Sign in to use this feature.

Years

Between: -

Subjects

remove_circle_outline
remove_circle_outline
remove_circle_outline
remove_circle_outline
remove_circle_outline
remove_circle_outline
remove_circle_outline
remove_circle_outline
remove_circle_outline

Journals

remove_circle_outline
remove_circle_outline
remove_circle_outline
remove_circle_outline
remove_circle_outline
remove_circle_outline
remove_circle_outline
remove_circle_outline
remove_circle_outline
remove_circle_outline
remove_circle_outline

Article Types

Countries / Regions

remove_circle_outline
remove_circle_outline
remove_circle_outline
remove_circle_outline

Search Results (1,276)

Search Parameters:
Keywords = first bend

Order results
Result details
Results per page
Select all
Export citation of selected articles as:
23 pages, 4462 KB  
Article
Analysis of Detailed and Simplified Finite Element Modelling Strategies for Simulating the Failure Behaviour of Timber Frame Diaphragms
by Dries Byloos, Tine Engelen and Bram Vandoren
Buildings 2026, 16(7), 1372; https://doi.org/10.3390/buildings16071372 - 30 Mar 2026
Abstract
Timber frame diaphragms play a central role in the lateral stability of modern timber buildings, yet current design codes insufficiently capture their nonlinear behaviour and governing failure mechanisms. This study evaluates two finite element modelling strategies to improve the prediction of diaphragm response. [...] Read more.
Timber frame diaphragms play a central role in the lateral stability of modern timber buildings, yet current design codes insufficiently capture their nonlinear behaviour and governing failure mechanisms. This study evaluates two finite element modelling strategies to improve the prediction of diaphragm response. The first strategy, implemented in MATLAB®, explicitly models the nonlinear behaviour of sheathing-to-framing (STF) connections using an oriented orthogonal multilinear damage law. Validation against experimental tests on partially anchored and fully anchored diaphragms as well as in-plane bending specimens demonstrated accurate predictions of stiffness and force–displacement behaviour in both the linear-elastic and elastoplastic ranges. Deviations in peak load predictions for the detailed model reached up to approximately 25%, while stiffness predictions remained within approximately 10% of the experimental values. The second approach, implemented in commercial structural engineering software, represents STF connections by uncoupled elastoplastic spring elements. Although post-peak softening cannot be captured, peak capacities were predicted within approximately 3–5% for several configurations, with reliable stiffness estimates in most cases. A quantitative comparison using the normalised root mean square error between experimental and numerical force-displacement curves yielded values between approximately 5% and 14%, indicating good agreement between the numerical predictions and the experimental behaviour. Overall, the detailed model enables high-fidelity nonlinear analysis and insight into failure mechanisms, whereas the simplified spring approach offers a practical and computationally efficient modelling strategy suitable for routine engineering design. Full article
20 pages, 4338 KB  
Article
Analytical and Numerical Evaluation of Additional Deflection in Tapered Steel Beams with Variable Diameter Web Openings
by Amine Osmani, Amine Zemri, Abdelwahhab Khatir and Si Fodil Djamel
Buildings 2026, 16(7), 1368; https://doi.org/10.3390/buildings16071368 - 30 Mar 2026
Abstract
This study presents an analytical formulation for predicting the additional elastic deflection of tapered steel beams with variable-diameter circular web openings, a configuration that is not addressed by existing analytical models or current design codes. The proposed formulation accounts for the coupled effects [...] Read more.
This study presents an analytical formulation for predicting the additional elastic deflection of tapered steel beams with variable-diameter circular web openings, a configuration that is not addressed by existing analytical models or current design codes. The proposed formulation accounts for the coupled effects of cross-section tapering, progressive variation in opening diameter along the span, and shear–bending interaction within perforated regions. To the best of the authors’ knowledge, this is the first analytical model addressing such complex non-prismatic cellular beam configurations. The formulation is implemented in MATLAB R2019a, enabling fast and automated deflection calculations over a wide parametric range, including various loading cases, tapering ratios, beam spans, web-post widths, and opening dimensions. For prismatic configurations, the analytical predictions are benchmarked against Eurocode 3 and the SCI P355 design guide, both originally developed for beams with constant cross-sections and regular openings. The results demonstrate the improved accuracy and broader applicability of the proposed approach. For tapered configurations with variable-diameter openings, the formulation is assessed against finite element simulations performed in Abaqus/CAE 2017, with the numerical model previously validated against experimental results available in the literature. The proposed method provides a reliable and practical analytical tool for the serviceability assessment of tapered perforated steel beams in structural engineering applications. Full article
(This article belongs to the Special Issue Advanced Applications of AI-Driven Structural Control)
Show Figures

