Sign in to use this feature.

Years

Between: -

Subjects

remove_circle_outline
remove_circle_outline
remove_circle_outline
remove_circle_outline
remove_circle_outline
remove_circle_outline
remove_circle_outline

Journals

Article Types

Countries / Regions

remove_circle_outline
remove_circle_outline
remove_circle_outline
remove_circle_outline
remove_circle_outline

Search Results (243)

Search Parameters:
Keywords = ex vivo skin model

Order results
Result details
Results per page
Select all
Export citation of selected articles as:
20 pages, 3976 KB  
Article
Application of Cannabidiol Nanoemulsion for Skin Protection Against Particulate Matter: Evidence from an Ex Vivo Human Model
by Orathai Loruthai, Sornkanok Vimolmangkang and Wannita Klinngam
Colloids Interfaces 2026, 10(1), 6; https://doi.org/10.3390/colloids10010006 - 30 Dec 2025
Viewed by 190
Abstract
Nanoemulsions (NEs) offer a promising strategy for delivering lipophilic cannabidiol (CBD) to protect skin from particulate matter (PM)-induced damage. In this study, CBD-loaded oil-in-water NEs based on Brij® O10 (polyoxyethylene (10) oleyl ether) and olive oil were prepared by the phase inversion [...] Read more.
Nanoemulsions (NEs) offer a promising strategy for delivering lipophilic cannabidiol (CBD) to protect skin from particulate matter (PM)-induced damage. In this study, CBD-loaded oil-in-water NEs based on Brij® O10 (polyoxyethylene (10) oleyl ether) and olive oil were prepared by the phase inversion temperature (PIT) method and characterized. A 20% w/w Brij® O10 formulation (B20) remained clear and stable for 30 days. CBD solubility was markedly enhanced in Brij® O10 micelles and further increased in NEs, exceeding theoretical predictions and indicating synergistic solubilization in the oil–surfactant system. CBD incorporation lowered the PIT and induced nonlinear changes in droplet size with oil content. All formulations exhibited nanoscale droplets by dynamic light scattering and transmission electron microscopy, moderately low zeta potentials consistent with nonionic steric stabilization, and maintained physical stability despite increased turbidity at higher oil levels. In a full-thickness human ex vivo skin model exposed to PM, both blank and CBD-loaded NEs reduced interleukin-6 (IL-6) and matrix metalloproteinase-1 (MMP-1) in PM-exposed skin, with CBD-loaded NEs providing additional reductions and uniquely restoring procollagen type I C-peptide (PIP) relative to their blanks. Overall, PIT-based CBD NEs enhance CBD solubilization and protect human ex vivo skin from PM-induced inflammation and extracellular matrix degradation. Full article
(This article belongs to the Section Application of Colloids and Interfacial Aspects)
Show Figures

Figure 1

24 pages, 5157 KB  
Article
Hydrogel Versus Alternative Vehicles for (Trans)dermal Delivery of Propranolol Hydrochloride—In Vitro and Ex Vivo Studies
by Nataša Bubić Pajić, Milica Kaurin, Adrijana Klepić, Darija Knežević Ratković, Aneta Stojmenovski, Veljko Krstonošić and Ranko Škrbic
Gels 2026, 12(1), 10; https://doi.org/10.3390/gels12010010 - 23 Dec 2025
Viewed by 399
Abstract
The development of advanced macromolecular systems with tailored structural and functional properties is a key objective in modern materials science, particularly for biomedical applications such as targeted drug delivery. In this study, hydrogel (HG), a polymer-based formulation, was investigated as a functional carrier [...] Read more.
The development of advanced macromolecular systems with tailored structural and functional properties is a key objective in modern materials science, particularly for biomedical applications such as targeted drug delivery. In this study, hydrogel (HG), a polymer-based formulation, was investigated as a functional carrier for the enhanced intradermal and transdermal delivery of propranolol hydrochloride (PRO-HCl), a highly water-soluble model compound, and its potential was compared to other vehicles easily obtained by pharmacists: ointment (OM), liposomal cream (LCR), and microemulsion (ME). The formulations were characterized by their physicochemical and rheological characteristics, and evaluated in vitro and ex vivo using vertical diffusion cells equipped with synthetic membranes, intact porcine skin, and skin pretreated with solid microneedles (MNs). The HG formulation exhibited superior release performance (2396.85 ± 48.18 μg/cm2) and the highest intradermal drug deposition (19.87 ± 4.12 μg/cm2), while its combination with MNs significantly enhanced transdermal permeation (p = 0.0017). In contrast, the synergistic effect of MNs and ME led to a pronounced increase in drug accumulation within the skin (up to 60.3-fold). These findings highlight the crucial role of matrix composition and properties in modulating molecular transport through biological barriers. The study demonstrates that polymeric HGs represent versatile, functional materials with tunable structural and mechanical features, suitable for controlled release and potential systemic delivery applications. Full article
(This article belongs to the Special Issue Characterization Techniques for Hydrogels and Their Applications)
Show Figures

