Sign in to use this feature.

Years

Between: -

Subjects

remove_circle_outline
remove_circle_outline
remove_circle_outline
remove_circle_outline
remove_circle_outline
remove_circle_outline
remove_circle_outline
remove_circle_outline
remove_circle_outline

Journals

remove_circle_outline
remove_circle_outline
remove_circle_outline
remove_circle_outline
remove_circle_outline
remove_circle_outline

Article Types

Countries / Regions

remove_circle_outline
remove_circle_outline
remove_circle_outline
remove_circle_outline

Search Results (543)

Search Parameters:
Keywords = finite difference formulation

Order results
Result details
Results per page
Select all
Export citation of selected articles as:
31 pages, 15759 KB  
Article
Effects of Diffusion Limitations and Partitioning on Signal Amplification and Sensitivity in Bienzyme Electrochemical Biosensors Employing Cyclic Product Conversion
by Romas Baronas and Karolis Petrauskas
Appl. Sci. 2026, 16(3), 1171; https://doi.org/10.3390/app16031171 - 23 Jan 2026
Abstract
In this study, the nonlinear and non-monotonic behavior of amperometric bienzyme biosensors employing an enzymatic trigger reaction is investigated analytically and computationally using a two-compartment model comprising an enzymatic layer and an outer diffusion layer. The trigger enzymatic reaction is coupled with a [...] Read more.
In this study, the nonlinear and non-monotonic behavior of amperometric bienzyme biosensors employing an enzymatic trigger reaction is investigated analytically and computationally using a two-compartment model comprising an enzymatic layer and an outer diffusion layer. The trigger enzymatic reaction is coupled with a cyclic electrochemical–enzymatic conversion (CEC) process. The model is formulated as a system of reaction–diffusion equations incorporating nonlinear Michaelis–Menten kinetics and interlayer partitioning effects. Exact steady-state analytical solutions for substrate and product concentrations, as well as for the output current, are obtained for specific cases of first- and zero-order reaction kinetics. At the transition conditions, biosensor performance is further analyzed numerically using the finite difference method. The CEC biosensor exhibits the highest signal gain when the first enzyme has low activity and the second enzyme has high activity; however, under these conditions, the response time is the longest. When the first enzyme possesses a higher substrate affinity (lower Michaelis constant) than the second, the biosensor demonstrates severalfold higher current and gain compared to the reverse configuration under identical diffusion limitations. Furthermore, increasing external mass transport resistance or interfacial partitioning can enhance the apparent signal gain. Full article
20 pages, 5627 KB  
Article
A Practical Framework for Parameter Selection and Calibration of the Barcelona Basic Model for the Mechanical Behaviour of Unsaturated Collapsible Soils
by Soha Emad Said, Yasser Moghazy El-Mossallamy, Hossam El-Din Abdallah Ali and Ashraf Ahmed El-Shamy
Appl. Sci. 2026, 16(2), 1072; https://doi.org/10.3390/app16021072 - 21 Jan 2026
Abstract
The Barcelona Basic Model (BBM) is a well-established constitutive framework for describing the mechanical behaviour of unsaturated collapsible soils within the context of critical state soil mechanics. Despite its robustness, its application in engineering practice remains limited due to the complexity of its [...] Read more.
The Barcelona Basic Model (BBM) is a well-established constitutive framework for describing the mechanical behaviour of unsaturated collapsible soils within the context of critical state soil mechanics. Despite its robustness, its application in engineering practice remains limited due to the complexity of its formulation and challenges associated with reliable parameter determination. This study presents a practical framework for the selection and calibration of BBM parameters for Jossigny silt, using laboratory test data reported in the literature, employing a sequential approach supported by engineering judgement and a clear understanding of the original model formulation. The calibrated parameters are implemented in PLAXIS to simulate laboratory tests with different stress paths, allowing for the evaluation of the model’s ability to reproduce observed soil behaviour compared with those reported in the literature through a benchmark exercise conducted using the same reference tests. The calibrated parameter set successfully reproduces soil response under different stress paths, capturing the mechanical behaviour by achieving average values of R2 = 0.98, MAE = 0.01, and RMSE = 0.013. The proposed framework is intended to bridge the gap between advanced constitutive modelling and routine engineering analysis by providing a transparent, step-by-step calibration procedure readily implementable in commercial finite element software. Full article
(This article belongs to the Special Issue Mechanical Behaviour of Unsaturated Soil)
Show Figures