Figure 1

28 pages, 5608 KB  
Article
Elastic Behavior and Load-Carrying Capacity of Longitudinal Shuttle-Shaped Concrete-Filled Steel Column with Cruciform Sections
by Boli Zhu, Qiang Fu, Haoxiang Liao and Xiaodong Wang
Buildings 2026, 16(7), 1301; https://doi.org/10.3390/buildings16071301 - 25 Mar 2026
Viewed by 122
Abstract
Longitudinal shuttle-shaped concrete-filled steel column with cruciform sections (LSS-CFST-CS) is highly valued by architects and structural engineers for its distinctive appearance and significant architectural impact in spatial steel structures. However, there are currently no available studies addressing the buckling behavior, load-carrying capacity, and [...] Read more.
Longitudinal shuttle-shaped concrete-filled steel column with cruciform sections (LSS-CFST-CS) is highly valued by architects and structural engineers for its distinctive appearance and significant architectural impact in spatial steel structures. However, there are currently no available studies addressing the buckling behavior, load-carrying capacity, and strength design methods of such structures. This study numerically investigates the elastic buckling behavior, load-carrying capacity, and design methods of LSS-CFST-CS under axial compression, as well as under combined axial compression and bending moment. First, closed-form solutions for the elastic buckling load under axial compression are derived for a pinned–pinned tapered concrete-filled steel column (TCFST) with cruciform sections and standard LSS-CFST-CS, respectively. The resulting solutions are validated against finite element (FE) numerical results from a wide range of LSS-CFST-CS examples, and the corresponding buckling modes are examined. Next, a unified expression for the elastic buckling load under axial compression is established for both types of TCFST and standard LSS-CFST-CS. Finally, a parametric study incorporating initial geometric imperfections is conducted to investigate the load-carrying capacity of LSS-CFST-CS and to quantify the influence of key parameters on stability capacity. On this basis, design recommendations for the stability capacity are proposed for axial compression and combined axial compression and bending moment of LSS-CFST-CS, respectively. Full article
(This article belongs to the Special Issue Large-Span, Tall and Special Steel and Composite Structures)
Show Figures

Figure 1

26 pages, 11208 KB  
Article
Deep-Sea Target Localization with Entropy Reduction: Sound Ray Bending Correction Based on TOA Time Series Analysis and Joint TOA-AOA Fusion
by Yuzhu Kang, Xiaohong Shen, Haiyan Wang, Yongsheng Yan and Tianyi Jia
Entropy 2026, 28(4), 373; https://doi.org/10.3390/e28040373 - 25 Mar 2026
Viewed by 121
Abstract
Unlike terrestrial environments, the inhomogeneity distribution of underwater sound speed poses significant challenges for underwater ranging and target localization. In the presence of sound ray bending and sensor node position errors in underwater acoustic sensor networks (UASNs), this paper proposes a joint TOA-AOA [...] Read more.
Unlike terrestrial environments, the inhomogeneity distribution of underwater sound speed poses significant challenges for underwater ranging and target localization. In the presence of sound ray bending and sensor node position errors in underwater acoustic sensor networks (UASNs), this paper proposes a joint TOA-AOA deep-sea target localization framework based on sound ray bending correction. From the perspective of information theory and time series analysis, the TOA measurements are time series signals carrying target position information, and the entropy-based analysis quantifies the fundamental limit on localization uncertainty. First, based on the TOA time series measurements and combined with the acoustic propagation characteristics of the deep sea, a sound ray bending correction method is adopted to improve the accuracy of slant range measurement. To enhance target localization accuracy, this paper proposes a two-step WLS closed-form solution based on TOA-AOA. To further reduce localization bias, a maximum likelihood estimation (MLE) method based on the Gauss-Newton is also derived. Subsequently, the paper derives and analyzes the Cramér-Rao lower bound (CRLB) for target localization, proving theoretically that jointly using TOA-AOA can improve localization accuracy. Simulations verify the performance of the proposed methods. The slant range estimation method based on sound ray bending correction effectively improves range measurement accuracy. The proposed closed-form solution enhances target localization accuracy, achieving the CRLB accuracy. The Gauss-Newton MLE solution can attain the CRLB accuracy under certain localization geometries and further reduces localization bias. Full article
(This article belongs to the Special Issue Time Series Analysis for Signal Processing)
Show Figures