Figure 1

30 pages, 4266 KB  
Article
The Impact of Vehicle Occlusivity on Skin Delivery and Activity of a Janus Kinase Inhibitor: Comparison of Oil-Based Formulations
by Paulo Sarango-Granda, Roya Mohammadi-Meyabadi, Antonio J. Braza, Lilian Sosa, Joaquim Suñer-Carbó, Mireia Mallandrich and Ana Cristina Calpena
Pharmaceutics 2026, 18(1), 8; https://doi.org/10.3390/pharmaceutics18010008 - 20 Dec 2025
Viewed by 467
Abstract
Background/Objectives: Baricitinib, a selective JAK1/JAK2 inhibitor, shows therapeutic potential in psoriasis; however, its oral use is associated with systemic adverse effects, encouraging the development of topical formulations. This study aimed at evaluating the influence of petrolatum type on the stability, biopharmaceutical performance, and [...] Read more.
Background/Objectives: Baricitinib, a selective JAK1/JAK2 inhibitor, shows therapeutic potential in psoriasis; however, its oral use is associated with systemic adverse effects, encouraging the development of topical formulations. This study aimed at evaluating the influence of petrolatum type on the stability, biopharmaceutical performance, and therapeutic activity of lipid-based formulations containing Baricitinib. Methods: Formulations were prepared with Labrafac® Lipophile WL 1349 (L) and either liquid (LLV) or solid (LSV) petrolatum at 30% and 60% w/w. Stability, rheology, spreadability, in vitro release, ex vivo permeation, and skin retention were evaluated, along with the safety and efficacy in HET-CAM and imiquimod-induced psoriasis murine models. Results: Only 30% petrolatum formulations remained stable for 60 days. LLV exhibited Newtonian flow, higher spreadability, sustained release (83.7% at 50 h), and superior skin retention (94 µg/g of skin/cm2), whereas LSV showed pseudoplastic behavior, lower spreadability, and reduced release (47.4% at 50 h). Both formulations were non-irritant and improved stratum corneum hydration while reducing transepidermal water loss. In vivo, both reduced erythema, epidermal thickening, edema, and histological alterations, confirming anti-inflammatory efficacy. Conclusions: These results demonstrate that the vehicle occlusivity decisively modulates baricitinib’s release and activity. LLV formulation favored drug retention and enhanced permeation at 24 h. Overall, excipient selection is important in designing safe and effective topical JAK inhibitor formulations. Full article
(This article belongs to the Special Issue Skin Care Products for Healthy and Diseased Skin)
Show Figures

