Next Article in Journal
Fractional PI-PIμD Controllers with Neural Network Adaptation in Control System of BLDC Motor Electric Drives
Previous Article in Journal
Optimising Behavioural Control Based on Actual HVAC Use in Naturally Ventilated Buildings
 
 
Font Type:
Arial Georgia Verdana
Font Size:
Aa Aa Aa
Line Spacing:
Column Width:
Background:
Article

Modelling Solar Intermittency Effects on PEM Electrolyser Performance & Degradation: A Comparison of Oman and UK

Faculty of Environment, Science, and Economy (ESE), Renewable Energy, Electric and Electronic Engineering, University of Exeter, Penryn TR10 9FE, UK
*
Author to whom correspondence should be addressed.
Energies 2025, 18(23), 6131; https://doi.org/10.3390/en18236131
Submission received: 10 October 2025 / Revised: 12 November 2025 / Accepted: 21 November 2025 / Published: 23 November 2025

Abstract

The durability of Proton Exchange Membrane Water Electrolysers (PEMWEs) under intermittent renewable power is a critical challenge for scaling green hydrogen. This study investigates the influence of solar intermittency on PEMWE performance and degradation in direct-coupled photovoltaic (PV) systems by comparing two contrasting climates: Muscat, Oman (hot-arid, high irradiance) and Brighton, UK (temperate, variable irradiance). A validated physics-based model, incorporating reversible, activation, ohmic, and concentration overpotentials along with empirical degradation laws for catalyst decay, membrane thinning, and interfacial resistance growth, was applied to hourly PV-generation data. The results indicate that Muscat’s high irradiance (985 MWh year−1) produced nearly double Brighton’s hydrogen yield (14,018 kg vs. 7566 kg) and longer operational hours (3269 h vs. 2244 h), but at the cost of accelerated degradation (359.8 μV h−1 vs. 231.4 μV h−1). In contrast, Brighton’s cooler and more humid climate preserved efficiency (65.8% vs. 59.8%) and reduced degradation, although higher daily cycling and seasonal variability constrained total output. The findings reveal a climate-dependent trade-off: hot, stable regions maximise hydrogen productivity at the expense of lifespan, whereas variable, cooler climates extend durability but limit yield. By explicitly linking intermittency to performance and ageing, this work provides a location-specific assessment of PEMWE feasibility, supporting design and operation strategies for renewable hydrogen deployment.

1. Introduction

Hydrogen is increasingly seen as one of the cornerstones in the push to decarbonise the global energy system. As a clean energy carrier, it has scope to be used in power generation, heavy transport, and industries where cutting emissions is notoriously difficult [1]. Of the different production routes, polymer electrolyte membrane (PEM) electrolysis tends to stand out for its relatively high efficiency, compact footprint, and quick reaction to changes in demand [2]. In simple terms, a PEM electrolyser uses a direct current to split water into hydrogen and oxygen, with a proton-conducting membrane sitting between the electrodes to move the ions [2]. Pairing this technology with renewable power, particularly solar PV, allows for green hydrogen production with very low operational emissions [3,4].
However, solar PV output is far from constant. Day–night cycles, passing clouds, and seasonal changes mean generation can rise and fall within minutes or hours [5]. In a direct-coupled PV-PEM setup, that variability pushes the electrolyser through frequent part-load operation, start–stop cycles, and sudden shifts in temperature and current. Studies have shown that such conditions tend to speed up wear-and-tear processes, including the loss of electrochemically active surface area (ECSA), gradual membrane thinning, and higher interfacial contact resistance. Over months or years, these changes drag down efficiency and shorten stack life with an inevitable knock-on effect on the levelised cost of hydrogen [6,7].
Beyond operational degradation, PEM electrolysers are also limited by their reliance on critical and strategic raw materials that strongly influence cost, lifetime, and recyclability [8]. The acidic cell environment (pH ≈ 2) requires noble-metal catalysts such as iridium (Ir) or ruthenium (Ru) at the anode and platinum (Pt) or palladium (Pd) at the cathode, which are both scarce and expensive [8]. Components like titanium-based porous transport layers and bipolar plates, commonly used for corrosion resistance, also contribute to the high capital cost of PEM systems [8]. This dependence underscores the need for recycling and material-substitution strategies to enhance their long-term sustainability.
While steady-state PEM performance has been well mapped out, far fewer studies have looked at how these systems behave under real-world, minute-to-hour fluctuations from renewable sources. Many models average PV data into long time steps or skip degradation entirely, making it hard to see the cumulative effects of intermittency. And although the roles of temperature, current density, and humidity in PEM durability are understood, a modelling framework directly linking local weather patterns to electrochemical degradation pathways remains missing [9,10].
Oman has made green hydrogen central to its energy transition, targeting 30% renewable power by 2030 and net-zero emissions by 2050 [11]. With 688 MW of installed renewable capacity—mostly solar—and plans to produce around one million tonnes of green hydrogen by 2030 through hubs in Sohar and Duqm, Oman’s strong solar potential and hot-arid climate make Muscat an ideal case for evaluating PEM electrolyser durability under real conditions [11,12].
This study addresses that gap by developing an integrated PV-PEM simulation. The model uses hourly PV generation data to update, step-by-step, three key degradation parameters: ECSA, membrane thickness, and interfacial resistance. It is run for two very different climates: Muscat, Oman, with strong, relatively stable sunlight, and Brighton, UK, with weaker, more changeable conditions. The novelty here is in directly linking real intermittency patterns to the electrochemical degradation of a PEM stack over a full year; using a physics-based voltage model, empirical degradation rates, and steady-state validation against published polarisation curves [13,14]. Integrating performance and durability within the same modelling framework enables realistic comparison of output-lifetime trade-offs.
The aim is to compare how solar intermittency in these two climates affects both hydrogen yield and stack degradation. To do this, the study generates one-year PV profiles from Typical Meteorological Year (TMY3) data using PVlib, applies a voltage model with reversible, activation, ohmic, and degradation terms, updates parameters based on operating conditions, and validates against literature data. The research is framed by three questions: How much do climate-driven fluctuations change annual yield and degradation? Which degradation pathways are most sensitive to that variability? And how close can the model get to the steady-state performance curves reported in previous studies?
This work focuses on direct-coupled PV-PEM systems, without intermediate energy storage or grid connection. It does not simulate balance-of-plant elements such as pumps or dryers, nor does it resolve temperature or humidity gradients inside the stack. The simulations cover one year and do not attempt cost optimisation. The rest of the paper reviews the underlying science and prior work on PEM electrolysis, degradation, intermittency, and modelling, then explains the modelling approach, presents the results for both locations, and discusses the implications before closing with the main conclusions and ideas for future research.

2. Literature Review

This section presents a comprehensive overview of research related to Proton Exchange Membrane Water Electrolysers (PEMWEs), focusing on their fundamental materials, degradation mechanisms, response to solar intermittency, modelling approaches, and remaining challenges. The reviewed literature underpins the objective of assessing PEM electrolyser degradation under real-world solar operation in distinct climates.

2.1. PEM Electrolyser Fundamentals

PEM water electrolysers are devices that split water into hydrogen and oxygen using electricity, typically from renewable sources. Their core advantage lies in high efficiency, fast response, and compact design. However, they are expensive and prone to degradation, particularly under dynamic conditions.
The proton exchange membrane plays a central role in conducting protons while keeping hydrogen and oxygen gases separated. Nafion, a perfluorosulfonic acid (PFSA), is the standard material due to its chemical and thermal stability [15]. Membranes degrade through several mechanisms. Chemically, reactive oxygen species like hydroxyl and hydroperoxyl radicals, produced at the anode, attack the ionomer backbone. This results in the release of fluoride ions and membrane thinning [16]. Mechanically, the membrane undergoes repeated swelling and drying due to variable hydration, leading to cracking and delamination. Thermally, Nafion becomes unstable above 80 °C or under low-humidity conditions. Although hydrocarbon alternatives offer better thermal tolerance and potentially lower cost, they remain under development [17,18,19].
The catalyst layer facilitates the oxygen evolution reaction (OER) and hydrogen evolution reaction (HER). Iridium oxide (IrO2) is typically used at the anode, and platinum (Pt) at the cathode. These catalysts are expensive and degrade over time. Iridium and platinum can dissolve under high cell voltages, particularly those exceeding 1.8 V. This dissolution leads to performance loss and contamination of the membrane. Additionally, catalyst particles agglomerate through Ostwald ripening, reducing their effective surface area. Carbon supports, commonly used to stabilise catalysts, also degrade, especially during power cycling. Advanced materials like high-entropy oxides, ATO supports, and single-atom catalysts are being developed to enhance stability and reduce cost [17].
Porous transport layers (PTLs) ensure even water distribution to the membrane and facilitate gas removal. Titanium is the standard material, but it tends to oxidise to TiO2, increasing contact resistance. Moreover, stack assembly and pressure cycling can cause PTL deformation, especially under mechanical stress. The application of titanium nitride or niobium nitride coatings, as well as 3D-printed porous structures, has shown promise in improving conductivity and mechanical resilience [17].
Bipolar plates (BPPs) are responsible for distributing current and managing fluid flow across the stack. Titanium is commonly used due to its corrosion resistance, although its high cost has prompted interest in coated stainless-steel alternatives. Corrosion remains a challenge, particularly due to fluoride ions from membrane degradation [20]. Protective coatings such as niobium or titanium can mitigate this, but they are prone to erosion and associated increases in interfacial contact resistance under electrolyser operation [21]. Ongoing research focuses on more cost-effective and durable materials to balance corrosion resistance with electrical conductivity. Table 1 summarises the main PEM component degradation mechanisms, underlying causes, and recent mitigation approaches reported in the literature.

2.2. PV–PEM Integration and Solar Intermittency

Integrating PEM electrolysers with photovoltaic generation allows the direct conversion of solar energy into hydrogen but introduces complex dynamic behaviour. Three interface configurations are commonly used [25]: (i) direct coupling, in which the PV array connects directly to the electrolyser, eliminating conversion losses but exposing the stack to rapid irradiance fluctuations [5,25]; (ii) DC–DC coupling, which inserts a converter to provide maximum-power-point tracking (MPPT) and voltage control, improving average yield but adding approximately 2–5% conversion losses [26]; and (iii) DC–AC–DC coupling, which offers grid compatibility through inversion and rectification at higher cost and efficiency penalty [25]. These configurations are illustrated in Figure 1.
Under real-world solar conditions, the electrical input to the electrolyser varies continuously with weather, diurnal, and seasonal cycles. Such intermittency drives the stack through frequent part-load and start–stop operation, imposing thermal shocks and non-uniform membrane hydration that accelerate degradation [27]. Rapid current ramps cause local temperature spikes and catalyst dissolution, while sustained low-current operation increases ohmic resistance and promotes hot-spot formation [5,10]. Experimental and numerical studies using measured solar profiles have shown efficiency reductions of roughly 40% under fluctuating operation compared with steady conditions and highlighted the need for power buffering or predictive control to mitigate degradation [28,29]. Electronically buffered systems can reduce fluctuation amplitude but at the cost of greater complexity and energy loss [30,31].
In the present study, a direct-coupled configuration is adopted to represent a minimal-component, off-grid system typical of resource-constrained regions. This choice enables an unfiltered assessment of how solar intermittency intrinsically affects electrochemical degradation in PEM stacks. Table 2 summarises the main PV–PEM coupling configurations described in the literature, outlining their key characteristics, advantages, and limitations.

