Sign in to use this feature.

Years

Between: -

Subjects

remove_circle_outline
remove_circle_outline
remove_circle_outline
remove_circle_outline
remove_circle_outline
remove_circle_outline
remove_circle_outline
remove_circle_outline
remove_circle_outline

Journals

remove_circle_outline
remove_circle_outline
remove_circle_outline
remove_circle_outline
remove_circle_outline
remove_circle_outline
remove_circle_outline
remove_circle_outline
remove_circle_outline
remove_circle_outline
remove_circle_outline
remove_circle_outline
remove_circle_outline
remove_circle_outline

Article Types

Countries / Regions

remove_circle_outline
remove_circle_outline
remove_circle_outline
remove_circle_outline
remove_circle_outline
remove_circle_outline
remove_circle_outline
remove_circle_outline

Search Results (5,033)

Search Parameters:
Keywords = crop nutrients

Order results
Result details
Results per page
Select all
Export citation of selected articles as:
22 pages, 1250 KB  
Review
Nature-Based Solutions for Resilience: A Global Review of Ecosystem Services from Urban Forests and Cover Crops
by Anastasia Ivanova, Reena Randhir and Timothy O. Randhir
Diversity 2026, 18(1), 47; https://doi.org/10.3390/d18010047 - 15 Jan 2026
Abstract
Climate change and land-use intensification are speeding up the loss of ecosystem services that support human health, food security, and environmental stability. Vegetative interventions—such as urban forests in cities and cover crops in farming systems—are increasingly seen as nature-based solutions for climate adaptation. [...] Read more.
Climate change and land-use intensification are speeding up the loss of ecosystem services that support human health, food security, and environmental stability. Vegetative interventions—such as urban forests in cities and cover crops in farming systems—are increasingly seen as nature-based solutions for climate adaptation. However, their benefits are often viewed separately. This review combines 20 years of research to explore how these strategies, together, improve provisioning, regulating, supporting, and cultural ecosystem services across various landscapes. Urban forests help reduce urban heat islands, improve air quality, manage stormwater, and offer cultural and health benefits. Cover crops increase soil fertility, regulate water, support nutrient cycling, and enhance crop yields, with potential for carbon sequestration and biofuel production. We identify opportunities and challenges, highlight barriers to adopting these strategies, and suggest integrated frameworks—including spatial decision-support tools, incentive programs, and education—to encourage broader use. By connecting urban and rural systems, this review underscores vegetation as a versatile tool for resilience, essential for reaching global sustainability goals. Full article
(This article belongs to the Special Issue 2026 Feature Papers by Diversity's Editorial Board Members)
17 pages, 360 KB  
Article
Analysis of Emergy–Economy Coupling in Maize Farmland Ecosystems Under Nitrogen and Phosphorus Reduction and Optimization of Fertilization Schemes
by Kai Lu and Weiguo Fu
Sustainability 2026, 18(2), 901; https://doi.org/10.3390/su18020901 - 15 Jan 2026
Abstract
This study optimizes fertilization schemes through the emergy analysis of different nutrient reduction treatments in maize cropping ecosystems in Xinjiang, thereby providing technical support for improving chemical fertilizer use efficiency and maintaining the stability of farmland ecosystems. The study was conducted in 2024 [...] Read more.
This study optimizes fertilization schemes through the emergy analysis of different nutrient reduction treatments in maize cropping ecosystems in Xinjiang, thereby providing technical support for improving chemical fertilizer use efficiency and maintaining the stability of farmland ecosystems. The study was conducted in 2024 at Huaxing Farm in Changji Hui Autonomous Prefecture, Xinjiang Uyghur Autonomous Region. The experiment used the local conventional nitrogen and phosphorus fertilization rates as the control treatment N0P0 (applying P 183 kg·hm−2 and N 246 kg·hm−2), with eight different N and P nutrient reduction treatments: N0P1 (10% reduction in P only), N0P2 (20% reduction in P only), N1P0 (10% reduction in N only), N2P0 (20% N reduction), N1P1 (10% N and P reduction), N1P2 (10% N and 20% P reduction), N2P1 (20% N and 10% P reduction), and N2P2 (20% N and P reduction). Each treatment was replicated three times. Based on biomass data of maize plant components under different fertilization treatments, emergy analysis of farmland ecosystems and integration of economic benefit indicators led to the optimization of an optimal fertilization scheme. Results indicate that the N0P1 treatment performed optimally: maize plant biomass reached 251.09 g, significantly higher than other treatments. The N0P1 treatment exhibited the highest energy output (3.23 × 1016 sej·hm−2), the highest net energy yield ratio (EYR) of 1.45, and an energy sustainability index (ESI) of 3.34, representing a high level. It also delivered the highest economic benefit, with a net profit of 8571.95 CNY·hm−2 and a production–investment ratio of 1.71. In conclusion, the N0P1 treatment (10% reduction in phosphorus alone) demonstrated superior performance in biomass yield, energy utilization efficiency, ecological sustainability, and economic benefits, making it the optimal fertilization strategy for maize fields in this region. Full article
(This article belongs to the Section Social Ecology and Sustainability)
Show Figures

