Sign in to use this feature.

Years

Between: -

Subjects

remove_circle_outline
remove_circle_outline
remove_circle_outline
remove_circle_outline
remove_circle_outline
remove_circle_outline
remove_circle_outline
remove_circle_outline
remove_circle_outline

Journals

Article Types

Countries / Regions

remove_circle_outline
remove_circle_outline

Search Results (284)

Search Parameters:
Keywords = asymmetric catalysis

Order results
Result details
Results per page
Select all
Export citation of selected articles as:
33 pages, 10526 KB  
Review
Recent Developments in the Catalytic Enantioselective Sakurai Reaction
by Hélène Pellissier
Reactions 2026, 7(1), 6; https://doi.org/10.3390/reactions7010006 (registering DOI) - 10 Jan 2026
Abstract
The Sakurai reaction constitutes a valuable tool for carbon–carbon bond formation. The use of nontoxic allylic reagents as well as the atom economy of the global process has prompted the development of enantioselective (aza)-variants based on the use of chiral organo- and metal [...] Read more.
The Sakurai reaction constitutes a valuable tool for carbon–carbon bond formation. The use of nontoxic allylic reagents as well as the atom economy of the global process has prompted the development of enantioselective (aza)-variants based on the use of chiral organo- and metal catalysts. This review collects the recent developments in catalytic enantioselective Sakurai reactions published since the beginning of 2011, including methodologies based on the use of chiral organocatalysts, metal/boron catalysts and multicatalyst systems. It is divided into three parts, dealing successively with enantioselective organocatalytic (aza)-Sakurai reactions, enantioselective metal/boron-catalyzed Sakurai reactions and enantioselective multicatalyzed (aza)-Sakurai reactions. It shows that, although still widely developed with aromatic aldehydes, the enantioselective catalytic Sakurai reaction has considerably matured in the last decade. Full article
(This article belongs to the Special Issue Feature Papers in Reactions in 2025)
Show Figures

Graphical abstract

15 pages, 2020 KB  
Article
Comparative Analysis of G-Quadruplex DNAzyme Scaffolds and Split Modes for Programmable Biosensing
by Dunsin S. Osalaye, Raphael I. Adeoye, Sylvia O. Malomo and Femi J. Olorunniji
Catalysts 2026, 16(1), 27; https://doi.org/10.3390/catal16010027 - 30 Dec 2025
Viewed by 266
Abstract
G-quadruplex (G4) DNAzymes, guanine-rich sequences that fold into four-stranded structures and bind hemin to mimic peroxidase activity, are widely used in biosensing. Split G4 DNAzymes offer conditional activation upon target recognition, enabling high specificity and modularity. However, achieving low OFF-state leakage remains a [...] Read more.
G-quadruplex (G4) DNAzymes, guanine-rich sequences that fold into four-stranded structures and bind hemin to mimic peroxidase activity, are widely used in biosensing. Split G4 DNAzymes offer conditional activation upon target recognition, enabling high specificity and modularity. However, achieving low OFF-state leakage remains a major challenge. Here, we systematically characterized four representative G4 scaffolds, C-myc, Bcl2, PS5.M, and C-kit, under standardized ABTS/H2O2 conditions to assess their kinetic properties and suitability for split designs. C-myc exhibited the highest sustained activity and near-linear concentration dependence, making it ideal for quantitative sensing, while Bcl2 showed durable catalysis suited for extended read windows. C-kit produced rapid bursts with early plateaus, favoring binary outputs, and PS5.M initiated quickly but inactivated rapidly, suggesting potential application of systems requiring fast response. Split-mode analysis revealed that symmetric 2:2 partitions often retained significant activity, whereas asymmetric 3:1 splits reduced but did not eliminate leakage. Among the four G4 DNAzymes, PS5.M demonstrated the most promising OFF-state suppression. Design strategies to minimize leakage including non-classical splits, loop/flank edits, and template-assisted assembly could be used to optimize biosensor functionalities. These findings identify essential factors critical for designing robust split DNAzyme biosensors, advancing applications in diagnostics and molecular logic gates. Full article
(This article belongs to the Special Issue State-of-the-Art Enzyme Engineering and Biocatalysis in Europe)
Show Figures

