A Novel Detection Method for Wheel Irregular Wear Using Stator Current Based on an Electromechanical Coupling Model
Abstract
1. Introduction
- (1)
- Developing an electromechanical coupled model of a high-speed train considering the interaction among vehicle, track, and traction drive system.
- (2)
- Analyzing the influence of typical wear types (e.g., wheel flat and polygonal wear) on the electric drive system, and establishing a frequency-domain mapping between wheel wear and electrical parameters.
- (3)
- Designing a comb filter based on Variational Mode Decomposition (VMD) to extract spectral components related to wheel wear excitations from the stator current, thereby achieving accurate identification and monitoring of abnormal wear conditions.
2. Development of an Electromechanical Coupling Model
2.1. Electric Traction Drive System
2.2. Train–Track Coupled Dynamic Model
2.3. Modeling of the Coupling Between Electrical and Mechanical Systems
3. The Proposed Novel Method
3.1. Influence of Wheel Irregular Wear on the Electric Drive System
3.2. Comb Filter Based on Variable Modal Decomposition
4. Results and Analysis
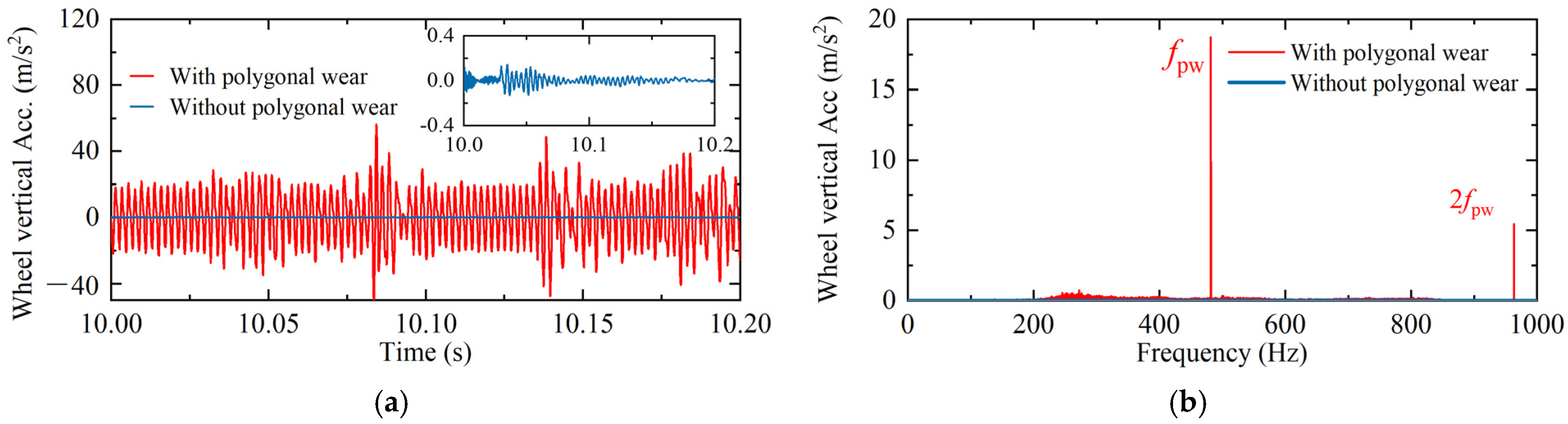
4.1. Numerical Simulation
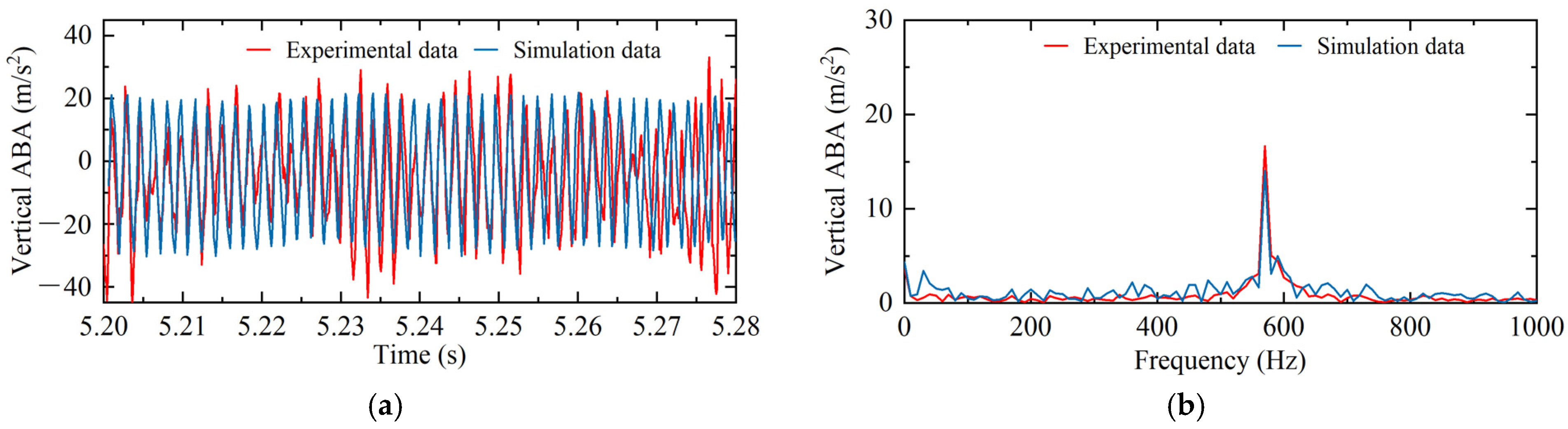
4.2. HIL Test
- (1)
- Constant-speed condition
- (2)
- Variable-speed condition
5. Conclusions
- An electromechanical coupling model of the traction drive system for high-speed trains is established, which can accurately simulate the electrical and mechanical behaviors of the system under multiple operating conditions.
- Wheel irregular wear—such as wheel polygonal wear and wheel flats—induces wheel–rail vibration excitations that can propagate into the electrical drive system. These excitations couple with the motor fundamental frequency and generate harmonics and harmonic torque components.
- A comb filter based on variational mode decomposition is proposed. This method can effectively identify the frequency components in the stator current that are associated with wheel irregular wear, thereby enabling reliable monitoring of wheel wear conditions.
Author Contributions
Funding
Data Availability Statement
Conflicts of Interest
Abbreviations
| VMD | Variational Mode Decomposition |
| SPWM | Sinusoidal Pulse Width Modulation |
| PW | Polygonal Wear |
References
- Tao, G.; Wang, L.; Wen, Z.; Guan, Q.; Jin, X. Measurement and assessment of out-of-round electric locomotive wheels. Proc. Inst. Mech. Eng. Part F J. Rail Rapid Transit 2018, 232, 275–287. [Google Scholar] [CrossRef]