Figure 1

17 pages, 3431 KB  
Review
Conservation and Sustainable Development of Rice Landraces for Enhancing Resilience to Climate Change, with a Case Study of ‘Pantiange Heigu’ in China
by Shuyan Kou, Zhulamu Ci, Weihua Liu, Zhigang Wu, Huipin Peng, Pingrong Yuan, Cheng Jiang, Huahui Li, Elsayed Mansour and Ping Huang
Life 2026, 16(1), 143; https://doi.org/10.3390/life16010143 - 15 Jan 2026
Abstract
Climate change poses a threat to global rice production by increasing the frequency and intensity of extreme weather events. The widespread cultivation of genetically uniform modern varieties has narrowed the genetic base of rice, increasing its vulnerability to these increased pressures. Rice landraces [...] Read more.
Climate change poses a threat to global rice production by increasing the frequency and intensity of extreme weather events. The widespread cultivation of genetically uniform modern varieties has narrowed the genetic base of rice, increasing its vulnerability to these increased pressures. Rice landraces are traditional rice varieties that have been cultivated by farming communities for centuries and are considered crucial resources of genetic diversity. These landraces are adapted to a wide range of agro-ecological environments and exhibit valuable traits that provide tolerance to various biotic stresses, including drought, salinity, nutrient-deficient soils, and the increasing severity of climate-related temperature extremes. In addition, many landraces possess diverse alleles associated with resistance to biotic stresses, including pests and diseases. In addition, rice landraces exhibit great grain quality characters including high levels of essential amino acids, antioxidants, flavonoids, vitamins, and micronutrients. Hence, their preservation is vital for maintaining agricultural biodiversity and enhancing nutritional security, especially in vulnerable and resource-limited regions. However, rice landraces are increasingly threatened by genetic erosion due to widespread adoption of modern high-yielding varieties, habitat loss, and changing farming practices. This review discusses the roles of rice landraces in developing resilient and climate-smart rice cultivars. Moreover, the Pantiange Heigu landrace, cultivated at one of the highest altitudes globally in Yunnan Province, China, has been used as a case study for integrated conservation by demonstrating the successful combination of in situ and ex situ strategies, community engagement, policy support, and value-added development to sustainably preserve genetic diversity under challenging environmental and socio-economic challenges. Finally, this study explores the importance of employing advanced genomic technologies with supportive policies and economic encouragements to enhance conservation and sustainable development of rice landraces as a strategic imperative for global food security. By preserving and enhancing the utilization of rice landraces, the agricultural community can strengthen the genetic base of rice, improve crop resilience, and contribute substantially to global food security and sustainable agricultural development in the face of environmental and socio-economic challenges. Full article
(This article belongs to the Section Plant Science)
Show Figures

Figure 1

32 pages, 5410 KB  
Review
Ambrosia artemisiifolia in Hungary: A Review of Challenges, Impacts, and Precision Agriculture Approaches for Sustainable Site-Specific Weed Management Using UAV Technologies
by Sherwan Yassin Hammad, Gergő Péter Kovács and Gábor Milics
AgriEngineering 2026, 8(1), 30; https://doi.org/10.3390/agriengineering8010030 - 15 Jan 2026
Abstract
Weed management has become a critical agricultural practice, as weeds compete with crops for nutrients, host pests and diseases, and cause major economic losses. The invasive weed Ambrosia artemisiifolia (common ragweed) is particularly problematic in Hungary, endangering crop productivity and public health through [...] Read more.
Weed management has become a critical agricultural practice, as weeds compete with crops for nutrients, host pests and diseases, and cause major economic losses. The invasive weed Ambrosia artemisiifolia (common ragweed) is particularly problematic in Hungary, endangering crop productivity and public health through its fast proliferation and allergenic pollen. This review examines the current challenges and impacts of A. artemisiifolia while exploring sustainable approaches to its management through precision agriculture. Recent advancements in unmanned aerial vehicles (UAVs) equipped with advanced imaging systems, remote sensing, and artificial intelligence, particularly deep learning models such as convolutional neural networks (CNNs) and Support Vector Machines (SVMs), enable accurate detection, mapping, and classification of weed infestations. These technologies facilitate site-specific weed management (SSWM) by optimizing herbicide application, reducing chemical inputs, and minimizing environmental impacts. The results of recent studies demonstrate the high potential of UAV-based monitoring for real-time, data-driven weed management. The review concludes that integrating UAV and AI technologies into weed management offers a sustainable, cost-effective, mitigate the socioeconomic impacts and environmentally responsible solution, emphasizing the need for collaboration between agricultural researchers and technology developers to enhance precision agriculture practices in Hungary. Full article
Show Figures

