Sign in to use this feature.

Years

Between: -

Subjects

remove_circle_outline
remove_circle_outline
remove_circle_outline
remove_circle_outline
remove_circle_outline
remove_circle_outline
remove_circle_outline
remove_circle_outline
remove_circle_outline

Journals

remove_circle_outline
remove_circle_outline
remove_circle_outline
remove_circle_outline
remove_circle_outline
remove_circle_outline
remove_circle_outline
remove_circle_outline
remove_circle_outline
remove_circle_outline
remove_circle_outline
remove_circle_outline

Article Types

Countries / Regions

remove_circle_outline
remove_circle_outline
remove_circle_outline
remove_circle_outline
remove_circle_outline
remove_circle_outline
remove_circle_outline
remove_circle_outline

Search Results (2,427)

Search Parameters:
Keywords = habitat evaluation

Order results
Result details
Results per page
Select all
Export citation of selected articles as:
14 pages, 2037 KB  
Article
Turbulence in a Bend in the Presence of Emergent Vegetation and a 3D Pool Bedform
by Alirahm Rahimpour, Hossein Afzalimehr, Saeid Okhravi, Mohammad Nazari-Sharabian and Moses Karakouzian
Water 2026, 18(3), 431; https://doi.org/10.3390/w18030431 (registering DOI) - 6 Feb 2026
Abstract
The interaction of emergent vegetation and three-dimensional (3D) bedforms is essential for understanding turbulent flow dynamics in curved channels. A laboratory investigation can help to collect required data under controlled conditions. Experiments were conducted in a 9.5 m-long, 0.9 m-wide recirculating flume incorporating [...] Read more.
The interaction of emergent vegetation and three-dimensional (3D) bedforms is essential for understanding turbulent flow dynamics in curved channels. A laboratory investigation can help to collect required data under controlled conditions. Experiments were conducted in a 9.5 m-long, 0.9 m-wide recirculating flume incorporating a 90° bend and a sculpted 3D pool bedform. Artificial rigid vegetation, designed to replicate the hydraulic behavior of natural emergent plants, was installed along both sidewalls. Instantaneous three-dimensional velocities were recorded using an acoustic Doppler velocimeter (ADV) across multiple cross-sections under both bare-bed and vegetated conditions. The results reveal that emergent vegetation markedly increases flow resistance, distorts mean velocity distributions, and suppresses the classical logarithmic velocity profile, particularly within the bend and pool regions. The combined presence of vegetation and the 3D pool bedform amplified turbulence intensity, elevated Reynolds shear stresses, and redistributed turbulent kinetic energy (TKE), which increased by up to sevenfold from the bend entrance to its exit. In vegetated pool sections, Reynolds stresses were approximately 12% greater than under bare-bed conditions, underscoring the synergistic effects of vegetation drag, secondary circulation, and flow separation in producing anisotropic turbulence. These findings highlight the importance of incorporating vegetation–bedform interactions in fluvial modeling frameworks, with significant implications for sediment transport prediction, channel stability evaluation, river restoration, and aquatic habitat design. Full article
Show Figures