Figure 1

20 pages, 2737 KB  
Article
Ammonium Bisulfite and Urea–Metabisulfite as Formaldehyde Scavengers in Low-Molar-Ratio Urea–Formaldehyde Resin for Medium-Density Fiberboard: Curing Behavior and Panel Performance
by Viktoria Dudeva, Georgi Ivanov, Viktor Savov, Petar Antov, Konstantinos Ninikas, Stoyko Petrin and Alexandrina Kostadinova-Slaveva
Polymers 2026, 18(7), 786; https://doi.org/10.3390/polym18070786 - 25 Mar 2026
Viewed by 266
Abstract
Ultra-low-formaldehyde medium-density fiberboard (MDF) is commonly produced using low-molar-ratio urea-formaldehyde (UF) resins; however, the reduced formaldehyde-to-urea ratio also lowers resin reactivity and can complicate curing. The aim of this research work was to investigate and evaluate the performance of ammonium bisulfite and urea–metabisulfite [...] Read more.
Ultra-low-formaldehyde medium-density fiberboard (MDF) is commonly produced using low-molar-ratio urea-formaldehyde (UF) resins; however, the reduced formaldehyde-to-urea ratio also lowers resin reactivity and can complicate curing. The aim of this research work was to investigate and evaluate the performance of ammonium bisulfite and urea–metabisulfite as formaldehyde scavengers for a low-molar-ratio UF resin (F/U = 1.06) at 1, 3, and 5 wt% (based on dry UF resin solids) used for MDF panel manufacturing. The modified adhesive systems were first screened by simultaneous thermal analysis in air to determine changes in the curing profile, and laboratory panels were then produced and evaluated for formaldehyde content by the perforator method (EN ISO 12460-5:2015) and for the main physical and mechanical properties. Ammonium bisulfite shifted the main curing peak to higher temperatures, indicating stronger retardation of the principal polycondensation stage, whereas urea–metabisulfite generated a broader, multi-peak curing profile. Despite these differences, both additives reduced the perforator values substantially. The control MDF already met the E0 level (3.84 mg/100 g oven-dry board), while 3 wt% ammonium bisulfite and 5 wt% urea–metabisulfite reached the super E0 levels (<1.5 mg/100 g; 1.36 and 1.26 mg/100 g, respectively). To note, scavenger addition up to 5 wt% (based on dry UF resin solids) did not significantly affect density, water absorption/thickness swelling, or bending and internal bond properties. The results demonstrate that sulfite-based scavengers can be incorporated into low-molar-ratio UF adhesives to obtain ultra-low-formaldehyde MDF while maintaining the main panel properties. Full article
(This article belongs to the Special Issue Advances in Wood and Wood Polymer Composites)
Show Figures

