Sign in to use this feature.

Years

Between: -

Subjects

remove_circle_outline
remove_circle_outline
remove_circle_outline
remove_circle_outline
remove_circle_outline
remove_circle_outline
remove_circle_outline
remove_circle_outline
remove_circle_outline

Journals

remove_circle_outline
remove_circle_outline
remove_circle_outline
remove_circle_outline
remove_circle_outline
remove_circle_outline
remove_circle_outline
remove_circle_outline
remove_circle_outline
remove_circle_outline

Article Types

Countries / Regions

remove_circle_outline
remove_circle_outline
remove_circle_outline
remove_circle_outline
remove_circle_outline

Search Results (858)

Search Parameters:
Keywords = environmental and operational variations

Order results
Result details
Results per page
Select all
Export citation of selected articles as:
15 pages, 1717 KB  
Article
Community-Level Phenotypic Adaptations of Small Mammals Under Rain-Shadow Dynamics in Baima Snow Mountain, Yunnan
by Yongyuan Li, Guangzhi Chen, Mengru Xie, Yihao Fang, Feng Qin and Wenyu Song
Animals 2026, 16(1), 91; https://doi.org/10.3390/ani16010091 (registering DOI) - 28 Dec 2025
Abstract
The adaptation strategies of species to local environments are reflected in phenotypic variations, which could be expressed as trait patterns across the community level. Here, we compiled a dataset of small mammal traits to evaluate the classic ecological rules and to assess predictions [...] Read more.
The adaptation strategies of species to local environments are reflected in phenotypic variations, which could be expressed as trait patterns across the community level. Here, we compiled a dataset of small mammal traits to evaluate the classic ecological rules and to assess predictions related to drought resistance. In June 2017, July 2023, and May–June 2024, a field survey was conducted in Baima Snow Mountain, southwest China, using standardized methods to capture small mammals. Traits potentially corresponding to variations in temperature, productivity, and water availability were measured in the field or calculated in the laboratory. We applied ordinary least squares (OLS) linear regressions to determine the community-level trait variations along the gradients of environmental factors influenced by rain-shadow effects of the mountain system. Results showed that (1) body size decreased with increasing temperature, aligning well with conventional prediction; (2) the proportion of appendage size attributable to allometry decreased with temperature but increased slightly with productivity, thereby violating Allen’s rule while being partly consistent with the resource rule; (3) the renal features did not support the expected negative association concerning water availability but its converse, which may be explained by microhabitat conditions and broad-scale zoogeographic influences within the local community. We conclude that community-level phenotypic variations in small mammals result from complex influences, including climate, productivity, habitat characteristics, and adaptive strategies operating at both micro and macro scales. Full article
(This article belongs to the Section Mammals)
20 pages, 5861 KB  
Article
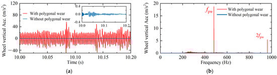
A Novel Detection Method for Wheel Irregular Wear Using Stator Current Based on an Electromechanical Coupling Model
by Guinan Zhang, Bo Zhang, Yongfeng Song and Bing Lu
Electronics 2026, 15(1), 138; https://doi.org/10.3390/electronics15010138 (registering DOI) - 28 Dec 2025
Abstract
Irregular wheel wear can significantly degrade wheel–rail interaction performance and, in severe cases, compromise the safety of high-speed trains. Accurate and timely monitoring of wheel wear is crucial for maintaining operational reliability. Existing monitoring methods often rely on high-end sensors or are sensitive [...] Read more.
Irregular wheel wear can significantly degrade wheel–rail interaction performance and, in severe cases, compromise the safety of high-speed trains. Accurate and timely monitoring of wheel wear is crucial for maintaining operational reliability. Existing monitoring methods often rely on high-end sensors or are sensitive to environmental disturbances, limiting their practical deployment. This study proposes a novel method for monitoring irregular wheel wear by analyzing the stator current spectrum of traction motors. Firstly, an electromechanical coupled model is developed by integrating the electric drive system with the vehicle–track dynamic model to capture the propagation of wear-induced excitation. The effect of polygonal wear on the stator current is investigated, revealing the presence of harmonic components coupled with the wear excitation frequency. To extract these features, a comb filter based on Variational Mode Decomposition (VMD) is introduced. The method effectively isolates wheel wear-related harmonics from existing electrical harmonics in the stator current signal. Simulation results demonstrate that the proposed approach can accurately detect harmonic features caused by polygonal wear, validating its applicability. This method provides a feasible and non-intrusive solution for wheel wear monitoring, offering theoretical support for condition-based maintenance of high-speed rail systems. Full article
(This article belongs to the Section Circuit and Signal Processing)
Show Figures