Figure 1

13 pages, 12520 KB  
Article
Marine Organisms Fouling on Ghost Nets in the Sounio Marine Protected Area (Greece)
by Nikolaos Simantiris, Nikos Karatzas, Dimitra Papadoiliopoulou and Martha Z. Vardaki
Pollutants 2026, 6(1), 12; https://doi.org/10.3390/pollutants6010012 - 5 Feb 2026
Abstract
Ghost nets are the result of fishing nets ending up at sea by fishing vessels during operations, repairs, accidental loss, and from aquaculture activities. This is a major threat to the marine environment due to the entrapment of marine species, which often leads [...] Read more.
Ghost nets are the result of fishing nets ending up at sea by fishing vessels during operations, repairs, accidental loss, and from aquaculture activities. This is a major threat to the marine environment due to the entrapment of marine species, which often leads to the mortality of important species, the alteration of the marine benthic habitat, and the release of microplastics. In the current study, the authors conducted underwater clean-up activities in the marine protected area of Sounio in Greece (NATURA2000) to identify, evaluate whether they can be removed, and remove ghost nets. A total of 1200 Kg of ghost nets was removed within one year, with 68 different species reported to have colonized the nets. The reported groups were Mollusca, Porifera, Chordata, Arthropoda, Echinodermata, Bryozoa, Ochrophyta, Tracheophyta, Rhodophyta, Cnidaria, Chlorophyta, and Annelida. The species were not listed as threatened by the IUCN conservation status, while 86% were native, and 14% were invasive in the Mediterranean Sea. The current work presents the need to expand research efforts in the field of underwater plastic pollution, implement monitoring campaigns to a greater extent in the study area, and perform an assessment before the removal of ghost nets. Full article
(This article belongs to the Special Issue Marine Pollutants: 3rd Edition)
19 pages, 1351 KB  
Hypothesis
Mars Potato Cultivation: Analysis, Challenges, Sustainable Scientific Conceptions
by Bohao Yang and Yunjiang Liang
Life 2026, 16(2), 281; https://doi.org/10.3390/life16020281 - 5 Feb 2026
Abstract
As human space exploration advances towards establishing sustainable Martian habitats, achieving autonomous food production is a critical requirement. The potato (Solanum tuberosum L.), with its notable environmental resilience and nutritional efficiency, is a prime candidate crop. This study develops a conceptual framework [...] Read more.
As human space exploration advances towards establishing sustainable Martian habitats, achieving autonomous food production is a critical requirement. The potato (Solanum tuberosum L.), with its notable environmental resilience and nutritional efficiency, is a prime candidate crop. This study develops a conceptual framework for Martian potato cultivation by systematically analyzing the profound disparities between Martian conditions and plant physiology. We identify and evaluate seven fundamental challenges: atmospheric composition, extreme temperatures, water scarcity, soil properties, nutrient deficiencies, absent microbiota, and radiation/gravity effects. To address these challenges, we propose a phased, testable roadmap comprising four stages: (I) screening and bio-engineering of multi-stress-tolerant potato genotypes; (II) phased domestication via Earth-based analog experiments to define adaptability thresholds; (III) deployment of a controlled cultivation module within a Martian habitat, integrating targeted technological interventions; and (IV) conceptual exploration of extra-habitat agricultural potential. The primary contribution of this work is a structured set of hypotheses and key performance indicators for each stage, translating visionary goals into a defined research agenda to guide future empirical work in extraterrestrial agronomy. Full article
(This article belongs to the Section Astrobiology)
Show Figures

Figure 1

14 pages, 1630 KB  
Article
Steep Population Declines in Insectivorous Passerines, Irrespective of Their Migratory Strategies
by Ana Patrícia Almeida, Miguel Araújo, Vitor Encarnação and Jaime A. Ramos
Conservation 2026, 6(1), 19; https://doi.org/10.3390/conservation6010019 - 5 Feb 2026
Abstract
This study examines a long-term dataset where 16 passerine species, classified as long-distance migrants, short-distance migrants, and residents were monitored at the Santo André National Ringing Station (Portugal) from 1997 to 2024. Using standardized capture data from 16 passerines species collected during the [...] Read more.
This study examines a long-term dataset where 16 passerine species, classified as long-distance migrants, short-distance migrants, and residents were monitored at the Santo André National Ringing Station (Portugal) from 1997 to 2024. Using standardized capture data from 16 passerines species collected during the autumn migration period, we evaluated trends in population abundance over a 27-year time span. Our analyses revealed pronounced and statistically robust declines in all long-distance migratory species, particularly savi’s warbler, grasshopper warbler, and sedge warbler, which are now almost locally extinct. In contrast, short-distance migrants and resident species exhibited more heterogeneous patterns depending on their ecological specialization, yet all strictly insectivorous taxa, except for the chiffchaff, showed marked population declines, particularly the bluethroat and the sardinian warbler. The parallel decline in insectivorous species across migratory strategies points to a widespread trophic effect, likely linked to the global depletion of insect populations, driven by habitat destruction, pesticide use, pollution, and climate change. Collectively, these findings emphasize the urgent need for regionally adapted, long-term monitoring programs to inform effective conservation strategies in the face of accelerating climate and land-use change. Full article
Show Figures