Graphical abstract

24 pages, 1889 KB  
Review
Symmetry and Asymmetry in Biogenic Carbonaceous Materials: A Framework for Sustainable Waste Valorization
by Pablo Gutiérrez-Sánchez, Gemma Vicente and Luis Fernando Bautista
Symmetry 2026, 18(1), 42; https://doi.org/10.3390/sym18010042 - 25 Dec 2025
Viewed by 226
Abstract
The increasing generation of biomass-derived waste has accelerated the development of sustainable strategies for its valorization into functional materials. Activated carbon (AC), due to its high surface area, tunable porosity, and chemical versatility, has emerged as a key product for applications in adsorption, [...] Read more.
The increasing generation of biomass-derived waste has accelerated the development of sustainable strategies for its valorization into functional materials. Activated carbon (AC), due to its high surface area, tunable porosity, and chemical versatility, has emerged as a key product for applications in adsorption, catalysis, energy storage, and biosensing, among others. Recent studies have highlighted the importance of symmetry and asymmetry in determining the structural and functional performance of AC. Symmetric architectures, typically generated via templating methods, yield ordered pore networks, whereas asymmetric structures, commonly produced through direct chemical activation or heteroatom doping, exhibit hierarchical porosity and heterogeneous surface functionalities. This work critically examines the fundamentals of symmetry and asymmetry in AC materials, as well as their influence on design and use. It discusses synthesis strategies, characterization techniques, and recent approaches that enable the rational engineering of carbon structures. Application-specific case studies are presented, along with current challenges related to feedstock variability, scalability, and regulatory integration. By highlighting the interplay between structural order and functional diversity, this work provides a conceptual framework for guiding future research in the development on symmetrical and asymmetrical carbonaceous materials for sustainable waste valorization. Full article
Show Figures

Figure 1

10 pages, 2290 KB  
Article
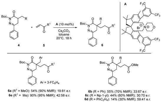
4,5-Dihydro-2H-pyridazin-3-ones as a Platform for the Construction of Chiral 4,4-Disubstituted-dihydropyridazin-3-ones
by Paul Joël Henry, Gabriel Burel, William Nzegge, Mario Waser and Jean-François Brière
Molecules 2026, 31(1), 83; https://doi.org/10.3390/molecules31010083 - 24 Dec 2025
Viewed by 255
Abstract
4,5-Dihydro-2H-pyridazin-3-ones (DHPDOs) are important synthetic as well as naturally occurring heterocycles. We herein report the synthesis of various 4-monofunctionalized 4,5-dihydro-2H-pyridazin-3-ones and their use as starting materials to access 4,4-disubstituted dihydropyridazin-3-ones in an asymmetric fashion. By using chiral ammonium salt [...] Read more.
4,5-Dihydro-2H-pyridazin-3-ones (DHPDOs) are important synthetic as well as naturally occurring heterocycles. We herein report the synthesis of various 4-monofunctionalized 4,5-dihydro-2H-pyridazin-3-ones and their use as starting materials to access 4,4-disubstituted dihydropyridazin-3-ones in an asymmetric fashion. By using chiral ammonium salt phase-transfer catalysts, conjugate additions of these scaffolds to classical acrylate-based Michael acceptors, as well as quinone methides, can be carried out with moderate to good enantioselectivities and in reasonable yields, affording a new pathway to dihydropyridazin-3-one derivatives with an all-carbon stereocenter. Full article
(This article belongs to the Special Issue Feature Papers in Organic Chemistry—Third Edition)
Show Figures

