Sign in to use this feature.

Years

Between: -

Subjects

remove_circle_outline
remove_circle_outline
remove_circle_outline
remove_circle_outline
remove_circle_outline
remove_circle_outline
remove_circle_outline
remove_circle_outline
remove_circle_outline

Journals

remove_circle_outline
remove_circle_outline
remove_circle_outline
remove_circle_outline
remove_circle_outline
remove_circle_outline
remove_circle_outline

Article Types

Countries / Regions

remove_circle_outline
remove_circle_outline
remove_circle_outline
remove_circle_outline

Search Results (600)

Search Parameters:
Keywords = continuous bending

Order results
Result details
Results per page
Select all
Export citation of selected articles as:
13 pages, 1690 KB  
Article
Effect of Printing Orientation and Post-Curing Time on the Mechanical Properties of 3D-Printed Denture Base Resin
by Ivet Dzhondrova, Ilia Liondev, Iva Taneva, Todor Bogdanov, Todor Uzunov and Dimitar Kirov
J. Funct. Biomater. 2026, 17(1), 1; https://doi.org/10.3390/jfb17010001 - 19 Dec 2025
Abstract
Additive manufacturing is increasingly integrated into dental technology, yet the mechanical performance of 3D-printed denture base resins remains strongly influenced by printing orientation and post-curing duration. This study evaluated the combined effect of three printing orientations (0°, 45°, 90°) and three post-curing times [...] Read more.
Additive manufacturing is increasingly integrated into dental technology, yet the mechanical performance of 3D-printed denture base resins remains strongly influenced by printing orientation and post-curing duration. This study evaluated the combined effect of three printing orientations (0°, 45°, 90°) and three post-curing times (30, 45, 60 min) on the flexural strength and surface microhardness of a denture base resin. Specimens designed in Blender and fabricated using NextDent Denture 3D+ resin were subjected to three-point bending tests (n = 5 per group) and Vickers microhardness measurements (n = 10 per group). One-way ANOVA assessed main and interaction effects. Printing orientation had a significant influence on flexural strength, with horizontally printed specimens exhibiting the highest values, whereas vertically printed specimens were consistently weaker. Post-curing time did not significantly affect flexural strength within any orientation. In contrast, microhardness increased progressively with longer post-curing durations, regardless of orientation, indicating continued surface polymerisation. Because flexural strength and hardness responded differently to curing duration, no single post-curing time was universally optimal; however, 0° printing consistently produced the strongest specimens for this resin–printer system. This trade-off is clinically relevant, because dentures require high flexural strength to resist fracture and sufficient hardness to minimise wear. Full article
(This article belongs to the Special Issue Digital Design and Biomechanical Analysis of Dental Materials)
Show Figures

Figure 1

19 pages, 3317 KB  
Article
Cementitious Composites Reinforced with Multidimensional Epoxy-Coated Sisal/PET Braided Textile
by Lais Kohan, Carlos Alexandre Fioroni, Adriano G. S. Azevedo, Ivis de Aguiar Souza, Tais O. G. Freitas, Daniel V. Oliveira, Julia Baruque-Ramos, Raul Fangueiro and Holmer Savastano Junior
Textiles 2025, 5(4), 70; https://doi.org/10.3390/textiles5040070 - 18 Dec 2025
Abstract
Textile-reinforced concrete (TRC) is an alternative class of mechanical reinforcement for cement composites. The biaxial braided reinforcement structure in composite materials with diverse cross-sectional shapes offers high adaptability, torsional stability, and resistance to damage. In general, 3D textile reinforcements improve the mechanical properties [...] Read more.
Textile-reinforced concrete (TRC) is an alternative class of mechanical reinforcement for cement composites. The biaxial braided reinforcement structure in composite materials with diverse cross-sectional shapes offers high adaptability, torsional stability, and resistance to damage. In general, 3D textile reinforcements improve the mechanical properties of composites compared to 2D reinforcements. This study aimed to verify reinforcement behavior by comparing multidimensional braided textiles, 2D (one- and two-layer) reinforcements, and 3D reinforcement in composite cementitious boards. Experimental tests were performed to evaluate the effect of textile structures on cementitious composites using four-point bending tests, porosity measurements, and crack patterns. All textiles showed sufficient space between yarns, allowing the matrix (a commercial formulation) to infiltrate and influence the composite mechanical properties. All composites presented ductility behavior. The two layers of 2D textile composites displayed thicker cracks, influenced by shear forces. Three-dimensional textiles exhibited superior values in four-point bending tests for modulus of rupture (7.4 ± 0.5 MPa) and specific energy (5.7 ± 0.3 kJ/m2). No delamination or debonding failure was observed in the boards after the bending tests. The 3D textile structure offers a larger contact area with the cementitious matrix and creates a continuous network, enabling more uniform force distribution in all directions. Full article
(This article belongs to the Special Issue Advances in Technical Textiles)
Show Figures