Figure 1

19 pages, 959 KB  
Article
Isolation of Novel Fungal Endophytes from Wild Relatives of Barley (Hordeum vulgare L.) and In Vitro Screening for Plant Growth Promotion and Antifungal Activity
by Diego D. Bianchi and Trevor R. Hodkinson
Grasses 2026, 5(1), 7; https://doi.org/10.3390/grasses5010007 - 5 Feb 2026
Abstract
There is an urgent demand for sustainable agricultural practices that minimize environmental impacts and reduce the reliance on synthetic pesticides and fertilizers. Endophytes represent a largely untapped resource of beneficial microorganisms with multiple potential applications as natural biocontrol agents and promoters of plant [...] Read more.
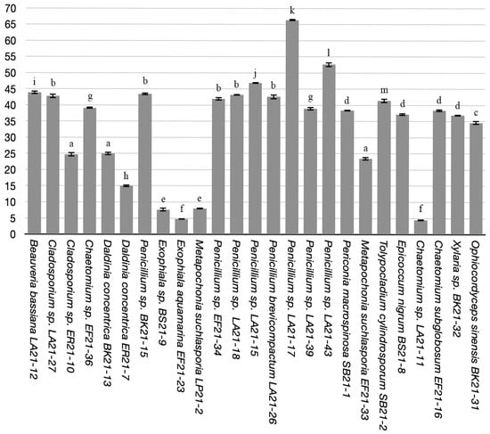
There is an urgent demand for sustainable agricultural practices that minimize environmental impacts and reduce the reliance on synthetic pesticides and fertilizers. Endophytes represent a largely untapped resource of beneficial microorganisms with multiple potential applications as natural biocontrol agents and promoters of plant growth and development. This paper aimed at identifying new fungal strains and performing a series of preliminary in vitro screenings to evaluate their potential use for plant-growth promotion and antifungal activity. A total of 102 fungal endophytes were isolated from different plant tissues of seven wild relatives of barley (Brachypodium sylvaticum, Bromus hordeaceus, Bromus sterilis, Elymus farctus, Elymus repens, Leymus arenarius and Lolium perenne) that were sourced from 22 contrasting wild habitats. Fungal endophytes were isolated using standard culture-based methods and identified via DNA barcoding of the nrITS marker. Based on a literature search, a sub-group of endophytes were selected and evaluated for indole-3-acetic acid (IAA) synthesis, ammonia production and phosphorous (P) solubilization. From these, 15 endophytes were also tested for antifungal activity against Ramularia collo-cygni, Pyrenophora teres, and Gaeumannomyces tritici. All the endophytes were positive for ammonia production at variable rates, but no P solubilization nor IAA synthesis without L-tryptophan were observed. On the contrary, five promising isolates (2 Daldinia concentrica, Metapochonia suchlasporia, Chaetomium sp., and Ophiocordyceps sinensis) had mean pathogen growth inhibition rates above 80%, compared to the untreated negative controls. To the best of our knowledge, this study is the first published report that investigates natural antagonism against Ramularia collo-cygni and expands the list of endophytic strains with natural antagonism on the tested cereal pathogens. Results are discussed in the context of endophytes application to barley cultivation within the European regulatory framework. Full article
Show Figures