Figure 1

48 pages, 4095 KB  
Article
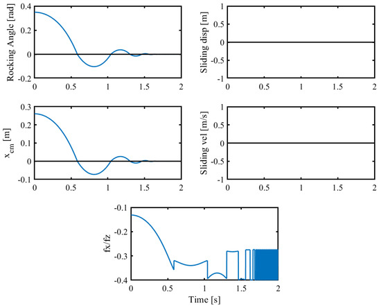
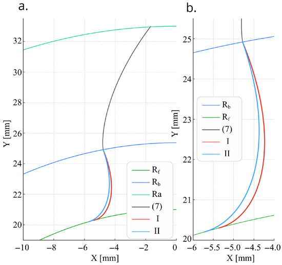
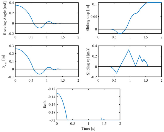
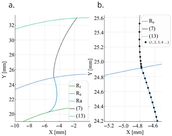
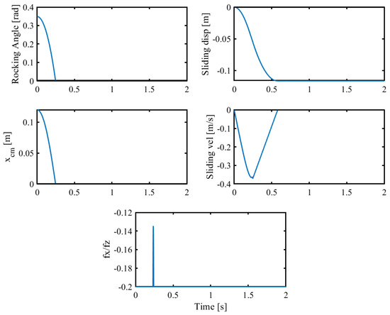
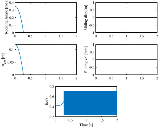
Enhanced Prediction of Rocking and Sliding of Rigid Blocks Using a Modified Semi-Analytical Approach and Optimized Finite Element Modeling
by Idowu Itiola
Buildings 2026, 16(2), 429; https://doi.org/10.3390/buildings16020429 - 20 Jan 2026
Abstract
Accurate prediction of the rocking and sliding response of free-standing rigid blocks under seismic excitation remains challenging, particularly in regimes where rocking and sliding are strongly coupled and motion mode transitions occur. This study presents a modified semi-analytical framework and an optimized Finite [...] Read more.
Accurate prediction of the rocking and sliding response of free-standing rigid blocks under seismic excitation remains challenging, particularly in regimes where rocking and sliding are strongly coupled and motion mode transitions occur. This study presents a modified semi-analytical framework and an optimized Finite Element Method (FEM) approach to investigate the nonlinear dynamics of rigid rectangular blocks subjected to initial angular displacements, assuming Coulomb friction and near-inelastic impacts. The proposed semi-analytical formulation explicitly captures the coupling between rocking and sliding motions, enabling systematic identification of rest, rocking, sliding, rocking–sliding, and free-flight response modes. Benchmark comparisons with Veeraraghavan’s classical model show overall agreement in limiting cases but reveal notable differences in intermediate regimes, where motion mode transitions are highly sensitive to friction coefficient and slenderness ratio. These discrepancies arise from the ability of the present formulation to resolve transitional rocking–sliding behavior that is not fully represented in uncoupled or limiting-case assumptions. Complementary FEM simulations employing both rigid and deformable body representations further elucidate the role of contact modeling and energy dissipation. While rigid-body FEM models offer computational efficiency, they exhibit localized penetration and residual bouncing due to contact enforcement limitations. In contrast, deformable FEM models more closely approximate near-inelastic collision behavior and dissipate impact energy more effectively, albeit at higher computational cost. The combined semi-analytical and FEM results provide a robust framework for interpreting motion mode transitions, quantifying contact and penetration effects, and defining the applicability limits of simplified rigid-body models. These findings offer practical guidance for selecting appropriate modeling strategies for seismic response assessment of free-standing rigid blocks. Full article
(This article belongs to the Special Issue Dynamic Response Analysis of Structures Under Wind and Seismic Loads)
Show Figures