Graphical abstract

19 pages, 21542 KB  
Article
Cannabidiol Mitigates Pollution-Induced Inflammatory, Oxidative, and Barrier Damage in Ex Vivo Human Skin
by Wannita Klinngam, Orathai Loruthai and Sornkanok Vimolmangkang
Biomolecules 2026, 16(1), 10; https://doi.org/10.3390/biom16010010 - 20 Dec 2025
Viewed by 359
Abstract
Airborne particulate matter (PM) is a major environmental pollutant that accelerates skin aging, inflammation, and barrier impairment. Cannabidiol (CBD), a non-psychoactive phytocannabinoid derived from Cannabis sativa, has shown anti-inflammatory and cytoprotective effects, yet its role in protecting full-thickness human skin from pollution-induced [...] Read more.
Airborne particulate matter (PM) is a major environmental pollutant that accelerates skin aging, inflammation, and barrier impairment. Cannabidiol (CBD), a non-psychoactive phytocannabinoid derived from Cannabis sativa, has shown anti-inflammatory and cytoprotective effects, yet its role in protecting full-thickness human skin from pollution-induced damage remains unclear. In this study, human full-thickness ex vivo skin explants were topically exposed to PM (0.54 mg/cm2) and treated with CBD (6.4 mM) administered via the culture medium for 48 h. Proinflammatory mediators (interleukin-6, IL-6; matrix metalloproteinase-1, MMP-1; cyclooxygenase-2, COX-2), oxidative stress markers (reactive oxygen species, ROS; 8-hydroxy-2′-deoxyguanosine, 8-OHdG), the xenobiotic sensor aryl hydrocarbon receptor (AhR), extracellular matrix proteins (procollagen type I C-peptide, PIP; fibrillin), and the barrier protein filaggrin were quantified using ELISA and immunofluorescence. PM exposure triggered significant inflammation, oxidative stress, AhR induction, extracellular matrix degradation, and barrier disruption. CBD selectively counteracted these effects by reducing IL-6, MMP-1, COX-2, ROS, and 8-OHdG levels, downregulating AhR expression, and restoring PIP, fibrillin, and filaggrin expression. No measurable effects were observed in unstressed control tissues. These results demonstrate that CBD protects human skin from PM-induced molecular damage and supports its potential as a functional bioactive ingredient for anti-pollution applications. Full article
(This article belongs to the Section Natural and Bio-derived Molecules)
Show Figures

Figure 1

29 pages, 25356 KB  
Article
Improving the Culture of Human Skin Explants for Use in Preclinical Testing of Wound Healing Treatments
by Xiao Guo, Martina Hüging, Ursula Mirastschijski, Ulrike Blume-Peytavi, Annika Vogt, Christoph Schaudinn and Fiorenza Rancan
Pharmaceutics 2025, 17(12), 1611; https://doi.org/10.3390/pharmaceutics17121611 - 15 Dec 2025
Viewed by 464
Abstract
Background: Cultured human skin explants provide preclinical models to investigate drug delivery and the efficacy of topical treatments for wound healing. However, different culture conditions may affect cell viability, proliferation, and even wound healing. Since animal-derived supplements can influence the investigation of human [...] Read more.
Background: Cultured human skin explants provide preclinical models to investigate drug delivery and the efficacy of topical treatments for wound healing. However, different culture conditions may affect cell viability, proliferation, and even wound healing. Since animal-derived supplements can influence the investigation of human physiological responses, this study evaluated the effects of non-animal supplements on the ex vivo wound healing process to improve the use of this model for preclinical drug efficacy tests. Methods: In in vitro scratch assays using HaCaT cells and fibroblasts, for media supplemented with normal human serum (NHS), oxygen carriers (OCs) had a positive impact on cell migration, supporting the further evaluation in ex vivo skin culture models. Human skin explants with standardized superficial wounds were cultured in four supplemented media: (i) Dulbecco’s Modified Eagle Medium High Glucose (DMEM) with fetal calf serum (FCS), (ii) DMEM with NHS and OC, (iii) CnT-PrimeTM with NHS and OC, and (iv) EpiLife™ with NHS and an OC. Results: During the 12-day culture, we observed re-epithelialization in all groups with the exception of EpiLife + NHS + OC (with no Ca++ supplement). For these samples, starting from day 6, we noticed a loosening of the dermal–epidermal junction and disruption of the upper epidermal layer. Furthermore, an immunohistochemical analysis of extracellular matrix components and remodeling factors, including type I and III collagen, transforming growth factor-β2, and matrix metalloproteinase-9, provided insights into tissue repair dynamics. Conclusions: NHS plus OC is comparable to FCS supplementation and represents a more physiological and ethical alternative. Full article
(This article belongs to the Section Drug Delivery and Controlled Release)
Show Figures

