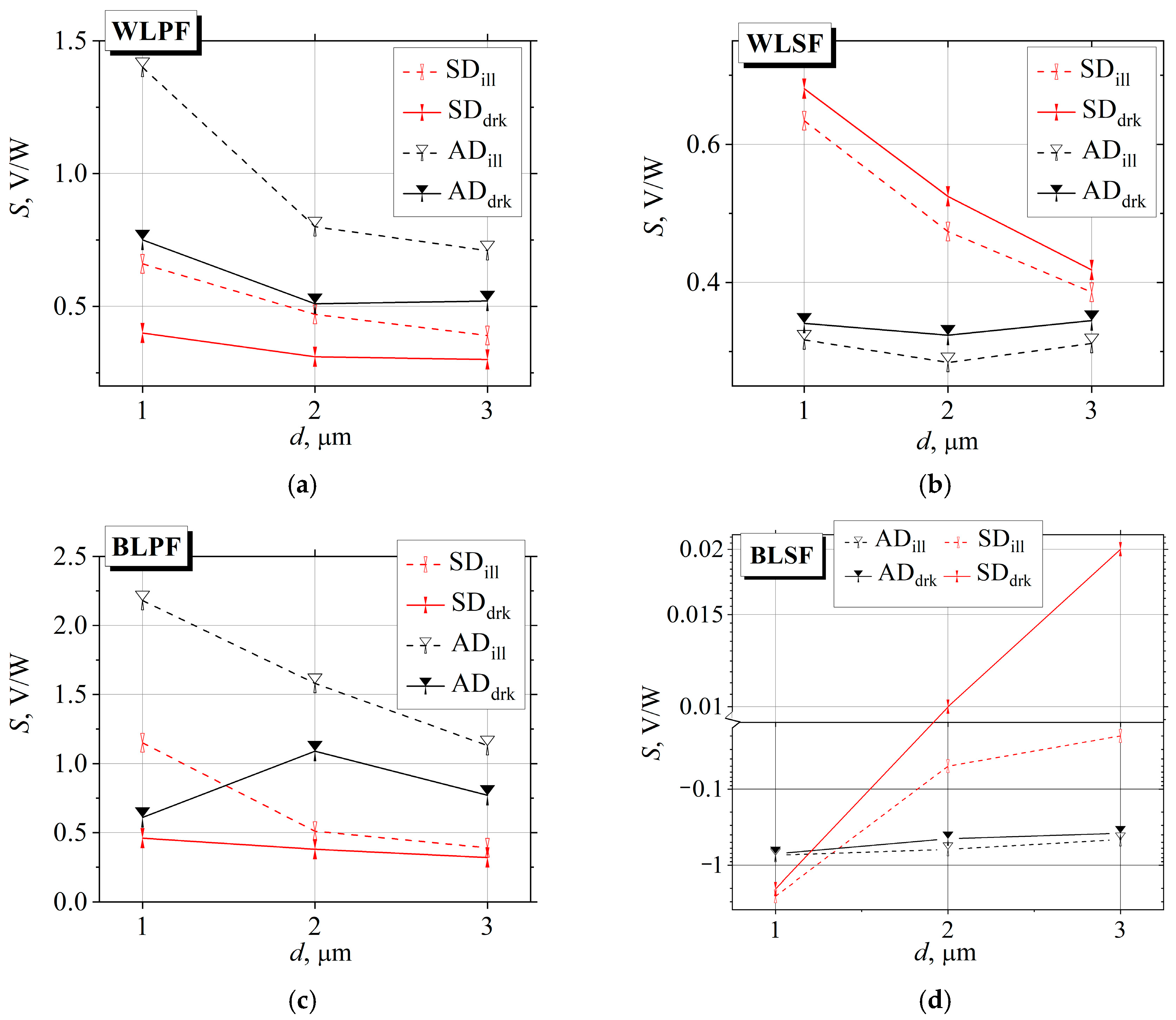
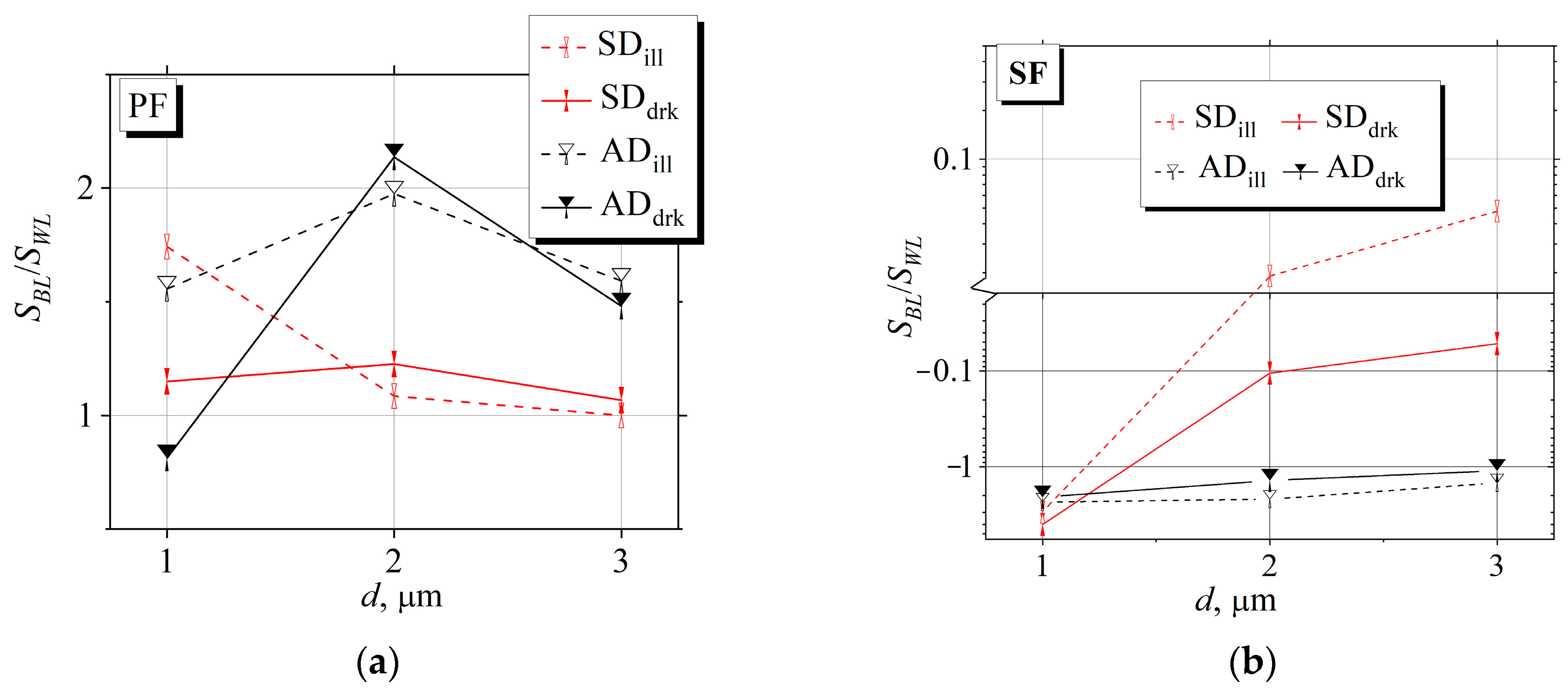
3.1. Voltage Sensitivity
3.2. Electrical Resistance
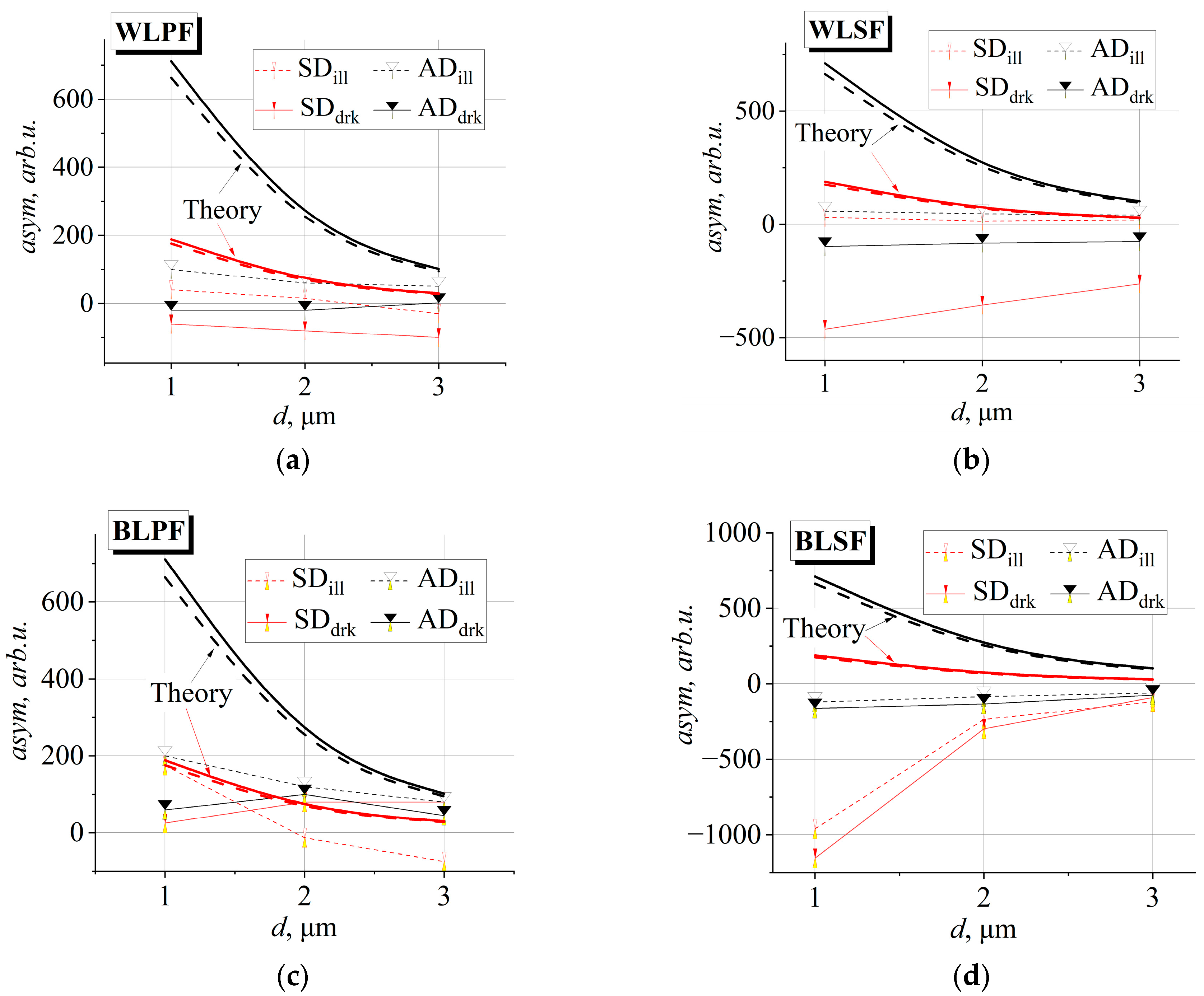
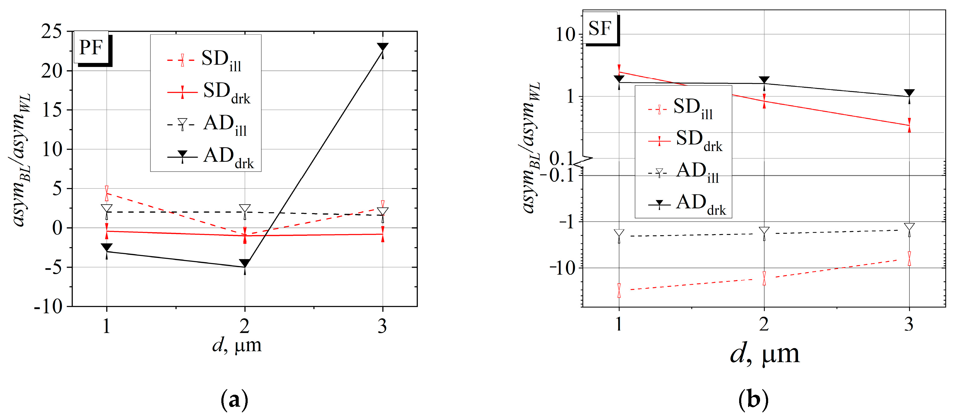
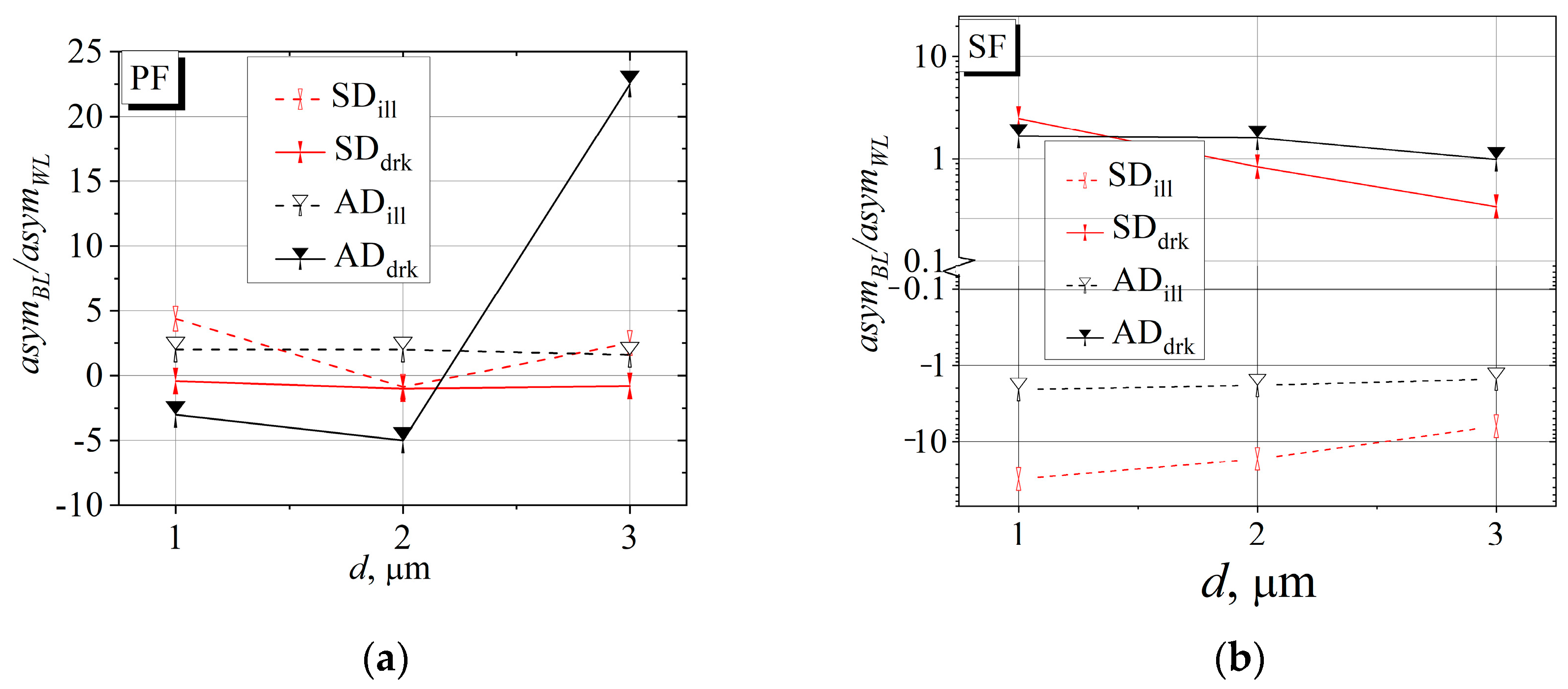
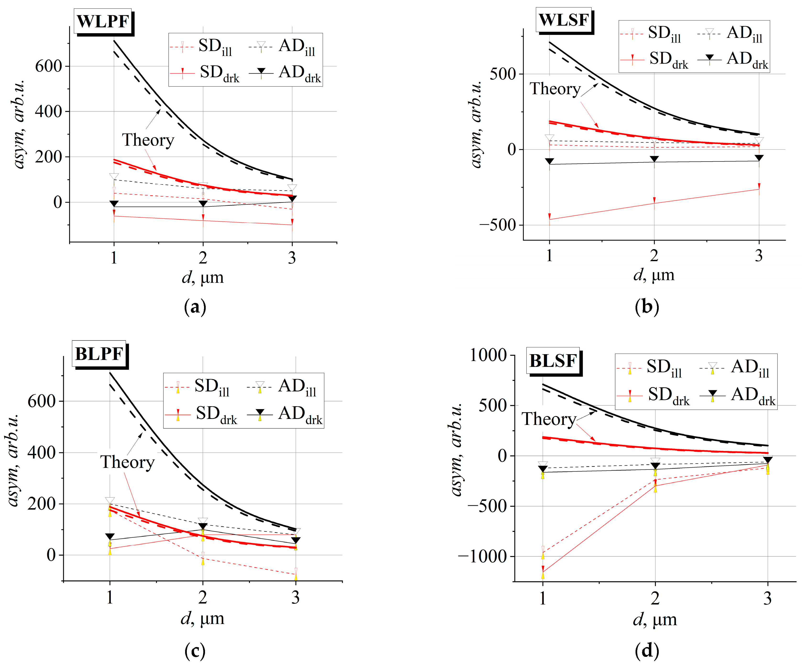
3.3. Asymmetry of I–V Characteristics
3.4. Nonlinearity Coefficient of I–V Characteristics
4. Discussion
5. Conclusions
- ➢
- The polarity of the voltage detected by bow-tie diodes corresponds to the thermoelectric electromotive force of hot electrons when the diode’s longitudinal axis is aligned with the primary flat cut of the GaAs (100) substrate, independent of the metal contact geometry, and also for diodes with metal contacts confined to the semiconductor mesa structure when their longitudinal axis is parallel to the secondary flat cut of the substrate.
- ➢