Graphical abstract

3024 KB  
Proceeding Paper
Tolerance of Hydroxyl and Ortho-Substituted Groups in the Hayashi–Miyaura Reaction: A Study on Nitroolefin Substrates
by Tomáš Hlavatý, Pavel Drabina, Jiří Váňa and Jan Bartáček
Chem. Proc. 2025, 18(1), 111; https://doi.org/10.3390/ecsoc-29-27268 - 21 Nov 2025
Viewed by 102
Abstract
This study researches the underexplored potential of the palladium-catalyzed Hayashi–Miyaura reaction in asymmetric synthesis, focusing on the preparation of novel derivatives of 2,2-diaryl-1-nitroethanes. These compounds are of interest as potential building blocks in medicinal and materials chemistry, yet they remain largely unexamined in [...] Read more.
This study researches the underexplored potential of the palladium-catalyzed Hayashi–Miyaura reaction in asymmetric synthesis, focusing on the preparation of novel derivatives of 2,2-diaryl-1-nitroethanes. These compounds are of interest as potential building blocks in medicinal and materials chemistry, yet they remain largely unexamined in enantioselective transformations. The study specifically targets three challenging substrates: 1,3-dimethoxy-5-(2-nitro-1-(o-tolyl)ethyl)benzene, 2-(2-nitro-1-phenylethyl)phenol, and 4-(2-nitro-1-phenylethyl)phenol. These molecules were selected to probe the reaction’s tolerance toward ortho-substitution and free hydroxyl groups—features known to complicate catalytic processes. Full article
Show Figures

Figure 1

23 pages, 3857 KB  
Review
Recent Progress of Chiral Mesoporous Silica Nanostructures: From Synthesis to Applications
by Changlong Hao
Molecules 2025, 30(22), 4455; https://doi.org/10.3390/molecules30224455 - 19 Nov 2025
Viewed by 763
Abstract
Chiral mesoporous silica nanostructures (MSNs) have emerged as a cutting-edge material in nanotechnology. These nanostructures not only retain the tunable physicochemical properties of traditional MSNs—such as adjustable pore size, high surface area, and excellent biocompatibility—but also exhibit unique functionalities and biological behaviors due [...] Read more.
Chiral mesoporous silica nanostructures (MSNs) have emerged as a cutting-edge material in nanotechnology. These nanostructures not only retain the tunable physicochemical properties of traditional MSNs—such as adjustable pore size, high surface area, and excellent biocompatibility—but also exhibit unique functionalities and biological behaviors due to their helical architectures at both molecular and macroscopic levels. This inherent chirality grants chiral MSNs exceptional potential in diverse applications, including chiral catalysis, enantiomeric separation, chiral recognition, and advanced drug delivery systems. Over the past five years, substantial progress has been made in understanding their synthesis mechanisms and practical applications. This review provides a comprehensive analysis of recent advancements in chiral silica nanostructures, with a focus on the synthesis strategies and applications of chiral MSNs. Emphasis is placed on their roles in chiral recognition, drug delivery, chiral separation, nanomedicine, and asymmetric catalysis. By highlighting these developments, this review serves as a roadmap for the rational design and translational applications of chiral silica nanostructures, offering valuable guidance for unlocking their full potential. Full article
(This article belongs to the Special Issue Chiral Nanomaterials: Synthesis, Properties, and Applications)
Show Figures