Figure 1

25 pages, 5082 KB  
Article
Performance Evaluation of Fixed-Point DFOS Cables for Structural Monitoring of Reinforced Concrete Elements
by Aigerim Buranbayeva, Assel Sarsembayeva, Bun Pin Tee, Iliyas Zhumadilov and Gulizat Orazbekova
Infrastructures 2025, 10(12), 349; https://doi.org/10.3390/infrastructures10120349 - 15 Dec 2025
Viewed by 129
Abstract
Distributed fiber-optic sensing (DFOS) with intentionally spaced mechanical fixity points was experimentally evaluated for the structural health monitoring (SHM) of reinforced concrete (RC) members. A full-scale four-point bending test was conducted on a 12 m RC beam (400 × 400 mm) instrumented with [...] Read more.
Distributed fiber-optic sensing (DFOS) with intentionally spaced mechanical fixity points was experimentally evaluated for the structural health monitoring (SHM) of reinforced concrete (RC) members. A full-scale four-point bending test was conducted on a 12 m RC beam (400 × 400 mm) instrumented with a single-mode DFOS cable incorporating internal anchors at 2 m intervals and bonded externally with structural epoxy. Brillouin time-domain analysis (BOTDA) provided distributed strain measurements at approximately 0.5 m spatial resolution, with all cables calibrated to ±15,000 µε. Under stepwise monotonic loading, the system captured smooth, repeatable strain baselines and clearly resolved localized tensile peaks associated with crack initiation and propagation. Long-gauge averages exhibited a near-linear load–strain response (R2 ≈ 0.99) consistent with discrete foil and vibrating-wire strain gauges. Even after cracking, the DFOS signal remained continuous, while some discrete sensors showed saturation or scatter. Temperature compensation via a parallel fiber ensured thermally stable interpretation during load holds. The fixed-point configuration mitigated local debonding effects and yielded unbiased long-gauge strain data suitable for assessing serviceability and differential settlement. Overall, the results confirm the suitability of fixed-point DFOS as a durable, SHM-ready sensing approach for RC foundation elements and as a dense data source for emerging digital-twin frameworks. Full article
Show Figures

Figure 1

20 pages, 4823 KB  
Article
Discussion on the Dominant Factors Affecting the Main-Channel Morphological Evolution in the Wandering Reach of the Yellow River
by Qingbin Mi, Ming Dou, Guiqiu Li, Lina Li and Guoqing Li
Water 2025, 17(24), 3509; https://doi.org/10.3390/w17243509 - 11 Dec 2025
Viewed by 194
Abstract
The wandering reach of the Yellow River has long been a pivotal area of research due to its drastic fluctuations in water-sediment dynamics, frequent shifts in the main channel, and complex river regime evolution. Studies on the main-channel morphological evolution in this reach [...] Read more.
The wandering reach of the Yellow River has long been a pivotal area of research due to its drastic fluctuations in water-sediment dynamics, frequent shifts in the main channel, and complex river regime evolution. Studies on the main-channel morphological evolution in this reach have focused on the analysis of parameters related to the overall oscillation or have only analyzed a certain reach within the wandering reach, with a lack of detailed studies based on the different characteristics of each area. Therefore, taking the Xiaolangdi Reservoir–Gaocun reach as the research area, by constructing a two-dimensional water-sediment dynamic model, the erosion–deposition characteristics of different sub-reaches and the morphological evolution characteristics of key cross-sections were quantified and analyzed. Based on measured hydrological, sediment, and topographic data, the temporal and spatial changes in the bankfull area and fluvial facies coefficient of typical sections before and after the construction of Xiaolangdi Reservoir were analyzed. By interpreting remote sensing images, the spatio-temporal variation characteristics of the migration distance and bending coefficient of different reaches before and after the construction of Xiaolangdi Reservoir were calculated, and the key factors influencing the evolution of river morphology parameters were identified. The results showed that after the Xiaolangdi Reservoir operation, the overall erosion of the Huayuankou–Jiahetan reach is greater than the deposition, and the erosion is more obvious in dry years. The river course direction and control engineering play a significant role in controlling the morphological evolution of the main channel during the process, causing the R2 reach to significantly swing to the north bank and the R3 reach to the south bank. When the sediment transport coefficient values were between 0 and 0.005 kg.s.m−6, water-sediment had a positive effect on shaping and evolving the main-channel morphology. The long-term low-sand discharge of Xiaolangdi Reservoir and the continuous improvement of river regulation projects are the main reasons for the above changes. The results can provide support for controlling the evolution of the main channel and improving river regulation projects. Full article
Show Figures