Figure 1

37 pages, 1823 KB  
Article
Phenotypic Antimicrobial Resistance of Some Bacterial Strains Isolated from Red Foxes (Vulpes vulpes) in Western Romania
by Alex-Cristian Moza, Iulia-Maria Bucur, Kalman Imre, Sebastian Alexandru Popa, Alexandra Adriana Grigoreanu, Ana-Maria Plotuna, Andrei Alexandru Ivan, Narcisa Geanina Mederle, Andreea-Talida Tîrziu and Emil Tîrziu
Antibiotics 2026, 15(2), 167; https://doi.org/10.3390/antibiotics15020167 - 4 Feb 2026
Abstract
Background/Objectives: Recent investigations point to red foxes (Vulpes vulpes) as a very potent sentinel species for monitoring the dissemination of antimicrobial bacteria in wildlife habitats. Methods: This study investigated antimicrobial resistance in red foxes from 16 hunting grounds (peri-urban and peri-rural) [...] Read more.
Background/Objectives: Recent investigations point to red foxes (Vulpes vulpes) as a very potent sentinel species for monitoring the dissemination of antimicrobial bacteria in wildlife habitats. Methods: This study investigated antimicrobial resistance in red foxes from 16 hunting grounds (peri-urban and peri-rural) in western Romania, between 2022 and 2024, in order to evaluate the species as “One Health” sentinels at the wildlife–human–animal interface. During this period, 137 bacterial strains previously identified from 216 samples were phenotypically tested using both the Kirby–Bauer disk diffusion method and the Vitek 2 Compact system. Results: Among the Gram-negative isolates, particularly Escherichia coli and Salmonella enterica, notable antimicrobial resistance and multidrug-resistant (MDR) phenotypes were observed, including resistance to third-generation cephalosporins (ceftazidime) and reduced susceptibility to carbapenems. Resistance patterns observed in Proteus spp. largely reflected intrinsic resistance traits. Methicillin-resistant and MDR staphylococci (Staphylococcus aureus, S. pseudintermedius and S. sciuri) were detected in both peri-urban and peri-rural hunting grounds, with higher frequencies observed in peri-rural areas. Although MDR prevalence was slightly higher in peri-urban compared to peri-rural sites, no statistically significant association was identified between area of isolation and antimicrobial resistance or MDR status. Antimicrobial susceptibility results obtained by disk diffusion and the Vitek 2 Compact system showed a high level of concordance for antibiotics tested in common. Conclusions: Overall, these findings support the use of red foxes as effective One Health sentinels for monitoring environmental antimicrobial resistance occurrence across wildlife, domestic animals, and human-impacted habitats. Full article
(This article belongs to the Special Issue A One Health Approach to Antimicrobial Resistance, 2nd Edition)
30 pages, 11104 KB  
Article
Monitoring Oxbow Lakes with Remote Sensing: Insights into Turbidity, Connectivity, and Fish Habitat
by Lina G. Terrazas-Villarroel, Jochen Wenninger, Marcelo Heredia-Gómez, Nick van de Giesen and Michael E. McClain
Remote Sens. 2026, 18(3), 474; https://doi.org/10.3390/rs18030474 - 2 Feb 2026
Viewed by 115
Abstract
In meandering river floodplain systems, remote sensing is a valuable tool for assessing connectivity processes relevant to fish ecological functions. This study used the Google Earth Engine platform and multispectral Landsat 7 imagery. A random forest classifier was used to evaluate water types [...] Read more.
In meandering river floodplain systems, remote sensing is a valuable tool for assessing connectivity processes relevant to fish ecological functions. This study used the Google Earth Engine platform and multispectral Landsat 7 imagery. A random forest classifier was used to evaluate water types and area changes in oxbow lakes of the Beni River in Bolivia. Water type dynamics were mainly associated with lake age and distance from the main channel. Seasonal variations highlighted the role of wind-driven sediment resuspension and overflow during high discharge conditions. Long-term lake area changes reflected typical oxbow lake evolution as well as alterations caused by the main channel. Multiannual changes showed a notable area decrease during years of low discharge. Relationships between discharge and lake area dynamics allowed the classification of three lake groups with different levels of connectivity and overbank flow influence. The ecological relevance of these groups was evaluated based on fish habitat preferences and migration patterns. Results emphasize the importance of preserving natural hydrologic variability, with flooding associated with increased habitat availability. Overall, this study demonstrates the usefulness of satellite remote sensing for detecting ecohydrological processes and offers insights to preserve ecological functions in data-scarce regions. Full article
Show Figures