- Wang, H.; Song, Y.; Yang, H.; Liu, Z. Generalized Koopman Neural Operator for Data-driven Modelling of Electric Railway Pantograph-catenary Systems. IEEE Trans. Transp. Electrif. 2025, 11, 14100–14112. [Google Scholar] [CrossRef]
- Wang, X.; Guo, F.; Li, F.; Liu, Z.; Kou, J. Influence of Surface Roughness of Sliding Friction Pairs on Pantograph-Catenary Contact Resistance. IEEE Trans. Transp. Electrif. 2024, 10, 10208–10218. [Google Scholar] [CrossRef]
- Hu, Z.; Chen, L.; Song, Y.; Liu, Z.; Pombo, J. A deep learning-based surrogate model for dynamic interaction assessment of high-speed overhead conductor rail system. Eng. Struct. 2025, 343, 121221. [Google Scholar] [CrossRef]
- Lukas, H.; Harald, H.; Thomas, T.; Zagar, B. Magnetic Railway Sleeper Detector. Electronics 2024, 13, 4005. [Google Scholar] [CrossRef]
- Song, Z.; Wang, F.; Hu, X.; Cheng, D.; Li, Q. Influences of wheel polygon amplitude on wheel-rail vibration and sound radiation. J. Low Freq. Noise Vib. Act. Control. 2023, 42, 477–495. [Google Scholar] [CrossRef]
- Lu, B.; Song, Y.; Liu, Z.; Tao, G.; Wang, X.; Zhang, Q.; Li, Z. Evolution analysis of wheel polygon wear considering the effect of interharmonics in electrical traction drive system. Mech. Mach. Theory 2024, 191, 105470. [Google Scholar] [CrossRef]
- Lu, B.; Song, Y.; Liu, Z.; Wang, X.; Zhang, Q.; Lu, Y. Evolution Analysis of Three-Dimensional Wheel Polygonal Wear for Electric Locomotives Considering the Effect of Interharmonics. IEEE Trans. Veh. Technol. 2025, 74, 2443–2457. [Google Scholar] [CrossRef]
- Nong, H.; Lin, J. Continuous measurement method for wheel/rail vertical force based on strain of rail. Instrum. Tech. Sens. 2012, 12, 95–98, 102. [Google Scholar]
- Chen, L.; Choy, Y.; Wang, T.; Chiang, Y. Fault detection of wheel in wheel/rail system using kurtosis beamforming method. Struct. Health Monit. 2020, 19, 495–509. [Google Scholar] [CrossRef]
- Lee, M.; Chiu, W. Determination of Railway Vertical Wheel Impact Magnitudes: Field Trials. Struct. Health Monit. 2007, 6, 49–65. [Google Scholar] [CrossRef]
- Salzburger, H.; Schunppmann, M.; Wang, L.; Gao, X. In-motion ultrasonic testing of the tread of high-speed railway wheels using the inspection system. Insight-Non-Destr. Test. Cond. Monit. 2009, 51, 1–8. [Google Scholar] [CrossRef]
- Tian, L.; Fang, Z.; Zhao, Y. Locating methods of peeling and flat spots in detection of wheel tread damages of railway wagons. J. China Railw. Soc. 2009, 31, 31–36. [Google Scholar]