Figure 1

29 pages, 5712 KB  
Article
Load Characteristics and Friction Torque Analysis of Triple-Row Wheel Hub Bearings
by Wei Xiong, Guilai Zheng, Haibo Zhang, Min Yu and Xiaomeng Wang
Lubricants 2026, 14(1), 45; https://doi.org/10.3390/lubricants14010045 - 20 Jan 2026
Abstract
Aiming at analyzing the load characteristics and friction torque of triple-row hub bearings for new energy vehicles, this work established a comprehensive theoretical and experimental methodology for predicting the internal load distribution and friction torque. Firstly, considering the preload effect via an initial [...] Read more.
Aiming at analyzing the load characteristics and friction torque of triple-row hub bearings for new energy vehicles, this work established a comprehensive theoretical and experimental methodology for predicting the internal load distribution and friction torque. Firstly, considering the preload effect via an initial negative clearance, deformation coordination and force balance equations for the triple-row bearing under axial load were formulated, to analyze the external loads under various driving conditions. Based on contact deformation theory, a quasi-static model was developed to combine radial, axial, and moment loads. The Newton–Raphson iterative algorithm was employed to solve the ball load distribution equations, and the correctness was verified by using the finite element method. Furthermore, accounting for the elastic hysteresis, differential sliding, and spin sliding, the theoretical models for friction torque components were established, to investigate the influence of structural parameters and the total friction torque under different driving conditions. Finally, to confirm the effectiveness and the precision of the model, a finite element simulation and experimental measurements of friction torque were conducted, respectively, which showed good agreement with theoretical calculations. The main innovations include proposing a mechanical modeling method for triple-row hub bearings that accounts for preload effects, and establishing an integrated friction torque analysis model applicable to multiple driving conditions. This work provides theoretical support and a methodological foundation for the design of next-generation hub bearings for new energy vehicles. Full article
Show Figures

Figure 1

18 pages, 4891 KB  
Article
Analysis of the Influence of the Tooth Root Fillet Manufacturing Method on the Bending Strength of Spur Gears
by Piotr Strojny and Robert Jakubowski
Appl. Sci. 2026, 16(2), 944; https://doi.org/10.3390/app16020944 - 16 Jan 2026
Viewed by 73
Abstract
This paper presents the results of a numerical study on the influence of the tooth root fillet manufacturing method on the bending strength of spur gears with straight teeth. A mathematical model describing the gear tooth geometry was developed, in which the transition [...] Read more.
This paper presents the results of a numerical study on the influence of the tooth root fillet manufacturing method on the bending strength of spur gears with straight teeth. A mathematical model describing the gear tooth geometry was developed, in which the transition curve at the tooth root was directly related to the applied machining process—either rack-type gear shaping or pinion-type gear shaping. Based on this model, a numerical procedure for calculating the bending stresses at the tooth root was formulated and verified using the finite element method (FEM). The results demonstrated high consistency between the proposed approach and FEM analysis, confirming the accuracy of the developed mathematical model and numerical methodology. The study also examined the effect of the tool fillet radius on the stress distribution in the root region. It was found that increasing the tool radius leads to a reduction in bending stresses, while the differences between the two machining methods gradually diminish. The proposed methodology offers a reliable numerical framework for assessing the strength of spur gears and can be effectively used in the design of lightweight, high-performance gear transmissions for aerospace and automotive applications. Full article
(This article belongs to the Section Mechanical Engineering)
Show Figures

Figure 1

21 pages, 1438 KB  
Article
Finite Element Modelling of Variable Bitumen Content in Asphalt Mixtures
by Mohammad Fahad
Appl. Sci. 2026, 16(2), 629; https://doi.org/10.3390/app16020629 - 7 Jan 2026
Viewed by 206
Abstract
Bitumen content is a critical factor influencing the long-term performance and durability of asphalt pavements. This study evaluates how different binder percentages affect the mechanical behaviour of asphalt mixtures. Mixtures containing 4.7%, 5.1% and 5.5% binder were tested through an extensive experimental program [...] Read more.
Bitumen content is a critical factor influencing the long-term performance and durability of asphalt pavements. This study evaluates how different binder percentages affect the mechanical behaviour of asphalt mixtures. Mixtures containing 4.7%, 5.1% and 5.5% binder were tested through an extensive experimental program that included Marshall stability and flow, semi-circular bending, PAV aging, wheel rutting, dynamic modulus, creep compliance and fatigue resistance, supported by finite element simulations. To model the nonlinear viscoplastic and damage behaviour, a Perzyna-type viscoplastic formulation and Lemaitre’s isotropic damage model were applied. Model parameters were further refined using Bayesian estimation, based on 10,000 samples generated with a Markov Chain Monte Carlo procedure employing the Metropolis–Hastings algorithm. The findings indicate that mixtures with 4.7% binder content develop fatigue damage earlier, while increasing the binder above 5.1% leads to greater rutting susceptibility and higher creep compliance, as seen in the 5.5% mixture. Among the three, the 5.1% binder content delivered the best overall performance, reducing plastic strain-related damage by 40% compared with the 4.7% mixture and by 27% compared with the 5.5% mixture. Full article
Show Figures