Figure 1

14 pages, 3030 KB  
Article
Universal High-Resolution Copper Patterning on Diverse Substrates via Sequential Laser-Induced Transfer and Electroless Plating
by Yaqiang Ji, Juexuan Xu, Weibin Yin, Yuhao Huang, Ru Pan and Yiming Chen
Micromachines 2026, 17(4), 391; https://doi.org/10.3390/mi17040391 - 24 Mar 2026
Viewed by 203
Abstract
The fabrication of high-resolution and mechanically robust copper patterns remain a critical challenge in flexible electronics. Here, we present a universal metallization strategy that combines sequential two-step laser transfer, including laser-induced backward transfer and laser-induced forward transfer, with subsequent electroless copper plating. In [...] Read more.
The fabrication of high-resolution and mechanically robust copper patterns remain a critical challenge in flexible electronics. Here, we present a universal metallization strategy that combines sequential two-step laser transfer, including laser-induced backward transfer and laser-induced forward transfer, with subsequent electroless copper plating. In this approach, laser-induced backward transfer first generates a transferable copper particle donor layer; subsequently, laser-induced forward transfer selectively embeds these catalytic copper particles into the surface of target substrates, constructing spatially confined activation networks while minimizing direct thermal exposure. These embedded seeds are then amplified into continuous copper conductors via electroless copper plating, achieving a high-resolution pattern (average minimum linewidth of approximately 20 μm) with robust interfacial integrity. Benefiting from laser-induced mechanical interlocking, the resulting copper patterns exhibit a low electrical resistivity of ~2.0 × 10−8 Ω·m (comparable to bulk copper) and maintain stable electromechanical performance even after 8000 bending cycles across a radius range of 3 to 6 mm. Furthermore, the fabricated versatile electrodes are successfully integrated into a triboelectric nanogenerator for tactile sensing and Morse code transmission. With its inherent substrate universality (e.g., polyimide, wood, fabric, and paper) and process scalability, this strategy provides a versatile route for manufacturing reliable copper electrodes in next-generation flexible electronic systems. Full article
(This article belongs to the Special Issue Optical and Laser Material Processing, 2nd Edition)
Show Figures

Figure 1

21 pages, 3370 KB  
Article
Understanding Mechanical Properties of Nothofagus alpina (Poepp. & Endl.) Oerst. Wood Through Controlled Freeze–Heat Treatments: Linking Physical, Chemical, and Structural Changes
by Rodrigo Valle, Romina E. Inostroza, Luis Soto-Cerda, Wilmer Bueno-Silva, Marcelo Muñoz-Vera, Víctor Tuninetti and Ricardo I. Castro
Materials 2026, 19(6), 1275; https://doi.org/10.3390/ma19061275 - 23 Mar 2026
Viewed by 285
Abstract
Wood is a versatile material; however, it is susceptible to changes when exposed to extreme temperatures. This study investigated the physical, chemical, and mechanical properties of raulí (Nothofagus alpina) under different thermal stress conditions. The results showed that the moisture content at [...] Read more.
Wood is a versatile material; however, it is susceptible to changes when exposed to extreme temperatures. This study investigated the physical, chemical, and mechanical properties of raulí (Nothofagus alpina) under different thermal stress conditions. The results showed that the moisture content at temperatures below 5 °C exhibited a significant reduction from 9.7% to 7.5% within the first 20 days. Conversely, under extreme cold (−20 °C), significant changes only occurred after 60 days, with an increase from 9.7% to 11%. At higher temperatures (50 °C, 95 °C, and 120 °C), moisture content dropped sharply after 40 days, nearing 0%. Additionally, analysis showed minor color changes in samples at low temperatures: RW2 (20 d; 5 °C, ΔE* = 3.46) and RW7 (40 d; 5 °C, ΔE* = 0.61); however, color changes were observed at higher temperatures (95–120 °C). RW15 (60 d; 120 °C, ΔE* = 37.16), indicating the degradation of cell wall polymers. Mechanical testing using three-point bending demonstrated that controlled heat treatments can improve the modulus of elasticity (MOE), modulus of rupture (MOR), and fracture energy. The most significant improvements were obtained at 120 °C for 60 days, with increases in MOE, MOR, and fracture energy of 22%, 60%, and 118%, respectively, compared to untreated wood. Full article
(This article belongs to the Special Issue Development and Application of Wood-Based Materials)
Show Figures