- For diodes with metal contacts extending beyond the semiconductor mesa structure, the polarity of the detected voltage depends on both the diode geometry and illumination conditions: only symmetrical diodes with a wider neck in the dark exhibit a detected voltage whose polarity matches that of the hot-electron thermoelectric emf.
- ➢
- White-light illumination affects diodes differently depending on their orientation relative to the crystallographic axes: diodes oriented along the secondary flat cut exhibit higher voltage sensitivity in the dark than under illumination, while the diodes oriented along the primary flat cut, on the contrary, exhibit higher voltage sensitivity under illumination.
- ➢
- The experimentally observed higher electrical resistances of bow-tie diodes compared to theoretical predictions can be attributed to electron capture at various trap centers as electrons traverse the diode under an applied voltage.
- ➢
- The weak or absent correlation between the voltage sensitivity of bow-tie diodes and the asymmetry of their I–V characteristics suggests that the I–V response is strongly influenced by electron capture into deep levels, which, owing to the slow dynamics of these processes, is minimally reflected in or largely decoupled from microwave detection.
- ➢
- The dependence of the I–V nonlinearity coefficient on both the geometry of the bow-tie diodes and the width of their necks supports the hypothesis that the electron density varies as electrons traverse the diode under the influence of the applied voltage.
- ➢
- Future studies of bow-tie diodes, aimed at further elucidating their microwave detection mechanism, will focus on a detailed analysis of electron capture into deep centers, employing diodes based on a variety of modulation-doped semiconductor structures.
Author Contributions
Funding
Data Availability Statement
Acknowledgments
Conflicts of Interest
Abbreviations
| 2DEG | Two-dimensional electron gas |
| AD | Asymmetric diode |
| AD1, AD2, AD3 | Asymmetric diodes with neck width 1, 2, 3 μm |
| BL | Beyond limits |
| BLPF | Beyond limits, primary flat |
| BLSF | Beyond limits, secondary flat |
| CMOS | Complementary metal oxide semiconductor |
| EIW | Electromagnetic induced well |
| FET | Field-effect transistor |
| FIR | Far infrared radiation |
| FPAs | Focal plane arrays |
| GN | Graphite nanosheet |
| HEMT | High electron mobility transistor |
| MBE | Molecular beam epitaxy |
| MDS | Modulation-doped semiconductor |
| MEMS | Micro-electro-mechanical systems |
| MOSFET | Metal oxide semiconductor field-effect transistor |
| MW | Microwave |
| PF | Primary flat |
| SD | Symmetric diode |
| SD1, SD2, SD3 | Symmetric diodes with neck width 1, 2, 3 μm |
| SF | Secondary flat |
| SOI | Silicon on insulator |
| SSD | Self-switching diode |
| TEMF | Thermoelectric electromotive force |
| WL | Within limits |
| WLPF | Within limits, primary flat |
| WLSF | Within limits, secondary flat |
Appendix A

Appendix B
) and under illumination of photo-lamp (
).
) and under illumination of photo-lamp (
).
) and under illumination of photo-lamp (
).
) and under illumination of photo-lamp (
).