2.3. Simulation Models: Understanding Electrolyser Behaviour

Modelling is essential to predict the behaviour of PEMWEs under intermittent solar input. Models generally fall into three categories: empirical, physics-based, and control-oriented.
Empirical models use simplified equations based on experimental data to estimate voltage, current, and efficiency. Ref. [32] applied a static polarisation curve to relate current density to voltage and hydrogen output, assuming a constant efficiency throughout. Ref. [25] modelled hydrogen production based on solar PV input but did not account for degradation or dynamic responses. These models are computationally efficient and suitable for system-level assessments, but lack the accuracy needed for transient analysis and degradation prediction.
Physics-based models incorporate electrochemical, thermal, and fluid dynamics to describe system behaviour more accurately. Ref. [15] recommended a comprehensive framework that includes activation, ohmic, and concentration losses, as well as proton conductivity influenced by membrane hydration. Ref. [29] developed a Bond Graph-based model that simulates thermal and electrical dynamics, hydrogen storage, and Faraday efficiency, validated with real solar input data. Ref. [33] introduced time-dependent terms to reflect membrane thinning and catalyst degradation over time. Ref. [34] also developed a techno-economic optimization model that integrates physics-based stack behaviour with usage-dependent degradation, demonstrating how real-world operating profiles reduce stack life and increase the cost of hydrogen production.
Control-oriented models are designed for real-time operation and management. Ref. [35] implemented a Model Predictive Control (MPC) strategy that constrained voltage and ramp rate to reduce stress and improve hydrogen yield. Ref. [36] developed a generic equivalent circuit model for PEM electrolysers capable of reproducing their dynamic electrical characteristics across multiple operating modes, making it particularly suitable for control and power electronics design.
A physics-based modelling framework is adopted in this study as it provides the level of detail required to capture both short-term transients and long-term degradation under variable solar input [37]. Unlike empirical models, which are computationally efficient but neglect dynamic and ageing effects, physics-based models explicitly incorporate electrochemical, thermal, and hydration-dependent membrane processes, enabling accurate simulation of catalyst decay and membrane thinning [38]. While control-oriented models are effective for real-time operation, they omit the physical degradation mechanisms central to this research [39]. This approach ensures robust, location-specific assessment of PEMWE performance in both Muscat and Brighton conditions. Table 3 summarises the studies reviewed.

2.4. Research Gaps and Needs

Despite progress in PEM electrolyser research, several gaps remain that limit deployment and predictive modelling accuracy in solar-powered applications.
Firstly, most studies are conducted at the single-cell level. However, full stacks behave differently due to flow maldistribution, thermal gradients, and electrical imbalances [16]. Second, many models only simulate one degradation mechanism, either chemical, thermal, or mechanical, without capturing the interplay among them [17].
Long-term simulations often cover only a few hundred hours, whereas real-world systems are expected to operate for tens of thousands of hours. The lack of standardised degradation testing protocols further complicates comparisons across studies. Ref. [16] recommend measuring fluoride release, electrochemical surface area (ECSA) loss, and voltage decay as standard degradation metrics.
Finally, novel materials such as single-atom catalysts, high-entropy oxides, and composite membranes show promise but remain untested under long-term, variable solar conditions. Addressing these gaps is essential to improve durability prediction and guide the design of reliable, cost-effective PEM systems for renewable hydrogen generation.

3. Materials and Methods

3.1. Research Design and Approach

This study employs a comparative, simulation-based methodology to quantify the impact of solar intermittency on the performance and degradation of proton exchange membrane (PEM) electrolysers. Two climatically distinct locations, Muscat, Oman (hot-arid) and Brighton, United Kingdom (temperate-maritime) were selected to capture the influence of contrasting irradiance and temperature profiles on system behaviour. A summary of the workflow employed in the methodology is shown in Figure 2.
The approach integrates high-resolution photovoltaic (PV) generation modelling with a multi-physics electrochemical model of the PEM electrolyser, incorporating empirical degradation correlations. Real meteorological datasets for each site were processed to simulate PV output, which was then directly coupled to the electrolyser model to replicate instantaneous operational dynamics without intermediate power conditioning. This configuration allows the simulation to capture unmitigated variability effects on loading, efficiency, and degradation mechanisms.
The workflow comprises four interconnected stages: (1) acquisition and processing of meteorological data; (2) PV system modelling; (3) electrochemical and thermal modelling of the PEM electrolyser; and (4) degradation modelling and comparative performance analysis. This framework enables the identification of location-specific operational stressors and supports long-term projections of hydrogen production efficiency and component lifetime under varying intermittency regimes [40]. All physical constants, electrochemical parameters, and full model inputs are provided in Appendix A.

3.2. Solar Resource Assessment and PV Modelling

3.2.1. Meteorological Data Sources and Processing

Hourly irradiance data were obtained for both regions. Brighton data were sourced from the National Renewable Energy Laboratory (NREL, Golden, CO, USA) for the year 2019, selected due to free public access, while Muscat data were obtained from the Photovoltaic Geographical Information System (PVGIS, Joint Research Centre, European Commission, Ispra, Italy) Typical Meteorological Year (TMY) generator, which follows the ISO 15927-4 procedure and combines satellite-derived irradiance with ERA reanalysis meteorological variables [41,42]. The Muscat dataset represents a typical meteorological year constructed from the 2005–2023 period, whereas the Brighton dataset contains actual hourly observations for a single year. For both sites, only global horizontal irradiance (GHI) was provided directly; direct normal irradiance (DNI) and diffuse horizontal irradiance (DHI) were derived from GHI using established decomposition models. Ambient air temperature for Muscat was included in the PVGIS dataset, whereas for Brighton only monthly mean temperatures (5.4–17.3 °C) were available and were linearly interpolated to hourly values, reducing the representation of short-term thermal fluctuations [43]. Both datasets are provided in local time and were pre-processed to ensure consistent variable coverage, derived parameter calculation, and temporal alignment.
To ensure both datasets were processed using identical radiometric and thermal assumptions, a unified pipeline was implemented in Python v3.11 (Python Software Foundation, Wilmington, DE, USA) using the pvlib library v0.10.5 (Sandia National Laboratories, Albuquerque, NM, USA) [43]. For Muscat, a Typical Meteorological Year (TMY) dataset was generated through PVGIS from a multi-year archive spanning 2005–2023 [41]. The TMY represents a synthetic typical year assembled by selecting, for each month, the most statistically representative observed month within that period, preserving realistic hourly variability (8760 records) while filtering inter-annual extremes. For Brighton, hourly data measured in 2019 from the UK Met Office MIDAS dataset (Met Office, Exeter, UK) were used as a representative single year.
Both datasets were harmonised to hourly resolution and processed through an identical pvlib-based workflow to ensure comparability in variable coverage and derived parameters. Solar geometry (zenith and azimuth) was computed using the NREL Solar Position Algorithm (SPA) [44]. Plane-of-array (POA) irradiance was computed using the isotropic transposition model implemented in the pvlib function irradiance.get_total_irradiance [45]. For each site, the tilt and azimuth angles were optimised using the L-BFGS-B algorithm [46], as implemented in the SciPy optimisation library v1.13.1 (SciPy Developers/NumFOCUS, Austin, TX, USA) [47], to maximise the annual plane-of-array irradiance and determine site-specific orientation while maintaining identical processing for both climates.

3.2.2. Solar Position and Irradiance Calculations

Solar position was computed using the Solar Position Algorithm (SPA) developed by NREL, with accuracy up to ±0.0003° [44]. When direct normal irradiance (DNI) was unavailable, the Dirint decomposition model was employed to estimate DNI and diffuse horizontal irradiance (DHI) from global horizontal irradiance (GHI). These calculations were used to determine plane-of-array irradiance and simulate solar energy input to the PV system [44].

3.2.3. PV System Performance Modelling

Photovoltaic power generation was modelled using the California Energy Commission (CEC) single-diode model implemented in pvlib-python [43,48]. This physically grounded model accounts for the relationship between irradiance, temperature, and the electrical behaviour of PV cells. The DC power output was calculated as shown in Equation (1) [49]:
P D C = N m I m p V m p
where N m Is the number of modules and I m p , V m p Are the current and voltage at the maximum power point. Cell temperature ( T c e l l ) was estimated using the Faiman model as shown in Equation (2) [49]:
T c e l l = T a m b i e n t + I P O A u 0 + u 1 v w i n d
In Equation (3), T a m b i e n t is the ambient air temperature (°C), I P O A is the plane-of-array irradiance (W/m2), and v w i n d is the wind speed (m/s). The empirical constants u 0 = 25.0 W/m2 and u 1 = 6.84 W/m3 K represent the combined effects of radiative, convective, and conductive heat losses from the module surface. PV orientation (tilt and azimuth) was optimised using the L-BFGS-B algorithm. However, the method may converge to local rather than global optima due to its bounded, gradient-based nature.

3.3. PEM Electrolyser Electrochemical Modelling

Cell Voltage Model

The electrolyser cell voltage was modelled as the sum of the thermodynamic reversible potential and additional voltage losses due to kinetic, ohmic, and mass transport effects, as well as degradation over time as expressed in Equation (3) [50]:
V c e l l = E r e v + η a c t + η o h m + η c o n c + η d e g
The reversible voltage E r e v was calculated via the Nernst equation, which accounts for temperature-dependent thermodynamic equilibrium and the partial pressures of hydrogen, oxygen, and water vapour [ P H 2 ,   P O 2 ,   P H 2 O ] , as shown in Equation (4) [50]:
E r e v = E 0 + R T 2 F ln P H 2 P O 2 P H 2 O
where E 0 is the standard potential at 25 °C, R is the universal gas constant (8.314 J mol−1 K−1), T is the absolute temperature (K), and F is Faraday’s constant (96,485 C mol−1).
Activation overpotentials, representing energy losses from the sluggish electrochemical reactions at the electrodes, were modelled using the symmetric Butler–Volmer inverse hyperbolic sine approximation, as given in Equation (5) [50]:
η a c t = R T α F sinh 1 i 2 i 0
where i is the current density, i 0 is the exchange current density, and α is the charge transfer coefficient.
Ohmic losses were calculated from temperature-dependent membrane resistance, as shown in Equation (6) [50]:
η o h m = i δ m e m σ T A
Thermal behaviour was modelled using a lumped thermal capacity model, as shown in Equation (7) [50]:
C t h d T d t = Q g e n Q l o s s Q u s e f u l
This model provides a first-order approximation and omits spatial temperature gradients. Here, C t h is the stack’s total thermal capacitance (J K−1), Q g e n the heat from overpotentials and resistive losses, Q l o s s the convective and radiative dissipation, and Q u s e f u l the heat absorbed by process streams. This first-order model assumes a uniform stack temperature, neglecting spatial gradients but enabling efficient estimation of transient thermal behaviour [24]. In the context of PEM electrolysers, this approach is especially relevant because stack-level temperature sensors typically measure only bulk temperatures, making spatially resolved thermal modelling impractical in most operational settings. By assuming a uniform stack temperature, the lumped capacity model can still capture the dominant thermal time constants that influence membrane hydration, catalyst activity, and degradation rates, parameters that are highly sensitive to the hot, stable conditions in Muscat and the cooler, variable conditions in Brighton. This simplification also aligns with the model’s focus on annual-scale degradation trends rather than fine-scale thermal gradients, which would require CFD-level resolution and far more computational resources.
The concentration overpotential η c o n c , caused by mass transport limits at high current densities, was modelled with an empirical logarithmic expression fitted to literature polarisation data for comparable PEMWEs [51].
A degradation overpotential, η d e g was introduced to represent gradual voltage losses arising from catalyst deactivation, membrane thinning, and interfacial resistance growth. The rate constants were taken from long-term literature studies and scaled to each simulation’s operating profile [24].
The model couples ambient temperature to stack temperature through the lumped-thermal-capacity formulation but does not include an explicit water-management or membrane-hydration sub-model. Instead, hydration effects are implicitly represented through the temperature-dependent proton conductivity term σ(T). This approach captures first-order thermal–electrochemical coupling while omitting detailed humidification control, which is addressed in the limitations section.