Figure 1

33 pages, 6779 KB  
Article
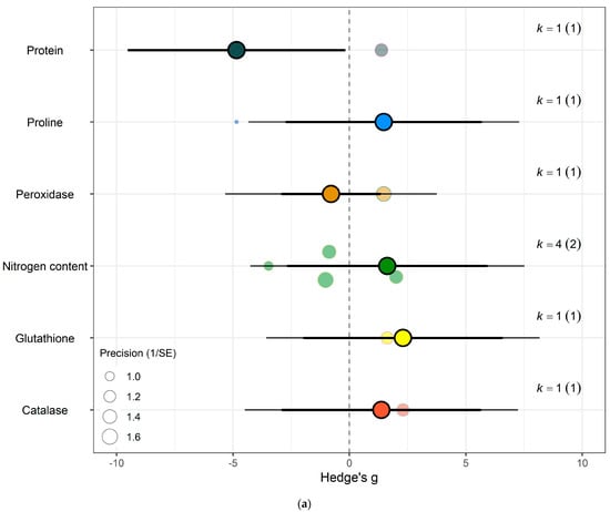
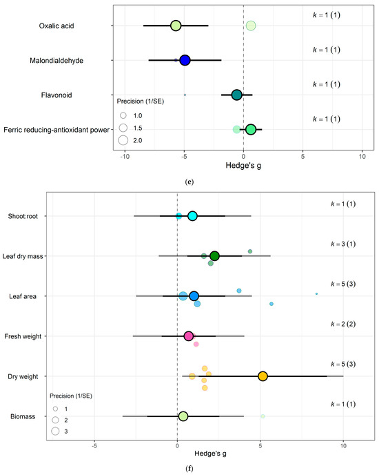
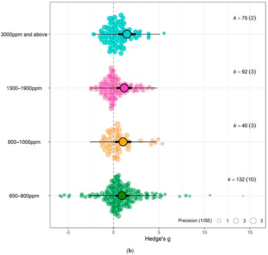
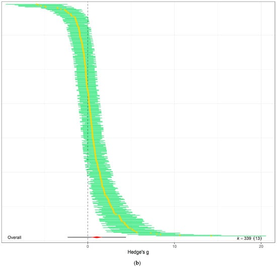
Effects of Elevated CO2 on Yield and Nutritional Quality of Kale and Spinach: A Meta-Analysis
by Jiata U. Ekele, Joseph O. Obaje, Susanne R. K. Zajitschek, Richard J. Webster, Fatima Perez de Heredia, Katie E. Lane, Abdulmannan Fadel and Rachael C. Symonds
Biology 2026, 15(2), 152; https://doi.org/10.3390/biology15020152 - 15 Jan 2026
Abstract
Elevated atmospheric CO2 is known to alter plant physiology, yet its specific effects on nutrient-rich leafy vegetables remain insufficiently quantified. This study aimed to examine how eCO2 influences yield and nutritional quality in kale (Brassica oleracea) and spinach ( [...] Read more.
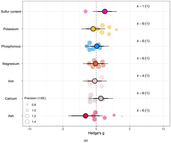
Elevated atmospheric CO2 is known to alter plant physiology, yet its specific effects on nutrient-rich leafy vegetables remain insufficiently quantified. This study aimed to examine how eCO2 influences yield and nutritional quality in kale (Brassica oleracea) and spinach (Spinacia oleracea) through the first meta-analysis focused exclusively on these crops. Following the Collaboration for Environmental Evidence (CEE) guidelines, we systematically reviewed eligible studies and conducted a random-effects meta-analysis to evaluate overall and subgroup responses based on CO2 concentration, crop type and exposure duration. Effect sizes were calculated using Hedges’ g with 95% confidence intervals. The analysis showed that eCO2 significantly increased biomass in spinach (g = 1.21) and kale (g = 0.97). However, protein content declined in both crops (spinach: g = −0.76; kale: g = −0.61), and mineral concentrations, particularly calcium and magnesium, were reduced, with spinach exhibiting stronger nutrient losses overall. The variability in response across different CO2 concentrations and exposure times further underscores the complexity of eCO2 effects. These results highlight a trade-off between productivity and nutritional quality under future CO2 conditions. Addressing this challenge will require strategies such as targeted breeding programmes, biofortification, precision agriculture and improved sustainable agricultural practices to maintain nutrient density. This research provides critical evidence for policymakers and scientists to design sustainable food systems that safeguard public health in a changing climate. Full article
Show Figures