Figure 1

13 pages, 2143 KB  
Article
O-Band 4 × 1 Combiner Based on Silicon MMI Cascaded Tree Configuration
by Saveli Shaul Smolanski and Dror Malka
Micromachines 2026, 17(1), 31; https://doi.org/10.3390/mi17010031 (registering DOI) - 26 Dec 2025
Abstract
High-speed silicon (Si) photonic transmitters operating in the O-band require higher on-chip optical power to support advanced modulation formats and ever-increasing line rates. A straightforward approach is to operate laser diodes at higher output power or employ more specialized sources, but this raises [...] Read more.
High-speed silicon (Si) photonic transmitters operating in the O-band require higher on-chip optical power to support advanced modulation formats and ever-increasing line rates. A straightforward approach is to operate laser diodes at higher output power or employ more specialized sources, but this raises cost and exacerbates nonlinear effects such as self-phase modulation, two-photon absorption, and free-carrier generation in high-index-contrast Si waveguides. This paper proposes a low-cost 4 × 1 tree-cascade multimode interference (MMI) power combiner on a Si-on-insulator platform at 1310 nm wavelength that enables coherent power scaling while remaining fully compatible with standard commercial O-band lasers. The device employs adiabatic tapers and low-loss S-bends to ensure uniform field evolution, suppress local field enhancement, and mitigate nonlinear phase accumulation. The optimized layout occupies a compact footprint of 12 µm × 772 µm and achieves a simulated normalized power transmission of 0.975 with an insertion loss of 0.1 dB. Spectral analysis shows a 3 dB bandwidth of 15.8 nm around 1310 nm, across the O-band operating window. Thermal analysis shows that wavelength drift associated with ±50 °C temperature variation remains within the device bandwidth, ensuring stable operation under realistic laser self-heating and environmental changes. Owing to its broadband response, fabrication tolerance, and compatibility with off-the-shelf laser diodes, the proposed combiner is a promising building block for O-band transmitters and photonic neural-network architectures based on cascaded splitter and combiner meshes, while preserving linear transmission and enabling dense, large-scale photonic integration. Full article
(This article belongs to the Special Issue Photonic and Optoelectronic Devices and Systems, 4th Edition)
Show Figures

Figure 1

17 pages, 8612 KB  
Article
Intelligent Extremum Seeking Control of PEM Fuel Cells for Optimal Hydrogen Utilization in Hydrogen Electric Vehicles
by Hafsa Abbade, Hassan El Fadil, Abdessamad Intidam, Abdellah Lassioui, Tasnime Bouanou and Ahmed Hamed
World Electr. Veh. J. 2026, 17(1), 15; https://doi.org/10.3390/wevj17010015 (registering DOI) - 25 Dec 2025
Viewed by 82
Abstract
In terms of their high efficiency and low environmental impact, proton exchange membrane fuel cells (PEMFC) are becoming increasingly essential in the development of hydrogen electric vehicles. Despite these advantages, optimizing hydrogen consumption remains difficult because of the highly nonlinear behavior of PEMFC [...] Read more.
In terms of their high efficiency and low environmental impact, proton exchange membrane fuel cells (PEMFC) are becoming increasingly essential in the development of hydrogen electric vehicles. Despite these advantages, optimizing hydrogen consumption remains difficult because of the highly nonlinear behavior of PEMFC systems and their sensitivity to variations in operating conditions. This article outlines an intelligent control approach based on extremum seeking control (ESC), based on an artificial neural network (ANN) model, to improve hydrogen utilization in hydrogen electric vehicles. Experimental data on current, voltage, and temperature are collected, preprocessed, and used to train the ANN model of the PEMFC. The ESC algorithm uses this predictive ANN model to adjust the fuel cell current in real time, ensuring voltage stability while reducing hydrogen consumption. The simulation results demonstrate that the ANN-based ESC system provides voltage stability under dynamic load variations and achieves approximately 2.7% hydrogen savings without affecting the experimental current profile, validating the efficacy of the suggested strategy for effective hydrogen management in fuel cell electric vehicles. Full article
(This article belongs to the Special Issue Vehicle System Dynamics and Intelligent Control for Electric Vehicles)
Show Figures