3.4. Degradation Modelling Framework

Three main degradation mechanisms were modelled: catalyst layer degradation, membrane thinning, and interfacial resistance increase. Catalyst degradation, loss of electrochemically active surface area (ECSA) due to catalyst dissolution, agglomeration, or detachment. This was represented by a first-order decay relationship, as shown in Equation (8):
d E C S A d t = k c a t E C S A f T , i , ϕ
where k c a t is the degradation constant, and f T , i , ϕ captures stress effects from temperature, current density, and potential cycling amplitude. This is supported by population balance–style models of catalyst degradation that correlate voltage cycling with ECSA decline [52]. Accelerated stress tests under high-potential cycling exhibit exponential ECSA decay trends that align with the first-order decay assumption in your model [53]. Finally, theoretical degradation modelling using ODE frameworks under cycling stress shows how degradation rates scale with temperature and potential range, conceptually matching your model’s stress dependency [54].
Membrane thinning was modelled as:
d δ m e m d t = k m e m g i , T , t c y c l e
where k m e m is the membrane degradation constant, and g i , T , t c y c l e accounts for stress from operational cycling, elevated temperature, and high current density [23].
Interfacial resistance growth, manifested as increased ohmic overpotential due to catalyst–membrane microstructural degradation under variable operation, is implicitly captured via a gradual increase in ohmic losses. Empirical observations show that intermittent PV-mode cycling significantly accelerates performance decline in PEM systems [31]. Higher cycling frequencies and upper potential stress further amplify degradation rates [55]. Importantly, variable load operation has been shown to disrupt catalyst film stability and electronic conductivity at the interface, underscoring the physical plausibility of incorporating degradation as a function of operational variability and cycling intensity [56].
The effective degradation rate is thus treated as a superposition of baseline wear and variability-induced stress. This allows the framework to capture the compounding effect of environmental intermittency on intrinsic ageing mechanisms without overfitting to any single degradation pathway.
k e f f e c t i v e = k b a s e 1 + f c y c l i n g C V N d a i l y
where C V is the coefficient of variation in PV power output and N d a i l y is the average daily cycle count.
The present framework represents catalyst decay, membrane thinning, and interfacial resistance growth as independent, parallel degradation processes that contribute additively to voltage losses and efficiency decline. Interactions among these mechanisms such as membrane thinning leading to increased hydrogen crossover, reduced Faradaic efficiency, or localised heating are not explicitly modelled. This simplification allows long-term, hourly resolution simulations while maintaining numerical stability. The absence of such coupled, Multiphysics feedback is acknowledged as a limitation of the current model.

3.5. Solar Intermittency Quantification

Solar intermittency was analysed using three metrics. The coefficient of variation (CV) of power output, as defined in Equation (11), quantified the overall variability [57]:
C V = σ μ
where σ is the standard deviation and μ is the mean of the PV output time series. The daily cycling count, N c y c l e s , d a i l y , was estimated from power transition events, adjusted using empirically determined parameters. A power duration curve (PDC) was also constructed to understand the frequency distribution of output levels across the year.

3.6. Model Validation and Uncertainty Analysis

Validation was performed by comparing the simulation outputs against literature data for polarisation curves and degradation rates. Three experimental datasets were used: (i) polarization curves measured at 60 °C and 80 °C from the Aalborg laboratory dataset, (ii) voltaic-efficiency data at 80 °C and 100–500 mA cm−2, and (iii) temperature-dependent degradation rates (2.5–14 µV h−1 between 60 and 80 °C) compiled from long-term literature studies. The accuracy was evaluated using Mean Absolute Error (MAE), Root Mean Square Error (RMSE), and coefficient of determination (R2), as defined in Equation (13). A five-fold cross-validation (k = 5) was also employed [58]:
C V s c o r e = 1 k i = 1 k S c o r e T e s t i , M o d e l i
The degradation constants used in the model— k c a t ≈ 3 × 10−5 h−1 for catalyst activity loss, k m e m ≈ 1 × 10−5 h−1 for membrane thinning, and k i n t ≈ 2 × 10−5 h−1 for interfacial resistance growth—were selected based on values reported in PEM electrolyser ageing literature. Studies such as refs. [59,60] have quantified catalyst-related voltage degradation in the range of 10–15 µV/h, corresponding to first-order decay constants around 10−5 h−1·m [61,62]. These constants align with experimentally validated lifetime trends under baseload and intermittent conditions and were applied uniformly to maintain comparability across climates.
The referenced degradation-rate studies were conducted in single-cell or short-stack PEM water-electrolysis systems under elevated temperature (typically 60–80 °C) and moderate to high current density (ca. 0.5–1.5 A cm−2). While pressure levels and exact load profiles vary, the conditions are broadly comparable to the modelled case.
Three significant limitations were acknowledged. First, the validation dataset does not represent the full range of operating conditions modelled, as industry data often demands tightly controlled conditions, which are not realistic in situ [63]. Second, the degradation framework relies on previously published parameterisations rather than newly validated data, which limits its accuracy under untested conditions [64]. Third, the available validation studies were limited to short-term experiments, typically below 1000 h of operation, which constrains confidence in extending model predictions to multi-year operation. For context, ref. [65] reported less than 1% degradation over 1000 h in a solid oxide electrolyser cell (SOEC), illustrating that comparable-duration stability tests exist in other electrolyser technologies. However, such long-term, technology-specific validation data remain scarce for PEM systems, underscoring the need for extended empirical testing to support predictive modelling.

3.7. Comparative Performance Analysis

Simulation outputs from both locations were compared in terms of hydrogen production efficiency, capacity factor, and degradation rate. Energy conversion efficiency, as shown in Equation (13), was calculated as the ratio of hydrogen high heating value (HHV) to total PV input [66]:
η H 2 = E H 2 , H H V E P V , t o t a l
Statistical comparisons were made using two-sample t-tests for normally distributed data, and Mann–Whitney U tests for non-parametric distributions. Significance was evaluated at a threshold of α = 0.05, following standard engineering practice [40].

3.8. Assumptions and Methodological Limitations

The model assumes uniform irradiance and temperature across the PV array and stack. Electrochemical behaviour is simplified using ideal kinetics and gas behaviour. Water supply quality is assumed constant and ultrapure. The degradation model is empirical and does not account for all possible mechanisms. There is no modelling of gas crossover, power electronics, or auxiliary systems.
The model couples ambient temperature with stack temperature through the lumped-thermal-capacity formulation but does not include an explicit water-management or membrane-hydration sub-model. Instead, hydration effects are implicitly represented through the temperature-dependent proton conductivity term σ(T). This approach captures first-order thermal–electrochemical coupling while omitting detailed humidification control, which is further discussed in the limitations section [55,67].
The UK temperature data, derived from monthly averages, further limits accuracy. Despite these constraints, the framework offers valuable insight into the long-term effects of solar variability on electrolyser operation.

3.9. Computational Implementation

All simulations were developed in Python using NumPy v1.26.4 (NumPy Developers/NumFOCUS, Austin, TX, USA), Pandas v2.0.3 (pandas Development Team/NumFOCUS, Austin, TX, USA), SciPy, and pvlib-python. Simulations were performed on an hourly basis over one year per site. Object-oriented programming was used to enable modularity and reusability of code. The L-BFGS-B optimisation algorithm was applied for PV tilt and orientation. All data preprocessing, modelling routines, and post-processing are fully documented for reproducibility [43].

4. Results

This section presents a comparative simulation of Proton Exchange Membrane (PEM) electrolyser performance powered by solar photovoltaic (PV) systems in two contrasting climates: Brighton, United Kingdom (temperate-maritime), and Muscat, Oman (hot-arid). Simulations were run for 8760 h per site using Python-based models incorporating PV-orientation optimisation, thermally coupled electrochemical formulations, and degradation-aware frameworks. The analysis spans hydrogen production, electrolyser efficiency, component degradation, and the influence of solar intermittency on long-term performance.
The discussion refers to Figure 3, Figure 4, Figure 5, Figure 6 and Figure 7, which collectively illustrate system performance and hydrogen yield (Figure 3), efficiency and loading characteristics (Figure 4), component degradation behaviour (Figure 5), model validation against experimental data (Figure 6), and temperature-sensitivity analysis of degradation parameters (Figure 7).
One of the primary aims of this study was to understand how solar intermittency affects PEM electrolyser performance and degradation. This section, therefore, connects performance indicators to irradiance variability and explores how real-world environmental factors shape operational outcomes. These results also validate key hypotheses from the literature (Section 2), bridging empirical observations with simulation-based insights and offering a grounded understanding of climatic influence on PEM electrolyser reliability and durability.

4.1. Hydrogen Production and Operating Hours

Muscat outperformed Brighton in total hydrogen yield, generating approximately 14,018 kg compared to Brighton’s 7566 kg. This aligns with the literature, which emphasises the benefits of stable and high irradiance levels for renewable-powered hydrogen systems [2,29,30]. The difference in operational hours (3269 in Muscat vs. 2244 in Brighton) further confirms the sensitivity of PEM systems to irradiance availability. As shown in Figure 3a,c, Muscat maintained more consistent hydrogen production, whereas Brighton experienced erratic monthly outputs due to seasonal fluctuations and frequent overcast conditions.
In Brighton, the high average daily cycling frequency (4.85 cycles/day) reflects the impact of solar intermittency. This cycling behaviour, visualised in Figure 3b, contributes significantly to operational inefficiencies and mechanical stress, corroborating findings that frequent on/off transitions amplify membrane fatigue and increase the likelihood of performance loss over time [16].

4.2. Solar Availability and PV Performance

Muscat’s superior solar resource availability, captured in a total annual energy yield of 985 MWh versus Brighton’s 512 MWh, translates directly to higher hydrogen output. This difference, emphasised in Figure 3a,b, underscores the importance of PV siting in system planning [5]. Yet, Muscat’s PV-to-H2 conversion efficiency was paradoxically lower as shown in Figure 4c, a phenomenon rooted in elevated operating temperatures. Nafion membrane conductivity diminishes with temperature-induced dehydration, while overpotentials rise due to intensified electrochemical losses. These effects are illustrated in Figure 5 and affirm earlier work by [15].

4.3. Electrolyser Efficiency and Load Dynamics

Brighton exhibited a higher average electrolyser efficiency (65.8%) compared to Muscat (59.8%), as shown in Figure 4a. Although this appears counterintuitive given Muscat’s superior annual solar resource, it algns with the well-established relationship between membrane hydration, proton conductivity, and ohmic overpotentials in PEM electrolysers. Cooler, more humid conditions in Brighton promoted consistent membrane hydration, sustained proton conductivity, and lower ohmic losses. In contrast, Muscat’s hot and arid climate encouraged membrane dehydration, which ref. [22] identify as a key factor driving increased internal resistance, via structural changes in perfluorosulfonic acid membranes, loss of hydrophilic domain connectivity, and reduced ionic mobility. They also highlight that high operating temperatures accelerate catalyst layer drying, generate mechanical stress through swelling and shrinkage, and foster irreversible polymer degradation, factors that degrade performance over time despite initial kinetic benefits. Collectively, these effects likely negate Muscat’s irradiance advantage, resulting in lower average efficiency across the year.
Figure 4a presents the seven-day rolling average of electrolyser efficiency for Brighton and Muscat. This smoothing highlights medium-term operational trends by filtering out high-frequency noise due to transient cloud cover and rapid irradiance fluctuations. A seven-day window was selected based on established PV-system smoothing techniques, such as those used by Sandia National Laboratories to generate reference signals in battery-backed systems, because it balances noise suppression with preservation of meaningful climatic variations [68]. The efficiency curves reveal that Brighton maintained consistently higher efficiency than Muscat throughout the year, with even the smallest daily efficiency gap exceeding 1%.
Turning to the histogram in Figure 4b, it is clear that Brighton more frequently operated under partial-load conditions. Literature supports that cyclic or partial-load operation can accelerate degradation in electrolyser systems, primarily by increasing stress in catalyst layers and membranes [31]. However, the severity of degradation depends strongly on ambient and operational conditions. In cooler, lower-irradiance environments like Brighton, the thermal and electrochemical stress per cycle is likely diminished even if partial-load cycles are more frequent. Thus, lower ambient temperatures and reduced current densities may moderate the mechanical and thermal stresses typically associated with frequent load changes.
Diurnal output patterns (Figure 4d) reinforce Brighton’s higher operational variability compared to Muscat’s more stable profile. Yet, the net degradation outcome depends on the balance between load-cycling intensity and environmental amelioration. Additionally, the temperature-efficiency correlation (Figure 4c) supports the thermodynamic model in Section 2, indicating that hydration-controlled ohmic losses remain the principal determinant of long-term performance trends.

