molecules-logo

Journal Browser

Journal Browser

Design, Synthesis, and Catalytic Applications of Metal Complexes

A special issue of Molecules (ISSN 1420-3049). This special issue belongs to the section "Applied Chemistry".

Deadline for manuscript submissions: closed (31 December 2025) | Viewed by 5866

Special Issue Editor


E-Mail Website
Guest Editor
School of Materials Science and Engineering, Tianjin University of Technology, Tianjin 300384, China
Interests: electrocatalysis; transition metal complex; nanomaterial; graphdiyne
Special Issues, Collections and Topics in MDPI journals

Special Issue Information

Dear Colleagues,

Metal complexes with sterically demanding ligands have long shown great potential for application in a wide range of fields, especially in catalysis. The synthesis and characterization of these challenging molecules with unique features have helped to elucidate catalytic processes for optimizing the catalysts. Metal complexes as molecular catalysts have the advantage of synthetic control over steric and electronic properties in the vicinity of the active sites. In recent years, researchers have moved towards exploiting these highly reactive complexes to achieve a range of catalysis in OER, HER, CO2RR, NRR, water splitting, etc.

This Special Issue presents research on the chemistry of metal complexes, as well as other metal-based materials relevant to catalysis in various fields.

Prof. Dr. Mei Wang
Guest Editor

Manuscript Submission Information

Manuscripts should be submitted online at www.mdpi.com by registering and logging in to this website. Once you are registered, click here to go to the submission form. Manuscripts can be submitted until the deadline. All submissions that pass pre-check are peer-reviewed. Accepted papers will be published continuously in the journal (as soon as accepted) and will be listed together on the special issue website. Research articles, review articles as well as short communications are invited. For planned papers, a title and short abstract (about 250 words) can be sent to the Editorial Office for assessment.

Submitted manuscripts should not have been published previously, nor be under consideration for publication elsewhere (except conference proceedings papers). All manuscripts are thoroughly refereed through a single-blind peer-review process. A guide for authors and other relevant information for submission of manuscripts is available on the Instructions for Authors page. Molecules is an international peer-reviewed open access semimonthly journal published by MDPI.

Please visit the Instructions for Authors page before submitting a manuscript. The Article Processing Charge (APC) for publication in this open access journal is 2700 CHF (Swiss Francs). Submitted papers should be well formatted and use good English. Authors may use MDPI's English editing service prior to publication or during author revisions.

Keywords

  • metal complex
  • metal-based material
  • catalysis: electrocatalysis, photocatalysis, thermocatalysis

Benefits of Publishing in a Special Issue

  • Ease of navigation: Grouping papers by topic helps scholars navigate broad scope journals more efficiently.
  • Greater discoverability: Special Issues support the reach and impact of scientific research. Articles in Special Issues are more discoverable and cited more frequently.
  • Expansion of research network: Special Issues facilitate connections among authors, fostering scientific collaborations.
  • External promotion: Articles in Special Issues are often promoted through the journal's social media, increasing their visibility.
  • Reprint: MDPI Books provides the opportunity to republish successful Special Issues in book format, both online and in print.

Further information on MDPI's Special Issue policies can be found here.

Published Papers (3 papers)

Order results
Result details
Select all
Export citation of selected articles as:

Research

17 pages, 2407 KB  
Article
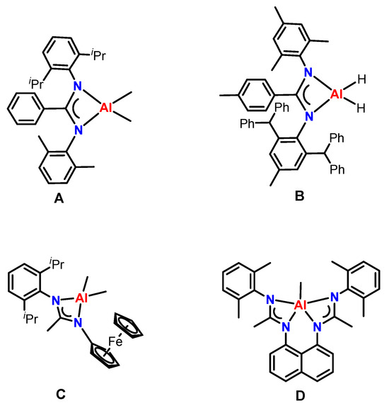
New Aluminum Complexes with an Asymmetric Amidine–Imine Ligand: Synthesis, Characterization, and Application in Catalysis
by Fernando Gómez Zamorano, María José Rojas, Sonia Mallet-Ladeira, Alan R. Cabrera, Jordan Garo, Jean-Marc Sotiropoulos, Eddy Maerten, David Madec and René S. Rojas
Molecules 2025, 30(19), 3842; https://doi.org/10.3390/molecules30193842 - 23 Sep 2025
Cited by 1 | Viewed by 1203
Abstract
In this work, a new asymmetric amidine–imine ligand, using 1,8-diaminonaphthalene as a rigid platform, was synthesized and characterized, and its ability to form complexes with aluminum(III) was investigated. Several aluminum complexes were synthesized and characterized in solution and in the solid state. The [...] Read more.
In this work, a new asymmetric amidine–imine ligand, using 1,8-diaminonaphthalene as a rigid platform, was synthesized and characterized, and its ability to form complexes with aluminum(III) was investigated. Several aluminum complexes were synthesized and characterized in solution and in the solid state. The synthesis of a dihalogenated aluminum(III) complex (AlI2L) using a reducing agent revealed an atypical pathway, which was investigated using Density Functional Theory (DFT). The dimethylated aluminum complex AlMe2L and the dihalogenated aluminum complex AlI2L were evaluated as catalysts for the transformation of CO2 and epoxides into cyclic carbonates in the presence of Bu4NI as a co-catalyst or in a single-component system, respectively. AlMe2L/Bu4NI appeared to be the most efficient system under 1 bar of CO2 at 90 °C. Full article
(This article belongs to the Special Issue Design, Synthesis, and Catalytic Applications of Metal Complexes)
Show Figures