Figure 1

25 pages, 4344 KB  
Article
Mechanical Behavior of Thermoplastic Unidirectional-Tape-Reinforced Polycarbonate Produced by Additive Manufacturing: Experimental Analysis and Practical Numerical Modeling
by Hagen Bankwitz, Jörg Matthes and Jörg Hübler
Appl. Mech. 2025, 6(4), 88; https://doi.org/10.3390/applmech6040088 - 9 Dec 2025
Viewed by 258
Abstract
Additive Manufacturing (AM) using Fused Layer Modelling (FLM) often results in polymer components with limited and highly anisotropic mechanical properties, exhibiting structural weaknesses in the layer direction (Z-direction) due to low interlaminar adhesion. The main objective of this work was to investigate and [...] Read more.
Additive Manufacturing (AM) using Fused Layer Modelling (FLM) often results in polymer components with limited and highly anisotropic mechanical properties, exhibiting structural weaknesses in the layer direction (Z-direction) due to low interlaminar adhesion. The main objective of this work was to investigate and quantify these mechanical limitations and to develop strategies for their mitigation. Specifically, this study aimed to (1) characterize the anisotropic behavior of unreinforced Polycarbonate (PC) components, (2) evaluate the effect of continuous, unidirectional (UD) carbon fiber tape reinforcement on mechanical performance, and (3) validate experimental findings through Finite Element Method (FEM) simulations to support predictive modeling of reinforced FLM structures. Methods involved experimental tensile and 3-point bending tests on specimens printed in all three spatial directions (X, Y, Z), validated against FEM simulations in ANSYS Composite PrepPost (ACP) using an orthotropic material model and the Hashin failure criterion. Results showed unreinforced samples had a pronounced anisotropy, with tensile strength reduced by over 70% in the Z direction. UD tape integration nearly eliminated this orthotropic behavior and led to strength gains of over 400% in tensile and flexural strength in the Z-direction. The FEM simulations showed very good agreement regarding initial stiffness and failure load. Targeted UD tape reinforcement effectively compensates for the weaknesses of FLM structures, although the quality of the tape–matrix bond and process reproducibility remain decisive factors for the reliability of the composite system, underscoring the necessity for targeted process optimization. Full article
(This article belongs to the Special Issue Cutting-Edge Developments in Computational and Experimental Mechanics)
Show Figures

Figure 1

24 pages, 1956 KB  
Article
Mobility of Carriers in Strong Inversion Layers Associated with Threshold Voltage for Gated Transistors
by Hsin-Chia Yang, Sung-Ching Chi, Bo-Hao Huang, Tung-Cheng Lai and Han-Ya Yang
Micromachines 2025, 16(12), 1393; https://doi.org/10.3390/mi16121393 - 9 Dec 2025
Viewed by 216
Abstract
NMOSFET, whose gate is on the top of the n-p-n junction with gate oxide in between, is called the n-channel transistor. This bipolar junction underneath the gate oxide may provide an n-n-n-conductive channel as the gate is applied with a positive bias over [...] Read more.
NMOSFET, whose gate is on the top of the n-p-n junction with gate oxide in between, is called the n-channel transistor. This bipolar junction underneath the gate oxide may provide an n-n-n-conductive channel as the gate is applied with a positive bias over the threshold voltage (Vth). Conceptually, the definition of an n-type or p-type semiconductor depends on whether the corresponding Fermi energy is higher or lower than the intrinsic Fermi energy, respectively. The positive bias applied to the gate would bend down the intrinsic Fermi energy until it is lower than the original p-type Fermi energy, which means that the p-type becomes strongly inverted to become an n-type. First, the thickness of the inversion layer is derived and presented in a planar 40 nm MOSFET, a 3D 240 nm FinFET, and a power discrete IGBT, with the help of the p (1/m3) of the p-type semiconductor. Different ways of finding p (1/m3) are, thus, proposed to resolve the strong inversion layers. Secondly, the conventional formulas, including the triode region and saturation region, are already modified, especially in the triode region from a continuity point of view. The modified formulas then become necessary and available for fitting the measured characteristic curves at different applied gate voltages. Nevertheless, they work well but not well enough. Thirdly, the electromagnetic wave (EM wave) generated from accelerating carriers (radiation by accelerated charges, such as synchrotron radiation) is proposed to demonstrate phonon scattering, which is responsible for the Source–Drain current reduction at the adjoining of the triode region and saturation region. This consideration of reduction makes the fitting more perfect. Fourthly, the strongly inverted layer may be formed but not conductive. The existing trapping would stop carriers from moving (nearly no mobility, μ) unless the applied gate bias is over the threshold voltage. The quantum confinement addressing the quantum well, which traps the carriers, is to be estimated. Full article
(This article belongs to the Section D1: Semiconductor Devices)
Show Figures