Graphical abstract

24 pages, 1888 KB  
Article
Assessing Genetic Diversity, Connectivity, and Demographic Parameters of Neotropical Otters (Lontra annectens) in Northern Costa Rica
by Manuel Santiago-Plata, Jennifer Adams, Janet L. Rachlow and Lisette P. Waits
Conservation 2026, 6(1), 16; https://doi.org/10.3390/conservation6010016 - 2 Feb 2026
Viewed by 92
Abstract
The recent recognition of the Neotropical otter (Lontra annectens) as a distinct species highlights the need to evaluate its genetic status and connectivity across fragmented tropical habitats. We analyzed genetic diversity, population structure, and recent demographic patterns of L. annectens from [...] Read more.
The recent recognition of the Neotropical otter (Lontra annectens) as a distinct species highlights the need to evaluate its genetic status and connectivity across fragmented tropical habitats. We analyzed genetic diversity, population structure, and recent demographic patterns of L. annectens from two contrasting regions in northern Costa Rica—Tortuguero National Park (TNP) and the Sarapiquí River Basin (SRB). Non-invasive fecal and anal-gland secretion samples collected during 2021–2022 were genotyped at ten nuclear DNA microsatellite loci. Genetic diversity was moderate across regions (mean allelic richness [AR] = 3.98–4.03, observed heterozygosity [Ho] = 0.52–0.58), expected heterozygosity [He] = 0.62–0.65) with no significant inter-regional differences. Bayesian clustering, principal component analysis, and pairwise FST (0.002) supported a near-panmictic population. Kinship analyses detected localized clusters of related individuals, suggesting weak but non-random structuring, while contemporary migration estimates indicated low-frequency, asymmetric gene flow from SRB to TNP. Bottleneck tests revealed signatures of recent demographic contraction in both regions, particularly in TNP. These findings demonstrate limited yet ongoing connectivity among riverine subpopulations and emphasize that increasing habitat fragmentation could erode this exchange. Maintaining hydrological corridors and monitoring genetically vulnerable subpopulations should be conservation priorities to preserve gene flow and long-term viability of L. annectens in northern Costa Rica. Full article
Show Figures

Figure 1

18 pages, 3952 KB  
Article
Determination of the Suitable Lake Surface Area of Typical Terminal Lakes in Arid Regions
by Hao Zhang, Hongbo Ling and Fulong Chen
Sustainability 2026, 18(3), 1411; https://doi.org/10.3390/su18031411 - 31 Jan 2026
Viewed by 91
Abstract
The continuous depletion of global groundwater resources has posed a serious threat to the ecological stability of terminal lakes in arid regions. However, accurate ecological assessment and water resource management of these lakes face a long-term key bottleneck—the determination of an appropriate lake [...] Read more.
The continuous depletion of global groundwater resources has posed a serious threat to the ecological stability of terminal lakes in arid regions. However, accurate ecological assessment and water resource management of these lakes face a long-term key bottleneck—the determination of an appropriate lake surface area. Previous research has primarily focused on identifying the minimum interannual suitable lake surface area, with limited exploration of the suitable area range for lakes experiencing significant annual surface area fluctuations. Taitema Lake is located in the southeastern Tarim Basin of arid northwest China and serves as the terminal lake for both the Tarim and Cherchen Rivers. This study examines Taitema Lake, a continental terminal lake in an arid region. We developed a comprehensive ecological security evaluation system based on landscape structure, steady-state conditions, and habitat elements to establish the minimum suitable lake surface area threshold. By combining this with the threshold for maximum suitable lake surface area—when ecological water use efficiency peaks—we determined the interannual suitable lake surface area for Taitema Lake to be 33.7–154.4 km2. This study employed the MIKE 11 one-dimensional hydrodynamic model. Within the constraints of the lake surface area range determined by ecological water demand, we propose ecological dispatching plans for specific periods. During the green-up period (April to May), water is alternately transferred through either the Wenkuoer River or the old Tarim River at a flow rate of 24 m3/s, with a total conveyance volume of 1.3 × 108 m3. For the sowing period (August to October), a dual-channel approach is used where both rivers transport water simultaneously at 27 m3/s each, resulting in a total conveyance volume of 4.3 × 108 m3. This study offers valuable insights, supported by multi-scale models, for optimizing water resource allocation and ecological protection of lakes in arid areas. Full article
Show Figures