Figure 1

20 pages, 1768 KB  
Article
Towards Patient Anatomy-Based Simulation of Net Cerebrospinal Fluid Flow in the Intracranial Compartment
by Edgaras Misiulis, Algis Džiugys, Alina Barkauskienė, Aidanas Preikšaitis, Vytenis Ratkūnas, Gediminas Skarbalius, Robertas Navakas, Tomas Iešmantas, Robertas Alzbutas, Saulius Lukoševičius, Mindaugas Šerpytis, Indrė Lapinskienė, Jewel Sengupta and Vytautas Petkus
Appl. Sci. 2026, 16(2), 611; https://doi.org/10.3390/app16020611 - 7 Jan 2026
Viewed by 157
Abstract
Biophysics-based, patient-specific modeling remains challenging for clinical translation, particularly for cerebrospinal fluid (CSF) flow where anatomical detail and computational cost are tightly coupled. We present a computational framework for steady net CSF redistribution in an MRI-derived cranial CSF domain reconstructed from T2 [...] Read more.
Biophysics-based, patient-specific modeling remains challenging for clinical translation, particularly for cerebrospinal fluid (CSF) flow where anatomical detail and computational cost are tightly coupled. We present a computational framework for steady net CSF redistribution in an MRI-derived cranial CSF domain reconstructed from T2-weighted imaging, including the ventricular system, cranial subarachnoid space, and periarterial pathways, to the extent resolvable by clinical MRI. Cranial CSF spaces were segmented in 3D Slicer and a steady Darcy formulation with prescribed CSF production/absorption was solved in COMSOL Multiphysics®. Geometrical and flow descriptors were quantified using region-based projection operations. We assessed discretization cost–accuracy trade-offs by comparing first- and second-order finite elements. First-order elements produced a 1.4% difference in transmantle pressure and a <10% difference in element-wise mass-weighted velocity metric for 90% of elements, while reducing computation time by 75% (20 to 5 min) and peak memory usage five-fold (150 to 30 GB). This proof-of-concept framework provides a computationally tractable baseline for studying steady net CSF pathway redistribution and sensitivity to boundary assumptions, and may support future patient-specific investigations in pathological conditions such as subarachnoid hemorrhage, hydrocephalus and brain tumors. Full article
Show Figures

Figure 1

20 pages, 2067 KB  
Article
Modeling the Dynamics of Electric Field-Assisted Local Functionalization in Two-Dimensional Materials
by Fernando Borrás, Julio Ramiro-Bargueño, Óscar Casanova-Carvajal, Alicia de Andrés, Sergio J. Quesada and Ángel Luis Álvarez
Materials 2026, 19(1), 204; https://doi.org/10.3390/ma19010204 - 5 Jan 2026
Viewed by 240
Abstract
Electric field-assisted local functionalization of materials is a resist-free technique generally applied at the nanoscale, which has been understood within the paradigm of the water meniscus. Using a home-made prototype the authors applied this technique at scales compatible with the biosensor industry (tens [...] Read more.
Electric field-assisted local functionalization of materials is a resist-free technique generally applied at the nanoscale, which has been understood within the paradigm of the water meniscus. Using a home-made prototype the authors applied this technique at scales compatible with the biosensor industry (tens of microns). However, interpreting these results requires a different paradigm. The expansion of the oxidized region over time in two-dimensional materials under a localized electric field is modeled from first physical principles. Boltzmann statistics is applied to the oxyanion incorporation at the perimeter of the oxidized zone, and a new general relation between oxide radius and time is formulated. It includes the reduction in the energy barrier due to the field effect and its dependence on the oxide radius. To gain insight into this dependence whatever the layers structure, 2D material involved, or electrical operating conditions, simple structures based on multilayer stacks representing the main constituents are proposed, where the Poisson equation is solved using finite element calculations. This enables to derive energy barriers for oxyanion incorporation at varying spot radii which are consistent with those resulting from fitting experimental data. The reasonable agreement obtained provides researchers with a new tool to predict the evolution of local functionalization of 2D layers as a function of the following fabrication parameters: time, applied voltage, and relative humidity, solely based on materials properties. Full article
(This article belongs to the Section Materials Simulation and Design)
Show Figures