Figure 1

22 pages, 8720 KB  
Article
Investigation into the Mechanical Response of Shield Lining Under Simultaneous Construction of Subway Station and Tunnel
by Xusu He, Yang Liu, Shilin Zhang, Xuantao Shi, Yanhua Cao, Xiaowei Li and Sulei Zhang
Processes 2025, 13(12), 3968; https://doi.org/10.3390/pr13123968 - 8 Dec 2025
Viewed by 191
Abstract
To reduce downtime of the Tunnel Boring Machine and improve construction efficiency of subway tunnels, the tunnel–station synchronous construction method was implemented in the Qingdao metro. In this method, the TBM advanced continuously through the station, while the upper station was excavated in [...] Read more.
To reduce downtime of the Tunnel Boring Machine and improve construction efficiency of subway tunnels, the tunnel–station synchronous construction method was implemented in the Qingdao metro. In this method, the TBM advanced continuously through the station, while the upper station was excavated in stages using the primary support arch covering technique. Focusing on a construction scheme with low-grade temporary segments, this study develops a three-dimensional numerical model to investigate the mechanical response of shield lining during the simultaneous construction of a subway station and tunnel. The Mohr–Coulomb model and the Elastic model were employed to represent the mechanical behavior of the surrounding rock and support structure, respectively. The deformation, bending moment, axial force, and residual bearing capacity coefficients of the shield lining were systematically examined across six distinct construction stages. The results showed that asymmetric gradual unloading of the surrounding rock at the arch part caused the vertical displacement of the shield lining to be predominantly upward, with a maximum heave of 1.51 mm. Horizontal displacement exhibited significant asymmetry. During station arch excavation, asymmetric unloading led to an increase and clockwise shift in the bending moments of the shield lining. The axial forces transitioned from compression to tension at specific locations (40° and 240°), whereas the removal of temporary supports had only a minor influence. The maximum tensile stress of the shield lining increased by 3.35 times in Stage III and reached 0.69 MPa in Stage V, representing a 1.65-fold increase compared to the previous stage. Although the residual bearing capacity coefficient generally satisfied safety requirements throughout the construction process, it decreased to a minimum of 0.88 in Stage V, a 7% reduction relative to Stage IV, necessitating close monitoring. This study not only confirmed the safety of using temporary segments made of lower-grade concrete (C30) in tunnel–station synchronous construction but also provided valuable insights for optimizing construction schemes and controlling key risks, such as structural deformation, in similarly complex urban environments. Full article
(This article belongs to the Section Process Control and Monitoring)
Show Figures