Figure 1

25 pages, 2987 KB  
Review
Polyhedral Oligomeric Silsesquioxanes (POSS) for Transparent Coatings: Material Properties and Applications
by Yujia Chen, Zhiwei Bian, Yunhao Wei, Xiaojie He, Xuemin Lu and Qinghua Lu
Polymers 2025, 17(22), 3050; https://doi.org/10.3390/polym17223050 - 18 Nov 2025
Viewed by 1418
Abstract
Polyhedral oligomeric silsesquioxanes (POSS) harness their molecularly precise organic–inorganic hybrid cage architecture to deliver hardness, scratch resistance, and programmable functionality for next-generation transparent coatings. Tailoring of solubility, thermal stability, mechanical robustness, electronic characteristics, and interfacial properties is achieved through strategic peripheral modifications enabled [...] Read more.
Polyhedral oligomeric silsesquioxanes (POSS) harness their molecularly precise organic–inorganic hybrid cage architecture to deliver hardness, scratch resistance, and programmable functionality for next-generation transparent coatings. Tailoring of solubility, thermal stability, mechanical robustness, electronic characteristics, and interfacial properties is achieved through strategic peripheral modifications enabled by versatile synthetic methodologies—spanning metal catalysis, metal-free routes, and selective bond activation. Advanced integration techniques, including covalent grafting, chemical crosslinking, UV–thermal dual curing, and in situ polymerization, ensure uniform dispersion while optimizing coating–substrate adhesion and network integrity. The resultant coatings exhibit exceptional optical transparency, mechanical durability, tunable electrical performance, thermal endurance, and engineered surface hydrophobicity. These synergistic attributes underpin transformative applications across critical domains: atomic-oxygen-resistant spacecraft shielding, UV-managing agricultural films, flame-retardant architectural claddings, mechanically adaptive foldable displays, and efficiency-enhanced energy devices. Future progress will prioritize sustainable synthesis pathways, emergent asymmetric cage architectures, and multifunctional designs targeting extreme-environment resilience, thereby expanding the frontier of high-performance transparent protective technologies. Full article
(This article belongs to the Section Polymer Applications)
Show Figures

Figure 1

643 KB  
Proceeding Paper
Catalytic Synthesis of Versatile Chiral Heterocycles: En Route to γ-Amino Acid Derivatives
by Paul Joël Henry, Gabriel Burel, William Nzegge, Mario Waser and Jean-François Brière
Chem. Proc. 2025, 18(1), 70; https://doi.org/10.3390/ecsoc-29-26715 - 11 Nov 2025
Cited by 1 | Viewed by 108
Abstract
The synthesis and application of new chiral amino acids (AAs) and peptides derived thereof is a research topic of major importance. The introduction of γ-AA as building blocks are useful for the development of original chiral small molecules and heterocycles, enabling the exploration [...] Read more.
The synthesis and application of new chiral amino acids (AAs) and peptides derived thereof is a research topic of major importance. The introduction of γ-AA as building blocks are useful for the development of original chiral small molecules and heterocycles, enabling the exploration of 3D chemical space in search of selectivity in biological properties. 4.5-Dihydro-2H-pyridazin-3-ones (DHPDOs) are 6-membered aza-heterocycles considered as masked γ-AA analogues. We herein report on the synthesis of various a-monosubstituted DHPDOs as platform-molecules using Meldrum’s acid chemistry and the a-functionalization approach upon the asymmetric Michael addition using the Phase-Transfer Catalysis (PTC). Full article
Show Figures

Scheme 1

13 pages, 1615 KB  
Article
A Comparative Study of C2-Symmetric and C1-Symmetric Hydroxamic Acids in Vanadium-Catalyzed Asymmetric Epoxidation of Allylic Alcohols
by Marco Valtierra-Galván, Alfredo Rodríguez-Hernández, Israel Bonilla-Landa, Felipe Barrera-Méndez, Francisco Javier Enríquez-Medrano, Ramón Enrique Díaz de León-Gómez and José Luis Olivares-Romero
Molecules 2025, 30(21), 4311; https://doi.org/10.3390/molecules30214311 - 6 Nov 2025
Viewed by 491
Abstract
Hydroxamic acids are emerging as versatile chiral ligands for metal-catalyzed asymmetric oxidations due to their tunable electronic and steric environments. In this study, we systematically compared the catalytic behavior of C2- and C1-symmetric hydroxamic acid ligands in the vanadium-catalyzed [...] Read more.
Hydroxamic acids are emerging as versatile chiral ligands for metal-catalyzed asymmetric oxidations due to their tunable electronic and steric environments. In this study, we systematically compared the catalytic behavior of C2- and C1-symmetric hydroxamic acid ligands in the vanadium-catalyzed asymmetric epoxidation of allylic alcohols. A series of chiral hydroxamic acids (HA1–HA7) was synthesized and evaluated under varied conditions to elucidate the influence of ligand symmetry on enantioinduction and reactivity. The results demonstrate that C2-symmetric bishydroxamic acids generate a highly organized chiral environment, leading to high enantioselectivity but often limited conversion, consistent with the Sabatier principle. Conversely, certain C1-symmetric ligands—particularly HA3—produced notable enantioselectivity (up to 71% e.e.) and full conversion under optimized conditions with VO(OiPr)3 in CH2Cl2. A quadrant-based stereochemical model is proposed to rationalize the differential performance of these ligands. These findings highlight the critical role of ligand desymmetrization in modulating the chiral environment around vanadium centers, providing valuable design principles for next-generation hydroxamic acid-based catalysts in asymmetric synthesis. The optimized system (VO(OiPr)3/HA3 in CH2Cl2) afforded >99% conversion and 71% e.e., providing a basis for extending hydroxamic acid scaffolds to diverse allylic alcohols. Full article
(This article belongs to the Special Issue Synthesis, Properties, and Applications of Chiral Molecules)
Show Figures