Figure 1

18 pages, 4950 KB  
Article
A New Single-Stage Four-Switch Common-Ground-Type Buck–Boost Inverter
by Abd Ullah, Yong-Ho Park and Youn-Ok Choi
Energies 2026, 19(1), 64; https://doi.org/10.3390/en19010064 - 22 Dec 2025
Viewed by 143
Abstract
The output voltages of photovoltaic panels typically fluctuate due to variations in environmental conditions, and therefore the use of a buck–boost inverter is essential. This article presents a novel buck–boost voltage-source inverter topology. The proposed inverter is transformerless and thus is smaller and [...] Read more.
The output voltages of photovoltaic panels typically fluctuate due to variations in environmental conditions, and therefore the use of a buck–boost inverter is essential. This article presents a novel buck–boost voltage-source inverter topology. The proposed inverter is transformerless and thus is smaller and lower-cost than isolated topologies. The topology consists of four switches but only two of them operate at a high switching frequency during each half-cycle, which significantly reduces switching losses and improves efficiency. Furthermore, a common-ground connection between the inverter input and output effectively suppresses leakage current by mitigating the common-mode voltage issue. The modulation strategy, circuit operation, and design guidelines are presented in detail. Simulation and experimental results at 500 W are also provided to verify the effectiveness of the proposed inverter topology. Full article
(This article belongs to the Section I: Energy Fundamentals and Conversion)
Show Figures

Figure 1

42 pages, 6895 KB  
Article
Comparative Assessment of Climate-Responsive Design and Occupant Behaviour Across Türkiye’s Building Typologies for Enhanced Utilisation and Performance
by Oluwagbemiga Paul Agboola
Buildings 2026, 16(1), 18; https://doi.org/10.3390/buildings16010018 - 19 Dec 2025
Viewed by 280
Abstract
This study evaluates and compares the sustainability performance of selected historic, commercial, and institutional buildings in Istanbul to identify effective climate-responsive and energy-efficient design strategies. The objectives are to assess performance using LEED-based criteria, examine variations across building typologies, and outline implications for [...] Read more.
This study evaluates and compares the sustainability performance of selected historic, commercial, and institutional buildings in Istanbul to identify effective climate-responsive and energy-efficient design strategies. The objectives are to assess performance using LEED-based criteria, examine variations across building typologies, and outline implications for future sustainable design. Using an evaluation matrix, responses from 175 experts were analysed across key LEED categories for seven case study buildings. The comparative assessment reveals notable variations in sustainability performance across the seven evaluated buildings. ERKE Green Academy consistently achieved the highest mean scores (≈4.40–4.60), particularly in Sustainable Sites, Water Efficiency, Energy and Atmosphere, and Indoor Environmental Quality. This strong performance reflects its integration of advanced green technologies, optimised daylighting strategies, biophilic elements, and smart system controls. Modern commercial towers, such as the Allianz Tower and Sapphire Tower, recorded strong mean scores (≈4.20–4.50) across categories related to Integrative Design, Energy Efficiency, and Materials and Resources. Their performance is largely driven by intelligent façade systems, double-skin envelopes, automated shading, and high-performance mechanical systems that enhance operational efficiency. In contrast, heritage buildings including Hagia Sophia and Sultan Ahmed Mosque demonstrated moderate yet stable performance levels (≈4.00–4.40). Their strengths were most evident in Indoor Environmental Quality, where passive systems such as thermal mass, natural ventilation, and inherent spatial configurations contribute significantly to occupant comfort. Overall, the findings underscore the complementary value of combining traditional passive strategies with modern smart technologies to achieve resilient, low-energy, and user-responsive architecture. This study is novel as it uniquely demonstrates how traditional passive design strategies and modern smart technologies can be integrated to enhance climate-responsive and energy-efficient performance across diverse building typologies. The study recommends enhanced indoor air quality strategies, occupant education on system use, and stronger policy alignment with LEED standards. Full article
(This article belongs to the Section Architectural Design, Urban Science, and Real Estate)
Show Figures