Appendix C
| d, µm | Absorption Coefficient of Microwave Power of Bow-Tie Diodes, % | |||||||||||
|---|---|---|---|---|---|---|---|---|---|---|---|---|
| WLPF | BLPF | WLSF | ||||||||||
| AD | SD | AD | SD | AD | SD | |||||||
| Drk | Ill | Drk | Ill | Drk | Ill | Drk | Ill | Drk | Ill | Drk | Ill | |
| 1 | 1.5 | 3.0 | 3.0 | 5.4 | 1.2 | 4.7 | 3.5 | 9.4 | 0.7 | 0.7 | 5.2 | 5.2 |
| 2 | 3.5 | 5.9 | 7.6 | 12.4 | 7.5 | 11.7 | 9.3 | 13.4 | 2.2 | 2.1 | 12.8 | 12.5 |
| 3 | 7.3 | 10.8 | 14.3 | 20.1 | 10.8 | 17.1 | 15.3 | 20.1 | 4.8 | 4.7 | 19.9 | 19.9 |
Appendix D


References
- Sizov, F.F. Brief History of THz and IR Technologies. Semicond. Phys. Quantum Electron. Optoelectron. 2019, 22, 67–79. [Google Scholar] [CrossRef]
- Takida, Y.; Nawata, K.; Minamide, H. Security Screening System Based on Terahertz-Wave Spectroscopic Gas Detection. Opt. Express 2021, 29, 2529. [Google Scholar] [CrossRef]
- Tzydynzhapov, G.; Gusikhin, P.; Muravev, V.; Dremin, A.; Nefyodov, Y.; Kukushkin, I. New Real-Time Sub-Terahertz Security Body Scanner. J. Infrared Millim. Terahertz Waves 2020, 41, 632–641. [Google Scholar] [CrossRef]
- Amini, T.; Jahangiri, F.; Ameri, Z.; Hemmatian, M.A. A Review of Feasible Applications of THz Waves in Medical Diagnostics and Treatments. J. Lasers Med. Sci. 2021, 12, e92. [Google Scholar] [CrossRef]
- Wietzke, S.; Jansen, C.; Jördens, C.; Krumbholz, N.; Vieweg, N.; Scheller, M.; Shakfa, M.K.; Romeike, D.; Hochrein, T.; Mikulics, M.; et al. Industrial Applications of THz Systems. In Proceedings of the International Symposium on Photoelectronic Detection and Imaging 2009: Terahertz and High Energy Radiation Detection Technologies and Applications, Beijing, China, 3 July 2009; Zhang, X.-C., Ryan, J.M., Zhang, C., Tang, C., Eds.; SPIE: Bellingham, WA, USA, 2009; Volume 7385, p. 738506. [Google Scholar]
- Huang, Y.; Shen, Y.; Wang, J. From Terahertz Imaging to Terahertz Wireless Communications. Engineering 2023, 22, 106–124. [Google Scholar] [CrossRef]
- Sun, Y.; Wang, S.; Gong, Y. Terahertz’s Silent Revolution in Physics, Engineering, and Life Science: Beyond the Spectrum. Fundam. Res. 2025, 5, 1930–1932. [Google Scholar] [CrossRef]
- Siegel, P.H. THz Instruments for Space. IEEE Trans. Antennas Propag. 2007, 55, 2957–2965. [Google Scholar] [CrossRef]
- Castro-Camus, E.; Koch, M.; Mittleman, D.M. Recent Advances in Terahertz Imaging: 1999 to 2021. Appl. Phys. B 2022, 128, 12. [Google Scholar] [CrossRef]
- Slocum, D.M.; Slingerland, E.J.; Giles, R.H.; Goyette, T.M. Atmospheric Absorption of Terahertz Radiation and Water Vapor Continuum Effects. J. Quant. Spectrosc. Radiat. Transf. 2013, 127, 49–63. [Google Scholar] [CrossRef]
- Dyakonov, M.I.; Shur, M.S. Terahertz Sources and Systems, 1st ed.; Miles, R.E., Harrison, P., Lippens, D., Eds.; Kluwer Academic Publishers: Dordrecht, The Netherlands; Boston, MA, USA; London, UK, 2001. [Google Scholar]
- Yadav, R.; Ludwig, F.; Faridi, F.R.; Klopf, J.M.; Roskos, H.G.; Preu, S.; Penirschke, A. State-of-the-Art Room Temperature Operable Zero-Bias Schottky Diode-Based Terahertz Detector Up to 5.56 THz. Sensors 2023, 23, 3469. [Google Scholar] [CrossRef]
- Ito, H.; Ishibashi, T. InP/InGaAs Fermi-Level Managed Barrier Diode for Broadband and Low-Noise Terahertz-Wave Detection. Jpn. J. Appl. Phys. 2017, 56, 014101. [Google Scholar] [CrossRef]
- Dyakonov, M.; Shur, M. Detection, Mixing, and Frequency Multiplication of Terahertz Radiation by Two-Dimensional Electronic Fluid. IEEE Trans. Electron. Devices 1996, 43, 380–387. [Google Scholar] [CrossRef]
- Knap, W.; Deng, Y.; Rumyantsev, S.; Shur, M.S. Resonant Detection of Subterahertz and Terahertz Radiation by Plasma Waves in Submicron Field-Effect Transistors. Appl. Phys. Lett. 2002, 81, 4637–4639. [Google Scholar] [CrossRef]
- Coquillat, D.; Nadar, S.; Teppe, F.; Dyakonova, N.; Boubanga-Tombet, S.; Knap, W.; Nishimura, T.; Meziani, Y.M.; Otsuji, T.; Popov, V.V.; et al. Terahertz Detection in a Double-Grating-Gate Heterotransistor. J. Phys. Conf. Ser. 2009, 193, 012074. [Google Scholar] [CrossRef]