Graphical abstract

17 pages, 13236 KB  
Article
Influence of Initial Stress on Wave Propagation in Microelongated Thermo-Elastic Media Under the Refined Fractional Dual Phase Lag Model
by Mohamed F. Ismail, Hamdy M. Ahmed, Taha Radwan, Soliman Alkhatib, M. Elsaid Ramadan and Eslam Nabil Shawki El-Ganzoury
Fractal Fract. 2026, 10(1), 30; https://doi.org/10.3390/fractalfract10010030 - 4 Jan 2026
Viewed by 155
Abstract
This paper focuses on analyzing how initial stress influences wave propagation phenomena in a microelongated thermoelastic medium described within the framework of fractional conformable derivative, considering both the dual phase lag (DPL) and refined dual phase lag (RDPL) theories. The fundamental governing equations [...] Read more.
This paper focuses on analyzing how initial stress influences wave propagation phenomena in a microelongated thermoelastic medium described within the framework of fractional conformable derivative, considering both the dual phase lag (DPL) and refined dual phase lag (RDPL) theories. The fundamental governing equations for heat transfer, mechanical motion, and microelongation are established to incorporate finite thermal wave speed and microelongation effects. Through an appropriate non-dimensionalization procedure and the application of the normal mode analysis technique, the coupled partial differential system is transformed into a form that admits explicit analytical solutions. These solutions provide expressions for displacement, microelongation, temperature distribution, and stress components, allowing a comprehensive examination of the thermomechanical wave behavior within the medium. To better comprehend the theoretical results, numerical evaluations are performed to emphasize the comparison of DPL and RDPL in the presence and absence of initial stress, as well as the influence of the fractional-order parameter and different times on wave properties. The results show that initial stress has a considerable effect on wave propagation characteristics such as amplitude modulation, propagation speed, and attenuation rate. Furthermore, the use of fractional conformable derivatives and the RDPL formulation allows for more precise modeling and control of the thermal relaxation dynamics. The current study contributes to a better understanding of the linked microelongated and thermal effects in thermoelastic media, as well as significant insights for designing and modeling advanced microscale thermoelastic systems. Full article
(This article belongs to the Special Issue Feature Papers for Mathematical Physics Section 2026)
Show Figures

Figure 1

24 pages, 7874 KB  
Article
Experimental Study and Numerical Modeling of Inter-Pass Forging in Wire-Arc Additive Manufacturing of Inconel 718
by Oleg Yu. Smetannikov, Gleb L. Permyakov, Sergey D. Neulybin, Ivan P. Ovchinnikov, Alexander A. Oskolkov and Dmitriy N. Trushnikov
Materials 2026, 19(1), 182; https://doi.org/10.3390/ma19010182 - 4 Jan 2026
Viewed by 275
Abstract
Inter-pass forging with different degrees of deformation during WAAM of Inconel 718 specimens (single-stage, three passes; two-stage, six passes) was investigated. Macrostructural analysis of the specimens showed that inter-pass forging led to a recrystallized structure. Alternation of layers with different grain shapes (columnar [...] Read more.
Inter-pass forging with different degrees of deformation during WAAM of Inconel 718 specimens (single-stage, three passes; two-stage, six passes) was investigated. Macrostructural analysis of the specimens showed that inter-pass forging led to a recrystallized structure. Alternation of layers with different grain shapes (columnar and equiaxed) is observed throughout the height of the specimens. Increasing the number of passes improves the mechanical properties of the material (tensile strength, yield strength, microhardness). A finite element model of inter-pass forging was developed to determine the effect of inter-pass surface deformation during WAAM on the residual stress–strain state. The non-stationary formulation was replaced with a quasi-static one. Johnson–Cook material constants were obtained for the deposited Inconel 718 material, including the effect of forging. Verification of the mathematical model was performed using a wall (specimen 2) deposited with single-stage forging. The deviation between the simulation results and the experiment did not exceed 15%. It was found that the sequence and number of passes significantly affect residual strain and displacements but have little effect on residual stress. Numerical modeling showed that the depth of plastic deformation exceeds the melting depth when depositing the subsequent layer, ensuring the preservation and accumulation of the inter-pass forging effect throughout the deposition process. Full article
(This article belongs to the Section Manufacturing Processes and Systems)
Show Figures