Graphical abstract

15 pages, 2312 KB  
Article
Ex Vivo Human Skin as a Platform to Study Cosmetic Modulation of Specialized Pro-Resolving Mediators
by Michele Massironi, Lorenzo Zanella, Francesca Benato, Camila Paz Quezada Meza, Chiara Rompietti, Sandro Rosa, Dominik Stuhlmann, Martina Herrmann and Marco Massironi
Cosmetics 2025, 12(6), 279; https://doi.org/10.3390/cosmetics12060279 - 10 Dec 2025
Viewed by 546
Abstract
Chronic low-grade inflammation and oxidative stress induced by the exposome represent key drivers of skin aging and related imperfections. The development of experimental models suitable for studying these metabolic processes is therefore of primary importance for the cosmetic industry. In recent years, the [...] Read more.
Chronic low-grade inflammation and oxidative stress induced by the exposome represent key drivers of skin aging and related imperfections. The development of experimental models suitable for studying these metabolic processes is therefore of primary importance for the cosmetic industry. In recent years, the role of specialized pro-resolving mediators (SPMs) in the resolution of inflammation has been highlighted; however, in vitro skin models to investigate them are still lacking. In this work, we developed an ex vivo human skin culture model that allows the quantification of maresin 1 (MaR1) production by measuring its concentration in the conditioned culture medium using an ELISA-based assay. The presence and survival of MaR1-synthesizing immune cells, namely Langerhans cells and leukocytes, were quantified during the first days of culture. The model’s ability to modulate MaR1 production was assessed in response to treatment with its precursor, docosahexaenoic acid (DHA), and with a DHA-rich cosmetic ingredient named Isochrysis Galbana Extract. Results demonstrated that the model produces MaR1 even in the absence of stimulation and responds to treatments with a further increase in MaR1 production. Furthermore, the tissue-to-medium ratio required to obtain MaR1 concentrations suitable for effective ELISA quantification was optimized. This model establishes a reproducible and scalable experimental platform for quantifying SPMs and evaluating DHA-based formulations, supporting both cosmetic research and mechanistic investigations. Full article
(This article belongs to the Section Cosmetic Dermatology)
Show Figures

Figure 1

31 pages, 2511 KB  
Review
Cracking the Skin Barrier: Models and Methods Driving Dermal Drug Delivery
by Francelle Bouwer, Marius Brits and Joe M. Viljoen
Pharmaceutics 2025, 17(12), 1586; https://doi.org/10.3390/pharmaceutics17121586 - 9 Dec 2025
Viewed by 824
Abstract
Dermal drug delivery is a promising alternate route of drug administration, offering localized therapeutic effects, reduced systemic effects, and improved patient compliance. However, the skin’s intricate configuration, especially the stratum corneum (SC), presents formidable barriers, restricting drug permeation. This review summarizes biological, synthetic, [...] Read more.
Dermal drug delivery is a promising alternate route of drug administration, offering localized therapeutic effects, reduced systemic effects, and improved patient compliance. However, the skin’s intricate configuration, especially the stratum corneum (SC), presents formidable barriers, restricting drug permeation. This review summarizes biological, synthetic, and methodological models employed to study dermal absorption and permeability. Ex vivo human skin is a reference point, but limited availability and ethical constraints necessitate reliance on animal models, including porcine, rodent, rabbit, monkey, and even snake skin, each with unique advantages and drawbacks. Synthetic substitutes, e.g., reconstructed human epidermis and Strat-M® membranes, provide reproducibility and economic practicality, though none fully mimic the barrier functions of human skin. Innovative analytical methods, including diffusion cells, skin-PAMPA, tape stripping, and advanced imaging techniques, enable quantitative, semi-quantitative, and qualitative insights into drug transport. Collectively, these tools support formulation optimization and aid regulatory bioequivalence assessments. However, challenges remain in correlating in vitro, ex vivo, and in vivo outcomes and in replicating the skin’s dynamic physiology. This review highlights current opportunities and limitations, emphasizing the need for more physiologically relevant models to advance safe, effective, and innovative dermal drug delivery systems. Full article
(This article belongs to the Section Drug Delivery and Controlled Release)
Show Figures