Graphical abstract

17 pages, 1752 KB  
Article
Dynamic Response Evolutions of Monopile Offshore Wind Turbines Under Wind–Wave Coupling
by Jingcai Zhang, Shuhang Wang, Hao Yang, Lingxi Gu, Siyu Liu, Jianhui Xu and Zhenyuan Gu
J. Mar. Sci. Eng. 2026, 14(6), 590; https://doi.org/10.3390/jmse14060590 - 23 Mar 2026
Viewed by 215
Abstract
Offshore wind turbines (OWTs) are subjected to long-term coupled wind–wave loads, and frequently endure extreme loads under wind speeds exceeding the cut-out speed during service. This paper uses the OpenFAST v4.0.0 to conduct a detailed numerical analysis of an offshore monopile wind turbine, [...] Read more.
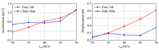
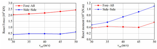
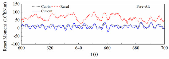
Offshore wind turbines (OWTs) are subjected to long-term coupled wind–wave loads, and frequently endure extreme loads under wind speeds exceeding the cut-out speed during service. This paper uses the OpenFAST v4.0.0 to conduct a detailed numerical analysis of an offshore monopile wind turbine, investigating its aerodynamic loads, tower deformation, displacement, acceleration, and foundation reactions under cut-in, rated and cut-out conditions, and further explores the influence of reference wind speed. Distinct response discrepancies are identified between directions and operating conditions. Fore–aft (F-A) responses are dominated by axial thrust and the first-order bending mode, reaching their peak under the rated condition. Side–side (S-S) responses are controlled by lateral turbulence; under cut-out conditions, the sharply reduced aerodynamic damping triggers significant higher-order mode participation, resulting in the maximum S-S responses. With increasing reference wind speed, F-A responses rise monotonically, while S-S displacement tends to plateau above a critical wind speed. The aerodynamic loads differ sharply across cut-in, rated and cut-out conditions; F-A thrust fluctuates between 0.25 × 103 and 0.75 × 103 kN at the rated condition and nears zero at the cut-out condition. The nacelle’s F-A acceleration peaks at 0.503 m/s2 under the rated condition, while S-S acceleration peaks at 1.32 m/s2 under the cut-out condition. The OWT’s tower F-A displacement peaks at 0.689 m under the rated condition, while S-S displacement peaks at 0.429 m under the cut-out condition. Full article
(This article belongs to the Special Issue Analysis of Strength, Fatigue, and Vibration in Marine Structures)
Show Figures

Figure 1

44 pages, 4569 KB  
Article
LSTM-Based Fast Prediction of Seismic Response and Fragility for Bridge Pile-Group Foundations: A Data-Driven Design Approach
by Zhenfeng Han, Deming She and Jun Liu
Designs 2026, 10(2), 37; https://doi.org/10.3390/designs10020037 - 23 Mar 2026
Viewed by 239
Abstract
Rapid and accurate prediction of seismic response and fragility for bridge pile-group foundations (PGFs) is crucial for assessing seismic resilience. However, the high computational cost of traditional high-fidelity nonlinear analysis limits the application of probabilistic seismic risk analysis. To address this, an integrated [...] Read more.
Rapid and accurate prediction of seismic response and fragility for bridge pile-group foundations (PGFs) is crucial for assessing seismic resilience. However, the high computational cost of traditional high-fidelity nonlinear analysis limits the application of probabilistic seismic risk analysis. To address this, an integrated deep learning framework is proposed that employs a unidirectional, multi-layer LSTM network for end-to-end prediction of structural responses directly from ground motions. The proposed model features two innovations. First, its multi-output capability enables simultaneous prediction of complete response time histories and peak values for key engineering demand parameters—bending moment, curvature, and pile cap displacement. Second, the network incorporates sliding time windows and residual connections to capture complex nonlinear soil–structure interaction. These predictions are integrated into a probabilistic seismic demand model to generate fragility curves. The framework is validated using a high-fidelity OpenSees model of a real bridge PGF subjected to 1000 ground motions. Results demonstrate the model’s excellent predictive accuracy: for peak bending moment, the mean predicted-to-actual ratio ranges from 0.97 to 1.03, with standard deviation below 0.12; the derived fragility curves show excellent agreement with benchmarks, achieving an average R2 of 0.985 across four damage states. More importantly, the framework reduces the time for a complete fragility assessment (200 incremental dynamic analyses) from approximately 12 h to about 1 s—a 40,000× speed-up—making data-driven rapid and large-scale seismic risk assessment a reality. The proposed framework provides engineers with a practical design tool for rapidly evaluating alternative foundation configurations and informing seismic design decisions, thereby integrating advanced data-driven methods directly into the engineering design workflow. Full article
(This article belongs to the Special Issue Intelligent Infrastructure and Construction in Civil Engineering)
Show Figures