Figure 1

15 pages, 10636 KB  
Article
Coupled Effects of the Mover Mass on Stepping Characteristics of Stick–Slip Piezoelectric Actuators
by Zhaochen Ding, Xiaoqin Zhou, Ke Wang, Zhi Xu, Jingshi Dong, Yuqing Fan and Huadong Yu
Micromachines 2026, 17(1), 61; https://doi.org/10.3390/mi17010061 - 31 Dec 2025
Viewed by 443
Abstract
Stick–slip piezoelectric actuators are widely used in high-precision positioning systems, yet their performance is limited by backward motion during the slip stage. Although the effects of preload force, driving voltage, and driving frequency have been extensively examined, the specific influence of mover mass [...] Read more.
Stick–slip piezoelectric actuators are widely used in high-precision positioning systems, yet their performance is limited by backward motion during the slip stage. Although the effects of preload force, driving voltage, and driving frequency have been extensively examined, the specific influence of mover mass and its coupling with these parameters remains insufficiently understood. This study aims to clarify the mass-dependent stepping behavior of stick–slip actuators and to provide guidance for structural design. A compact stick–slip actuator incorporating a lever-type amplification mechanism is developed. Its deformation amplification capability and structural reliability are verified through motion principle analysis, finite element simulations, and modal analysis. A theoretical model is formulated to describe the inverse dependence of backward displacement on the mover mass. Systematic experiments conducted under different mover masses, preload forces, voltages, and frequencies demonstrate that the mover mass directly affects stepping displacement and interacts with input conditions to determine motion linearity and backward-slip suppression. Light movers exhibit pronounced backward motion, whereas heavier movers improve smoothness and stepping stability, although excessive mass slows the dynamic response. These results provide quantitative insight into mass-related dynamic behavior and offer practical guidelines for optimizing the performance of stick–slip actuators in precision motion control. Full article
(This article belongs to the Collection Piezoelectric Transducers: Materials, Devices and Applications)
Show Figures

Figure 1

35 pages, 14833 KB  
Article
Fire Performance Study of Through Concrete-Filled Steel Tubular Arch Bridges
by Jiatao Yin, Xinyue Wang, Shichao Wang, Gang Zhang, Tong Guo and Feng Xu
Buildings 2026, 16(1), 173; https://doi.org/10.3390/buildings16010173 - 30 Dec 2025
Viewed by 206
Abstract
Advancing rapidly in modern bridge engineering technology, through concrete-filled steel tubular (CFST) arch bridges have achieved widespread application in transportation infrastructure development. Nevertheless, vehicle fires occurring in complicated operational settings may rapidly escalate into major disasters. Fires in oil tankers are particularly dangerous [...] Read more.
Advancing rapidly in modern bridge engineering technology, through concrete-filled steel tubular (CFST) arch bridges have achieved widespread application in transportation infrastructure development. Nevertheless, vehicle fires occurring in complicated operational settings may rapidly escalate into major disasters. Fires in oil tankers are particularly dangerous for the safety of bridges. This study examines the fire resistance of through concrete-filled steel tubular (CFST) arch bridges exposed to tanker truck fires. The study formulates a detailed model utilizing Fire Dynamics Simulator (FDS) to simulate fire scenarios, elucidating the spatial temperature distribution characteristics within arch bridge structures. A three-dimensional finite element model established in ABAQUS (Abaqus 2024, Dassault Systèmes Simulia Corp, Providence, RI, USA) is employed to simulate structural responses by analyzing the mechanical behavior of key components under different fire conditions. Practical fire resistance design recommendations for extreme tanker truck fire scenarios are ultimately proposed. Numerical results demonstrate that structural components near the fire source (such as transverse bracings, hangers, and fire-exposed arch surfaces) experience significantly higher temperatures than other regions. Notable temperature gradients developing along hangers and arch ribs in fire-affected zones are observed, while substantial cross-sectional temperature gradients occurring in these components under tanker truck fires reveal their damage evolution mechanisms. The fire exposure scenario at the quarter-point of the midspan is identified as the most critical fire exposure scenario for through CFST arch bridges under tanker truck fires. Under this extreme scenario, the deflection on the fire-exposed side of the global structure exhibits a significant three-stage distribution characteristic: an initial ascending phase around 0–800 s, followed by a sharp descending phase during 800–1100 s, and then a stabilization trend. A fire resistance limit criterion based on component failure (tf3 = 853.43 s) is established, and a global fire resistance limit assessment methodology for through CFST arch bridges under extreme tanker truck scenarios is proposed. Full article
(This article belongs to the Section Building Structures)
Show Figures