- Lisauskas, A.; Pfeiffer, U.; Öjefors, E.; Bolìvar, P.H.; Glaab, D.; Roskos, H.G. Rational Design of High-Responsivity Detectors of Terahertz Radiation Based on Distributed Self-Mixing in Silicon Field-Effect Transistors. J. Appl. Phys. 2009, 105, 114511. [Google Scholar] [CrossRef]
- Sensale-Rodriguez, B. Graphene-Insulator-Graphene Active Plasmonic Terahertz Devices. Appl. Phys. Lett. 2013, 103, 123109. [Google Scholar] [CrossRef]
- Spirito, D.; Coquillat, D.; De Bonis, S.L.; Lombardo, A.; Bruna, M.; Ferrari, A.C.; Pellegrini, V.; Tredicucci, A.; Knap, W.; Vitiello, M.S. High Performance Bilayer-Graphene Terahertz Detectors. Appl. Phys. Lett. 2014, 104. [Google Scholar] [CrossRef]
- Vitiello, M.S.; Viti, L.; Romeo, L.; Ercolani, D.; Scalari, G.; Faist, J.; Beltram, F.; Sorba, L.; Tredicucci, A. Semiconductor Nanowires for Highly Sensitive, Room-Temperature Detection of Terahertz Quantum Cascade Laser Emission. Appl. Phys. Lett. 2012, 100, 241101. [Google Scholar] [CrossRef]
- Vitiello, M.S.; Viti, L.; Coquillat, D.; Knap, W.; Ercolani, D.; Sorba, L. One Dimensional Semiconductor Nanostructures: An Effective Active-Material for Terahertz Detection. APL Mater. 2015, 3, 026104. [Google Scholar] [CrossRef]
- Marczewski, J.; Knap, W.; Tomaszewski, D.; Zaborowski, M.; Zagrajek, P. Silicon Junctionless Field Effect Transistors as Room Temperature Terahertz Detectors. J. Appl. Phys. 2015, 118, 104502. [Google Scholar] [CrossRef]
- Ahmad, Z.; Lisauskas, A.; Roskos, H.G.; O, K.K. Design and Demonstration of Antenna-Coupled Schottky Diodes in a Foundry Complementary Metal-Oxide Semiconductor Technology for Electronic Detection of Far-Infrared Radiation. J. Appl. Phys. 2019, 125, 194501. [Google Scholar] [CrossRef]
- Oda, N. Technology Trend in Real-Time, Uncooled Image Sensors for Sub-THz and THz Wave Detection. In Proceedings of the Micro- and Nanotechnology Sensors, Systems, and Applications VIII, Baltimore, MD, USA, 25 May 2016; George, T., Dutta, A.K., Islam, M.S., Eds.; SPIE: Bellingham, WA, USA, 2016; Volume 9836, p. 98362P. [Google Scholar]
- Zhang, Y.; Hosono, S.; Nagai, N.; Song, S.-H.; Hirakawa, K. Fast and Sensitive Bolometric Terahertz Detection at Room Temperature through Thermomechanical Transduction. J. Appl. Phys. 2019, 125, 151602. [Google Scholar] [CrossRef]
- Vicarelli, L.; Tredicucci, A.; Pitanti, A. Micromechanical Bolometers for Subterahertz Detection at Room Temperature. ACS Photonics 2022, 9, 360–367. [Google Scholar] [CrossRef] [PubMed]
- Ryzhii, V.; Ryzhii, M.; Ponomarev, D.S.; Leiman, V.G.; Mitin, V.; Shur, M.S.; Otsuji, T. Negative Photoconductivity and Hot-Carrier Bolometric Detection of Terahertz Radiation in Graphene-Phosphorene Hybrid Structures. J. Appl. Phys. 2019, 125, 151608. [Google Scholar] [CrossRef]
- Huang, Z.; Tong, J.; Huang, J.; Zhou, W.; Wu, J.; Gao, Y.; Lu, J.; Lin, T.; Wei, Y.; Chu, J. Room-Temperature Photoconductivity Far Below the Semiconductor Bandgap. Adv. Mater. 2014, 26, 6594–6598. [Google Scholar] [CrossRef]
- Qiu, Q.; Ma, W.; Li, J.; Jiang, L.; Mao, W.; Lu, X.; Yao, N.; Shi, Y.; Huang, Z. High Sensitivity of Room-Temperature Terahertz Photodetector Based on Silicon. iScience 2022, 25, 105217. [Google Scholar] [CrossRef] [PubMed]
- Room-Temperature THz Detection via EIW Effect Based on Graphite Nanosheet. J. Infrared Millim. Waves. 2022, 41, 551–556. [CrossRef]
- Song, A.M.; Missous, M.; Omling, P.; Peaker, A.R.; Samuelson, L.; Seifert, W. Unidirectional Electron Flow in a Nanometer-Scale Semiconductor Channel: A Self-Switching Device. Appl. Phys. Lett. 2003, 83, 1881–1883. [Google Scholar] [CrossRef]
- Sangaré, P.; Ducournau, G.; Grimbert, B.; Brandli, V.; Faucher, M.; Gaquière, C.; Íñiguez-de-la-Torre, A.; Íñiguez-de-la-Torre, I.; Millithaler, J.F.; Mateos, J.; et al. Experimental Demonstration of Direct Terahertz Detection at Room-Temperature in AlGaN/GaN Asymmetric Nanochannels. J. Appl. Phys. 2013, 113, 034305. [Google Scholar] [CrossRef]
- Ašmontas, S.; Sužiedėlis, A. New Microwave Detector. Int. J. Infrared Millim. Waves 1994, 15, 525–537. [Google Scholar] [CrossRef]