4.4. Degradation Behaviour and Component Wear

A key indicator of electrolyser performance is the degradation rate, expressed in microvolts per hour (μV/h). This metric quantifies the average rate of increase in cell voltage over time due to losses in catalyst activity, membrane resistance, and interfacial contact. Higher degradation rates signal faster performance decay and reduced long-term viability.
Muscat’s harsher operational environment produced a degradation rate of 359.84 μV/h, nearly 50% higher than Brighton’s 231.37 μV/h. As shown in Figure 5a, the simulated annual membrane thinning rates of 0.503% for Brighton and 0.932% for Muscat lie within the 0.25–2.5% yr−1 range reported in the literature for total PEM electrolyser stack degradation in long-term operational studies [64]. Although this range reflects overall stack performance decline, membrane deterioration arising from PFSA thinning, radical-induced chemical attack, and mechanically driven crack propagation has been identified as a major contributor to these losses [55]. The higher membrane degradation rate in Muscat aligns with well-established evidence that hot, arid climates accelerate dehydration-induced brittleness and crack formation, leading to reduced conductivity and chemical breakdown of the membrane backbone. For instance, Nafion membranes tested under low-humidity conditions displayed increased brittleness and backbone unzipping, indicative of accelerated chemical ageing [69]. These effects are further exacerbated by the combined thermal, mechanical, and chemical degradation pathways characteristic of PFSA membranes under harsh environmental conditions [70]. In contrast, Brighton’s cooler and more humid climate supports consistent membrane hydration and mechanical stability, mitigating such degradation pathways.
Catalyst layer degradation in Muscat was significantly more pronounced, approximately 8.3%, due to high current densities and hot-start cycles, as visualised in Figure 5b. In Brighton, lower current densities and more frequent system idling helped limit catalyst loss, albeit at the expense of reduced productivity.
Cumulative internal resistance increase, exceeding 20,000 μΩ in Muscat (Figure 5d), further illustrates the mechanical degradation of porous transport layers (PTLs) and erosion of bipolar plates. Instantaneous degradation rate spikes (Figure 5c) were linked to rapid power transitions and confirm findings by [71].

4.5. Effects of Solar Intermittency on Performance and Degradation

Solar intermittency emerged as a decisive factor shaping both performance metrics and degradation pathways. In Brighton, intermittent irradiance resulted in unstable load profiles and frequent cycling across idle, ramp-up, and shutdown states. This operational volatility produced compound stresses, including thermal cycling, hydration-dehydration swings, and voltage overshoots, all known accelerants of PEM failure modes [5,16]. However, the severity of these accelerants depends on both the magnitude of operating extremes and the stack’s ability to maintain stable thermal and hydration conditions between cycles, which can differ significantly between climates.
During low-irradiance conditions, as captured in Figure 3 (bottom-right), the electrolyser operated under non-ideal load points, where high cell voltages were maintained despite limited hydrogen production. This not only reduced efficiency but also increased ohmic and activation losses, reflected in localised hot spots and greater internal resistance.
Partial load operation was frequent in Brighton (see Figure 3, top-right), leading to spatially uneven water transport and localised membrane dry-out. These effects are known to promote crack propagation and delamination in reinforced membranes. In contrast, Muscat’s more stable irradiance allowed for prolonged operation at or near design-point conditions, enabling better thermal equilibrium and less frequent electrochemical stress transitions.
The degradation data strongly reinforce that solar intermittency is not merely a productivity issue, but a fundamental stressor that limits component lifetime and reliability. These findings validate simulation frameworks such as those developed by [9,31], confirming that performance degradation is not solely a function of cumulative hours but is critically shaped by the variability and transience of input power.
If PV capacity were intentionally oversized, e.g., by 50% relative to the nominal electrolyser power, this could help meet early-morning and late-evening demand more consistently and reduce midday electrolyser down-cycling due to irradiance dips. For instance, a techno-economic study found that oversizing dedicated PV or wind supply by 1.5× increased the time the electrolyser could run at full load, improving capacity factor and reducing the overall hydrogen cost by up to 10% [72]. Such strategies, however, come with higher upfront capital costs that must be balanced against improved operational continuity and techno-economic benefits.

4.6. Model Validation

The simulation model successfully reproduced behaviours reported in empirical, physics-based, and degradation-aware studies discussed in Section 2.3:
  • The polarisation characteristics match those derived by ref. [32].
  • Thermal and load-efficiency behaviours replicate trends observed in the dynamic Bond Graph models by ref. [29].
  • Degradation trends closely follow time-dependent frameworks by ref. [33], offering strong validation of model robustness.
Together, these alignments suggest the simulation tool developed is sufficiently mature to predict multi-factorial degradation over annual timeframes, supporting its utility for techno-economic planning and performance forecasting as shown in Figure 6.

4.7. Trade-Offs Between Productivity and Durability

This study highlights a fundamental engineering dilemma: maximising productivity versus preserving durability. Muscat’s high irradiance allowed for nearly double the hydrogen output compared to Brighton, but incurred faster material degradation. Brighton’s moderate climate preserved electrolyser components more effectively but constrained output.
Such trade-offs, already noted by [17,35], indicate a need for innovative operation strategies, such as real-time ramp rate control, power buffering, or hybrid PV-battery inputs to balance degradation risk against yield maximisation.
The simulation fills a significant gap in existing literature by offering a full-stack, one-year simulation of PEM electrolyser operation under real solar conditions, directly comparing two contrasting geographies. This contributes to a rare dataset for validating ageing models and reinforces the necessity of climate-specific design. Table 4 shows a summary of results.
These durability differences carry clear economic implications. Faster stack degradation in high-irradiance climates shortens the effective system lifetime and thus raises the levelised cost of hydrogen (LCOH) by increasing the frequency and cost of stack replacement. For example, ref. [64] show that shorter operational lifetimes and higher replacement costs increase LCOH when compared to longer-lived systems. Conversely, extended durability in cooler, more variable-irradiance climates reduces stack replacement frequency and thus lowers long-term capital expenditure, but this comes at the cost of lower annual hydrogen output and capital utilisation. The result is a clear trade-off: high-yield environments maximise productivity but at higher degradation and LCOH risk, whereas lower-yield but longer-life deployment lowers replacement costs but increases the cost per kg due to lower throughput. These dynamics underline that system design and site choice must balance upfront productivity with long-term durability to optimise hydrogen economics.

4.8. Temperature Gradient Sensitivity Analysis

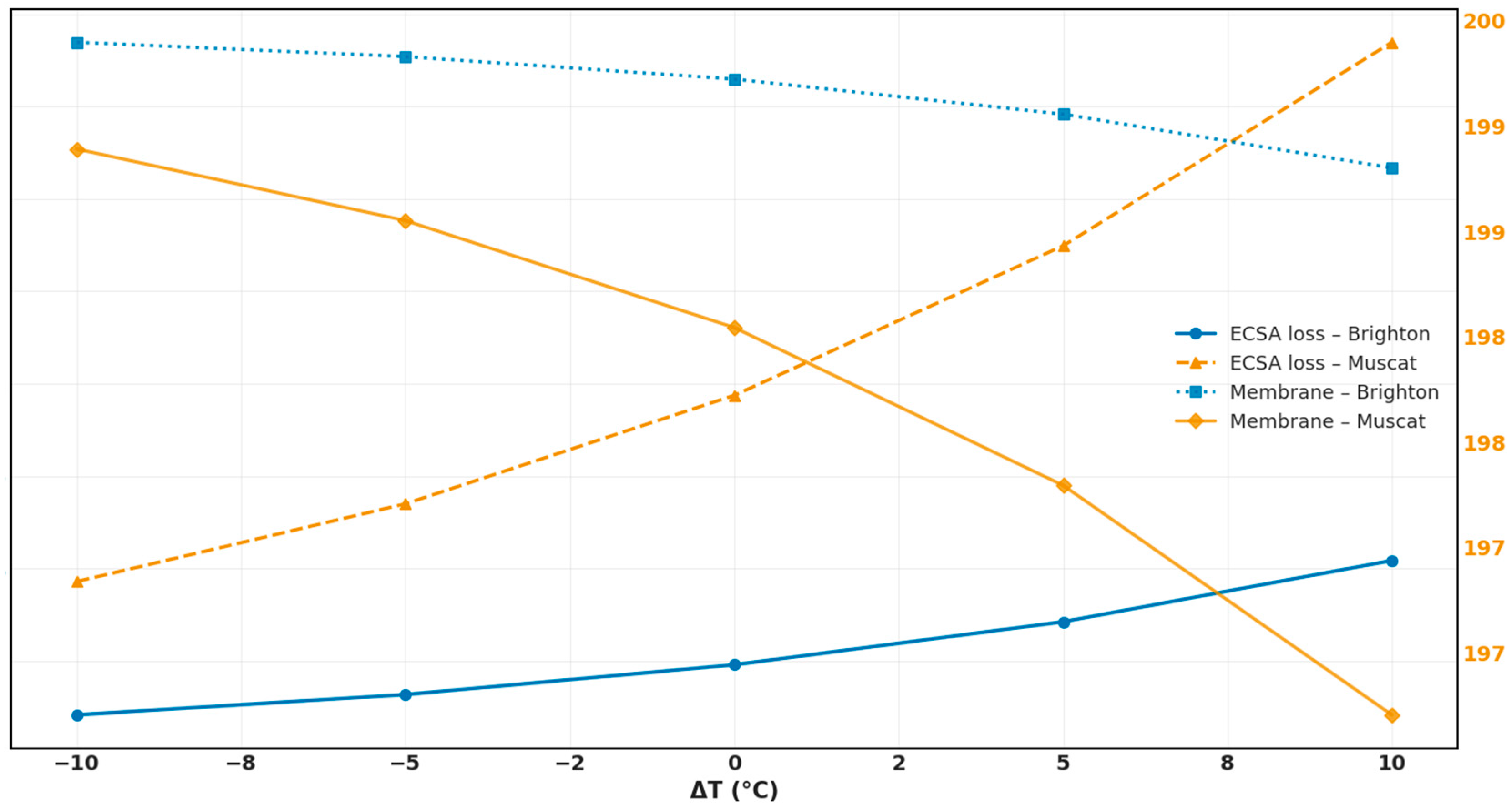
To evaluate the robustness of the uniform-temperature assumption, a sensitivity analysis was performed by perturbing the stack’s mean temperature by ±10 K around nominal operation for both locations. The results (Figure 7) show a clear Arrhenius-type trend: higher temperatures accelerate the modelled degradation rates, while cooler operation slightly reduces ageing but increases ohmic resistance due to lower proton conductivity.
For the temperate site (Brighton), ECSA loss increased from 0.08 to 0.42 and membrane thickness declined from 199.9 µm to 199.3 µm across the ±10 °C range. In the hotter site (Muscat), the same perturbation produced larger responses, with ECSA loss rising from 0.37 to 1.54 and membrane thickness decreasing from 199.4 µm to 196.7 µm.
These results demonstrate that, within the scope of the present reduced-order model, moderate temperature deviations mainly scale the rate of degradation captured by the existing empirical correlations. Because the framework does not include coupled thermal–hydration feedbacks or alternative chemical pathways, it cannot determine whether higher temperatures might activate additional mechanisms. The implications of this simplification are discussed under Study Limitations.