Figure 1

18 pages, 12089 KB  
Article
Karrikin 1 Modulates Germination and Growth of Invasive Solidago gigantea: Potential for Ecological Management and Photoblastism Research
by Renata Bączek-Kwinta, Aleksandra Grabowska-Joachimiak, Agnieszka Baran and Aysha Rizwana Jamal
Appl. Sci. 2026, 16(3), 1419; https://doi.org/10.3390/app16031419 - 30 Jan 2026
Viewed by 100
Abstract
Outside their native habitat, goldenrods (Solidago spp.) threaten ecosystem biodiversity through aggressive vegetative reproduction and by establishing dense stands. Climate-driven fire risks and illegal grassland burning increase exposure to smoke-derived compounds such as karrikins (KARs), which are known to regulate germination and [...] Read more.
Outside their native habitat, goldenrods (Solidago spp.) threaten ecosystem biodiversity through aggressive vegetative reproduction and by establishing dense stands. Climate-driven fire risks and illegal grassland burning increase exposure to smoke-derived compounds such as karrikins (KARs), which are known to regulate germination and development in many species but have never been studied in goldenrods. Understanding KARs’ effects on seeds and rhizomes is essential for predicting invasion dynamics and designing effective management strategies. This study aimed to determine whether karrikin 1 (KAR1) influences seed germination and rhizome bud development in Solidago gigantea, thereby affecting its invasiveness and offering a potential method of control. Two geographically isolated populations were analyzed using seeds, soil, above-ground plant biomass and rhizomes. Germination tests evaluated whether KAR mimics light and gibberellic acid (GA), a known germination stimulant. Greenhouse trials assessed rhizome response, while field experiments monitored whole-plant performance over two years. KAR stimulated seed germination comparably to light and GA and promoted seedling emergence from the seed bank, but it inhibited rhizome sprouting by about 15%. It also enhanced the emergence of other species, suggesting broad physiological activity and the potential to influence early-season plant community dynamics. These findings highlight KAR’s potential as a management tool for invasive goldenrod and provide new insights into smoke-derived compounds as ecological regulators. Full article
(This article belongs to the Special Issue Sustainable Application of Ecosystem Services and Landscape Ecology)
Show Figures

Figure 1

25 pages, 12988 KB  
Article
Assessing the Impact of the G331 Highway on Three Types of Wildlife Groups’ Habitat and Connectivity in Changbai Mountain Using a Multi-Model Framework
by Mingming Zhuge, Li Wei, Jiejie Wang and Yuandong Hu
Land 2026, 15(2), 238; https://doi.org/10.3390/land15020238 - 30 Jan 2026
Viewed by 229
Abstract
Linear transportation infrastructure significantly contributes to biodiversity loss and habitat fragmentation. This study evaluates the impact of the G331 tourist highway on wildlife in the Changbai Mountain region using an integrated multi-model framework. The InVEST 3.14.1 model assessed the habitat quality, while MaxENT [...] Read more.
Linear transportation infrastructure significantly contributes to biodiversity loss and habitat fragmentation. This study evaluates the impact of the G331 tourist highway on wildlife in the Changbai Mountain region using an integrated multi-model framework. The InVEST 3.14.1 model assessed the habitat quality, while MaxENT v3.4.4 identified the habitat’s suitability for mammals, birds, and amphibians. Ecological source areas were derived by overlaying high-suitability and high-quality zones. A comprehensive resistance surface was constructed, and the Linkage Mapper toolbox identified potential ecological corridors, pinch points, and barrier points. Results reveal significant spatial conflicts between the highway and wildlife networks, with 16 ecological conflict points identified. The “common key area” that is critical for all three species groups covers only 1.2% of the total key area but holds the highest conservation value. This integrated framework not only diagnoses ecological impacts but also generates a prioritized spatial decision-support tool for conservation planning, demonstrating a replicable approach for assessing linear infrastructure in similar ecologically sensitive regions. Full article
(This article belongs to the Special Issue Landscape Fragmentation: Effects on Biodiversity and Wildlife)
Show Figures