- Sužiedelis, A.; Gradauskas, J.; Ašmontas, S.; Valušis, G.; Roskos, H.G. Giga- and Terahertz Frequency Band Detector Based on an Asymmetrically Necked n-n+-GaAs Planar Structure. J. Appl. Phys. 2003, 93, 3034–3038. [Google Scholar] [CrossRef]
- Harrison, R.I.; Zucker, J. Microwave detection and mixing using the thermoelectric effect of hot carriers in semiconductors. Appl. Phys. Lett. 1963, 3, 153–154. [Google Scholar] [CrossRef]
- Juozapavičius, A.; Ardaravičius, L.; Sužiedėlis, A.; Kozič, A.; Gradauskas, J.; Kundrotas, J.; Seliuta, D.; Širmulis, E.; Ašmontas, S.; Valušis, G.; et al. Microwave Sensor Based on Modulation-Doped GaAs/AlGaAs Structure. Semicond. Sci. Technol. 2004, 19, S436–S439. [Google Scholar] [CrossRef]
- Kašalynas, I.; Seliuta, D.; Tamošiūnas, V.; Macutkevič, J.; Balakauskas, S.; Valušis, G.; Köhler, K. Terahertz GaAs/AlGaAs- and InGaAs-Based Bow-Tie Diodes: Spectral Features and Applications for Imaging. J. Phys. Conf. Ser. 2009, 193, 012077. [Google Scholar] [CrossRef]
- Jorudas, J.; Seliuta, D.; Minkevičius, L.; Janonis, V.; Subačius, L.; Pashnev, D.; Pralgauskaitė, S.; Matukas, J.; Ikamas, K.; Lisauskas, A.; et al. Terahertz Bow-Tie Diode Based on Asymmetrically Shaped AlGaN/GaN Heterostructures. Lith. J. Phys. 2023, 63, 191–201. [Google Scholar] [CrossRef]
- Minkevičius, L.; Tamošiūnas, V.; Kašalynas, I.; Seliuta, D.; Valušis, G.; Lisauskas, A.; Boppel, S.; Roskos, H.G.; Köhler, K. Terahertz Heterodyne Imaging with InGaAs-Based Bow-Tie Diodes. Appl. Phys. Lett. 2011, 99, 131101. [Google Scholar] [CrossRef]
- Valušis, G.; Venckevičius, R.; Minkevicius, L.; Reklaitis, A.; Tamošiūnas, V.; Kašalynas, I.; Voisiat, B.; Seliuta, D.; Račiukaitis, G.; Jokubauskis, D. Compact Solutions for Spectroscopic Solid-State-Based Terahertz Imaging Systems. In Proceedings of the Terahertz Emitters, Receivers, and Applications VIII, San Diego, CA, USA, 23 August 2017; Razeghi, M., Baranov, A.N., Zavada, J.M., Pavlidis, D., Eds.; SPIE: Bellingham, WA, USA; p. 103830S. [Google Scholar]
- Redeckas, K.; Jakštas, V.; Bernatonis, M.; Tamošiūnas, V.; Valušis, G.; Minkevičius, L. Enhanced Terahertz Sensing via On-Chip Integration of Diffractive Optics with InGaAs Bow-Tie Detectors. Sensors 2025, 25, 229. [Google Scholar] [CrossRef]
- Minkevičius, L.; Tamošiūnas, V.; Kojelis, M.; Žąsinas, E.; Bukauskas, V.; Šetkus, A.; Butkutė, R.; Kašalynas, I.; Valušis, G. Influence of Field Effects on the Performance of InGaAs-Based Terahertz Radiation Detectors. J. Infrared Millim. Terahertz Waves 2017, 38, 689–707. [Google Scholar] [CrossRef]
- Šermukšnis, E.; Jorudas, J.; Šimukovič, A.; Kovalevskij, V.; Kašalynas, I. Self-Heating of Annealed Ti/Al/Ni/Au Contacts to Two-Dimensional Electron Gas in AlGaN/GaN Heterostructures. Appl. Sci. 2022, 12, 11079. [Google Scholar] [CrossRef]
- Seliuta, D.; Vyšniauskas, J.; Ikamas, K.; Lisauskas, A.; Kašalynas, I.; Reklaitis, A.; Valušis, G. Symmetric Bow-Tie Diode for Terahertz Detection Based on Transverse Hot-Carrier Transport. J. Phys. D Appl. Phys. 2020, 53, 275106. [Google Scholar] [CrossRef]
- Ašmontas, S.; Anbinderis, M.; Čerškus, A.; Gradauskas, J.; Lučun, A.; Sužiedėlis, A. Microwave Bow-Tie Diodes on Bases of 2D Semiconductor Structures. Crystals 2024, 14, 720. [Google Scholar] [CrossRef]
- Sužiedėlis, A.; Ašmontas, S.; Gradauskas, J.; Čerškus, A.; Šilėnas, A.; Lučun, A. Impact of Buffer Layer on Electrical Properties of Bow-Tie Microwave Diodes on the Base of MBE-Grown Modulation-Doped Semiconductor Structure. Crystals 2025, 15, 50. [Google Scholar] [CrossRef]
- Sužiedėlis, A.; Ašmontas, S.; Gradauskas, J.; Čerškus, A.; Lučun, A.; Anbinderis, M.; Zharchenko, I. Anisotropy of Voltage Sensitivity of Bow-Tie Microwave Diodes Containing 2DEG Layer. Crystals 2025, 15, 367. [Google Scholar] [CrossRef]
- Sužiedėlis, A.; Ašmontas, S.; Gradauskas, J.; Čerškus, A.; Anbinderis, M. Indirect Measurement of Electron Energy Relaxation Time at Room Temperature in Two-Dimensional Heterostructured Semiconductors. Materials 2022, 15, 3224. [Google Scholar] [CrossRef] [PubMed]
- Williams, R. Modern GaAs Processing Methods, 2nd ed.; Artech House: Norwood, MA, USA, 1990. [Google Scholar]