4.9. Study Limitations

Despite the depth of simulation and multi-faceted model integration, several limitations must be acknowledged. Firstly, the degradation models employed were based on empirical formulations from literature and did not account for all complex physico-chemical interactions such as gas crossover, catalyst poisoning, or flow maldistribution [16]. These are relevant for stack-scale operation and may lead to an underestimation of degradation severity. Furthermore, no sensitivity analysis was conducted on the selected degradation rate constants, meaning the uncertainty in these parameters and its impact on long-term performance predictions was not quantified.
In addition, the model treats catalyst decay, membrane thinning, and interfacial resistance growth as independent, parallel processes that contribute additively to efficiency decline. Interactions between these degradation mechanisms, such as membrane thinning increasing hydrogen crossover, reducing Faradaic efficiency, or intensifying local heating were not explicitly modelled. This simplification follows the approach of previous lumped or reduced-order PEMWE models, which omit Multiphysics coupling to maintain numerical stability and computational tractability [15,16,24,55]. The absence of such coupled feedback is acknowledged as a limitation that could affect long-term degradation realism, particularly under highly dynamic solar operation.
The model assumes a spatially uniform stack temperature. While the ±10 K sensitivity test quantified how overall degradation indicators respond to thermal deviations, it does not resolve intra-stack temperature gradients or their coupling with membrane hydration and catalyst activity. Therefore, it cannot evaluate whether new degradation pathways might emerge under localized hot spots.
Secondly, the use of averaged monthly temperature data for the UK limited the precision of thermal modelling in Brighton, potentially affecting performance estimation and degradation dynamics. Additionally, assumptions of ultrapure water and stable membrane properties overlook real-world contaminants and variabilities in membrane material behaviour [23].
Third, the coupling between PV output and electrolyser input did not include power electronics, battery buffering, or operational control dynamics such as maximum power point tracking and ramp-rate limits, which in real systems can smooth fluctuations, affect transient behaviour, and mitigate degradation effects. The absence of techno-economic analysis, including system cost, Levelized Cost of Hydrogen (LCOH), and replacement schedules, also limits the applicability of decision-making.
A further limitation arises from the use of different meteorological data types: Brighton’s dataset represents actual observations for 2019, while Muscat’s dataset is a Typical Meteorological Year (TMY) derived from 2005 to 2023. This introduces potential bias, as a single year may not fully reflect long-term climate variability. To mitigate this, the Brighton dataset was quality-checked for completeness, and simulation outputs were interpreted with caution, acknowledging that inter-annual variability could alter the comparative results. In addition, both PVGIS and NREL datasets carry inherent uncertainties related to satellite-derived irradiance retrievals [42], ground-station measurement errors, and reanalysis model biases, which may propagate into the simulation results.
Moreover, the use of hourly irradiance data introduces a temporal averaging that smooths short-term PV power fluctuations. As a result, second-to-minute transients such as rapid voltage spikes, membrane hydration and dehydration cycles, and brief load reversals are not explicitly resolved. These events can cause additional electrochemical and thermal stress, which may accelerate local ageing. Similar observations ref. [27] highlighting that dynamic instability and durability degradation under fluctuating solar input remain key challenges in PV-driven electrolyzer systems. The model may therefore slightly underestimate total degradation compared with a fully dynamic simulation. However, the study focuses on long-term climate-driven performance and degradation trends over annual operation, so hourly resolution remains appropriate for this scope.
Finally, validation was restricted to literature-reported benchmarks, without access to long-term experimental degradation data exceeding 1000 h. Therefore, while the model was applied over an annual timescale, its long-term accuracy beyond the validated experimental duration remains uncertain.

4.10. Recommendations for Future Research

Future work should focus on extending the operational timeframe to multi-year horizons with improved degradation tracking, particularly using experimentally validated, physics-based degradation models. Integrating real-time irradiance data with hourly temperature, humidity, and wind speed inputs would improve the accuracy of thermal and hydration simulations.
Practical mitigation strategies are recommended to address solar-driven and electrochemical stress: (1) improved stack cooling (for example, active fluid cooling or heat-pipe integration) to manage elevated cell temperatures and mitigate membrane thinning or hotspot formation; (2) active humidification control and water–management systems to maintain optimal membrane hydration and limit degradation due to dehydration or flooding; (3) hybrid PV-battery buffering or power-electronics smoothing to dampen short-term load fluctuations, reduce frequent ramping and start/stop cycles, and thereby minimize cycling-induced degradation. Ref. [73] shows that dynamic control and thermal regulation can reduce degradation rates by up to ~70% under intermittent operation. Including battery storage or supercapacitor systems in the PV-electrolyser coupling model is highly recommended to investigate the effectiveness of smoothing strategies on mitigating degradation.
Moreover, experimental testing of novel materials such as hydrocarbon membranes, high-entropy oxides, or single-atom catalysts, under fluctuating solar input would provide critical insight into their practical stability and longevity. Field validation campaigns in diverse climatic zones would further enhance model accuracy and support site-specific optimisation.
Finally, incorporating economic evaluation (LCOH, CAPEX/OPEX, system lifetime) would allow for techno-economic comparisons and better support policy decisions for green hydrogen deployment.

5. Conclusions

This research has examined, through an integrated physics-based simulation, how solar intermittency and climate conditions influence both the performance and degradation of proton exchange membrane (PEM) electrolysers in direct-coupled PV configurations. The comparative case study of Muscat, Oman, and Brighton, UK, has made it clear that location-specific conditions strongly shape the trade-off between hydrogen yield and stack lifetime.
The findings are decisive. Muscat’s high and relatively stable solar irradiance supported an annual hydrogen production of 14,018 kg, almost double Brighton’s 7566 kg, driven by a higher annual energy yield (985 MWh versus 512 MWh) and longer operational hours (3269 h compared with 2244 h). However, this greater output was accompanied by faster component wear: membrane thinning reached 0.932% over the year, catalyst layer degradation was around 8.3%, and the mean degradation rate was 359.84 μV/h, nearly 50% higher than Brighton’s 231.37 μV/h.
By contrast, Brighton’s cooler, more humid climate preserved electrolyser efficiency (65.8% against Muscat’s 59.8%) and limited membrane wear to 0.503%, but its higher daily cycling frequency (4.85 cycles/day) and more frequent partial-load operation restricted total output. Seasonal variability was also a more significant factor in Brighton, with winter production falling to less than a third of summer output.
Model validation against polarisation curves, thermal-efficiency correlations, and degradation trends from the literature showed good agreement, despite some limitations in input data, notably the use of averaged monthly temperatures for the UK case. This lends confidence to the conclusion that the productivity–durability trade-off is unavoidable under the conditions modelled: high-irradiance climates maximise yield at the expense of stack life, whereas temperate but variable climates extend stack life at the cost of reduced production.
For practical deployment, the implication is unambiguous: PEM electrolyser operation must be optimised to its specific climate. In hot, stable environments like Muscat, thermal and hydration management would be essential to slow degradation, while in cooler, intermittent conditions like Brighton, smoothing strategies, even modest ones, could improve annual yield without sacrificing durability.
This work contributes both a validated, location-sensitive modelling framework and a quantified dataset that can be applied to techno-economic assessments of renewable-powered hydrogen production. The results underline that treating all climates with the same operating strategy will either shorten lifetime or under-deliver on hydrogen output, and that balance can only be struck with climate-specific design and control.

Author Contributions

Conceptualization, M.A.-M. and A.G.; methodology, M.A.-M.; software, M.A.-M.; validation, M.A.-M. and A.G.; formal analysis, M.A.-M.; investigation, M.A.-M.; resources, A.G.; data curation, M.A.-M.; writing, original draft preparation, M.A.-M.; writing, review and editing, M.A.-M. and A.G.; visualization, M.A.-M.; supervision, A.G.; project administration, M.A.-M. and A.G.; funding acquisition, A.G. All authors have read and agreed to the published version of the manuscript.

Funding

This research received no external funding.

Data Availability Statement

Data will be available upon request to corresponding author.

Acknowledgments

For the purpose of open access, the author has applied a Creative Commons Attribution (CC BY) licence to any Author Accepted Manuscript version arising from this submission.

Conflicts of Interest

The authors declare no conflicts of interest.

Abbreviations

The following abbreviations are used in this manuscript:
PEMProton Exchange Membrane
PEMWEProton Exchange Membrane Water Electrolyser
PVPhotovoltaic
RESRenewable Energy Sources
ECSAElectrochemical Surface Area
HFRHigh-Frequency Resistance
MPPTMaximum Power Point Tracking
LCOHLevelized Cost of Hydrogen
EISElectrochemical Impedance Spectroscopy
TMYTypical Meteorological Year
NRELNational Renewable Energy Laboratory
PVGISPhotovoltaic Geographical Information System
DCDirect Current
ACAlternating Current

Appendix A

Appendix A.1

Table A1. Physical constants used in the model.
Table A1. Physical constants used in the model.
SymbolValueUnitsSource/Notes
F96,485C·mol−1Faraday constant
R8.314J·mol−1·K−1Universal gas constant
H H V H 2 39.4kWh·kg−1Higher heating value of hydrogen
M H 2 0.002016kg·mol−1Molecular mass of hydrogen

Appendix A.2

Table A2. Parameters for the reference PV system configuration.
Table A2. Parameters for the reference PV system configuration.
ParameterValueUnitsNotes
Nominal DC capacity1.0MWReference plant size
Module modelJinko JKM410M-72HL-VRepresentative mono PERC
Inverter modelPVWattsEfficiency: 96%
Thermal loss coefficientsu0 = 25.0, u1 = 6.84NOCT-type
Array layout162 strings × 20 modules1 MWp scale
Optimisation boundsTilt ≈ latitude; azimuth southLocation-specific

Appendix A.3

Table A3. Stack configuration and operating limits.
Table A3. Stack configuration and operating limits.
ParameterValueUnitsNotes
Stacks in system20Parallel configuration
Cells per stack100Series connection
Active cell area0.01m2100 cm2
Operating temp. range0–80°CModelled limits
Initial membrane thickness200µmBaseline
Anode pressure1bar
Cathode pressure30bar
Thermal mass2.40 × 105J·K−1Stack + coolant lumped mass
Heat transfer coefficient500W·K−1To ambient

Appendix A.4

Table A4. Electrochemical and transport parameters used in the model at different operating temperatures.
Table A4. Electrochemical and transport parameters used in the model at different operating temperatures.
Parameter40 °C60 °C80 °CUnitsNotes
Anode transfer coefficient (αₐ)0.42930.44180.4535
Cathode transfer coefficient (αc)0.30780.3260.3429
Exchange current density (anode)1.69 × 10−31.99 × 10−32.35 × 10−3A·cm−2
Exchange current density (cathode)9.94 × 10−31.12 × 10−21.25 × 10−2A·cm−2
Proton conductivity0.08740.08890.0896S·cm−1Nafion-like PEM surrogate

Appendix A.5

Table A5. Parameters used for concentration and ohmic loss models.
Table A5. Parameters used for concentration and ohmic loss models.
ParameterValueUnitsNotes
Limiting current density1500A·m−2Concentration loss
Diffusion loss coefficient0.05VScales diffusive term
Fixed conc. overpotential0.05VAdded loss term
Reference current100AFor degradation scaling