Figure 1

16 pages, 4485 KB  
Article
A Modeling Approach to Aggregated Noise Effects of Offshore Wind Farms in the Canary and North Seas
by Ion Urtiaga-Chasco and Alonso Hernández-Guerra
J. Mar. Sci. Eng. 2026, 14(1), 2; https://doi.org/10.3390/jmse14010002 - 19 Dec 2025
Viewed by 242
Abstract
Offshore wind farms (OWFs) represent an increasingly important renewable energy source, yet their environmental impacts, particularly underwater noise, require systematic study. Estimating the operational source level (SL) of a single turbine and predicting sound pressure levels (SPLs) at sensitive locations can be challenging. [...] Read more.
Offshore wind farms (OWFs) represent an increasingly important renewable energy source, yet their environmental impacts, particularly underwater noise, require systematic study. Estimating the operational source level (SL) of a single turbine and predicting sound pressure levels (SPLs) at sensitive locations can be challenging. Here, we integrate a turbine SL prediction algorithm with open-source propagation models in a Jupyter Notebook (version 7.4.7) to streamline aggregated SPL estimation for OWFs. Species-specific audiograms and weighting functions are included to assess potential biological impacts. The tool is applied to four planned OWFs, two in the Canary region and two in the Belgian and German North Seas, under conservative assumptions. Results indicate that at 10 m/s wind speed, a single turbine’s SL reaches 143 dB re 1 µPa in the one-third octave band centered at 160 Hz. Sensitivity analyses indicate that variations in wind speed can cause the operational source level at 160 Hz to increase by up to approximately 2 dB re 1 µPa2/Hz from the nominal value used in this study, while differences in sediment type can lead to transmission loss variations ranging from 0 to on the order of 100 dB, depending on bathymetry and range. Maximum SPLs of 112 dB re 1 µPa are predicted within OWFs, decreasing to ~50 dB re 1 µPa at ~100 km. Within OWFs, Low-Frequency (LF) cetaceans and Phocid Carnivores in Water (PCW) would likely perceive the noise; National Marine Fisheries Service (NMFS) marine mammals’ auditory-injury thresholds are not exceeded, but behavioral-harassment thresholds may be crossed. Outside the farms, only LF audiograms are crossed. In high-traffic North Sea regions, OWF noise is largely masked, whereas in lower-noise areas, such as the Canary Islands, it can exceed ambient levels, highlighting the importance of site-specific assessments, accurate ambient noise monitoring and propagation modeling for ecological impact evaluation. Full article
Show Figures