Figure 1

18 pages, 4195 KB  
Article
Silymarin PlantCrystals for Improved Dermal Drug Delivery
by Tehseen Sehra, Muzn Alkhaldi and Cornelia M. Keck
Bioengineering 2025, 12(12), 1331; https://doi.org/10.3390/bioengineering12121331 - 5 Dec 2025
Viewed by 474
Abstract
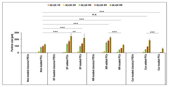
Background/Objectives: PlantCrystals (PCs) are submicron particles derived from plants or parts of plants that can be produced by bead milling and/or high-pressure homogenization. Previous studies suggested improved dermal drug delivery of lipophilic active ingredients (API), which was explained by the formation of extracellular [...] Read more.
Background/Objectives: PlantCrystals (PCs) are submicron particles derived from plants or parts of plants that can be produced by bead milling and/or high-pressure homogenization. Previous studies suggested improved dermal drug delivery of lipophilic active ingredients (API), which was explained by the formation of extracellular vesicles (EVs) during the production of PCs. The aim of this study was to investigate the suitability of PCs for enhancing the dermal penetration efficacy of different types of APIs. Methods: For this purpose, hydrophilic, lipophilic, and poorly water-soluble API-surrogates were loaded into PCs, and the dermal penetration efficacy, as well as the skin hydrating properties, were determined with an ex vivo porcine ear model. The penetration efficacy of the API surrogates from the PCs was compared to other formulation principles, e.g., simple API solutions, API loaded into classical EVs, and API added to the PCs after preparation. Silymarin-PCs—unloaded and loaded with API—were obtained by milling milk thistle seeds using small-scale bead milling. The PCs were characterized by size, size distribution, and zeta potential. Results: Milling of milk thistle seeds resulted in the formation of submicron particles with sizes of about 300 nm. Loaded PCs had a slightly larger size. Loading API into PCs resulted in improved dermal penetration when compared to the other formulation principles. The effect was most pronounced for the lipophilic API-surrogate (+90%, p < 0.001) and least pronounced for the hydrophilic API-surrogate (+2%, p > 0.05). The improved penetration of API from PCs can be explained by the formation of EVs during the production of the PCs in which the API is encapsulated. The encapsulation seemed to be highly efficient for the lipophilic API-surrogate, moderate for the poorly soluble API-surrogate, and very limited for the hydrophilic API-surrogate. All formulations increased the skin hydration significantly by about 30–40%. Conclusions: Milk thistle seeds are suitable for the production of PCs. These PCs improve skin hydration and enhance the dermal penetration of poorly water soluble and lipophilic APIs. However, they have limited effects on the dermal penetration efficacy of hydrophilic APIs. Full article
(This article belongs to the Special Issue Advances in Drug Delivery in Cancer Treatment)
Show Figures

Graphical abstract

13 pages, 446 KB  
Review
From Lab to Workplace: Efficacy of Skin Protection Creams Against Hydrophobic Working Materials
by Anja Dick, Magdalena Metzger and Peter Dungel
J. Clin. Med. 2025, 14(23), 8470; https://doi.org/10.3390/jcm14238470 - 28 Nov 2025
Viewed by 601
Abstract
Occupational dermatoses represent a significant challenge across numerous industries. Therefore, occupational skin protection creams are frequently used as a preventative measure, yet their efficacy, particularly against hydrophobic working materials, remains inconclusive. This review provides an overview of the current knowledge concerning the mechanisms [...] Read more.
Occupational dermatoses represent a significant challenge across numerous industries. Therefore, occupational skin protection creams are frequently used as a preventative measure, yet their efficacy, particularly against hydrophobic working materials, remains inconclusive. This review provides an overview of the current knowledge concerning the mechanisms by which skin protection creams support skin barrier function, as well as the limitations of available testing methods. Current evaluation methods range from in vitro assays to ex vivo and in vivo models, each possessing distinct advantages and disadvantages. While several clinical studies demonstrate effectiveness against hydrophilic irritants, standardized and ethically viable methods for assessing protection against hydrophobic substances are lacking. Future research should focus on the development and validation of improved in vitro and ex vivo models, coupled with enhanced workplace simulation techniques, to facilitate a more accurate translation of laboratory findings to real-world occupational settings. Consistent and reliable testing is essential to ensure continued efficacy of these products in light of evolving regulatory landscapes. Full article
Show Figures