Appendix A.6

Table A6. Balance of Plant (BoP) assumptions used in system-level calculations.
Table A6. Balance of Plant (BoP) assumptions used in system-level calculations.
ParameterValueUnitsNotes
Water consumption10L·kg−1 H2Includes process and rinse water
Compression energy3.3kWh·kg−1 H2To reach 30 bar storage pressure
H2 volume at STP11,126L·kg−1Reference only (0 °C, 1 atm)

Appendix A.7

Table A7. Empirical degradation parameters used in the simulation.
Table A7. Empirical degradation parameters used in the simulation.
ParameterValueUnitsDescription
kcat,a5 × 10−5h−1Anode catalyst activity decay
kcat,c5 × 10−5h−1Cathode catalyst activity decay
kmem1 × 10−9m·h−1Membrane thinning rate
kint1 × 10−6Ω·h−1Interfacial contact resistance growth
kR2 × 10−6Ω·h−1Bulk ohmic drift
Mechanical stress increment2.54 × 10−8Stress increase per load cycle
Membrane chemical degradation parametersA = 2.5 × 10−9;
Eₐ = 72 kJ·mol−1;
α = 1.5;
Vref = 1.48 V
Arrhenius-based expression
Voltage drift coefficients(kt = 1 × 10−7),
(kH2 = 1 × 10−9),
(kv = 1 × 10−8)
VLong-term voltage degradation

Appendix A.8

The Faradaic efficiency of the electrolyser was modelled using an empirical relation that accounts for current density and gas crossover effects:
η F = 96.5 e 0.09 i 75.5 i 2 1 f cross
where i is the current density (A·cm−2) and f cross represents the fraction of hydrogen lost due to crossover through the membrane.

Appendix A.9

Thermal energy generation and dissipation were modelled through three coupled equations:
Q g e n = I V c e l l 1.48 N c e l l s
Q l o s s = h A s t a c k T T a m b
Q u s e f u l = Δ H n H 2
where:
Q g e n , total heat generated in the stack (J·s−1),
Q l o s s , convective and radiative losses to the environment,
Q u s e f u l , enthalpic component corresponding to hydrogen production,
h , heat transfer coefficient (W·K−1),
A s t a c k , external surface area of the stack (m2),
T , stack temperature (K),
T a m b , ambient temperature (K).

Appendix A.10

Physical constants: Derived from [74] standard values.
Electrochemical parameters: Averaged from experimental PEMWE studies operating between 40–80 °C.
Degradation rates: Calibrated to match long-term ageing trends in the literature (typical 100–400 μV·h−1 drift range).
PV array configuration: Scaled from a commercial 1 MWp utility installation and adjusted for Oman/UK irradiance profiles.
Loss and BoP assumptions: Informed by techno-economic and LCA-based hydrogen system models reported in the literature.