- Jiang, H.; Shang, C.; Gao, R. Wheel/rail fault noise diagnosis method based on EMD and neural network. J. Vib. Shock. 2014, 33, 34–38. [Google Scholar]
- Dong, W. Fault Detection of Urban Rail Track Flat Scar Based on Rail Side Vibration Signal. Master’s Thesis, Nanjing University of Science and Technology, Nanjing, China, 2018. [Google Scholar]
- Wu, K.; Zhang, J.; Huang, Z. Research on Measurement of Wheel Set Tread Wear by Non-contact Optoelectronic Detecting Method. J. Optoelectron. Laser 2005, 16, 332–335. [Google Scholar]
- Sun, Q.; Chen, C.; Andrew, H.K. An on-board detection framework for polygon wear of railway wheel based on vibration acceleration of axle-box. Mech. Syst. Signal Process. 2021, 153, 107540. [Google Scholar] [CrossRef]
- Xie, Q.; Tao, G.; Lo, S.M.; Cai, W.; Wen, Z. High-speed railway wheel polygon detection framework using improved frequency domain integration. Veh. Syst. Dyn. 2024, 62, 1424–1445. [Google Scholar] [CrossRef]
- Xu, W.; Cui, L.; Cai, W.; Wu, X.; Tao, G.; Chi, M.; Liang, S. Enhanced onboard quantitative diagnosis of wheel polygonal wear using Cepstral-Bayesian calibrated FRF. Measurement 2024, 234, 114904. [Google Scholar] [CrossRef]
- Wei, C.; Xin, Q.; Chung, W.; Liu, S.; Tam, H.; Ho, S.L. Real-Time Train Wheel Condition Monitoring by Fiber Bragg Grating Sensors. Int. J. Distrib. Sens. Netw. 2011, 8, 1–7. [Google Scholar] [CrossRef]
- Song, Y.; Sun, B. Recognition of Wheel Polygon Based on W/R Force Measurement by Piezoelectric Sensors in GSM-R Network. Wirel. Pers. Commun. 2018, 102, 1283–1291. [Google Scholar] [CrossRef]
- Weng, Y.; Li, Z.; Chen, X.; He, J.; Peng, C.; Xiang, H. A Railway Track Extraction Method Based on Improved DeepLabV3+. Electronics 2023, 12, 3500. [Google Scholar] [CrossRef]
- Pan, H.; Li, Y.; Wang, H.; Tian, X. Railway Obstacle Intrusion Detection Based on Convolution Neural Network Multitask Learning. Electronics 2022, 11, 2697. [Google Scholar] [CrossRef]
- Meng, C.; Wang, Z.; Shi, L.; Gao, Y. SDRC-YOLO: A Novel Foreign Object Intrusion Detection Algorithm in Railway Scenarios. Electronics 2023, 12, 1256. [Google Scholar] [CrossRef]
- Wang, X.; Liu, J.; Fan, F. Abnormal Wear Monitoring Method of Freight Car Wheel Tread Based on Machine Vision. Autom. Technol. Appl. 2021, 40, 128–132. [Google Scholar]