Figure 1

17 pages, 3151 KB  
Article
Exploring the Effects of Diluted Plasma-Activated Water (PAW) on Various Sprout Crops and Its Role in Autophagy Regulation
by Injung Song, Suji Hong, Yoon Ju Na, Seo Yeon Jang, Ji Yeong Jung, Young Koung Lee and Sung Un Huh
Agronomy 2026, 16(2), 207; https://doi.org/10.3390/agronomy16020207 - 15 Jan 2026
Abstract
Plasma-activated water (PAW) has gained attention across agricultural, medical, cosmetic, and sterilization fields due to its production of reactive oxygen and nitrogen species (ROS and RNS). Although PAW has been primarily explored for seed germination and sterilization in agriculture, its role as a [...] Read more.
Plasma-activated water (PAW) has gained attention across agricultural, medical, cosmetic, and sterilization fields due to its production of reactive oxygen and nitrogen species (ROS and RNS). Although PAW has been primarily explored for seed germination and sterilization in agriculture, its role as a nutrient source and physiological regulator remains less understood. In this study, PAW generated by a surface dielectric barrier discharge (SDBD) system contained approximately 1000 ppm nitrate (NO3) and was designated as PAW1000. Diluted PAW solutions were applied to sprout crops—wheat (Triticum aestivum), barley (Hordeum vulgare), radish (Raphanus sativus), and broccoli (Brassica oleracea var. italica)—grown under hydroponic and soil-based conditions. PAW100 and PAW200 treatments enhanced growth, increasing fresh biomass by up to 26%, shoot length by 22%, and root length by 18%, depending on the species. In silico analysis identified nitrogen-responsive transcripts among several autophagy-related genes. Consistent with this, fluorescence microscopy of Arabidopsis thaliana GFP-StATG8 lines revealed increased autophagosome formation following PAW treatment. The growth-promoting effect of PAW was diminished in atg4 mutants, indicating that autophagy contributes to plant responses to PAW-derived ROS and RNS. Together, these findings demonstrate that diluted PAW generated by SDBD enhances biomass accumulation in sprout crops, and that autophagy plays a regulatory role in mediating PAW-induced physiological responses. Full article
(This article belongs to the Topic Applications of Biotechnology in Food and Agriculture)
Show Figures

Figure 1

29 pages, 2836 KB  
Review
Harnessing Endophytic Fungi for Sustainable Agriculture: Interactions with Soil Microbiome and Soil Health in Arable Ecosystems
by Afrin Sadia, Arifur Rahman Munshi and Ryota Kataoka
Sustainability 2026, 18(2), 872; https://doi.org/10.3390/su18020872 - 15 Jan 2026
Abstract
Sustainable food production for a growing population requires farming practices that reduce chemical inputs while maintaining soil as a living, renewable foundation for productivity. This review synthesizes current advances in understanding how endophytic fungi (EFs) interact with the soil microbiome and contribute to [...] Read more.
Sustainable food production for a growing population requires farming practices that reduce chemical inputs while maintaining soil as a living, renewable foundation for productivity. This review synthesizes current advances in understanding how endophytic fungi (EFs) interact with the soil microbiome and contribute to the physicochemical and biological dimensions of soil health in arable ecosystems. We examine evidence showing that EFs enhance plant nutrition through phosphate solubilization, siderophore-mediated micronutrient acquisition, and improved nitrogen use efficiency while also modulating plant hormones and stress-responsive pathways. EFs further increase crop resilience to drought, salinity, and heat; suppress pathogens; and influence key soil properties including aggregation, organic matter turnover, and microbial network stability. Recent integration of multi-omics, metabolomics, and community-level analyses has shifted the field from descriptive surveys toward mechanistic insight, revealing how EFs regulate nutrient cycling and remodel rhizosphere communities toward disease-suppressive and nutrient-efficient states. A central contribution of this review is the linkage of EF-mediated plant functions with soil microbiome dynamics and soil structural processes framed within a translational pipeline encompassing strain selection, formulation, delivery, and field scale monitoring. We also highlight current challenges, including context-dependent performance, competition with native microbiota, and formulation and deployment constraints that limit consistent outcomes under field conditions. By bridging microbial ecology with agronomy, this review positions EFs as biocontrol agents, biofertilizers, and ecosystem engineers with strong potential for resilient, low-input, and climate-adaptive cropping systems. Full article
Show Figures