Figure 1

13 pages, 1636 KB  
Article
The Identification of a Sub-Micromolar Peptide-Based Protein Arginine Methyltransferase 1 (PRMT1) Inhibitor from a Plate-Based Screening Assay
by Tina M. Sawatzky, Sarah A. Mann, Jordan Shauna Tucker, Aida A. Bibart, Corey P. Causey and Bryan Knuckley
Biomolecules 2025, 15(11), 1494; https://doi.org/10.3390/biom15111494 - 23 Oct 2025
Viewed by 1184
Abstract
Post-translational modifications (PTMs) expand the structural diversity of proteins beyond the standard amino acids, influencing protein-protein interactions. Protein methylation, a prevalent PTM, involves the transfer of methyl groups from S-adenosylmethionine (SAM) to lysine and arginine residues. Arginine methylation is catalyzed by the Protein [...] Read more.
Post-translational modifications (PTMs) expand the structural diversity of proteins beyond the standard amino acids, influencing protein-protein interactions. Protein methylation, a prevalent PTM, involves the transfer of methyl groups from S-adenosylmethionine (SAM) to lysine and arginine residues. Arginine methylation is catalyzed by the Protein Arginine Methyltransferase (PRMT) family to yield mono- and dimethylarginine forms. PRMT1, the isozyme responsible for the majority of asymmetric dimethylation (ADMA) is implicated in various diseases, including cancer. Here, we report the synthesis and screening of a second-generation peptide library to identify novel PRMT1 substrates. The library, based on histone peptides, incorporated varying sequences of amino acids, facilitating substrate specificity studies. Screening identified 7 peptide sequences as exceptional PRMT1 substrates, which were confirmed by kinetic analysis. Consensus sequences revealed key recognition elements for PRMT1 catalysis, suggesting roles for small non-polar side chains and specific residues near the substrate arginine. Furthermore, we developed a peptide-based PRMT1 inhibitor by substituting the substrate arginine with a chloroacetamidine warhead. The inhibitor exhibited sub-micromolar inhibitory potency against PRMT1, surpassing previous peptide-based inhibitors. Our findings contribute to understanding PRMT1 substrate specificity and provide a scaffold for developing potent inhibitors targeting PRMT1 in diseases, including cancer. Full article
Show Figures

Graphical abstract

18 pages, 2041 KB  
Review
Chiral Transition Metal Complexes Featuring Limonene-Derived Ligands: Roles in Catalysis and Biology
by Ghaita Chahboun, Mohamed El Hllafi, Eva Royo and Mohamed Amin El Amrani
Inorganics 2025, 13(10), 336; https://doi.org/10.3390/inorganics13100336 - 13 Oct 2025
Viewed by 1104
Abstract
Chiral coordination compounds are of growing interest due to their structural diversity and wide applicability. Besides chirality, alcohol and especially oxime-functionalized limonene derivatives confer water solubility, stability, and the appropriate reactivity to enable their use in asymmetric catalysis—such as allylic substitution, alkynylation, transfer [...] Read more.
Chiral coordination compounds are of growing interest due to their structural diversity and wide applicability. Besides chirality, alcohol and especially oxime-functionalized limonene derivatives confer water solubility, stability, and the appropriate reactivity to enable their use in asymmetric catalysis—such as allylic substitution, alkynylation, transfer hydrogenation, and selective C–C bond formation. Biologically, they have shown promising anticancer, antibacterial, and antibiofilm activity. This review presents an integrated overview of the synthesis, properties, and applications of chiral transition metal complexes featuring ligands derived from inexpensive, naturally occurring R- and S-limonene substrates, and explore their roles in catalysis and biological activity. Full article
Show Figures