Figure 1

30 pages, 2594 KB  
Review
Tracing Microplastic Pollution Through Animals: A Narrative Review of Bioindicator Approaches
by Kuok Ho Daniel Tang
Appl. Sci. 2026, 16(3), 1413; https://doi.org/10.3390/app16031413 - 30 Jan 2026
Viewed by 127
Abstract
Monitoring microplastic pollution relies increasingly on bioindicators that integrate environmental exposure across habitats. This review presents animals explicitly proposed as microplastic bioindicators in recent literature and qualitatively evaluates their appropriateness using established biomonitoring criteria encompassing ecological, physiological, and methodological dimensions. In aquatic systems, [...] Read more.
Monitoring microplastic pollution relies increasingly on bioindicators that integrate environmental exposure across habitats. This review presents animals explicitly proposed as microplastic bioindicators in recent literature and qualitatively evaluates their appropriateness using established biomonitoring criteria encompassing ecological, physiological, and methodological dimensions. In aquatic systems, bivalves (clams and mussels) demonstrate high suitability due to wide distribution, habitat-specific feeding, effective microplastic retention, and well-established analytical protocols. Fish exhibit intermediate suitability, as ecological representativeness and retention vary among species, and standardized methods often require multi-species approaches. Sessile organisms, including barnacles and sea anemones, align strongly with all three dimensions through spatial fidelity, effective retention, and methodological ease. Crustaceans and sponges also exhibit robust ecological relevance and high retention, with sponges uniquely integrating fine particles over time. Terrestrial and aerial indicators, such as carabid beetles and insectivorous birds, provide complementary coverage with moderate physiological integration and feasible ethical sampling. Sea turtles demonstrate exceptional physiological integration and methodological robustness at regional scales, despite non-sedentary behavior. Overall, taxa combining sedentary or spatially faithful ecology, effective microplastic retention, and standardized laboratory applicability, particularly bivalves, sponges, barnacles, sea anemones, and sediment-associated crustaceans, emerge as the most suitable bioindicators. Future research should prioritize harmonized, multi-taxa frameworks to improve standardization, cross-ecosystem comparability, and long-term microplastic monitoring. Full article
(This article belongs to the Section Green Sustainable Science and Technology)
Show Figures

Figure 1

13 pages, 1045 KB  
Article
Escape Tactics Used by Blanched Lesser Earless Lizards (Holbrookia maculata)
by Kaera L. Utsumi, Daanya Siddiqui, Janey B. Haddock, Makenna M. Orton, Telma G. Laurentino, Maria A. Eifler and Douglas A. Eifler
Diversity 2026, 18(2), 80; https://doi.org/10.3390/d18020080 - 30 Jan 2026
Viewed by 148
Abstract
Successful escapes depend on many factors, including predator type and habitat characteristics. Examining escape usually entails directly pursuing an individual and then measuring flight initiation distance (FID), but the effect of prolonged pursuit has not been well studied. We examined escape sequences by [...] Read more.
Successful escapes depend on many factors, including predator type and habitat characteristics. Examining escape usually entails directly pursuing an individual and then measuring flight initiation distance (FID), but the effect of prolonged pursuit has not been well studied. We examined escape sequences by blanched adult lesser earless lizards (Holbrookia maculata) in the Salt Basin Dunes (SBDs), testing the hypothesis that escape success and sequences would vary with sex and vegetation use. Their coloration is an adaptation to their sparsely vegetated white sand habitat. To evaluate escape behavior, we followed an individual directly until it disappeared (=successful escape), stopped moving, or 2 min elapsed. We recorded trial habitat (at the start and throughout), time to trial end, FID, length of moves, and total distance moved. FID varied with starting habitat—lizards beginning trials on exposed wood had the longest FID. The sexes differed in their move lengths: females made more short moves, while males made more long moves. The most important plant was sage (Artemisia filifolia), which was occupied at the start of 39% of trials, while 71% of trials ended in sage, and larger sage bushes supported longer escape sequences. Our study highlights the importance of vegetation for refuge and emphasizes the crucial role of the dune-plant landscape to lesser earless lizards. Full article
(This article belongs to the Special Issue Biogeography, Ecology and Conservation of Reptiles—Second Edition)
Show Figures