Figure 1

15 pages, 5385 KB  
Article
Modulating Skin Aging Molecular Targets and Longevity Drivers Through a Novel Natural Product: Rose-Derived Polydeoxyribonucleotide (Rose PDRN)
by Andrea Cavagnino, Gayané Azadiguian, Lionel Breton, Martin Baraibar and Annie F. Black
Curr. Issues Mol. Biol. 2025, 47(12), 971; https://doi.org/10.3390/cimb47120971 - 23 Nov 2025
Cited by 1 | Viewed by 1305
Abstract
Environmental stressors such as pollution and ultraviolet (UV) radiation contribute significantly to skin aging and skin photo-aging, alongside intrinsic chronological factors. Recent insights into longevity science have emphasized mitochondrial health, proteostasis, and autophagic balance as critical processes for maintaining skin integrity. This study [...] Read more.
Environmental stressors such as pollution and ultraviolet (UV) radiation contribute significantly to skin aging and skin photo-aging, alongside intrinsic chronological factors. Recent insights into longevity science have emphasized mitochondrial health, proteostasis, and autophagic balance as critical processes for maintaining skin integrity. This study investigates the protective potential of a natural product, Rose-derived PolyDeoxyRiboNucleotide (PDRN), against mitochondrial dysfunction and dysregulated autophagy in primary human keratinocytes subjected to environmental stress (benzo-a-pyrene and UV-A). PDRN was evaluated at 0.1%, 0.05%, and 0.01% concentrations. Mitochondrial function was assessed through membrane polarization, ATP/ADP ratio, Complex V (CV-ATP5A) levels, and citrate synthase levels. LAMP2A levels were quantified to evaluate the autophagic pathway. Complementary analyses were performed on ex vivo human skin explants, evaluating oxidative protein damage (carbonylation), Collagen I/III integrity, MMP1 and IL1a levels, and mitophagy markers (PINK1, PARK2). The results confirm significant protection of mitochondrial function, attenuation of oxidative stress, and modulation of autophagy-related pathways by PDRN across all models tested. These findings underscore the capacity of this novel natural product, a plant-derived PDRN, to mitigate environmental skin aging (and photo-aging) through mitochondrial maintenance and proteostasis regulation, positioning Rose-PDRN as a key active ingredient for dermocosmetic formulations targeting skin longevity biomarkers. Full article
(This article belongs to the Section Bioorganic Chemistry and Medicinal Chemistry)
Show Figures

Figure 1

21 pages, 5274 KB  
Article
Overcoming MRSA Antibiotic Resistance Through Losartan Repurposing with Carbon Dot–Conjugated Cerosomal Nanocarriers
by Yasmina Elmahboub, Rofida Albash, Ahmed M. Agiba, Mariam Hassan, Haneen Waleed Mohamed, Mohamed Safwat Hassan, Roaa Mohamed Ali, Yara E. Shalabi, Hend Mahmoud Abdelaziz Omran, Ahmed Adel Alaa-Eldin, Jawaher Abdullah Alamoudi, Asmaa Saleh, Amira B. Kassem and Moaz A. Eltabeeb
Pharmaceutics 2025, 17(11), 1483; https://doi.org/10.3390/pharmaceutics17111483 - 17 Nov 2025
Viewed by 2206
Abstract
Background/Objectives: Methicillin-resistant Staphylococcus aureus (MRSA) presents a serious hurdle in combating antibiotic-resistant skin infections. This study aimed to repurpose losartan potassium (LOS) through its incorporation into cerosomal nanocarriers (CERs) and further functionalization with carbon dots (CDs) to enhance antibacterial efficacy. Methods: LOS-CERs were [...] Read more.
Background/Objectives: Methicillin-resistant Staphylococcus aureus (MRSA) presents a serious hurdle in combating antibiotic-resistant skin infections. This study aimed to repurpose losartan potassium (LOS) through its incorporation into cerosomal nanocarriers (CERs) and further functionalization with carbon dots (CDs) to enhance antibacterial efficacy. Methods: LOS-CERs were fabricated by the thin-film hydration method and further optimized using a D-optimal mixture design. Results: The optimized CERs, composed of phytantriol (20 mg), ceramide (30 mg), and CTAB (20 mg), exhibited high entrapment efficiency (97.07 ± 0.07%), a nanoscale particle size (372.50 ± 0.50 nm), and a positive zeta potential (+33.24 ± 0.04 mV). FT-IR analysis confirmed successful conjugation of CDs to CERs through surface functional interactions. Ex vivo permeation and confocal microscopy studies demonstrated that the CD-CER formulation sustained LOS release and enhanced its deposition within skin layers compared with the LOS solution. Using a murine model of MRSA USA300-induced skin infection, the CD-CER formulation achieved superior antibacterial efficacy, reducing the bacterial load by 3.85 log10 CFU relative to the untreated control, compared with a 3.04 log10 CFU reduction for the LOS solution. Histological evaluation supported improved healing in CD-CER-treated groups. Conclusions: Overall, CD-functionalized CERs offer a promising multifunctional nanoplatform for repurposing LOS as a topical therapeutic against MRSA-associated skin infections. Full article
Show Figures