Figure 1

18 pages, 283 KB  
Article
Effects of Thermal Pre-Treatments and Drying Processes on the Retention of Phytonutrients, Vitamins, and Antioxidant Activity in Dried Okra (Abelmoschus esculentus L.)
by Megan L. Reid-Fitten, Corrie P. Cotton, Byungrok R. Min, Caleb I. Nindo and Zachary F. Williams
Foods 2026, 15(2), 311; https://doi.org/10.3390/foods15020311 - 15 Jan 2026
Abstract
Opportunities to capture anticipated niche markets for diverse populations continue to rise. Okra (Abelmoschus esculentus L.), considered a high-value crop, is rich in nutritional and medicinal properties; however, fresh okra is highly perishable. This study examined the effects of thermal pre-treatments and [...] Read more.
Opportunities to capture anticipated niche markets for diverse populations continue to rise. Okra (Abelmoschus esculentus L.), considered a high-value crop, is rich in nutritional and medicinal properties; however, fresh okra is highly perishable. This study examined the effects of thermal pre-treatments and drying processes in combination on the nutritional quality of dried okra. The experiment consisted of two thermal treatments (steam-blanched and hot water-blanched, and the control) and three drying treatments (freeze-dried, hot air-dried, and infrared-dried). Okra was grown in black plastic mulch, harvested twice per week, and processed three times throughout the growing season. The study analyzed moisture content, water activity, phytonutrients, ascorbic acid, β-carotene, and antioxidant activities. No significant differences were observed in moisture content and water activity among the treatments. Significant differences were observed among treatments and harvest time for total phenolic and flavonoid contents and antioxidant activity. Notable differences in β-carotene content were observed across all treatments. Based on the findings, the steam-blanched freeze-dried treatment was the most effective preservation technique for maintaining the nutritional and functional quality of dried okra. Hot water-blanching, hot air-drying, and infrared-drying were the least effective for the development of a high-value, nutrient-dense dried okra value-added product. Full article
(This article belongs to the Section Food Engineering and Technology)
21 pages, 2728 KB  
Article
Two Engineered Bacillus subtilis Surfactin High-Producers: Effects of Culture Medium, and Potential Agricultural and Petrochemical Applications
by Graciely Gomes Corrêa, Elvio Henrique Benatto Perino, Cristiano José de Andrade, Maliheh Vahidinasab, Lucas Degang, Behnoush Hosseini, Lars Lilge, Vitória Fernanda Bertolazzi Zocca, Jens Pfannstiel, Danielle Biscaro Pedrolli, Rudolf Hausmann and Jonas Contiero
Biology 2026, 15(2), 146; https://doi.org/10.3390/biology15020146 - 14 Jan 2026
Abstract
Two genetically engineered Bacillus subtilis strains, BMV9 and BsB6, were evaluated in terms of culture medium (effect of nutrients on surfactin yield) and potential biotechnological applications of surfactin in agriculture and the petrochemical industry. BMV9 (spo0A3; abrB*; ΔmanPA; [...] Read more.
Two genetically engineered Bacillus subtilis strains, BMV9 and BsB6, were evaluated in terms of culture medium (effect of nutrients on surfactin yield) and potential biotechnological applications of surfactin in agriculture and the petrochemical industry. BMV9 (spo0A3; abrB*; ΔmanPA; sfp+) is, to date, the highest surfactin producer reported scientifically, and BsB6 is a sfp+ laboratory derivative strain that has also demonstrated considerable production potential. To assess their performance, fermentation experiments were conducted in shake flasks using two different culture media, a mineral salt medium and a complex medium, each supplemented with 2% (w/v) glucose. Lipopeptides (surfactin and fengycin) were extracted and quantified at multiple time points (up to 48 h) via high-performance thin-layer chromatography (HPTLC). Optical density, residual glucose, and pH were monitored throughout the cultivation. In parallel, microbial growth in both media were also validated in small-scale cultivation approaches. Antifungal activity of culture supernatants and lipopeptide extracts was tested against two Diaporthe species, key phytopathogens in soybean crops. Given the agricultural relevance of these pathogens, the biocontrol potential of lipopeptides represents a sustainable alternative to conventional chemical fungicides. Additionally, oil displacement tests were performed to evaluate the efficacy of surfactin in enhanced oil recovery (EOR), bioremediation, and related petrochemical processes. High-resolution LC-MS/MS analysis enabled structural characterization and relative quantification of the lipopeptides. Overall, these investigations provide a comprehensive comparison of strain production performance and the associated impact of cultivation media, aiming to define the optimal conditions for economically viable surfactin production and to explore its broader biotechnological applications in agriculture and the petrochemical industry. Full article
(This article belongs to the Section Microbiology)
Show Figures