Figure 1

19 pages, 2252 KB  
Article
Research on Cable Force Optimization for the Construction of Reinforced Concrete Arch Bridges Based on Improved Whale Optimization Algorithm and Support Vector Machine
by Hongping Ye, Jianjun Liu, Jian Yang, Jinbo Zhu, Jijin Zhang, Zhimei Jiang and Zhongya Zhang
Buildings 2026, 16(6), 1254; https://doi.org/10.3390/buildings16061254 - 22 Mar 2026
Viewed by 144
Abstract
To address the issue of cable force optimization during the cantilever casting stage of reinforced concrete arch bridge construction, this study proposes a cable force optimization method based on an Improved Whale Optimization Algorithm (IWOA) combined with a Support Vector Machine (SVM) model. [...] Read more.
To address the issue of cable force optimization during the cantilever casting stage of reinforced concrete arch bridge construction, this study proposes a cable force optimization method based on an Improved Whale Optimization Algorithm (IWOA) combined with a Support Vector Machine (SVM) model. First, the standard Whale Optimization Algorithm is enhanced through Tent chaotic mapping, a nonlinear iterative control parameter, adaptive weight factors, and adaptive threshold strategies. The improved algorithm is then used to optimize key parameters (C, g) in the SVM model, constructing a parameter-optimized cable force combination-structure response prediction model for the arch bridge. Next, with the average tensile stress of the arch ring’s top and bottom slabs during construction and the bending strain energy after bridge completion as target variables, a multi-objective optimization mathematical model for cable forces during the construction stage of reinforced concrete arch bridges based on IWOA-SVM was established. Finally, the feasibility of the method was validated using the Shatuo Bridge project as a case study. The results indicate that compared to the finite element optimization method, the IWOA-SVM cable force optimization method significantly improved computational efficiency while ensuring optimization effectiveness. After optimization, the peak tensile stress and vertical displacement of each arch segment were significantly reduced, leading to improved internal force distribution and alignment, thereby enhancing the overall structural safety and reliability of reinforced concrete arch bridges. Full article
Show Figures

Figure 1

44 pages, 6890 KB  
Article
Evaluation of Aging Effects on Asphalt Binders and Pavements: Rheological Responses to Rejuvenators and Numerical Analysis of Polymer Modification
by Ahmet Sertac Karakas
Polymers 2026, 18(6), 759; https://doi.org/10.3390/polym18060759 - 20 Mar 2026
Viewed by 333
Abstract
The restricted availability of raw materials underscores the significance of recycling asphalt materials that have reached the end of their service life, facilitating their reuse with additives for economic and sustainability benefits. The study includes both empirical investigations and numerical analyses. Empirical studies [...] Read more.
The restricted availability of raw materials underscores the significance of recycling asphalt materials that have reached the end of their service life, facilitating their reuse with additives for economic and sustainability benefits. The study includes both empirical investigations and numerical analyses. Empirical studies were conducted in four stages to evaluate the binder and mixture. First, the rheological properties of binders obtained from various sources were assessed in both unmodified and modified states. Second, the binders were subjected to different levels of aging. Third, the presence of additives in the binders was investigated. In the final stage, the analysis of asphalt pavement layers was conducted using the finite element method (FEM) for both modified and unmodified binders. Performance tests were carried out to evaluate the binder’s properties, and physical examinations were conducted to compare these properties. The binders were tested under both unaged and aged conditions using linear amplitude sweep (LAS), frequency sweep (FS), multiple stress creep recovery (MSCR), and bending beam rheometer (BBR) tests. The results indicated that aging increased the stiffness of the binders, regardless of their source. Additionally, the introduction of a rejuvenator reduced the binder’s stiffness, particularly at low temperatures. Findings showed that the growth rate (GR) and rutting parameters increased with binder aging, while the frequency decreased. The R2 value of 0.92 demonstrates a strong correlation between the parameters. Polymer-modified binders demonstrated superior deformation resistance and higher stiffness stability. Overall, aging reduced asphalt flexibility, whereas modified binders improved long-term pavement deformation performance. Full article
(This article belongs to the Section Polymer Applications)
Show Figures