Figure 1

25 pages, 19561 KB  
Article
Emergency Plugging and Killing of Blowout Preventer Failure
by Xuliang Zhang, Zhi Zhang, Qingfeng Li, Haitao Wang, Hangbo Cui, Hua Wang and Fumin Gao
Processes 2025, 13(12), 3959; https://doi.org/10.3390/pr13123959 - 7 Dec 2025
Viewed by 222
Abstract
The blowout preventer (BOP) is the most important and the last line of safety defense in drilling engineering. Once a blowout occurs and the BOP fails, engineers will lose control of the entire wellbore pressure, and combustible fluids in the formation will continuously [...] Read more.
The blowout preventer (BOP) is the most important and the last line of safety defense in drilling engineering. Once a blowout occurs and the BOP fails, engineers will lose control of the entire wellbore pressure, and combustible fluids in the formation will continuously sprayed out, which can easily cause huge losses of life and property. At present, reliable and highly recognized emergency measures for BOP failure are lacking. Therefore, we propose a plugging method after the failure of the BOP that can maintain good control within the secondary well control. Numerical and experimental results indicate that using a small-to-medium displacement (1–2 m3/min) during the early stage of plugging and applying multiple plugging and killing cycles significantly improves plugging stability and killing efficiency. PEEK (polyether ether ketone) was selected as the bridging material for field plugging tests on full-scale blowout preventers, verifying its sealing effectiveness at pressures up to 80 MPa. Subsequently, the CFD–DEM was used to simulate the well killing process after plugging. This study mainly focused on the transportation of particles in a pipeline and the analysis of the process of well killing after plugging. The research results indicate that PEEK demonstrates sufficient pressure-bearing capacity under real blowout conditions. Also reveal that PEEK’s exceptional wear resistance and impact strength help maintain sealing stability during repeated particle–wall collisions, effectively reducing secondary erosion and prolonging the operational lifespan of temporary plugging structures. After undergoing six high-pressure tests of 70 MPa and two high-pressure tests of 80 MPa within 25 min, it remained intact. Both cylindrical and spherical particles can smoothly pass through the storage tank and double-bend pipeline at different displacements. Considering the retention effect of the plugging material, it is recommended to use 1–2 m3/min of pumping the plugging material at medium and small displacements in the early stage of plugging. During the process of plugging and killing, it is recommended to use alternating plugging and killing across multiple operations to prevent further blowouts to achieve the best plugging and killing effect. Full article
(This article belongs to the Special Issue Multiphase Flow Process and Separation Technology)
Show Figures

Figure 1

31 pages, 23420 KB  
Article
Grand Teton National Park Trophic State Evolution at 33 Locations in 29 Lakes over Three Decades: Field Data and Analysis
by A. Woodruff Miller, Pitamber Wagle, Amin Aghababaei, Abin Raj Chapagain, Yubin Baaniya, Peter D. Oldham, Samuel J. Oldham, Tyler Peterson, Lyle Prince, Rachel Huber Magoffin, Xueyi Li, Taylor Miskin, Kaylee B. Tanner, Anna C. Cardall, Norman L. Jones and Gustavious P. Williams
Hydrology 2025, 12(12), 321; https://doi.org/10.3390/hydrology12120321 - 6 Dec 2025
Viewed by 255
Abstract
We present a 30-year analysis of water quality trends in Grand Teton National Park, based on 715 sampling events we collected at 33 locations across 29 lakes from 1995 to 2025. Our dataset includes Secchi depth, chlorophyll-a, and total phosphorus, collected seasonally from [...] Read more.
We present a 30-year analysis of water quality trends in Grand Teton National Park, based on 715 sampling events we collected at 33 locations across 29 lakes from 1995 to 2025. Our dataset includes Secchi depth, chlorophyll-a, and total phosphorus, collected seasonally from both in-lake and inlet sites. We classified lake trophic states using the Carlson Trophic State Index (CTSI) and the Vollenweider (VW) and Larsen–Mercier (LM) models. Most lakes remain mesotrophic (CTSI 38–54), with larger lakes such as Jackson and Phelps showing lower total phosphorus, while smaller lakes like Christian Pond and Cygnet Pond exhibit higher chlorophyll-a. High-elevation lakes generally have reduced nutrient concentrations. Seasonal effects are pronounced, with late summer and fall samples—especially at Swan Lake and Two Ocean Lake—showing increased chlorophyll-a. Trend analysis using the Mann–Kendall test identified statistically significant decreases in chlorophyll-a for six lakes and in total phosphorus for fifteen lakes; no lakes showed significant increases in any parameter. Four lakes—Christian Pond, Swan Lake, Two Ocean Lake, and Oxbow Bend—demonstrated consistent improvements across all measured indicators. The magnitude of these declines was modest, suggesting gradual oligotrophication rather than widespread eutrophication. Our comparison of trophic state models highlights that VW and LM often assign higher trophic classifications than CTSI. This study provides a robust baseline for understanding the resilience of high-elevation lakes in Grand Teton National Park. Our unique dataset, collected from remote and often barely accessible sites, is publicly available to support future research and management. Continued monitoring is essential to detect potential impacts of climate change and human activity, ensuring the preservation of these sensitive aquatic ecosystems. Full article
Show Figures