Graphical abstract

14 pages, 499 KB  
Article
Chitosan Acts as a Sustainable Strategy for Integrated Management of Root-Knot Nematodes (Meloidogyne spp.) in Cherry Tomato
by Carolina González-Cardona, Juan Camilo Orrego-Cardona, Alejandro Ospina-Gutiérrez, Claudia Nohemy Montoya-Estrada, Jairo Eduardo Leguizamón-Caycedo, Mauricio Soto-Suárez, Alejandro Hurtado-Salazar and Nelson Ceballos-Aguirre
Plants 2026, 15(2), 256; https://doi.org/10.3390/plants15020256 - 14 Jan 2026
Abstract
Root-knot nematodes (Meloidogyne spp., RKN) penetrate the roots of plants, blocking the flow of water and nutrients, preventing plant development, and causing losses of up to 68% in production. Its management is limited by the low availability of genetically resistant materials, the [...] Read more.
Root-knot nematodes (Meloidogyne spp., RKN) penetrate the roots of plants, blocking the flow of water and nutrients, preventing plant development, and causing losses of up to 68% in production. Its management is limited by the low availability of genetically resistant materials, the inefficient use of biological controllers, and the high risk of environmental contamination from the application of pesticides. The aim of this study was to contribute to the integrated management of (RKN) through the use of chitosan. A completely randomized experimental design was used in a factorial arrangement with two applications (foliar or edaphic), two cherry tomato genotypes (IAC1687 and LA2076), and eight treatments (three concentrations of chitosan (1.5–2.0–2.5 mg/mL), commercial controls and absolute controls). The yield and nematode population components were evaluated. The cherry tomato (IAC1687) obtained the greatest yield, with 33.517.1 kg/ha and an 85% reduction in the nematode population with the application of 2.5 mg/mL of chitosan to the soil. Chitosan improved the yield components of the evaluated cultivars and reduced nematode populations, suggesting that it can be a sustainable alternative in commercial production systems, as it can help reduce the use of chemical pesticides and improve health and crop productivity. As a limitation of this study, the use of acetic acid as a solvent for chitosan potentially interfered with the results associated with the nematode population, increasing bias and imprecision as there was no blockage due to light, temperature, or irrigation. Therefore, we suggest that future research explores alternative solvents to elucidate the mechanism of action or response of chitosan. Full article
Show Figures

Figure 1

18 pages, 6393 KB  
Article
Deep Plowing Increases Subsoil Carbon Accrual Through Enhancing Macroaggregate Protection in a Mollisol with Two Different Tillage Regimes
by Jiuhui Chen, Zhicheng Bao, Yulong Yang, Jingkun Lu, Baoyu Chen, Xingmin Zhao, Hongbin Wang, Fangming Liu, Dongmei Wang, Chenyu Zhao, Li Wang, Hongjun Wang and Biao Sui
Agronomy 2026, 16(2), 198; https://doi.org/10.3390/agronomy16020198 - 14 Jan 2026
Abstract
Soil organic carbon (SOC) is a core component of farmland fertility, and its content is significantly influenced by tillage practices. To clarify the effects of alternate tillage on soil organic carbon sequestration and soil aggregate stability, a tillage experiment was initiated in 2017. [...] Read more.
Soil organic carbon (SOC) is a core component of farmland fertility, and its content is significantly influenced by tillage practices. To clarify the effects of alternate tillage on soil organic carbon sequestration and soil aggregate stability, a tillage experiment was initiated in 2017. The study focused on the distribution of soil aggregates across different particle sizes and their organic carbon contents under four tillage treatments: (1) rotary tillage for two consecutive years after initial deep plowing (RT_DP); (2) no-tillage for two consecutive years after initial deep plowing (NT_DP); (3) continuous rotary tillage (RT); and (4) continuous no-tillage (NT). Compared with continuous rotary tillage (RT), RT_DP increased the crop yield by 14.78%, NT decreased the yield by 10.59%, and NT_DP increased the yield by 3.40%. In the topsoil, soil organic carbon (SOC) content increased by 21.57% under RT_DP, 24.47% under NT, and 21.57% under NT_DP. In the subsoil, SOC content increased by 36.91% under RT_DP, 24.80% under NT, and 42.52% under NT_DP. Compared with the RT treatment, practices such as RT_DP increased the SOC content and the proportion of macroaggregates. No significant differences were observed among all treatments in the topsoil. However, in the subsoil, RT_DP significantly increased the SOC content (by 36.91%), SOC content within >0.25 mm aggregates (by 35.75%), and the proportion of >0.25 mm aggregates (by 1.28%), relative to RT. Compared with NT, NT_DP also increased these three indices by 14.2%, 13.38%, and 0.32%, respectively. In the topsoil, the NT_DP treatment resulted in higher mean weight diameter (MWD) stability than the other treatments. In the subsoil, the NT treatment showed the highest MWD and geometric mean diameter (GMD) values, while both RT_DP and NT_DP had significantly higher MWD and GMD than RT. In the deeper soil layer, the NT treatment exhibited the highest aggregate stability. Further analysis indicated that the positive effects of alternate tillage (NT_DP and RT_DP) on aggregate distribution, aggregate stability, and subsoil SOC sequestration were mainly due to improvements in the soil’s nutrient availability, bulk density, porosity, and water content. The optimization of these soil properties further enhanced soil enzyme activity and ultimately promoted the stabilization and accumulation of SOC. In conclusion, incorporating deep plowing into rotational tillage can effectively promote SOC accumulation, especially in the subsoil of maize farmland, and enhance the physical protection of SOC. This study provides a practical tillage strategy for increasing the maize yield and enhancing soil organic carbon sequestration. Full article
(This article belongs to the Special Issue Plant Nutrition Eco-Physiology and Nutrient Management)
Show Figures