- Jiang, J.; Tao, G.; Liang, H.; Zhang, K.; Xie, Q.; Lu, C.; Wen, Z.; Xiao, Q. A structure information-assisted generalization network for fault diagnosis of out-of-round wheels of metro trains. Measurement 2025, 244, 116519. [Google Scholar] [CrossRef]
- Magalhães, J.; Jorge, T.; Silva, R.; Mosleh, A.; Vale, C.; Montenegro, P.; Cury, A. A strategy for out-of-roundness damage wheels identification in railway vehicles based on sparse autoencoders. Railw. Eng. Sci. 2024, 32, 421–443. [Google Scholar] [CrossRef]
- Ye, Y.; Zhu, B.; Huang, P.; Peng, B. OORNet: A deep learning model for on-board condition monitoring and fault diagnosis of out-of-round wheels of high-speed trains. Measurement 2022, 199, 111268. [Google Scholar] [CrossRef]
- Gan, W.; Bai, Z.; Xie, Q.; Wne, B.; Qian, X.; Hu, Z. Study on the Vibration Behaviour of Locomotives Under Wheel Polygon Excitation and Its Quantitative Detection Method. IEEE Access 2024, 12, 91873–91885. [Google Scholar] [CrossRef]
- Deng, L.; Xie, Q.; Tao, G.; Wen, Z. Identification Method of Wheel Out-of-roundness State of High-speed Train Based on Axle Box Vibration and Dynamic Model. J. Mech. Eng. 2023, 59, 110–121. [Google Scholar]
- Hu, Z.; Song, Y.; Chen, L.; Duan, F.; Liu, Z.; Feng, X. Experimental and numerical exploration of support stiffness influence on the current collection quality of pantograph and overhead conductor rail system. IEEE Trans. Transp. Electrif. 2023, 10, 7112–7126. [Google Scholar] [CrossRef]
- Lu, B.; Duan, F.; Song, Y.; Wang, X.; Liu, Z.; Zhang, Q.; Lu, Y. Impact of Wheel Polygonal Wear on the Operational Performance of Electric Traction Drive Systems in Locomotives. IEEE Trans. Transp. Electrif. 2025, 11, 4359–4370. [Google Scholar] [CrossRef]
- Lu, B.; Liu, Z.; Wang, X.; Song, Y.; Wu, S.; Tao, G. Influence of Electric Traction Drive System Harmonics and Interharmonics on the Vibration of Key Locomotive Components. IEEE Trans. Veh. Technol. 2023, 72, 12830–12844. [Google Scholar] [CrossRef]
- Zhang, Q.; Zhang, Y.; Huang, K.; Adamu, I.; Lu, B.; Meng, X.; Liu, Z.; Sun, W. Modeling of Regenerative Braking Energy for Electric Multiple Units Passing Long Downhill Section. IEEE Trans. Transp. Electrif. 2022, 8, 3742–3758. [Google Scholar] [CrossRef]
- Zhai, W. Vehicle-Track Coupled Dynamics; Springer: Singapore, 2020. [Google Scholar]
- Ma, C.; Gao, L.; Xu, Y.; Cai, X.; Hou, B.; Wang, L. Initiation mechanism analysis of wheel polygonal wear on high-speed railway based on refined vibration model for ballastless track system. J. Sound Vib. 2023, 559, 117782. [Google Scholar] [CrossRef]