Figure 1

35 pages, 24477 KB  
Article
A Physics-Based Method for Delineating Homogeneous Channel Units in Debris Flow Channels
by Xiaohu Lei, Fangqiang Wei, Hongjuan Yang and Shaojie Zhang
Water 2025, 17(23), 3444; https://doi.org/10.3390/w17233444 - 4 Dec 2025
Viewed by 325
Abstract
For runoff-generated debris flow continuum mechanics-based early warning models, the computational unit must satisfy the homogeneity assumption of continuum mechanics. Although traditional grid cells meet the homogeneity assumption as computational units, they segment channel geomorphological functional reaches, weaken the clustered mobilization of sediment [...] Read more.
For runoff-generated debris flow continuum mechanics-based early warning models, the computational unit must satisfy the homogeneity assumption of continuum mechanics. Although traditional grid cells meet the homogeneity assumption as computational units, they segment channel geomorphological functional reaches, weaken the clustered mobilization of sediment sources, and constrain efficiency due to grid-by-grid calculations. To address these limitations, we construct a Froude number (Fr) calculation model constrained by key factors such as the channel cross-sectional geometry and topographic parameters. The absolute deviation of Fr is used as a criterion for homogeneity within the computational unit. By combining critical shear stress theory and velocity perturbation, physical thresholds for the criteria are derived. A physical model-based method for automatically delineating homogeneous channel units (CUj) is proposed, ensuring that the geometric features and hydrodynamic parameters within CUj are homogeneous, while ensuring heterogeneity between adjacent CUj. Comprehensive multi-scale validation in Yeniu Gully, a typical debris flow catchment in Wenchuan County, demonstrates that parameters such as longitudinal gradient, cross-sectional area, flow depth, and shear stress remain relatively homogeneous within each CUj but differ significantly between adjacent CUj. Furthermore, the proposed method can stably characterize key channel geomorphological functional units, such as bends, confluences, abrupt width changes, longitudinal gradient changes, erosion segments, and deposition segments. Sensitivity analysis demonstrates that the method satisfies both robustness and universality under various conditions of rainfall intensity, runoff coefficient, and Manning’s roughness coefficient. Even under the most unfavorable extreme conditions, the accuracy of CUj delineation exceeds 88.64%, indicating high reliability and suitability for deployment in various debris flow catchments. The proposed framework for defining CUj resolves the conflict in traditional computational units between the “continuum model homogeneity requirement” and “geomorphological functional unit continuity,” providing a more rational and efficient computational environment for runoff-generated debris flow continuum mechanics-based early warning models. Full article
(This article belongs to the Section Water Erosion and Sediment Transport)
Show Figures

Figure 1

18 pages, 7434 KB  
Article
Analysis of Decay-like Fracture Failure in Core Rods of On-Site Composite Interphase Spacers of 500 kV Overhead Power Transmission Lines
by Chao Gao, Xinyi Yan, Wei Yang, Lee Li, Shiyin Zeng and Guanjun Zhang
Electronics 2025, 14(23), 4750; https://doi.org/10.3390/electronics14234750 - 2 Dec 2025
Viewed by 245
Abstract
Composite interphase spacers are essential components in ultra-high-voltage (UHV) transmission lines to suppress conductor galloping. This study investigates the first reported case of a core-rod fracture in a 500 kV composite spacer and elucidates its degradation mechanism through multi-scale characterization, electrical testing combined [...] Read more.
Composite interphase spacers are essential components in ultra-high-voltage (UHV) transmission lines to suppress conductor galloping. This study investigates the first reported case of a core-rod fracture in a 500 kV composite spacer and elucidates its degradation mechanism through multi-scale characterization, electrical testing combined and electric field and mechanical simulation. Macroscopic inspection and industrial computed tomography (CT) show that degradation initiated at the unsheltered high-voltage sheath–core interface and propagated axially, accompanied by continuous interfacial cracks and void networks whose volume ratio gradually decreased along the spacer. Material characterizations indicate moisture-driven glass-fiber hydrolysis, epoxy oxidation, and progressive interfacial debonding. Leakage current test further indicates humidity-sensitive conductive paths in the degraded region, confirming the presence of moisture-activated interfacial channels. Electric-field simulations under two shed configurations demonstrated that local field intensification was concentrated within 20–30 cm of the HV terminal, where the sheath and core surface fields increased by approximately 9.3% and 5.5%. Mechanical modeling demonstrates a pronounced bending-induced stress concentration at the same end region. The combined effects of moisture ingress, electrical stress, mechanical loading, and chemical degradation lead to the decay-like fracture. Improving sheath hydrophobicity, enhancing interfacial bonding, and optimizing end-fitting geometry are recommended to mitigate such failures and ensure the long-term reliability of UHV composite interphase spacers. Full article
(This article belongs to the Special Issue Polyphase Insulation and Discharge in High-Voltage Technology)
Show Figures