Figure 1

17 pages, 1712 KB  
Article
Effects of Exogenous Phosphorus and Hydrogen Peroxide on Wheat Root Architecture
by Lei Chen, Lei Zhou, Yuwei Zhang and Hong Wang
Plants 2026, 15(2), 253; https://doi.org/10.3390/plants15020253 - 13 Jan 2026
Abstract
Plant root growth and architectural modifications are well-documented responses to phosphorous (P) starvation. The spatiotemporal dynamics of hydrogen peroxide (H2O2) in mediating root development under P deficiency, especially in cereal crops like wheat, remain insufficiently understood. A nutrient solution [...] Read more.
Plant root growth and architectural modifications are well-documented responses to phosphorous (P) starvation. The spatiotemporal dynamics of hydrogen peroxide (H2O2) in mediating root development under P deficiency, especially in cereal crops like wheat, remain insufficiently understood. A nutrient solution experiment was conducted to grow two varieties of wheat, including SM15 and HG35, with the treatments of 0.005 and 0.25 mmol/L P supply. Exogenous H2O2 and its scavenger ascorbic acid (AsA), and a NADPH oxidase inhibitor diphenylene iodonium (DPI) were added. The distribution of reactive oxygen species (ROS) in roots were detected by chemical staining and fluorescent probe technology. Low P supply did not change the root dry weight and total root length, while it decreased the lateral root density. The increase in the primary root and lateral root growth in P-starved wheat coincided with more ROS in the cell wall of the elongation zone. ROS production and oxidative enzyme activity of P-starved roots increased significantly. Low H2O2 induced the formation of lateral roots and significantly increased lateral root density under low P conditions. High H2O2 significantly reduced lateral root density but stimulated the nodal root formation. Exogenous AsA or DPI addition reversed the promotion of root growth imposed under the low P treatment or H2O2 addition. Furthermore, exogenous H2O2 treatment reduced the inhibitory effect of the DPI treatment on nodal root formation. It is suggested that the involvement of ROS in the regulation of wheat root system architecture under low P supply. Full article
Show Figures

Figure 1

16 pages, 412 KB  
Review
Plant Status Nutrition and “Extremely Dense Planting” Technology
by Daxia Wu, Shiyong Chen, Xiaoxiao Lu, Fuwei Wang, Xianfu Yuan, Wenxia Pei and Jianfei Wang
Agronomy 2026, 16(2), 191; https://doi.org/10.3390/agronomy16020191 - 13 Jan 2026
Viewed by 47
Abstract
Advances in plant nutrition have driven substantial progress in modern fertilization technologies. Nevertheless, excessive chemical fertilizer application, low nutrient-use efficiency, and the resulting environmental pollution remain widespread. We have reviewed the research progress and existing limitations in the field of plant nutrition and [...] Read more.
Advances in plant nutrition have driven substantial progress in modern fertilization technologies. Nevertheless, excessive chemical fertilizer application, low nutrient-use efficiency, and the resulting environmental pollution remain widespread. We have reviewed the research progress and existing limitations in the field of plant nutrition and fertilization technology. Based on the traditional plant nutrition diagnosis and integrating visual diagnosis methods, this study explores the intrinsic relationship between plant growth status, nutrient supply conditions, and crop yield and proposed the concept of “status nutrition”. Variations in environmental nutrient conditions lead plants to exhibit distinct growth status in terms of vigor and phenotype. We define the plant nutritional status reflected by this growth status as “status nutrition”. Based on growth characteristics, plant growth status can be classified as weak, normal, or vigorous, corresponding to deficient, appropriate, and excessive environmental nutrient supply, respectively. Guided by this concept, an innovative rice “extremely dense planting” technology is integrated by increasing planting density, eliminating tiller-stage fertilization, and optimizing nitrogen management. The technology adapts to growth status with low nutrient demand, coordinates population growth and main-stem panicle formation, and achieves high yield with reduced fertilizer inputs. Further research is needed on the nutrient metabolism mechanisms of plants under different growth statuses and the growth status grading system. The promotion of “extremely dense planting” is constrained by crop variety traits and soil fertility, and its parameters urgently need to be optimized. Overall, the framework of “status nutrition” provides important theoretical support for the development and application of crop high-yield cultivation technologies. Full article
(This article belongs to the Special Issue Plant Nutrition Eco-Physiology and Nutrient Management)
Show Figures