References

  1. Akpasi, S.O.; Smarte Anekwe, I.M.; Tetteh, E.K.; Amune, U.O.; Mustapha, S.I.; Kiambi, S.L. Hydrogen as a Clean Energy Carrier: Advancements, Challenges, and Its Role in a Sustainable Energy Future. Clean Energy 2025, 9, 52–88. [Google Scholar] [CrossRef]
  2. Shiva Kumar, S.; Himabindu, V. Hydrogen Production by PEM Water Electrolysis—A Review. Mater. Sci. Energy Technol. 2019, 2, 442–454. [Google Scholar] [CrossRef]
  3. Li, A.; Ghosh, A. Analysis of Floating Photovoltaics Potential in Hong Kong: Green Hydrogen Production and Energy Application. Int. J. Hydrogen Energy 2025, 181, 151567. [Google Scholar] [CrossRef]
  4. Ghosh, A. Solar-Powered Electric Vehicles-Battery EV & Fuel Cell EV: A Review. Energy 360 2025, 4, 100039. [Google Scholar] [CrossRef]
  5. Nguyen, E.; Olivier, P.; Péra, M.-C.; Pahon, E.; Roche, R.; Lefranc, O.; Claudel, F. Impact of Short-Term Intermittent Operation on Experimental Industrial PEM and Alkaline Electrolyzers. Int. J. Hydrogen Energy 2025, 126, 516–530. [Google Scholar] [CrossRef]
  6. Endrődi, B.; Trapp, C.A.; Szén, I.; Bakos, I.; Lukovics, M.; Janáky, C. Challenges and Opportunities of the Dynamic Operation of PEM Water Electrolyzers. Energies 2025, 18, 2154. [Google Scholar] [CrossRef]
  7. Hussain, S.N.; Ghosh, A. Techno-Economic Evaluation of a Floating Photovoltaic-Powered Green Hydrogen for FCEV for Different Köppen Climates. Hydrogen 2025, 6, 73. [Google Scholar] [CrossRef]
  8. Eikeng, E.; Makhsoos, A.; Pollet, B.G. Critical and Strategic Raw Materials for Electrolysers, Fuel Cells, Metal Hydrides and Hydrogen Separation Technologies. Int. J. Hydrogen Energy 2024, 71, 433–464. [Google Scholar] [CrossRef]
  9. Papakonstantinou, G.; Algara-Siller, G.; Teschner, D.; Vidaković-Koch, T.; Schlögl, R.; Sundmacher, K. Degradation Study of a Proton Exchange Membrane Water Electrolyzer under Dynamic Operation Conditions. Appl. Energy 2020, 280, 115911. [Google Scholar] [CrossRef]
  10. Sayed-Ahmed, H.; Toldy, Á.I.; Santasalo-Aarnio, A. Dynamic Operation of Proton Exchange Membrane Electrolyzers—Critical Review. Renew. Sustain. Energy Rev. 2024, 189, 113883. [Google Scholar] [CrossRef]
  11. Al Rasbi, A.; Hussain, S.N.; Ghosh, A. Solar Enabled Pathway to Large-Scale Green Hydrogen Production and Storage: A Framework for Oman’s Advancing Renewable Energy Goals. Results Eng. 2025, 27, 106843. [Google Scholar] [CrossRef]
  12. Al Saadi, K.; Ghosh, A. Investigating the Integration of Floating Photovoltaics (FPV) Technology with Hydrogen (H2) Energy for Electricity Production for Domestic Application in Oman. Int. J. Hydrogen Energy 2024, 80, 1151–1163. [Google Scholar] [CrossRef]
  13. Ahaotu, M.C.; Ogbogu, C.E.; Thornburg, J.; Akwukwaegbu, I.O. Simulation of PEM Electrolyzer Power Management with Renewable Generation in Owerri, Nigeria. Energies 2025, 18, 208. [Google Scholar] [CrossRef]
  14. Hüner, B. Mathematical Modeling of an Integrated Photovoltaic-Assisted PEM Water Electrolyzer System for Hydrogen Production. Int. J. Hydrogen Energy 2024, 79, 594–608. [Google Scholar] [CrossRef]
  15. Falcão, D.S.; Pinto, A.M.F.R. A Review on PEM Electrolyzer Modelling: Guidelines for Beginners. J. Clean. Prod. 2020, 261, 121184. [Google Scholar] [CrossRef]
  16. Wallnöfer-Ogris, E.; Grimmer, I.; Ranz, M.; Höglinger, M.; Kartusch, S.; Rauh, J.; Macherhammer, M.G.; Grabner, B.; Trattner, A. A Review on Understanding and Identifying Degradation Mechanisms in PEM Water Electrolysis Cells: Insights for Stack Application, Development, and Research. Int. J. Hydrogen Energy 2024, 65, 381–397. [Google Scholar] [CrossRef]
  17. Zhang, K.; Liang, X.; Wang, L.; Sun, K.; Wang, Y.; Xie, Z.; Wu, Q.; Bai, X.; Hamdy, M.S.; Chen, H.; et al. Status and Perspectives of Key Materials for PEM Electrolyzer. Nano Res. Energy 2022, 1, e9120032. [Google Scholar] [CrossRef]
  18. Fahr, S.; Engel, F.K.; Rehfeldt, S.; Peschel, A.; Klein, H. Overview and Evaluation of Crossover Phenomena and Mitigation Measures in Proton Exchange Membrane (PEM) Electrolysis. Int. J. Hydrogen Energy 2024, 68, 705–721. [Google Scholar] [CrossRef]
  19. Klose, C.; Saatkamp, T.; Münchinger, A.; Bohn, L.; Titvinidze, G.; Breitwieser, M.; Kreuer, K.D.; Vierrath, S. All-Hydrocarbon MEA for PEM Water Electrolysis Combining Low Hydrogen Crossover and High Efficiency. Adv. Energy Mater. 2020, 10, 1903995. [Google Scholar] [CrossRef]
  20. Lædre, S.; Kongstein, O.E.; Oedegaard, A.; Karoliussen, H.; Seland, F. Materials for Proton Exchange Membrane Water Electrolyzer Bipolar Plates. Int. J. Hydrogen Energy 2017, 42, 2713–2723. [Google Scholar] [CrossRef]
  21. Rojas, N.; Sánchez-Molina, M.; Sevilla, G.; Amores, E.; Almandoz, E.; Esparza, J.; Cruz Vivas, M.R.; Colominas, C. Coated Stainless Steels Evaluation for Bipolar Plates in PEM Water Electrolysis Conditions. Int. J. Hydrogen Energy 2021, 46, 25929–25943. [Google Scholar] [CrossRef]
  22. Bonanno, M.; Müller, K.; Bensmann, B.; Hanke-Rauschenbach, R.; Aili, D.; Franken, T.; Chromik, A.; Peach, R.; Freiberg, A.T.S.; Thiele, S. Review and Prospects of PEM Water Electrolysis at Elevated Temperature Operation. Adv. Mater. Technol. 2024, 9, 2300281. [Google Scholar] [CrossRef]
  23. Chandesris, M.; Médeau, V.; Guillet, N.; Chelghoum, S.; Thoby, D.; Fouda-Onana, F. Membrane Degradation in PEM Water Electrolyzer: Numerical Modeling and Experimental Evidence of the Influence of Temperature and Current Density. Int. J. Hydrogen Energy 2015, 40, 1353–1366. [Google Scholar] [CrossRef]
  24. Pfennig, M.; Schiffer, B.; Clees, T. Thermodynamical and Electrochemical Model of a PEM Electrolyzer Plant in the Megawatt Range with a Literature Analysis of the Fitting Parameters. Int. J. Hydrogen Energy 2025, 104, 567–583. [Google Scholar] [CrossRef]
  25. Sriramagiri, G.M.; Luc, W.; Jiao, F.; Ayers, K.; Dobson, K.D.; Hegedus, S.S. Computation and Assessment of Solar Electrolyzer Field Performance: Comparing Coupling Strategies. Sustain. Energy Fuels 2019, 3, 422–430. [Google Scholar] [CrossRef]
  26. Ibrahim, H.; Ilinca, A.; Perron, J. Energy Storage Systems—Characteristics and Comparisons. Renew. Sustain. Energy Rev. 2008, 12, 1221–1250. [Google Scholar] [CrossRef]
  27. Ghosh, A. Solar-Powered Green Hydrogen from Electrolyzer (PV-H2): A Review. Sol. RRL 2025, 9, 2500150. [Google Scholar] [CrossRef]
  28. Di Caro, A.; Vitale, G. Direct-Coupled Improvement of a Solar-Powered Proton Exchange Membrane Electrolyzer by a Reconfigurable Source. Clean Technol. 2024, 6, 1203–1228. [Google Scholar] [CrossRef]
  29. Sood, S.; Prakash, O.; Boukerdja, M.; Dieulot, J.-Y.; Ould-Bouamama, B.; Bressel, M.; Gehin, A.-L. Generic Dynamical Model of PEM Electrolyser under Intermittent Sources. Energies 2020, 13, 6556. [Google Scholar] [CrossRef]
  30. Martinez Lopez, V.A.; Ziar, H.; Haverkort, J.W.; Zeman, M.; Isabella, O. Dynamic Operation of Water Electrolyzers: A Review for Applications in Photovoltaic Systems Integration. Renew. Sustain. Energy Rev. 2023, 182, 113407. [Google Scholar] [CrossRef]
  31. Kuhnert, E.; Mayer, K.; Heidinger, M.; Rienessel, C.; Hacker, V.; Bodner, M. Impact of Intermittent Operation on Photovoltaic-PEM Electrolyzer Systems: A Degradation Study Based on Accelerated Stress Testing. Int. J. Hydrogen Energy 2024, 55, 683–695. [Google Scholar] [CrossRef]
  32. Gutiérrez-Martín, F.; Díaz-López, J.A.; Caravaca, A.; Dos Santos-García, A.J. Modeling and Simulation of Integrated Solar PV-Hydrogen Systems. Int. J. Hydrogen Energy 2024, 52, 995–1006. [Google Scholar] [CrossRef]
  33. Dominguez, D.C.; Dam, A.P.; Alia, S.M.; Richter, T.; Sundmacher, K. Application of a Temporal Multiscale Method for Efficient Simulation of Degradation in PEM Water Electrolysis under Dynamic Operating Conditions. Comput. Chem. Eng. 2025, 198, 109083. [Google Scholar] [CrossRef]
  34. Schofield, L.; Paren, B.; Macdonald, R.; Shao-Horn, Y.; Mallapragada, D. Dynamic Optimization of Proton Exchange Membrane Water Electrolyzers Considering Usage-Based Degradation. AIChE J. 2024, 71, e18635. [Google Scholar] [CrossRef]
  35. Pirouzfar, A.R.; Mishra, S.; Mirlekar, G.; Putta, K.R. Model Predictive Control for Integrated Photovoltaic (PV) and Electrolysers System. Scand. Simul. Soc. 2025, 211, 362–369. [Google Scholar] [CrossRef]
  36. He, M.; Nie, G.; Yang, H.; Li, B.; Zhou, S.; Wang, X.; Meng, X. A Generic Equivalent Circuit Model for PEM Electrolyzer with Multi-Timescale and Stages under Multi-Mode Control. Appl. Energy 2024, 359, 122728. [Google Scholar] [CrossRef]
  37. Marefat, H.; Auger, F.; Olivier, J.-C.; Rharda, M. Electrical and Aging Modeling of PEM Water Electrolyzers for Sustainable Hydrogen Production: Insights into Behavior, Degradation, and Reliability. Glob. Energy Interconnect. 2025, 8, 537–553. [Google Scholar] [CrossRef]
  38. Benmehel, A.; Chabab, S.; Do Nascimento Rocha, A.L.; Chepy, M.; Kousksou, T. PEM Water Electrolyzer Modeling: Issues and Reflections. Energy Convers. Manag. X 2024, 24, 100738. [Google Scholar] [CrossRef]
  39. Marefatjouikilevaee, H.; Auger, F.; Olivier, J.C. Static and Dynamic Electrical Models of Proton Exchange Membrane Electrolysers: A Comprehensive Review. Energies 2023, 16, 6503. [Google Scholar] [CrossRef]
  40. Zeng, Z.; Bliznakov, S.; Waite, T.; Yazdani-Asrami, M.; Waite, T.; Yazdani-Asrami, M. Degradation Modeling of Polymer Electrolyte Membrane Water Electrolyzers for Hydrogen Production: Motivation, Status, and Strategies. J. Phys. Energy 2025, 7, 042002. [Google Scholar] [CrossRef]
  41. PVGIS Typical Meteorological Year (TMY) Generator-The Joint Research Centre: EU Science Hub. Available online: https://joint-research-centre.ec.europa.eu/photovoltaic-geographical-information-system-pvgis/pvgis-tools/pvgis-typical-meteorological-year-tmy-generator_en (accessed on 2 October 2025).
  42. Huld, T.; Paietta, E.; Zangheri, P.; Pascua, I.P. Assembling Typical Meteorological Year Data Sets for Building Energy Performance Using Reanalysis and Satellite-Based Data. Atmosphere 2018, 9, 53. [Google Scholar] [CrossRef]
  43. Stein, J.S.; Holmgren, W.F.; Forbess, J.; Hansen, C.W. PVLIB: Open Source Photovoltaic Performance Modeling Functions for Matlab and Python. In Proceedings of the 2016 IEEE 43rd Photovoltaic Specialists Conference (PVSC), Portland, OR, USA, 5–10 June 2016; IEEE: Portland, OR, USA, 2016; pp. 3425–3430. [Google Scholar]
  44. Reda, I.; Andreas, A. Solar Position Algorithm for Solar Radiation Applications. Sol. Energy 2004, 76, 577–589. [Google Scholar] [CrossRef]
  45. Pvlib. Irradiance.Get_Total_Irradiance—Pvlib Python 0.13.1 Documentation. Available online: https://pvlib-python.readthedocs.io/en/stable/reference/generated/pvlib.irradiance.get_total_irradiance.html (accessed on 1 November 2025).
  46. Byrd, R.H.; Lu, P.; Nocedal, J.; Zhu, C. A Limited Memory Algorithm for Bound Constrained Optimization. SIAM J. Sci. Comput. 1995, 16, 1190–1208. [Google Scholar] [CrossRef]
  47. Virtanen, P.; Gommers, R.; Oliphant, T.E.; Haberland, M.; Reddy, T.; Cournapeau, D.; Burovski, E.; Peterson, P.; Weckesser, W.; Bright, J.; et al. SciPy 1.0: Fundamental Algorithms for Scientific Computing in Python. Nat. Methods 2020, 17, 261–272. [Google Scholar] [CrossRef] [PubMed]
  48. Dobos, A. PVWatts Version 5 Manual; National Renewable Energy Laboratory (NREL): Golden, CO, USA, 2014. [Google Scholar]
  49. Tijani, A.S.; Shukri, F.H.; Abdol Rahim, A.H.; Hanapi, S.; Sainan, K.I. Mathematical Modelling and Simulation Analysis of PEM Electrolyzer System for Hydrogen Production. In Proceedings of the 3rd IET International Conference on Clean Energy and Technology (CEAT) 2014, Kuching, Malaysia, 24–26 November 2014; Institution of Engineering and Technology: Kuching, Malaysia, 2014; pp. 1–7. [Google Scholar]
  50. Asiaban, S.; Bozalakov, D.; Vandevelde, L. Development of a Dynamic Mathematical Model of PEM Electrolyser for Integration into Large-Scale Power Systems. Energy Convers. Manag. X 2024, 23, 100610. [Google Scholar] [CrossRef]
  51. Majumdar, A.; Haas, M.; Elliot, I.; Nazari, S. Control and Control-Oriented Modeling of PEM Water Electrolyzers: A Review. Int. J. Hydrogen Energy 2023, 48, 30621–30641. [Google Scholar] [CrossRef]
  52. Bernhard, D.; Kadyk, T.; Kirsch, S.; Scholz, H.; Krewer, U. Model-Assisted Analysis and Prediction of Activity Degradation in PEM-Fuel Cell Cathodes. J. Power Sources 2023, 562, 232771. [Google Scholar] [CrossRef]
  53. Stariha, S.; Macauley, N.; Sneed, B.T.; Langlois, D.; More, K.L.; Mukundan, R.; Borup, R.L. Recent Advances in Catalyst Accelerated Stress Tests for Polymer Electrolyte Membrane Fuel Cells. J. Electrochem. Soc. 2018, 165, F492–F501. [Google Scholar] [CrossRef]
  54. Kovtunenko, V.A.; Karpenko-Jereb, L. Study of Voltage Cycling Conditions on Pt Oxidation and Dissolution in Polymer Electrolyte Fuel Cells. J. Power Sources 2021, 493, 229693. [Google Scholar] [CrossRef]
  55. Wang, C.R.; Stansberry, J.M.; Mukundan, R.; Chang, H.-M.J.; Kulkarni, D.; Park, A.M.; Plymill, A.B.; Firas, N.M.; Liu, C.P.; Lang, J.T.; et al. Proton Exchange Membrane (PEM) Water Electrolysis: Cell-Level Considerations for Gigawatt-Scale Deployment. Chem. Rev. 2025, 125, 1257–1302. [Google Scholar] [CrossRef]