Graphical abstract

36 pages, 3007 KB  
Review
Calcium Oxide Nanoparticles as Green Nanocatalysts in Multicomponent Heterocyclic Synthesis: Mechanisms, Metrics, and Future Directions
by Surtipal Sharma, Ruchi Bharti, Monika Verma, Renu Sharma, Adília Januário Charmier and Manas Sutradhar
Catalysts 2025, 15(10), 970; https://doi.org/10.3390/catal15100970 - 11 Oct 2025
Cited by 1 | Viewed by 1282
Abstract
The growing demand for sustainable and efficient synthetic methodologies has brought nanocatalysis to the forefront of modern organic chemistry, particularly in the construction of heterocyclic compounds through multicomponent reactions (MCRs). Among various nanocatalysts, calcium oxide nanoparticles (CaO NPs) have gained significant attention because [...] Read more.
The growing demand for sustainable and efficient synthetic methodologies has brought nanocatalysis to the forefront of modern organic chemistry, particularly in the construction of heterocyclic compounds through multicomponent reactions (MCRs). Among various nanocatalysts, calcium oxide nanoparticles (CaO NPs) have gained significant attention because of their strong basicity, thermal stability, low toxicity, and cost-effectiveness. This review provides a comprehensive account of the recent strategies using CaO NPs as heterogeneous catalysts for the green synthesis of nitrogen- and oxygen-containing heterocycles through MCRs. Key reactions such as Biginelli, Hantzsch, and pyran annulations are discussed in detail, with emphasis on atom economy, reaction conditions, product yields, and catalyst reusability. In many instances, CaO NPs have enabled solvent-free or aqueous protocols with high efficiency and reduced reaction times, often under mild conditions. Mechanistic aspects are analyzed to highlight the catalytic role of surface basic sites in facilitating condensation and cyclization steps. The performance of CaO NPs is also compared with other oxide nanocatalysts, showcasing their benefits from green metrics evaluation like E-factor and turnover frequency. Despite significant progress, challenges remain in areas such as asymmetric catalysis, industrial scalability, and catalytic stability under continuous use. To address these gaps, future directions involving doped CaO nanomaterials, hybrid composites, and mechanochemical approaches are proposed. This review aims to provide a focused and critical perspective on CaO NP-catalyzed MCRs, offering insights that may guide further innovations in sustainable heterocyclic synthesis. Full article
Show Figures

Figure 1

16 pages, 3583 KB  
Article
Flipping Motion of the Alkylene Bridge in cis-[N,N′-Pentamethylenebis(iminomethylazolato)]M(II) Complexes (M = Pt, Pd) with Hydrogen-Bond-like M···H–C Interactions
by Soichiro Kawamorita, Mitsuhiro Nishino, Ngoc Ha-Thu Le, Kazuki Nakamura and Takeshi Naota
AppliedChem 2025, 5(4), 25; https://doi.org/10.3390/appliedchem5040025 - 30 Sep 2025
Viewed by 666
Abstract
Hydrogen-bond-like M···H–C interactions in square-planar d8 metal complexes have recently gained attention as structure-directing elements and design motifs in asymmetric catalysis. In this study, we explore these weak interactions not as static features, but as key modulators of molecular motion. We synthesized [...] Read more.
Hydrogen-bond-like M···H–C interactions in square-planar d8 metal complexes have recently gained attention as structure-directing elements and design motifs in asymmetric catalysis. In this study, we explore these weak interactions not as static features, but as key modulators of molecular motion. We synthesized four cis-[N,N′-pentamethylenebis(iminomethylazolato)]M(II) (M = Pt, Pd), including iminomethyl-2-imidazole, iminomethyl-5-imidazole, and iminomethylpyrrolato Pt(II) complexes and an iminomethylpyrrolato Pd(II) analog. All complexes display reversible flipping of the alkylene bridge across the coordination plane, with the M···H–C interaction alternately engaging from above or below. This dynamic motion was characterized by variable-temperature 1H NMR spectroscopy, revealing activation parameters for the flipping process. X-ray crystallography confirmed geometries consistent with hydrogen-bond-like interactions, while NBO analysis based on DFT calculations provided insight into their electronic nature. Interestingly, although Pt and Pd display comparable M···H–C distances, solvent effects dominate the flipping kinetics over metal identity. These findings highlight the role of hydrogen-bond-like M···H–C interactions not only in structural stabilization, but also in regulating conformational dynamics. Full article
(This article belongs to the Special Issue Organic Synthesis: Novel Catalysts, Strategies, and Applications)
Show Figures