Figure 1

20 pages, 3991 KB  
Review
Review on Mining Robust Lactic Acid Bacteria for Next-Generation Silage Inoculants via Multi-Omics
by Yanyan Liu, Mingxuan Zhao, Shanyao Zhong, Guoxin Wu, Fulin Yang and Jing Zhou
Life 2026, 16(1), 108; https://doi.org/10.3390/life16010108 - 12 Jan 2026
Viewed by 77
Abstract
Lactic acid bacteria (LAB), as the core microorganisms in silage fermentation, play a crucial role in improving silage quality and ensuring feed safety, making the screening, identification, and functional characterization of LAB strains a significant research focus. Researchers initially isolate and purify LAB [...] Read more.
Lactic acid bacteria (LAB), as the core microorganisms in silage fermentation, play a crucial role in improving silage quality and ensuring feed safety, making the screening, identification, and functional characterization of LAB strains a significant research focus. Researchers initially isolate and purify LAB from various samples, followed by identification through a combination of morphological, physiological, biochemical, and molecular biological methods. Systematic screening has been conducted to identify LAB strains tolerant to extreme environments (e.g., low temperature, high temperature, high salinity) and those possessing functional traits such as antimicrobial activity, antioxidant capacity, production of feruloyl esterase and bacteriocins, as well as cellulose degradation, yielding a series of notable findings. Furthermore, modern technologies, including microbiomics, metabolomics, metagenomics, and transcriptomics, have been employed to analyze the structure and functional potential of microbial communities, as well as metabolic dynamics during the ensiling process. The addition of superior LAB inoculants not only facilitates rapid acidification to reduce nutrient loss, inhibit harmful microorganisms, and improve fermentation quality and palatability but also demonstrates potential functions such as degrading mycotoxins, adsorbing heavy metals, and reducing methane emissions. However, its application efficacy is directly constrained by factors such as strain-crop specific interactions, high dependence on raw material conditions, limited functionality of bacterial strains, and relatively high application costs. In summary, the integration of multi-omics technologies with traditional methods, along with in-depth exploration of novel resources like phyllosphere endophytic LAB, will provide new directions for developing efficient and targeted LAB inoculants for silage. Full article
(This article belongs to the Section Microbiology)
Show Figures

Figure 1

18 pages, 1972 KB  
Article
Experimental Insights on Carbon Sequestration and Yield Improvement in Oat Fields with 30% Organic Nitrogen Substitution in the Tibetan Plateau
by Lianxue Duan, Zeliang Ju, Xiang Ma, Jing Pan, Wenting Ma and Zhifeng Jia
Agronomy 2026, 16(2), 184; https://doi.org/10.3390/agronomy16020184 - 12 Jan 2026
Viewed by 175
Abstract
To evaluate the optimal substitution ratio of organic fertilizer for chemical nitrogen fertilizer and its underlying mechanisms, a pot experiment was conducted in the rhizosphere soil of oat (Avena sativa) on the Qinghai–Tibet Plateau. Five treatments were established: CK (control), T1 [...] Read more.
To evaluate the optimal substitution ratio of organic fertilizer for chemical nitrogen fertilizer and its underlying mechanisms, a pot experiment was conducted in the rhizosphere soil of oat (Avena sativa) on the Qinghai–Tibet Plateau. Five treatments were established: CK (control), T1 (chemical fertilizer alone), T2 (100% organic fertilizer substitution for chemical nitrogen fertilizer), T3 (30% organic fertilizer substitution for chemical nitrogen fertilizer), and T4 (60% organic fertilizer substitution for chemical nitrogen fertilizer). We analyzed soil carbon fractions, microbial community structure, carbon-cycling enzyme activities, and yield responses and applied partial least squares–structural equation modeling (PLS-SEM) to identify key regulatory pathways. The results showed that 30% organic substitution (T3) was associated with optimized soil carbon pools, improved microbial community composition, and enhanced carbon-cycling enzyme activities, while reducing the abundance of potentially harmful fungi. Structural equation modeling indicated that β-glucosidase activity and the relative abundance of Proteobacteria were the primary drivers of yield, together explaining 76% of its variation. The ecosystem multifunctionality index (EMF) was significantly and positively correlated with yield. In summary, under the conditions of this experiment, 30% organic fertilizer substitution achieved a favorable balance between soil ecological functions and crop yield, providing a valuable reference for sustainable nutrient management in oat production in high-altitude cold regions. Full article
(This article belongs to the Special Issue Soil Health and Properties in a Changing Environment—2nd Edition)
Show Figures

Figure 1

Back to TopTop