  56. Marquez, R.A.; Bender, J.T.; Aleman, A.M.; Kalokowski, E.; Vy Le, T.; Williamson, C.L.; Frederiksen, M.L.; Kawashima, K.; Chukwuneke, C.E.; Dolocan, A.; et al. Insights into Catalyst Degradation during Alkaline Water Electrolysis under Variable Operation. Energy Environ. Sci. 2025, 18, 7170–7187. [Google Scholar] [CrossRef]
  57. Wu, C.; Zhang, X.-P.; Sterling, M. Solar Power Generation Intermittency and Aggregation. Sci. Rep. 2022, 12, 1363. [Google Scholar] [CrossRef] [PubMed]
  58. Yu, Y.; Yu, Q.; Luo, R.; Chen, S.; Yang, J.; Yan, F. Degradation and Polarization Curve Prediction of Proton Exchange Membrane Fuel Cells: An Interpretable Model Perspective. Appl. Energy 2024, 365, 123289. [Google Scholar] [CrossRef]
  59. Padgett, E.; Yu, H.; Blair, S.J.; Cullen, D.A.; Ahluwalia, R.K.; Myers, D.J.; Pivovar, B.; Alia, S.M. Quantifying Sources of Voltage Decay in Long-Term Durability Testing for PEM Water Electrolysis. J. Electrochem. Soc. 2025, 172, 054508. [Google Scholar] [CrossRef]
  60. Jing, L.; Wu, J.; Li, L.; Chang, L.; Lu, X.; Li, X.; Sun, X.; Ma, L.; Hao, J.; Zhang, G.; et al. Unveiling the Failure Mechanism of Pt Coating on Ti Porous Transport Layer in Simulated PEMEC Environment. ACS Appl. Mater. Interfaces 2025, 17, 51105–51117. [Google Scholar] [CrossRef]
  61. Polo-Molina, A.; Portela, J.; Alberto, L.; Rozas, H.; Cicero González, R. Modeling Membrane Degradation in PEM Electrolyzers with Physics-Informed Neural Networks. arXiv 2025, arXiv:2507.02887. [Google Scholar]
  62. Yuan, X.-Z.; Zhang, S.; Wang, H.; Wu, J.; Sun, J.C.; Hiesgen, R.; Friedrich, K.A.; Schulze, M.; Haug, A. Degradation of a Polymer Exchange Membrane Fuel Cell Stack with Nafion® Membranes of Different Thicknesses: Part I. In Situ Diagnosis. J. Power Sources 2010, 195, 7594–7599. [Google Scholar] [CrossRef]
  63. Yan, X.; Locci, C.; Hiss, F.; Nieße, A. State-of-Health Estimation for Industrial H2 Electrolyzers with Transfer Linear Regression. Energies 2024, 17, 1374. [Google Scholar] [CrossRef]
  64. Campbell-Stanway, C.; Becerra, V.; Prabhu, S. Techno-Economic Analysis with Electrolyser Degradation Modelling in Green Hydrogen Production Scenarios. Int. J. Hydrogen Energy 2025, 106, 80–95. [Google Scholar] [CrossRef]
  65. Lang, M.; Raab, S.; Lemcke, M.S.; Bohn, C.; Pysik, M. Long-Term Behavior of a Solid Oxide Electrolyzer (SOEC) Stack▴. Fuel Cells 2020, 20, 690–700. [Google Scholar] [CrossRef]
  66. Harrison, K.W.; Remick, R.; Martin, G.D.; Hoskin, A. Hydrogen Production: Fundamentals and Case Study Summaries. In Proceedings of the 18th World Hydrogen Energy Conference (WHEC 2010), Essen, Germany, 16–21 May 2010; National Renewable Energy Laboratory (NREL): Golden, CO, USA, 2010. NREL/CP-550-47302. [Google Scholar]
  67. Maier, M.; Smith, K.; Dodwell, J.; Hinds, G.; Shearing, P.R.; Brett, D.J.L. Mass Transport in PEM Water Electrolysers: A Review. Int. J. Hydrogen Energy 2022, 47, 30–56. [Google Scholar] [CrossRef]
  68. Ellis, A.; Arellano, B.; Willard, S.; Hawkins, J.; Schoenwald, D. PV Power Output Smoothing Using Energy Storage. In Proceedings of the 2012 38th IEEE Photovoltaic Specialists Conference, Austin, TX, USA, 3–8 June 2012. [Google Scholar]
  69. Chen, C.; Fuller, T.F. The Effect of Humidity on the Degradation of Nafion® Membrane. Polym. Degrad. Stab. 2009, 94, 1436–1447. [Google Scholar] [CrossRef]
  70. Madhav, D.; Wang, J.; Keloth, R.; Mus, J.; Buysschaert, F.; Vandeginste, V. A Review of Proton Exchange Membrane Degradation Pathways, Mechanisms, and Mitigation Strategies in a Fuel Cell. Energies 2024, 17, 998. [Google Scholar] [CrossRef]
  71. Franz, T.; Papakonstantinou, G.; Sundmacher, K. Transient Hydrogen Crossover in Dynamically Operated PEM Water Electrolysis Cells—A Model-Based Analysis. J. Power Sources 2023, 559, 232582. [Google Scholar] [CrossRef]
  72. Ali Khan, M.H.; Daiyan, R.; Han, Z.; Hablutzel, M.; Haque, N.; Amal, R.; MacGill, I. Designing Optimal Integrated Electricity Supply Configurations for Renewable Hydrogen Generation in Australia. iScience 2021, 24, 102539. [Google Scholar] [CrossRef] [PubMed]
  73. Maoulida, F.; Guilbert, D.; Camara, M.B.; Dakyo, B. Dynamic Electrical Degradation of PEM Electrolyzers under Renewable Energy Intermittency: Mechanisms, Diagnostics, and Mitigation Strategies–A Comprehensive Review. Renew. Sustain. Energy Rev. 2025, 225, 116170. [Google Scholar] [CrossRef]
  74. Tiesinga, E.; Mohr, P.J.; Newell, D.B.; Taylor, B.N. CODATA Recommended Values of the Fundamental Physica Constants: 2018. J. Phys. Chem. Ref. Data 2021, 93, 63. [Google Scholar] [CrossRef]
Figure 1. Schematic of photovoltaic (PV)–electrolyser coupling configurations: direct, DC–DC, and DC–AC–DC [25].
Figure 1. Schematic of photovoltaic (PV)–electrolyser coupling configurations: direct, DC–DC, and DC–AC–DC [25].
Energies 18 06131 g001
Figure 2. High level summary of Methodology used.
Figure 2. High level summary of Methodology used.
Energies 18 06131 g002
Figure 3. Comparison of hydrogen production and operating characteristics between Brighton and Muscat. (a) Monthly hydrogen yield showing seasonal variation, (b) average number of daily operating cycles, (c) cumulative annual hydrogen production, and (d) specific PV-to-hydrogen energy yield (kWh PV per kg H2).
Figure 3. Comparison of hydrogen production and operating characteristics between Brighton and Muscat. (a) Monthly hydrogen yield showing seasonal variation, (b) average number of daily operating cycles, (c) cumulative annual hydrogen production, and (d) specific PV-to-hydrogen energy yield (kWh PV per kg H2).
Energies 18 06131 g003
Figure 4. Comparison of electrolyser operating efficiency and loading characteristics for Brighton and Muscat. (a) Seven-day rolling average efficiency showing seasonal variation, (b) distribution of stack loading for Brighton (blue) and Muscat (yellow), with darker regions indicating bin overlap, (c) mean efficiency as a function of operating temperature, and (d) average diurnal profiles of PV power and hydrogen production.
Figure 4. Comparison of electrolyser operating efficiency and loading characteristics for Brighton and Muscat. (a) Seven-day rolling average efficiency showing seasonal variation, (b) distribution of stack loading for Brighton (blue) and Muscat (yellow), with darker regions indicating bin overlap, (c) mean efficiency as a function of operating temperature, and (d) average diurnal profiles of PV power and hydrogen production.
Energies 18 06131 g004
Figure 5. Comparison of degradation behaviour in Brighton and Muscat. (a) Membrane thinning progression, (b) catalyst electrochemical surface area (ECSA) loss, (c) instantaneous degradation rate (µV h−1), and (d) cumulative increase in interfacial resistance (ΔR) over one year of operation.
Figure 5. Comparison of degradation behaviour in Brighton and Muscat. (a) Membrane thinning progression, (b) catalyst electrochemical surface area (ECSA) loss, (c) instantaneous degradation rate (µV h−1), and (d) cumulative increase in interfacial resistance (ΔR) over one year of operation.
Energies 18 06131 g005
Figure 6. Model validation against experimental data. (a) Polarisation curve comparison at different temperatures (25 °C, 80 °C) showing agreement between model and reference measurements, (b) efficiency validation as a function of current density, and (c) degradation-rate validation over operating time compared with experimental reference trends.
Figure 6. Model validation against experimental data. (a) Polarisation curve comparison at different temperatures (25 °C, 80 °C) showing agreement between model and reference measurements, (b) efficiency validation as a function of current density, and (c) degradation-rate validation over operating time compared with experimental reference trends.
Energies 18 06131 g006
Figure 7. Temperature sensitivity of ECSA loss and membrane thickness for Brighton and Muscat over a ±10 °C deviation (ΔT). Higher temperatures increase ECSA decay and membrane thinning.
Figure 7. Temperature sensitivity of ECSA loss and membrane thickness for Brighton and Muscat over a ±10 °C deviation (ΔT). Higher temperatures increase ECSA decay and membrane thinning.
Energies 18 06131 g007
Table 1. Summary of PEM component degradation mechanisms and mitigation approaches.
Table 1. Summary of PEM component degradation mechanisms and mitigation approaches.
ComponentPrimary
Degradation Mechanism
Underlying CauseRecent Mitigation or Research
Direction
References
Membrane (Nafion® PFSA, The Chemours Company, Wilmington, DE, USA)Chemical thinning, cracking, fluoride releaseRadical attack (•OH, •OOH); hydration cycling; heat stressHydrocarbon membranes; stabilised ionomers; antioxidant additives[16,17,22,23]
Catalyst Layer (IrO2/Pt)Catalyst dissolution, agglomeration, ECSA lossHigh potential (>1.8 V); transient loadingIr–Ru alloys; single-atom catalysts; corrosion-resistant supports[5,9,10]
Porous Transport Layer (PTL)Oxidation to TiO2; mechanical deformationOxygen exposure in acidic media; cyclic pressureTiN/NbN coatings; 3-D printed porous structures[17,24]
Bipolar Plates (BPPs)Corrosion; coating erosionAcidic environment; fluoride ionsNb/Ti-coated stainless-steel plates; low-cost alloy development[20,21]
Table 2. Summary of PV–PEM coupling configurations.
Table 2. Summary of PV–PEM coupling configurations.
Configuration TypeDescriptionAdvantagesLimitationsReferences
Direct CouplingPV array connected directly to PEM stack without convertersSimple, low cost, minimal lossesExposed to full irradiance variability; reduced controllability[25,26,28]
DC–DC CouplingPV array connected via DC–DC converter with MPPT controlStable operation, maximised power extraction2–5% conversion losses, increased cost and complexity
DC–AC–DC CouplingPV output inverted to AC then rectified to DC for electrolyserGrid compatibility, flexibility for hybrid systemsDouble conversion losses, higher capital cost
Table 3. Summary of PEMWE Modelling Approaches in Reviewed Studies.
Table 3. Summary of PEMWE Modelling Approaches in Reviewed Studies.
StudyModel TypeKey FeaturesDegradation Included?Application Focus
[21]EmpiricalStatic polarisation curve; constant efficiencyNoSystem-level hydrogen production
[14]EmpiricalPV-to-H2 ratio; basic efficiency modelNoSolar-to-hydrogen yield estimation
[20]Physics-basedBond Graph model; thermal, electrical, and H2 storage dynamics; validated with solar inputYesDynamic behaviour under real solar input
[22]Physics-basedTime-dependent terms for membrane thinning and catalyst degradationYesDegradation modelling
[23]Physics-basedTechno-economic optimisation with physics-based stack + usage-dependent degradationYesCost/lifetime analysis under RES
[9]Physics-basedFramework with activation, ohmic, and concentration losses; hydration-dependent conductivityIndirectComprehensive physics modelling
[24]Control-oriented (MPC)Voltage and ramp-rate constraints; improved hydrogen yieldIndirectReal-time power optimisation
[25]Control-oriented (Equivalent Circuit)Generic ECM reproducing electrical characteristics under multiple modesNoPower electronics and control integration
Table 4. Summary of Key Performance Indicators for Brighton and Muscat.
Table 4. Summary of Key Performance Indicators for Brighton and Muscat.
ParameterBrightonMuscat
Total H2 Produced (kg)7566.1314,018.37
Average Cell Voltage (V)2.2782.503
Average Current Density (A/m2)4482.475700.98
Operating Hours (h)22443269
Total Water Consumption (L)75,661.27140,183.71
Total Compressor Power (MWh)24.9746.26
Final Membrane Degradation (%)0.5030.932
Degradation Rate (μV/h per cell)231.37359.84
Electrolyser Efficiency (%)65.8059.77
PV-to-H2 Yield (kWh/kg H2)67.6370.28
Solar-to-Hydrogen Efficiency (%)6.625.25
Coupling Efficiency (%)11.379.37
Disclaimer/Publisher’s Note: The statements, opinions and data contained in all publications are solely those of the individual author(s) and contributor(s) and not of MDPI and/or the editor(s). MDPI and/or the editor(s) disclaim responsibility for any injury to people or property resulting from any ideas, methods, instructions or products referred to in the content.

Share and Cite

MDPI and ACS Style

Al-Mandhari, M.; Ghosh, A. Modelling Solar Intermittency Effects on PEM Electrolyser Performance & Degradation: A Comparison of Oman and UK. Energies 2025, 18, 6131. https://doi.org/10.3390/en18236131

AMA Style

Al-Mandhari M, Ghosh A. Modelling Solar Intermittency Effects on PEM Electrolyser Performance & Degradation: A Comparison of Oman and UK. Energies. 2025; 18(23):6131. https://doi.org/10.3390/en18236131

Chicago/Turabian Style

Al-Mandhari, Mohamed, and Aritra Ghosh. 2025. "Modelling Solar Intermittency Effects on PEM Electrolyser Performance & Degradation: A Comparison of Oman and UK" Energies 18, no. 23: 6131. https://doi.org/10.3390/en18236131

APA Style

Al-Mandhari, M., & Ghosh, A. (2025). Modelling Solar Intermittency Effects on PEM Electrolyser Performance & Degradation: A Comparison of Oman and UK. Energies, 18(23), 6131. https://doi.org/10.3390/en18236131

Note that from the first issue of 2016, this journal uses article numbers instead of page numbers. See further details here.

Article Metrics

Back to TopTop