Figure 1

25 pages, 914 KB  
Article
Dynamic Behavior and Exponential Stability of the Modified Moore–Gibson–Thompson Thermoelastic Model with Frictional Damping
by Mouataz Billah Mesmouli, Houssem Eddine Khochemane, Loredana Florentina Iambor and Taher S. Hassan
Mathematics 2026, 14(1), 117; https://doi.org/10.3390/math14010117 - 28 Dec 2025
Viewed by 238
Abstract
This paper investigates a modified one-dimensional Moore–Gibson–Thompson (MGT) thermoelasticity model that significantly extends the classical formulation by incorporating two key structural modifications: frictional damping and a novel cross-coupling structure. The system introduces a viscous frictional damping mechanism proportional to the velocity acting on [...] Read more.
This paper investigates a modified one-dimensional Moore–Gibson–Thompson (MGT) thermoelasticity model that significantly extends the classical formulation by incorporating two key structural modifications: frictional damping and a novel cross-coupling structure. The system introduces a viscous frictional damping mechanism proportional to the velocity acting on the mechanical (elastic) field, enhancing dissipation, which is a common feature in models extending Green–Naghdi Type III thermoelasticity. The core novelty, however, lies in introducing an additional coupling structure that explicitly links the thermal relaxation effects with the mechanical dissipation effects. This modification moves beyond the standard MGT coupling and is rooted in an effort to model complex visco-thermal interactions, representing the primary contribution to the literature. The well posedness of this modified system is first established using semigroup theory. Through the construction of a new Lyapunov functional, sufficient conditions are then rigorously derived, ensuring the exponential stability of solutions under specific parameter regimes. Furthermore, a critical balance condition is identified between the thermal conductivity and the thermal relaxation time, beyond which the system’s energy decay ceases to be exponential. Finally, numerical experiments employing an explicit–implicit finite difference scheme validate the theoretical findings and illustrate the substantial influence of both the modified coupling and the frictional damping on the system’s long-term energy behavior. Full article
Show Figures