Figure 1

28 pages, 27052 KB  
Article
Energy Harvesting Devices for Extending the Lifespan of Lithium-Polymer Batteries: Insights for Electric Vehicles
by David Gutiérrez-Rosales, Omar Jiménez-Ramírez, Daniel Aguilar-Torres, Juan Carlos Paredes-Rojas, Eliel Carvajal-Quiroz and Rubén Vázquez-Medina
World Electr. Veh. J. 2025, 16(12), 682; https://doi.org/10.3390/wevj16120682 - 18 Dec 2025
Viewed by 182
Abstract
This study rigorously evaluated the integration of energy-harvesting systems within electric vehicles to prolong battery service life. A laboratory-scale system was configured utilizing a scale electric vehicle with a 12.6 V lithium-polymer (Li-Po) battery alongside an automated control platform to precisely estimate the [...] Read more.
This study rigorously evaluated the integration of energy-harvesting systems within electric vehicles to prolong battery service life. A laboratory-scale system was configured utilizing a scale electric vehicle with a 12.6 V lithium-polymer (Li-Po) battery alongside an automated control platform to precisely estimate the real-time State of Charge (SoC) through monitoring of current, voltage, and temperature of the vehicle battery under three distinct driving conditions: (A) constant velocity at 30 km/h, (B) variable velocities exhibiting a sawtooth profile, and (C) random speed variations. Wind energy was harvested employing Savonius rotor microturbines, with assessments conducted on efficiency losses and drag coefficients to determine the net power yield for each operational profile, which was found to be marginally positive. Considering the energy consumption of electric vehicles based on 2017 U.S. EPA fuel economy data, the maximal recovered energy corresponded to 0.0833% of auxiliary system demand, while the minimal recovery was 0.0398%. These results substantiated the necessity for continued research into sustainable energy management frameworks for electric vehicles. They emphasized the critical importance of optimizing the incorporation of renewable energy technologies to mitigate the environmental ramifications of the transportation sector. Full article
Show Figures

Graphical abstract

31 pages, 3254 KB  
Article
An Electric Vehicle Conversion for Rural Mobility in Sub-Saharan Africa
by Daneel Wasserfall, Stefan Botha and Marthinus Johannes Booysen
Energies 2025, 18(24), 6625; https://doi.org/10.3390/en18246625 - 18 Dec 2025
Viewed by 294
Abstract
Rural Sub-Saharan Africa (SSA) faces limited transport options, with many dispersed settlements dependent on poorly maintained roads. Light delivery vehicles (LDVs) can improve mobility, but conventional internal combustion engine vehicles are costly to operate and contribute to emissions. Electric vehicle (EV) conversions offer [...] Read more.
Rural Sub-Saharan Africa (SSA) faces limited transport options, with many dispersed settlements dependent on poorly maintained roads. Light delivery vehicles (LDVs) can improve mobility, but conventional internal combustion engine vehicles are costly to operate and contribute to emissions. Electric vehicle (EV) conversions offer a practical alternative by extending vehicle life and reducing energy, maintenance, and environmental costs. This study presents a simulation-based framework to guide LDV conversion design for rural SSA. The framework includes component sizing, subsystem modeling, and full-vehicle benchmarking under representative conditions. Scenario-based simulations include trips ranging from shorter local access routes to longer remote trips on both paved and dirt roads, allowing the conversion’s performance to be quantified under representative conditions. A sensitivity analysis indicates that road grade, aerodynamic drag, and rolling resistance are the primary factors driving energy use variation. Using the Worldwide Harmonized Light Vehicles Test Procedure (WLTP) drive cycle, the conversion energy consumption (∼217 Wh/km) comparable to that of commercial electric vans, though the range is reduced relative to its battery capacity. The framework establishes a benchmark for EV conversion performance in SSA and supports broader adoption of sustainable rural mobility solutions. Full article
(This article belongs to the Section E: Electric Vehicles)
Show Figures

Figure 1

23 pages, 5666 KB  
Article
Effects of Anchor Chain Arrangements on the Motion Response of Three-Anchor Buoy Systems
by Zudi Li, Zhinan Mi and Lunwei Zhang
J. Mar. Sci. Eng. 2025, 13(12), 2368; https://doi.org/10.3390/jmse13122368 - 13 Dec 2025
Viewed by 208
Abstract
As a new kind of large observation platform, the three-anchor buoy system can effectively realize multifunctional ocean observation, e.g., ocean profiling and autonomous underwater vehicle docking. In order to understand effects of different anchor chain arrangements on the motion response of the three-anchor [...] Read more.
As a new kind of large observation platform, the three-anchor buoy system can effectively realize multifunctional ocean observation, e.g., ocean profiling and autonomous underwater vehicle docking. In order to understand effects of different anchor chain arrangements on the motion response of the three-anchor buoy system under the coupling effect of wind, wave, and current loads, a hydrodynamic model of the buoy system was developed. Wave-period-dependent characteristics of added mass, radiation damping, and the motion response amplitude operator (RAO) were analyzed to derive their response curves; the effects of adding additional viscous damping on RAO performance were investigated. Subsequently, frequency domain and time domain analyses were conducted on five three-anchor buoy systems with distinct anchor chain arrangements to investigate the variation patterns of 6-DOF motion response amplitudes, top-chain tension characteristics, and submarine anchor chain length alterations under combined wind, wave, and current loading conditions. The results show that under the same environmental load, when the three anchor chains are evenly distributed at 120°, the 6-DOF motion response amplitude of the buoy system is the smallest, the top-chain tension and the submarine anchor chain length are more in line with the design requirements, and the comprehensive performance is better. Full article
(This article belongs to the Section Ocean Engineering)
Show Figures