- Wang, Z.; Mei, G.; Xiong, Q.; Yin, Z.; Zhang, W. Motor car–track spatial coupled dynamics model of a high-speed train with traction transmission systems. Mech. Mach. Theory 2019, 137, 386–403. [Google Scholar] [CrossRef]




















| Parameters | Symbol | Value |
|---|---|---|
| DC-link support capacitor | Cd | 9.01 mF |
| Stator resistance | Rs | 0.15 Ω |
| Stator inductance | Ls | 0.16 H |
| Rotor resistance | Rr | 0.02682 Ω |
| Rotor inductance | Lr | 0.0314 H |
| Stator–rotor mutual inductance | Lm | 0.027 H |
| Parameters | Driving Gear | Driven Gear |
|---|---|---|
| Normal module | 7 mm | 7 mm |
| Number of Teeth | 69 | 29 |
| Normal Pressure angle | 26 deg | 25 deg |
| Helix angle | −20 deg | 20 deg |
| Modulus of Elasticity | 210 GPa | 210 GPa |
| Addendum | 1 | 1 |
| Dedendum | 1.25 | 1.25 |
| Damping Coefficient | 5000 N·s/m | 5000 N·s/m |
| Moment of Inertia | 6.76 kg·m2 | 0.2 kg·m2 |
Disclaimer/Publisher’s Note: The statements, opinions and data contained in all publications are solely those of the individual author(s) and contributor(s) and not of MDPI and/or the editor(s). MDPI and/or the editor(s) disclaim responsibility for any injury to people or property resulting from any ideas, methods, instructions or products referred to in the content. |
© 2025 by the authors. Licensee MDPI, Basel, Switzerland. This article is an open access article distributed under the terms and conditions of the Creative Commons Attribution (CC BY) license.
Share and Cite
Zhang, G.; Zhang, B.; Song, Y.; Lu, B. A Novel Detection Method for Wheel Irregular Wear Using Stator Current Based on an Electromechanical Coupling Model. Electronics 2026, 15, 138. https://doi.org/10.3390/electronics15010138
Zhang G, Zhang B, Song Y, Lu B. A Novel Detection Method for Wheel Irregular Wear Using Stator Current Based on an Electromechanical Coupling Model. Electronics. 2026; 15(1):138. https://doi.org/10.3390/electronics15010138
Chicago/Turabian StyleZhang, Guinan, Bo Zhang, Yongfeng Song, and Bing Lu. 2026. "A Novel Detection Method for Wheel Irregular Wear Using Stator Current Based on an Electromechanical Coupling Model" Electronics 15, no. 1: 138. https://doi.org/10.3390/electronics15010138
APA StyleZhang, G., Zhang, B., Song, Y., & Lu, B. (2026). A Novel Detection Method for Wheel Irregular Wear Using Stator Current Based on an Electromechanical Coupling Model. Electronics, 15(1), 138. https://doi.org/10.3390/electronics15010138