Figure 1

36 pages, 1517 KB  
Article
Frequency-Domain Analysis of an FEM-Based Rotor–Nacelle Model for Wind Turbines: Results Comparison with OpenFAST
by Anna Mackojc, Krzysztof Mackojc, Richard McGowan and Nigel Barltrop
Energies 2026, 19(1), 169; https://doi.org/10.3390/en19010169 - 28 Dec 2025
Viewed by 449
Abstract
This study presents a frequency-domain analysis of a finite-element (FEM)-based rotor–nacelle model for wind turbines, validated against the open-source time-domain tool OpenFAST. The analysis was carried out using METHOD, an in-house computational framework implemented in Python. While time-domain models remain standard for nonlinear [...] Read more.
This study presents a frequency-domain analysis of a finite-element (FEM)-based rotor–nacelle model for wind turbines, validated against the open-source time-domain tool OpenFAST. The analysis was carried out using METHOD, an in-house computational framework implemented in Python. While time-domain models remain standard for nonlinear aeroelastic simulations, frequency-domain approaches offer advantages in early-stage design, control development, and system identification due to their efficiency, transparency, and suitability for parametric studies. The FEM model includes flexible blades, hub, and nacelle dynamics and includes tower and fixed or floating platform components with rotor–tower frequency interactions. In this work, a fixed tower is considered to isolate rotor behaviour. Beam-element formulation enables the computation of natural frequencies, mode shapes, and frequency response functions, and an equivalent rotor model is implemented in OpenFAST for consistent benchmarking. Validation results show close correspondence between the two modelling approaches. Key operational parameters agree within 3%, while structural responses, including flap-wise deflection, bending moments, and resultant quantities, typically fall within an overall accuracy range of 5–15%, consistent with expected differences arising from reference-frame conventions and modelling assumptions. Discrepancies are discussed in terms of numerical damping, model assumptions (differences in the axis system), and the influence of structural simplifications. Overall, the FEM model captures the dominant dynamic behaviour with satisfactory accuracy and a consistent orientation of global response. Computational efficiency results further highlight the advantages of the METHOD framework. Wind-field generation is completed roughly an order of magnitude faster, and long-duration aeroelastic simulations achieve substantial speed-ups, reaching more than one order of magnitude for multi-hour cases, demonstrating strong scalability relative to OpenFAST. Overall, the results confirm that a well-constructed yet still simplified frequency-domain FEM rotor model can provide a robust and computationally efficient alternative to conventional time-domain solvers. Moreover, the computational performance presented here represents a lower bound, as further improvements are readily achievable through parallelisation and solver-level optimisation. Future papers will present the full-system aero-hydro-elastic coupling for fixed and floating offshore wind turbine applications. Full article
(This article belongs to the Special Issue Computation Modelling for Offshore Wind Turbines and Wind Farms)
Show Figures

Figure 1

21 pages, 3370 KB  
Article
The Improvement of the Mathematical Model of a Calculable Voltage Standard with a Single Junction Thermal Voltage Converter
by Michał Pecyna, Krzysztof Kubiczek and Marian Kampik
Energies 2026, 19(1), 62; https://doi.org/10.3390/en19010062 - 22 Dec 2025
Viewed by 277
Abstract
This paper presents the modification and experimental validation of a mathematical model for a single junction thermal voltage converter (SJTC) designed for high-precision alternating current (AC) voltage transfer. The original model is severely constrained by two main issues: (1) computational instability above 50 [...] Read more.
This paper presents the modification and experimental validation of a mathematical model for a single junction thermal voltage converter (SJTC) designed for high-precision alternating current (AC) voltage transfer. The original model is severely constrained by two main issues: (1) computational instability above 50 MHz due to the limitations of the housing impedance approximation, and (2) insufficient accuracy above 1 MHz due to the neglect of high-frequency skin effect and magnetic core effects in the Dumet wire leads. Significant refinements are subsequently implemented to extend the calculable frequency range of the standard from 1 to 100 MHz. This required re-evaluation of the Dumet wire leads’ frequency-dependent resistance and inductance using finite element method (FEM) simulations, which accounted for the skin effect and the magnetic permeability of the FeNi42 core. Additionally, the housing impedance calculation is stabilized using a formulation based on scaled modified Bessel functions, and the electrical conductivity of the input N-type connector pin is explicitly modeled. The improved model is validated against a reference calorimetric thermal voltage converter (CTVC) using 3 and 5 V nominal voltage standards. The results indicated excellent agreement between the calculated and measured AC-direct current (DC) transfer differences up to 10 MHz. In the extended frequency regime, the model correctly predicted the transition to negative transfer differences observed above 2 MHz for the 5 V standard. The largest discrepancies between the measured and calculated values occurred at 100 MHz. The measured transfer difference reached −15,090 (µV/V) with an expanded uncertainty (k = 2) of 190 (µV/V), whereas the calculated value is −12,500 (µV/V) with an expanded uncertainty of 3900 (µV/V). Although the deviation between the model and measurement increased above 30 MHz, the results remained consistent within the expanded measurement uncertainties across the entire 10 kHz to 100 MHz range, demonstrating the model’s suitability for providing traceability in high-frequency voltage metrology. Full article
(This article belongs to the Special Issue Stationary Energy Storage Systems for Renewable Energies)
Show Figures

Figure 1

Back to TopTop