Figure 1

18 pages, 1952 KB  
Article
Multi-Dimensional Benefit Assessment of Virtual Power Plants Based on Vickrey-Clarke-Groves from Grid’s Side
by Weihao Li, Mingxu Xiang, Xujia Yin, Ce Zhou and Haolin Wang
Processes 2025, 13(12), 4018; https://doi.org/10.3390/pr13124018 - 12 Dec 2025
Viewed by 269
Abstract
Virtual power plants (VPPs) provide essential regulation capabilities by aggregating diverse distributed energy resources (DERs). Accurately assessing the value of VPPs from the grid’s side is essential for improving market mechanism design and, in turn, encouraging participation of VPPs. However, existing assessment methods [...] Read more.
Virtual power plants (VPPs) provide essential regulation capabilities by aggregating diverse distributed energy resources (DERs). Accurately assessing the value of VPPs from the grid’s side is essential for improving market mechanism design and, in turn, encouraging participation of VPPs. However, existing assessment methods neglect the refined evaluations integrating Automatic Generation Control (AGC)-based operational simulations derived from economic dispatch results, thereby failing to comprehensively capture the multi-dimensional benefits VPPs contribute to the grid. To bridge this gap, this study proposes a multi-dimensional benefit assessment method of VPPs and a simulation method from the grid’s perspective. First, the environmental, security, and economic benefits of VPPs are characterized. A decoupled quantitative assessment framework based on the Vickrey-Clarke-Groves (VCG) mechanism is then established to evaluate these benefits by analyzing system cost variations induced by VPP aggregation. Next, the method of actual operation simulation based on scheduling outcomes is discussed. The corresponding system operation costs are obtained under various scenarios. Case studies utilizing real-world data from a provincial power grid in China analyzed the benefits of VPPs across multiple scenarios defined by varying renewable energy penetration rates, aggregation sizes, and output stability. Notably, the value of the VPP differs significantly across renewable energy penetration levels. Under high penetration, its value increases by 18.5% compared with the low-penetration case, and the value of security and ancillary services accounts for the largest share (50.3%), a component frequently overlooked in existing literature. These findings offer valuable insights for optimizing electricity market mechanisms. Full article
(This article belongs to the Section Energy Systems)
Show Figures