Figure 1

20 pages, 6686 KB  
Article
Impact of Global Changes on the Habitat in a Protected Area: A Twenty-Year Diachronic Analysis in Aspromonte National Park (Southern Italy)
by Antonio Morabito, Domenico Caridi and Giovanni Spampinato
Land 2026, 15(2), 235; https://doi.org/10.3390/land15020235 - 29 Jan 2026
Viewed by 183
Abstract
Global change represents one of the most pressing threats to ecosystems, profoundly influencing habitats and redefining management and conservation priorities. Rising temperatures, altered precipitation regimes, invasive species and the increasing frequency of extreme events, such as prolonged droughts and wildfires, are modifying the [...] Read more.
Global change represents one of the most pressing threats to ecosystems, profoundly influencing habitats and redefining management and conservation priorities. Rising temperatures, altered precipitation regimes, invasive species and the increasing frequency of extreme events, such as prolonged droughts and wildfires, are modifying the composition, structure, and resilience of forests. Often, these changes result in habitat fragmentation, which isolates populations and diminishes their ability to adapt. This situation calls for an urgent reassessment of traditional protected area management practices. In response to climate change, it is essential to prioritize conservation strategies that focus on adaptation and maintaining biodiversity, while combating the spread of invasive species. For this reason, this study aims to analyze the impact of global changes on forest vegetation within protected areas, using Aspromonte National Park, a highly biodiverse region, as a case study. It evaluates the transformations in habitat cover and fragmentation over twenty years by comparing the 2001 vegetation map of Aspromonte National Park with the Map of Nature of the Calabria region, to quantify spatial and temporal habitat variations using QGIS 3.42.3 software. Morphological Spatial Pattern Analysis (MSPA) and FRAGSTATS v4.2 were employed to evaluate habitat fragmentation. The results indicate that most forest habitats have experienced a slight increase in area over the past 20 years. However, the area occupied by Pinus nigra subsp. laricio forests (Habitat 42.65) has decreased significantly, most likely due to repeated fires in previous years. In conclusion, this study establishes a scientific foundation for guiding conservation policies in the protected area and promoting the resilience of native plant communities against global change. This is essential for ensuring their survival for future generations while mitigating both habitat fragmentation and the introduction and spread of non-native species. Full article
Show Figures

Figure 1

15 pages, 1261 KB  
Article
Fish Host Suitability for the Threatened Freshwater Pearl Mussel (Margaritifera margaritifera) and Implications for Reintroductions
by Stina Gustafsson, Olle Calles and Martin Österling
Diversity 2026, 18(2), 76; https://doi.org/10.3390/d18020076 - 29 Jan 2026
Viewed by 135
Abstract
Habitat restoration followed by species reintroduction is a key strategy for biodiversity recovery. For species with parasitic life stages, such as the freshwater pearl mussel (Margaritifera margaritifera), host suitability is crucial. Before a planned reintroduction of mussels into a newly constructed [...] Read more.
Habitat restoration followed by species reintroduction is a key strategy for biodiversity recovery. For species with parasitic life stages, such as the freshwater pearl mussel (Margaritifera margaritifera), host suitability is crucial. Before a planned reintroduction of mussels into a newly constructed nature-like fishway, we tested the compatibility of four brown trout (Salmo trutta) strains from local and foreign drainages as hosts for mussels from a nearby river. The strains included (a) a local sympatric wild strain, (b) a local allopatric wild strain from near the fishway, (c) a local allopatric hatchery strain used for stocking, and (d) a foreign allopatric hatchery strain. After forty days, infestation rates of the parasitic mussel glochidia did not differ significantly among strains, indicating that all could serve as hosts. Glochidia that developed on the local allopatric hatchery strain had the highest growth rate, suggesting the highest suitability for production under laboratory conditions. While stocking hatchery strains can have negative ecological impacts, local wild fish provide a sustainable option without continued introductions of hatchery strains. If wild fish are scarce, carefully chosen hatchery strains may support juvenile mussel production and reintroduction under controlled conditions. Our findings highlight the importance of evaluating host compatibility before mussel reintroduction and fish stocking. Full article
(This article belongs to the Special Issue Advances in Freshwater Mollusk Research)
Show Figures

Figure 1

Back to TopTop