Graphical abstract

35 pages, 848 KB  
Systematic Review
Biodistribution and Toxicological Impact Assessment of Cerium Dioxide Nanoparticles in Murine Models: A Systematic Review of In Vivo and Ex Vivo Studies
by Polina I. Lazareva, Victor A. Stupin, Kirill A. Lazarev, Petr F. Litvitskiy, Natalia E. Manturova and Ekaterina V. Silina
Pharmaceutics 2025, 17(11), 1475; https://doi.org/10.3390/pharmaceutics17111475 - 16 Nov 2025
Cited by 1 | Viewed by 811
Abstract
Background/Objectives: This review summarizes and analyzes current data on the toxicological effects of cerium dioxide nanoparticles (nanoceria) on various anatomical and functional systems in healthy murine models, as reported in both in vivo and ex vivo experimental settings. Methods: This systematic review was [...] Read more.
Background/Objectives: This review summarizes and analyzes current data on the toxicological effects of cerium dioxide nanoparticles (nanoceria) on various anatomical and functional systems in healthy murine models, as reported in both in vivo and ex vivo experimental settings. Methods: This systematic review was conducted and reported in accordance with the PRISMA 2020 guidelines and was prospectively registered in PROSPERO (CRD42024503240). A systematic literature search was conducted using the PubMed and ScienceDirect databases for the period 2019–2025, with the inclusion of earlier publications having significant scientific relevance. The final search update was conducted in July 2025 to ensure inclusion of the most recent studies. Results and Conclusions: Only in vivo and ex vivo studies in healthy murine models were included. Risk of bias was evaluated using the OHAT tool for animal studies, and data were synthesized narratively due to heterogeneity among studies. A total of 29 studies met the inclusion criteria. The pharmacokinetic properties of nanoceria were considered, encompassing biodistribution, elimination pathways (including oral, intravenous, intraperitoneal, inhalation, intratracheal, and instillation routes), and the influence of physicochemical characteristics on bioavailability and toxicity. The toxicological impact (TI) was assessed across major organ systems—respiratory, digestive, urinary, visual, reproductive, nervous, cardiovascular, immune, hematopoietic, endocrine, musculoskeletal, and skin. The liver, spleen, lungs, and kidneys were identified as primary accumulation sites, with clearance dependent on particle size and coating. The TI spectrum ranged from the absence of morphological changes to inflammation, fibrosis, or organ dysfunction, depending on dose, exposure route, and physicochemical parameters. The main limitations include variability of nanoparticle formulations and incomplete toxicity reporting. In general, CeO2 nanoparticles with sizes of 2–10 nm and doses ≤ 5 mg/kg showed no signs of systemic toxicity in short-term studies on healthy mice, provided that optimal coating and dosing intervals were used. Full article
(This article belongs to the Section Nanomedicine and Nanotechnology)
Show Figures

Figure 1

14 pages, 1864 KB  
Article
Near-Infrared Spectroscopy for Oedema Quantification: An Ex Vivo Porcine Skin Model
by Mariana Castro-Montano, Meha Qassem and Panayiotis A. Kyriacou
Sensors 2025, 25(22), 6971; https://doi.org/10.3390/s25226971 - 14 Nov 2025
Viewed by 635
Abstract
Oedema is a common clinical finding in critically ill neonates and may reflect systemic illness such as congestive heart failure, hepatic cirrhosis, nephrotic syndrome, sepsis, and acute kidney injury. Oedema is characterised by tissue swelling due to water accumulation in the interstitial space. [...] Read more.
Oedema is a common clinical finding in critically ill neonates and may reflect systemic illness such as congestive heart failure, hepatic cirrhosis, nephrotic syndrome, sepsis, and acute kidney injury. Oedema is characterised by tissue swelling due to water accumulation in the interstitial space. Currently, the gold standard in clinical practice is visual assessment, which is subjective and limited in accuracy. Alternative methods, such as ultrasound and bioimpedance, have been explored; however, they are unsuitable in neonates and do not provide direct water quantification. Near-infrared spectroscopy (NIRS) is a non-invasive optical method that could measure water content through light interaction between near-infrared light and OH particles within the tissue. This study validated NIRS for oedema assessment using an ex vivo porcine skin model, where controlled oedema was induced by phosphate-buffered saline (PBS) injection. Continuous spectroscopic data were collected via optical fibres positioned perpendicularly and parallel to the tissue. Regression models were developed and evaluated using the spectral data, with partial least squares (PLS) regression outperforming ridge regression (RR) and support vector regression (SVR). Notably, spectra acquired in the parallel configuration yielded superior results (R2 = 0.97, RMSE = 0.15). These findings support the potential of NIRS as a reliable, quantitative tool for neonatal oedema assessment. Full article
(This article belongs to the Section Optical Sensors)
Show Figures