- Dienys, V.; Kancleris, Ž.; Mart8nas, Z. Warm Electrons; Mokslas: Vilnius, Lithuania, 1983. [Google Scholar]
- Das Sarma, S.; Hwang, E.H.; Kodiyalam, S.; Pfeiffer, L.N.; West, K.W. Transport in Two-Dimensional Modulation-Doped Semiconductor Structures. Phys. Rev. B 2015, 91, 205304. [Google Scholar] [CrossRef]
- Conwell, E.M.; Zucker, J. “Thermoelectric Effect” of Hot Carriers. J. Appl. Phys. 1965, 36, 2192–2196. [Google Scholar] [CrossRef]
- Zeng, X.; Cheng, X.; Yu, R.; Stucky, G.D. Electromagnetic Microwave Absorption Theory and Recent Achievements in Microwave Absorbers. Carbon 2020, 168, 606–623. [Google Scholar] [CrossRef]
- Zhao, F.; Inserra, D.; Gao, G.; Huang, Y.; Li, J.; Wen, G. High-Efficiency Microwave Rectifier With Coupled Transmission Line for Low-Power Energy Harvesting and Wireless Power Transmission. IEEE Trans. Microw. Theory Tech. 2021, 69, 916–925. [Google Scholar] [CrossRef]
- Izpura, I.; Muñoz, E. Electron Capture by D X Centers in AlGaAs and Related Compounds. Appl. Phys. Lett. 1989, 55, 1732–1734. [Google Scholar] [CrossRef]
- Cavallini, A.; Fraboni, B.; Capotondi, F.; Sorba, L.; Biasiol, G. Deep Levels in MBE Grown AlGaAs/GaAs Heterostructures. Microelectron. Eng. 2004, 73–74, 954–959. [Google Scholar] [CrossRef]
- Choi, K.J.; Lee, J.-L. Determination of Energy Levels of Surface States in GaAs Metal–Semiconductor Field-Effect Transistor Using Deep-Level Transient Spectroscopy. Appl. Phys. Lett. 1999, 74, 1108–1110. [Google Scholar] [CrossRef][Green Version]
- Tediosi, E.; Borgarino, M.; Verzellesi, G.; Sozzi, G.; Menozzi, R. Surface Effects on Turn-off Characteristics OfAlGaAs/GaAs HFETs. Electron. Lett. 2001, 37, 719–720. [Google Scholar] [CrossRef]
- Brammertz, G.; Martens, K.; Sioncke, S.; Delabie, A.; Caymax, M.; Meuris, M.; Heyns, M. Characteristic Trapping Lifetime and Capacitance-Voltage Measurements of GaAs Metal-Oxide-Semiconductor Structures. Appl. Phys. Lett. 2007, 91, 133510. [Google Scholar] [CrossRef]
















| Bow-Tie Diode | , Ω/□ | , Ω·mm | ||
|---|---|---|---|---|
| Illuminated | Dark | Illuminated | Dark | |
| WLPF | 1380 ± 20 | 1450 ± 20 | 0.41 ± 0.53 | 0.45 ± 0.47 |
| WLSF | 1470 ± 10 | 1470 ± 10 | 0.28 ± 0.25 | 0.25 ± 0.21 |
| BLPF | 1360 ± 10 | 1460 ± 10 | 0.58 ± 0.25 | 0.48 ± 0.22 |
| BLSF | 1420 ± 10 | 1520 ± 10 | 1.0 ± 0.1 | 1.0 ± 0.1 |
Disclaimer/Publisher’s Note: The statements, opinions and data contained in all publications are solely those of the individual author(s) and contributor(s) and not of MDPI and/or the editor(s). MDPI and/or the editor(s) disclaim responsibility for any injury to people or property resulting from any ideas, methods, instructions or products referred to in the content. |
© 2025 by the authors. Licensee MDPI, Basel, Switzerland. This article is an open access article distributed under the terms and conditions of the Creative Commons Attribution (CC BY) license (https://creativecommons.org/licenses/by/4.0/).
Share and Cite
Sužiedėlis, A.; Ašmontas, S.; Gradauskas, J.; Čerškus, A.; Lučun, A.; Anbinderis, M. Bow-Tie Microwave Diodes on the Base of Modulation-Doped Semiconductor Structure with Wide Spacer: Theory and Experiment. Crystals 2025, 15, 918. https://doi.org/10.3390/cryst15110918
Sužiedėlis A, Ašmontas S, Gradauskas J, Čerškus A, Lučun A, Anbinderis M. Bow-Tie Microwave Diodes on the Base of Modulation-Doped Semiconductor Structure with Wide Spacer: Theory and Experiment. Crystals. 2025; 15(11):918. https://doi.org/10.3390/cryst15110918
Chicago/Turabian StyleSužiedėlis, Algirdas, Steponas Ašmontas, Jonas Gradauskas, Aurimas Čerškus, Andžej Lučun, and Maksimas Anbinderis. 2025. "Bow-Tie Microwave Diodes on the Base of Modulation-Doped Semiconductor Structure with Wide Spacer: Theory and Experiment" Crystals 15, no. 11: 918. https://doi.org/10.3390/cryst15110918
APA StyleSužiedėlis, A., Ašmontas, S., Gradauskas, J., Čerškus, A., Lučun, A., & Anbinderis, M. (2025). Bow-Tie Microwave Diodes on the Base of Modulation-Doped Semiconductor Structure with Wide Spacer: Theory and Experiment. Crystals, 15(11), 918. https://doi.org/10.3390/cryst15110918