Graphical abstract

36 pages, 8397 KB  
Article
Intelligent Predictive Analysis of Lateral Torsional Buckling in Pre-Stressed Thin-Walled Steel Beams with Un-Bonded Deviators Under Non-Uniform Bending
by Ali Turab Asad, Moon-Young Kim, Imdad Ullah Khan and Agha Intizar Mehdi
Buildings 2026, 16(6), 1153; https://doi.org/10.3390/buildings16061153 - 14 Mar 2026
Viewed by 298
Abstract
This study presents a newly conducted comprehensive investigation into the lateral torsional buckling (LTB) behavior of un-bonded pre-stressed (PS) thin-walled steel I-beams subjected to non-uniform bending moments, combining a numerical study with a machine learning (ML) approach and experimental validation. Despite extensive prior [...] Read more.
This study presents a newly conducted comprehensive investigation into the lateral torsional buckling (LTB) behavior of un-bonded pre-stressed (PS) thin-walled steel I-beams subjected to non-uniform bending moments, combining a numerical study with a machine learning (ML) approach and experimental validation. Despite extensive prior work, no exact analytical solution exists particularly for non-uniform bending or can be extremely complicated, as the resulting differential equations contain variable coefficients particularly under non-uniform bending due to the complexity of the PS system. To overcome this limitation, a numerical study using finite element (FE) analysis is first conducted with emphasis on the key geometric and pre-stressing parameters, including unbraced beam length, tendon eccentricity, deviators configurations, and pre-stressing force, to evaluate the LTB behavior. The FE modeling was then validated against experimental testing to ensure the accuracy and reliability of the FE solutions. Subsequently, a comprehensive dataset is generated using FE simulations to train the ML models aimed at predicting the LTB resistance of the PS system. This study presents three ML approaches, including support vector regression (SVR), random forest (RF) and least-square boosting (LSBoost), and their optimal hyperparameters are determined using Bayesian optimization (BO) to enhance the prediction performance. The results indicate that the LTB capacity predicted by the Bayesian-optimized ML models achieve high predictive accuracy and are in close agreement with numerical FE simulations, thereby highlighting their potential in capturing the complex, underlying non-linear interactions influencing the buckling behavior of the PS structural system. Accordingly, the proposed framework offers a robust and effective predictive tool for evaluating LTB resistance, particularly under non-uniform bending where exact analytical solutions are not available, and for supporting the design and assessment of PS steel structures. Full article
(This article belongs to the Section Building Structures)
Show Figures

Figure 1

19 pages, 3564 KB  
Article
Influence of Architected Core Topology on the Dynamic and Flexural Behaviour of Multi-Material Sandwich Structures
by Hilal Doğanay Katı and Muhammad Khan
Polymers 2026, 18(6), 711; https://doi.org/10.3390/polym18060711 - 14 Mar 2026
Viewed by 359
Abstract
The integration of mechanics-based analysis and materials design procedures has become central to the development of multi-material structures with tailored mechanical and dynamic performance. In this study, the dynamic and flexural behaviour of multi-material FDM sandwich beams composed of PETG face sheets and [...] Read more.
The integration of mechanics-based analysis and materials design procedures has become central to the development of multi-material structures with tailored mechanical and dynamic performance. In this study, the dynamic and flexural behaviour of multi-material FDM sandwich beams composed of PETG face sheets and an ABS core is experimentally investigated. Seven different infill patterns Grid, Line, Wavy, Honeycomb, Gyroid, Cubic, and Triangle were implemented in the core layer to assess their influence on damping and natural frequency behaviour. Experimental modal analysis was performed using impact testing to identify the first three vibration modes. Natural frequencies were extracted from Frequency Response Functions (FRFs), and modal damping ratios were determined using the half-power bandwidth method. The reliability of the damping results was evaluated through statistical analysis. Additionally, quasi-static three-point bending tests were conducted to assess flexural strength and load-carrying capacity. The results demonstrate that infill topology has a significant impact on both dynamic and mechanical responses. In particular, geometrically complex infill patterns exhibit enhanced stiffness, higher natural frequencies, and improved damping performance. Among the investigated designs, the Triangle infill exhibited the highest natural frequency values across the first three vibration modes (f1 ≈ 24.910 Hz, f2 ≈ 162.609 Hz, f ≈ 466.595 Hz), indicating its superior stiffness characteristics. In terms of damping behaviour, the Cubic infill showed the highest loss factor in the first vibration mode (0.0426), while the Line and Gyroid patterns exhibited the highest damping in the second (0.0439) and third modes (0.0354), respectively. Moreover, the force–displacement results revealed that the Triangle infill exhibited the highest load-bearing capacity, further confirming its superior structural stiffness among the investigated designs (SEA = 110.83 J/kg). These findings highlight the potential of multi-material FDM for designing polymer-based sandwich structures with tailored vibration and energy dissipation characteristics. Full article
Show Figures