Figure 1

13 pages, 611 KB  
Article
Acrylamide Determination in Infant Formulas: A New Extraction Method
by Sumeyra Sevim, Rosalia Lopez-Ruiz and Antonia Garrido-Frenich
Molecules 2025, 30(24), 4718; https://doi.org/10.3390/molecules30244718 - 9 Dec 2025
Viewed by 336
Abstract
Infant formulas are specialized foods designed for babies and toddlers who cannot be exclusively breastfed. However, acrylamide (AA) may form during the thermal processing involved in their production. Although chromatographic techniques offer high sensitivity and detection capability for AA analysis, their application remains [...] Read more.
Infant formulas are specialized foods designed for babies and toddlers who cannot be exclusively breastfed. However, acrylamide (AA) may form during the thermal processing involved in their production. Although chromatographic techniques offer high sensitivity and detection capability for AA analysis, their application remains limited due to the complexity of diverse food matrices, high operating costs, time requirements, and environmental concerns. A new validated liquid chromatography–mass spectrometry (LC-MS) protocol for AA detection in infant formula was developed using sequential hydration, acetonitrile (ACN) precipitation, and dual-sorbent clean-up, which minimized matrix effects and ensured clarity and high reproducibility. The validated method demonstrated excellent linearity (R2 = 0.9985, solvent-based; 0.9903, matrix-based), a pronounced matrix effect (−67%), satisfactory sensitivity (limit of detection, LOD: 10 µg/kg; limit of quantification, LOQ: 20 µg/kg), and consistent recovery (82–99%) with less than 15% variation. AA analysis was performed on 31 infant formula samples. The highest individual AA level (268.2 µg/kg) was detected in an amino acid-based formula intended for infants under one year of age while the highest mean concentration was found in cereal-based samples (188.1 ± 100.8 µg/kg), followed by goat’s milk-based (52.7 ± 25.67), plant-based (48.8 ± 31.68), and cow’s milk-based (27.5 ± 29.62) formulas (p < 0.001). The wide variability in AA concentrations among infant formulas can be attributed to differences in formulation, ingredient composition, manufacturing processes, and analytical methodologies. These findings highlight the need for continuous monitoring of AA levels in infant foods to ensure their safety. Full article
(This article belongs to the Special Issue Recent Advances in Food Analysis, 2nd Edition)
Show Figures

Figure 1

26 pages, 4173 KB  
Article
Non-Linear Dynamics: ESG Investment and Financial Performance Heterogeneity in the Tourism Industry
by Chien-Ming Wang and Tsung-Pao Wu
Sustainability 2025, 17(24), 11010; https://doi.org/10.3390/su172411010 - 9 Dec 2025
Viewed by 300
Abstract
Prior ESG-tourism research predominantly documents performance effects through stakeholder theory, yet relies on aggregated samples and mean-based regression methods that may obscure sectoral variation and non-linear dynamics. This study examines how Environmental, Social, and Governance practices affect firm financial performance across three distinct [...] Read more.
Prior ESG-tourism research predominantly documents performance effects through stakeholder theory, yet relies on aggregated samples and mean-based regression methods that may obscure sectoral variation and non-linear dynamics. This study examines how Environmental, Social, and Governance practices affect firm financial performance across three distinct tourism subsectors in Taiwan, including food service, hotel service, and general tourism service, addressing these methodological and contextual gaps. Employing Quantile-on-Quantile regression on data from Taiwan’s tourism corporation from 2015 to 2023, we capture asymmetric effects across both ESG and performance distributions, integrating Stakeholder theory, reputational benefits, and cost-of-capital theoretical perspectives. Food service firms experience predominantly negative ESG-performance relationships (coefficients −0.40 to −0.10 at lower quantiles), where compliance costs exceed stakeholder benefits, given thin profit margins and transactional customer relationships. Hotels demonstrate positive correlations at performance extremes (quantiles 0.05–0.25 and 0.70–0.95) through operational efficiency gains and brand differentiation. The service sector exhibits volatile mixed patterns reflecting operational diversity. Findings demonstrate that ESG’s contribution to sustainable tourism development depends critically on sectoral operational characteristics and resource capabilities, suggesting that differentiated regulatory frameworks would better facilitate sustainability transitions than uniform ESG mandates. Full article
(This article belongs to the Special Issue Environmental Economics and Sustainability)
Show Figures