Figure 1

25 pages, 4797 KB  
Essay
Research on the Explosion Characteristics of Hydrogen-Propane Based on the Angle of the “Z”-Shaped Pipe Elbow
by Xiao Wu, Jianfeng Gao, Bin Hao, Xiaojun Shao, Yulin Yang, Meng Li, Yanan Han and Yang Wu
Fire 2025, 8(12), 468; https://doi.org/10.3390/fire8120468 - 1 Dec 2025
Viewed by 474
Abstract
This research employs an integrated experimental and numerical simulation approach to investigate how varying angles of continuous elbows in a “Z”-shaped pipeline affect the deflagration behavior of hydrogen-propane-air mixtures. Findings indicate that centrifugal forces acting on the flame front as it traverses an [...] Read more.
This research employs an integrated experimental and numerical simulation approach to investigate how varying angles of continuous elbows in a “Z”-shaped pipeline affect the deflagration behavior of hydrogen-propane-air mixtures. Findings indicate that centrifugal forces acting on the flame front as it traverses an elbow cause a distinctive “tongue-shaped” propagation along the inner wall. A cavity that generates unburned gas near the outer wall. The volume of this cavity increases significantly with the Angle of the elbow. The flame propagation is regulated by it and presents three distinct stages: the initial development section within the straight pipe section, the disturbance section when entering the first elbow, and the subsequent suppression section under the action of the cavity. The more intense turbulent combustion occurs at the 90° bend, with the highest peak flame velocity. On the contrary, the 120° and 150° elbows suppress the spread of flames. In addition, the angle of the elbow has a significant effect on the second overpressure peak, which exhibits strong non-linear growth. The value at 150° is 2.7 times greater than that at 30°. This is mainly caused by the energy focusing effect of the reflected pressure wave in the cavity magnified by the large-angle elbow. These findings provide mechanism-level understanding for the safe design of complex hydrogen pipeline systems. Full article
(This article belongs to the Special Issue Fire and Explosion Hazards in Energy Systems)
Show Figures

Figure 1

17 pages, 6956 KB  
Article
Fabrication of Stretchable Piezoelectric Sensor with a Kirigami Design for Heart Sound Monitoring
by Xudong Zhang, Xudong Ye, Xi Lei, Hong Hu, Hai Liu, Shaobo Jin, Guoyong Ye and Tingting Zhao
Sensors 2025, 25(23), 7253; https://doi.org/10.3390/s25237253 - 28 Nov 2025
Viewed by 408
Abstract
Heart sounds contain critical information about valve activity and hemodynamics, serving as an essential basis for cardiovascular disease diagnosis. However, traditional heart sound sensors are either rigid or flexible but non-stretchable, limiting their ability to accommodate chest deformation and leading to signal distortion. [...] Read more.
Heart sounds contain critical information about valve activity and hemodynamics, serving as an essential basis for cardiovascular disease diagnosis. However, traditional heart sound sensors are either rigid or flexible but non-stretchable, limiting their ability to accommodate chest deformation and leading to signal distortion. This study proposes an easy-to-fabricate, stretchable piezoelectric heart sound sensor with a Kirigami-inspired design, a five-layer “sandwich” structure. Periodic Kirigami cuts significantly enhance stretchability while maintaining piezoelectric conversion efficiency. Finite element simulations reveal the Kirigami structure is more sensitive to hinge length and thickness than to hinge width. Electrical tests demonstrate a linear response to sound pressure, with output voltage rising from 0.11 V to 0.42 V (70–94 dB), and voltage amplitude increasing from 9 mV to 0.35 V (60–160 Hz). The sensor exhibits excellent stability, with a maximum amplitude variation of approximately 11% under 0–30% strain, a 17% voltage decrease at 11 mm bending radius, and less than 9% output fluctuation during 1200 s continuous excitation. Seven-day monitoring confirms reliable detection of the first (S1) and second (S2) heart sounds, with signals highly consistent with ECG and a commercial sensor, verifying its potential for wearable long-term monitoring and early cardiovascular disease screening. Full article
Show Figures