Figure 1

17 pages, 17553 KB  
Article
Study on the Self-Healing Performance of Microcapsule-Modified Recycled Asphalt Mixtures
by Bosong Jia, Guangqing Yang, Qiaoyi Li and Xinwen Zhang
Coatings 2026, 16(3), 369; https://doi.org/10.3390/coatings16030369 - 14 Mar 2026
Viewed by 271
Abstract
The incorporation of reclaimed asphalt pavement (RAP) in asphalt mixtures improves sustainability but significantly reduces the intrinsic self-healing capacity due to binder aging. This study aimed to quantify whether epoxy-coated rejuvenator microcapsules could restore and enhance the self-healing performance of RAP-containing recycled asphalt [...] Read more.
The incorporation of reclaimed asphalt pavement (RAP) in asphalt mixtures improves sustainability but significantly reduces the intrinsic self-healing capacity due to binder aging. This study aimed to quantify whether epoxy-coated rejuvenator microcapsules could restore and enhance the self-healing performance of RAP-containing recycled asphalt mixtures. Four mixture types (AC-10C, AC-13C, AC-16C, and SMA-13C) containing 20% RAP were evaluated using a fracture–healing–refracture bending test (Repair index, RC) and a splitting healing strength ratio (SHSR) test to determine the effects of healing time, temperature, and microcapsule dosage. RC increased rapidly during the first 8 h of healing and then approached stabilization, with the growth rate falling below 2%, indicating 8 h as the practical optimum healing duration. RC increased from 0 °C to 45 °C due to enhanced binder mobility and diffusion, and slightly decreased at 60 °C because temperature-induced softening reduced peak bending strength. The highest self-healing capacity was obtained at a microcapsule dosage of 4% (by RAP mass). Under the optimum healing condition (8 h and 45 °C), RC increased by 10.38%–13.50% and SHSR increased by 14.35%–25.27% compared with mixtures without microcapsules. Among the mixtures, SMA-13C exhibited the highest self-healing capacity, followed by AC-13C, AC-10C, and AC-16C. The contribution of this study lies in quantifying the healing enhancement in RAP-containing mixtures, identifying practical optimum healing conditions based on a growth-rate criterion, and demonstrating consistent trends between two healing indices across different mixture structures. Full article
(This article belongs to the Section Environmental Aspects in Colloid and Interface Science)
Show Figures

Figure 1

25 pages, 5641 KB  
Article
Fatigue Experiment and Life Evaluation of Straight Face Gears Formed with Hot Rolling
by Yandong Xu, Bingyang Wei, Jianxin Su, Chuang Jiang and Jing Deng
Appl. Sci. 2026, 16(6), 2758; https://doi.org/10.3390/app16062758 - 13 Mar 2026
Viewed by 169
Abstract
It is difficult to effectively evaluate the technology used to test fatigue in face gears due to their complexity, the lack of experimental data, and weak life evaluation methods. In this paper, we study fatigue experiment technology and carry out a life evaluation [...] Read more.
It is difficult to effectively evaluate the technology used to test fatigue in face gears due to their complexity, the lack of experimental data, and weak life evaluation methods. In this paper, we study fatigue experiment technology and carry out a life evaluation for hot rolling straight face gears. A hot rolling forming test was completed by analyzing and simulating the rolling formation of face gears, and the bending stress and fatigue life of face gears was simulated. We designed an experimental scheme and test bench for testing fatigue in straight face gears; this is the first bending fatigue life experiment carried out on hot rolling straight face gears in China. The BP neural network–Bootstrap sample expansion method and GM(1,1) model were carried out to evaluate the fatigue life of hot rolling straight face gears under information-poor conditions. A comparative analysis was carried out with skiving-formed straight face gears, which verifies the feasibility and superiority of hot rolling forming for straight face gears. This study provides a theoretical basis and technological support for the study of fatigue resistance in face gears, and applications for machine installations are provided. Full article
Show Figures

Figure 1

Back to TopTop