Figure 1

20 pages, 1441 KB  
Article
Prediction of Shrimp Growth by Machine Learning: The Use of Actual Data of Industrial-Scale Outdoor White Shrimp (Litopenaeus vannamei) Aquaculture in Indonesia
by Muhammad Abdul Aziz Al Mujahid, Fahma Fiqhiyyah Nur Azizah, Gun Gun Indrayana, Nina Rachminiwati, Yutaro Sakai and Nobuyuki Yagi
Aquac. J. 2025, 5(4), 27; https://doi.org/10.3390/aquacj5040027 - 5 Dec 2025
Viewed by 323
Abstract
Accurate prediction of shrimp body weight is critical for optimizing harvest timing, feed management, and stocking density decisions in intensive aquaculture. While prior studies emphasize environmental factors, operational management variables—particularly harvesting metrics—remain understudied. This study quantified the predictive importance of harvesting-related variables using [...] Read more.
Accurate prediction of shrimp body weight is critical for optimizing harvest timing, feed management, and stocking density decisions in intensive aquaculture. While prior studies emphasize environmental factors, operational management variables—particularly harvesting metrics—remain understudied. This study quantified the predictive importance of harvesting-related variables using 5 years of industrial-scale operational data from 12 ponds (5479 cleaned records, 34.94% retention rate). We trained seven machine learning models and applied three independent feature importance methods: consensus importance ranking, SHAP explainability analysis, and Pearson correlations. Main findings: Operational variables (days of culture: 2.833 SHAP, stocking density: 1.871, cumulative feed: 1.510) ranked substantially above environmental variables (temperature: 0.123, pH: 0.065, dissolved oxygen: 0.077). Partial harvest frequency showed bimodal clustering, indicating two distinct viable operational strategies. The Weighted Ensemble model achieved the highest performance (R2 = 0.829, RMSE = 4.23 g, MAE = 3.12 g). Model stability analysis via 10-fold GroupKFold cross-validation showed that the Artificial Neural Network (ANN) exhibited the tightest confidence bounds (0.708 g width, 27.7% coefficient of variation), indicating exceptional consistency. This is the first study to systematically analyze the importance of harvesting variables using SHAP explainability, revealing that operational management decisions may yield greater returns than marginal environmental control investments. Our findings suggest that operational optimization may be more impactful than environmental fine-tuning in well-managed systems. Full article
Show Figures

Figure 1

23 pages, 3064 KB  
Article
Comparing Ecuadorian Cocoa Mucilage-Based Bio-Ethanol and Commercial Fuels Toward Their Performance and Environmental Impacts in Internal Combustion Engines
by Cristian Laverde-Albarracín, Juan Félix González González, Beatriz Ledesma Cano, Silvia Román Suero, José Villarroel-Bastidas, Diego Peña-Banegas, Samantha Puente-Bosquez and Sebastian Naranjo-Silva
Energies 2025, 18(24), 6378; https://doi.org/10.3390/en18246378 - 5 Dec 2025
Viewed by 467
Abstract
In response to Ecuador’s need for sustainable and locally sourced transport fuels, this study evaluates the energetic and environmental performance of a biofuel (bioethanol-based) derived from the mucilage of the CCN51 cocoa variety, analyzed under controlled operating conditions in an internal combustion engine. [...] Read more.
In response to Ecuador’s need for sustainable and locally sourced transport fuels, this study evaluates the energetic and environmental performance of a biofuel (bioethanol-based) derived from the mucilage of the CCN51 cocoa variety, analyzed under controlled operating conditions in an internal combustion engine. Bioethanol obtained from this feedstock was blended with Ecuador’s commercial Extra gasoline to produce an E5 formulation, experimentally compared with Extra (85 RON) and Super (92 RON) fuels. Physicochemical analysis following NTE INEN 2102 revealed a research octane number of 85.8 and a lower heating value of 45.22 MJ/kg. Static tests performed on a Hyundai i10 engine (2021) at 700 and 2500 rpm showed that the E5 blend achieved higher energy and exergy efficiencies (21.17% and 64.12%, respectively) than Extra gasoline, approaching Super performance. Environmentally, the E5–CCN51 blend reduced carbon monoxide (CO) by ~10–15% and unburned hydrocarbons (HC) by ~5–8%, while maintaining λ ≈ 1. Variations in O2 and CO2 confirmed enhanced oxidation and more complete combustion. Overall, these findings demonstrate the technical feasibility and environmental relevance of CCN51 cocoa mucilage as a sustainable ethanol source, contributing to cleaner combustion, circular bioeconomy promotion, and energy resilience in tropical developing regions. Full article
(This article belongs to the Special Issue Conversion and High-Value Utilization of Biomass Resources)
Show Figures

Figure 1

Back to TopTop