Figure 1

36 pages, 10903 KB  
Article
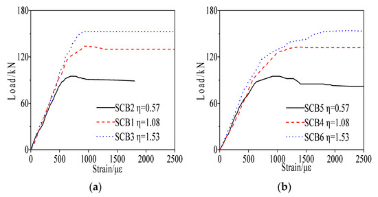
Experimental Investigation on the Bending Performance of Steel–Concrete Composite Beams After Creep
by Faxing Ding, Yang Dai, Xiaolei He, Fei Lyu and Linli Duan
Materials 2025, 18(23), 5332; https://doi.org/10.3390/ma18235332 - 26 Nov 2025
Viewed by 307
Abstract
The long-term flexural performance of steel-concrete composite beams after creep is influenced by multiple factors such as the degree of shear connection, cross-sectional form, and boundary conditions. The engineering community has an ambiguous understanding of the coupling effects of these factors. To address [...] Read more.
The long-term flexural performance of steel-concrete composite beams after creep is influenced by multiple factors such as the degree of shear connection, cross-sectional form, and boundary conditions. The engineering community has an ambiguous understanding of the coupling effects of these factors. To address this issue, this paper conducts systematic experimental research: six simply supported beams (three box-shaped, three I-shaped) and four continuous beams (two box-shaped, two I-shaped) were designed with three degrees of shear connection (0.57, 1.08, 1.53). These beams first underwent simulated creep tests (24 °C, 80% relative humidity, 10 kN load, 180 days), followed by monotonic bending tests. The results indicate: (1) A high degree of shear connection (1.53) reduces creep deflection by 15–20% compared to partial connection (0.57) and delays the initiation of interface slip to 30% of the ultimate load; (2) Box sections exhibit 10–15% lower creep deflection than I-sections, though both experience 40–60% stiffness reduction after creep; (3) Continuous beams show a 25% improvement in crack resistance in the negative moment region and a 50% increase in flexural capacity at mid-span compared to simply supported beams; (4) After creep, the elastic modulus of concrete decreases by 40–60% (inversely related to the degree of shear connection), with fully connected specimens retaining 55–61% of their strength, while partially connected specimens retain only 43–49%. This study quantifies the degradation patterns of concrete performance, clarifies the influence mechanisms of key structural factors, and provides theoretical and experimental support for the long-term performance design of composite beams. Shear connection design is crucial for mitigating creep effects. Full article
(This article belongs to the Section Construction and Building Materials)
Show Figures

Figure 1

25 pages, 42339 KB  
Article
Experimental and Numerical Study on Flexural Behavior of Fold-Fastened Multi-Cellular Steel Panels
by Sheng-Jie Duan, Cheng-Da Yu, Lu-Qi Ge and Gen-Shu Tong
Buildings 2025, 15(23), 4276; https://doi.org/10.3390/buildings15234276 - 26 Nov 2025
Viewed by 152
Abstract
Cold-formed thin-walled steel (CFS) members were widely used in steel structures but faced challenges in meeting bearing capacity and assembly efficiency requirements as single-limb members. To overcome the above limitations, a promising fold-fastened multi-cellular steel panel (FMSP) was proposed. The FMSP eliminated the [...] Read more.
Cold-formed thin-walled steel (CFS) members were widely used in steel structures but faced challenges in meeting bearing capacity and assembly efficiency requirements as single-limb members. To overcome the above limitations, a promising fold-fastened multi-cellular steel panel (FMSP) was proposed. The FMSP eliminated the need for discrete self-drilling screws, instead utilizing a continuous mechanical fold-fastened connection, which enhanced structural integrity and assembly efficiency. This approach also provided greater flexibility to meet the design requirements of complex structural configurations. This study investigated the flexural behaviors of panels—a key mechanical property governing their structural behavior. A bearing capacity test was conducted on five FMSP specimens, focusing on the failure modes, bending moment–deflection curves, deflection distributions under representative loading levels, and flexural bearing capacities of the specimens. Refined finite element models (FEMs) of the specimens were established, and the stress and deformation distributions were further studied. The comparison results showed that the numerical results were in good agreement with the experimental results. Finally, the parametric analysis was carried out, and the influence of key parameters on the flexural behavior was revealed. Analysis results demonstrated that doubling the steel plate thickness increased the flexural capacity by 207%, while a twofold increase in panel thickness resulted in a 123% improvement. In contrast, increasing the steel strength from 235 MPa to 460 MPa yielded only a 61% enhancement. This research laid a solid foundation for promoting the application and investigation of FMSPs, thus achieving high industrialization and meeting the requirements of complex structural design. Full article
(This article belongs to the Section Building Structures)
Show Figures

Figure 1

Back to TopTop