Figure 1

52 pages, 989 KB  
Review
Plant-Derived Extracellular Vesicles in Cosmetics: Building a Framework for Safety, Efficacy, and Quality
by Letizia Ferroni and Barbara Zavan
Cosmetics 2025, 12(6), 252; https://doi.org/10.3390/cosmetics12060252 - 10 Nov 2025
Viewed by 3648
Abstract
Plant-derived extracellular vesicles (PDEVs) are rapidly gaining popularity in cosmetics and regenerative medicine due to their biocompatibility, natural origin and promising bioactive properties. Nevertheless, the absence of standardized guidelines for their characterization has resulted in an inconsistent, unregulated landscape. This compromises product reproducibility, [...] Read more.
Plant-derived extracellular vesicles (PDEVs) are rapidly gaining popularity in cosmetics and regenerative medicine due to their biocompatibility, natural origin and promising bioactive properties. Nevertheless, the absence of standardized guidelines for their characterization has resulted in an inconsistent, unregulated landscape. This compromises product reproducibility, consumer safety, and scientific credibility. Here, a comprehensive set of minimal characterization guidelines for PDEVs is proposed to include physical and chemical profiling, molecular marker identification, cargo analysis, and stability assessment under storage and formulation conditions. Functional validation through cellular uptake assays, activity tests, and advanced in vitro or ex vivo models that replicate realistic skin exposure scenarios is pivotal. Requirements for transparent labelling, reproducible sourcing, batch-to-batch consistency, and biological activity substantiation to support claims related to skin regeneration, anti-aging, and microbiome modulation are also required. By establishing a harmonized baseline for quality and efficacy evaluation, these guidelines aim to elevate the scientific standards and promote the safe, ethical, and effective use of PDEV-based ingredients in cosmetic and biomedical applications. Full article
Show Figures

Figure 1

14 pages, 5790 KB  
Article
3D-Printed Microneedles with Controlled Structures for Drug Delivery Study in an Ex Vivo Model
by Dong Wei, Weixiong Yang, Xiang Song and Fu Liu
Micromachines 2025, 16(11), 1249; https://doi.org/10.3390/mi16111249 - 31 Oct 2025
Viewed by 1137
Abstract
MN arrays are highly beneficial for transdermal drug delivery, primarily due to reduced pain and improved compliance. However, complex processing and restricted design freedom limit traditional fabrication. We utilized stereolithography (SLA) 3D printing as a breakthrough method to achieve the one-step production of [...] Read more.
MN arrays are highly beneficial for transdermal drug delivery, primarily due to reduced pain and improved compliance. However, complex processing and restricted design freedom limit traditional fabrication. We utilized stereolithography (SLA) 3D printing as a breakthrough method to achieve the one-step production of MN arrays with customized geometries (structure, size, tip angle), enabling tunable release profiles and eliminating cumbersome manufacturing steps. After fabricating conical and grooved MN arrays and validating them in an ex vivo porcine skin model, we confirmed their functionality. Notably, the grooved design provided excellent penetration, requiring only 2.2 N of force for full insertion (at 18.92° tip angle), and demonstrated an enhanced drug loading capacity of 4.8 μg released over 2 h. These results underscore the significant potential of 3D-printed, channel-structured MN arrays as a new generation of high-performance transdermal delivery devices. Full article
(This article belongs to the Section B5: Drug Delivery System)
Show Figures

Figure 1

Back to TopTop