Figure 1

17 pages, 2407 KB  
Article
New Aluminum Complexes with an Asymmetric Amidine–Imine Ligand: Synthesis, Characterization, and Application in Catalysis
by Fernando Gómez Zamorano, María José Rojas, Sonia Mallet-Ladeira, Alan R. Cabrera, Jordan Garo, Jean-Marc Sotiropoulos, Eddy Maerten, David Madec and René S. Rojas
Molecules 2025, 30(19), 3842; https://doi.org/10.3390/molecules30193842 - 23 Sep 2025
Cited by 1 | Viewed by 809
Abstract
In this work, a new asymmetric amidine–imine ligand, using 1,8-diaminonaphthalene as a rigid platform, was synthesized and characterized, and its ability to form complexes with aluminum(III) was investigated. Several aluminum complexes were synthesized and characterized in solution and in the solid state. The [...] Read more.
In this work, a new asymmetric amidine–imine ligand, using 1,8-diaminonaphthalene as a rigid platform, was synthesized and characterized, and its ability to form complexes with aluminum(III) was investigated. Several aluminum complexes were synthesized and characterized in solution and in the solid state. The synthesis of a dihalogenated aluminum(III) complex (AlI2L) using a reducing agent revealed an atypical pathway, which was investigated using Density Functional Theory (DFT). The dimethylated aluminum complex AlMe2L and the dihalogenated aluminum complex AlI2L were evaluated as catalysts for the transformation of CO2 and epoxides into cyclic carbonates in the presence of Bu4NI as a co-catalyst or in a single-component system, respectively. AlMe2L/Bu4NI appeared to be the most efficient system under 1 bar of CO2 at 90 °C. Full article
(This article belongs to the Special Issue Design, Synthesis, and Catalytic Applications of Metal Complexes)
Show Figures

Figure 1

78 pages, 8469 KB  
Review
Chiral Copper Catalysis in Enantioselective Domino Reactions
by Hélène Pellissier
Molecules 2025, 30(17), 3654; https://doi.org/10.3390/molecules30173654 - 8 Sep 2025
Viewed by 1562
Abstract
This review updates the field of enantioselective copper-catalysed domino reactions promoted by chiral green copper catalysts, covering the literature since 2017. These complexes are derived from a diversity of chiral ligands, including mostly bisoxazolines and biphosphines along with monophosphines, N-heterocyclic carbenes, proline [...] Read more.
This review updates the field of enantioselective copper-catalysed domino reactions promoted by chiral green copper catalysts, covering the literature since 2017. These complexes are derived from a diversity of chiral ligands, including mostly bisoxazolines and biphosphines along with monophosphines, N-heterocyclic carbenes, proline derivatives, phosphoric acids, phosphoramidates, and different types of N,N-ligands. The review shows that asymmetric copper catalysis, that suits the growing demand for greener processes, offers a real opportunity to replace toxic and expensive metals in the near future. Full article
(This article belongs to the Special Issue Applied Innovative Insights in Selective Organic Hetero-Synthesis)
Show Figures

Graphical abstract

Back to TopTop