Figure 1

14 pages, 5324 KB  
Article
Electrocatalytic CO2 Reduction Coupled with Water Oxidation by bi- and Tetranuclear Copper Complexes Based on di-2-pyridyl Ketone Ligand
by Siyuan Yang, Tian Liu, Wenbo Huang, Chengwen Zhang and Mei Wang
Molecules 2025, 30(7), 1544; https://doi.org/10.3390/molecules30071544 - 31 Mar 2025
Viewed by 1361
Abstract
In the field of sustainable energy conversion and storage technologies, copper-based complexes have become a research hotspot due to their efficient and stable catalytic performance. The development of bifunctional catalysts that can simplify catalytic steps, enhance efficiency, and reduce catalyst usage has become [...] Read more.
In the field of sustainable energy conversion and storage technologies, copper-based complexes have become a research hotspot due to their efficient and stable catalytic performance. The development of bifunctional catalysts that can simplify catalytic steps, enhance efficiency, and reduce catalyst usage has become an important research area. In this study, we successfully synthesized two copper complexes with different geometries utilizing di(2-pyridyl) ketone as the ligand, [CuII2L2Cl2]·0.5H2O (1) and [Cu4IIL4(OCH3)2](NO3)2 (2) (L = deprotonated methoxy-di-pyridin-2-yl-methanol), which can serve as homogeneous electrocatalysts for water oxidation and CO2 reduction simultaneously. The turnover frequency (TOF) of complexes 1 and 2 for electrocatalytic water oxidation are 7.23 s−1 and 0.31 s−1 under almost neutral condition (pH = 8.22), respectively. Meanwhile, the TOF of complexes 1 and 2 for the catalytic reduction of CO2 to CO are 4.27 s−1 and 8.9 s−1, respectively. In addition, both complexes remain essentially unchanged during the electrocatalytic water oxidation and electrocatalytic CO2 reduction processes, demonstrating good stability. Structural analysis reveals that the distinct catalytic efficiencies originate from their geometric configurations: the binuclear structure of complex 1 facilitates proton-coupled electron transfer during water oxidation, whereas the tetranuclear architecture of complex 2 enhances CO2 activation. Complexes 1 and 2 represent the first two copper molecular electrocatalysts capable of catalyzing both water oxidation and CO2 reduction. The findings in this work can open up new avenues for the advancement of artificial photosynthesis simulation and the development of bifunctional catalysts for water oxidation and CO2 reduction. Full article
(This article belongs to the Special Issue Design, Synthesis, and Catalytic Applications of Metal Complexes)
Show Figures

Figure 1

20 pages, 3132 KB  
Article
Homo- and Heterogeneous Benzyl Alcohol Catalytic Oxidation Promoted by Mononuclear Copper(II) Complexes: The Influence of the Ligand upon Product Conversion
by Larissa Chimilouski, William H. Slominski, Ana I. Tillmann, Daniella Will, Aaron M. dos Santos, Giliandro Farias, Edmar Martendal, Karine P. Naidek and Fernando R. Xavier
Molecules 2024, 29(11), 2634; https://doi.org/10.3390/molecules29112634 - 3 Jun 2024
Cited by 7 | Viewed by 2677
Abstract
The catalytic properties of three copper complexes, [Cu(en)2](ClO4)2 (1), [Cu(amp)2](ClO4)2, (2) and [Cu(bpy)2](ClO4)2 (3) (where [...] Read more.
The catalytic properties of three copper complexes, [Cu(en)2](ClO4)2 (1), [Cu(amp)2](ClO4)2, (2) and [Cu(bpy)2](ClO4)2 (3) (where en = ethylenediamine, amp = 2-aminomethylpyridine and bpy = 2,2′-bipyridine), were explored upon the oxidation of benzyl alcohol (BnOH). Maximized conversions of the substrates to their respective products were obtained using a multivariate analysis approach, a powerful tool that allowed multiple variables to be optimized simultaneously, thus creating a more economical, fast and effective technique. Considering the studies in a fluid solution (homogeneous), all complexes strongly depended on the amount of the oxidizing agent (H2O2), followed by the catalyst load. In contrast, time seemed to be statistically less relevant for complexes 1 and 3 and not relevant for 2. All complexes showed high selectivity in their optimized conditions, and only benzaldehyde (BA) was obtained as a viable product. Quantitatively, the catalytic activity observed was 3 > 2 > 1, which is related to the π-acceptor character of the ligands employed in the study. Density functional theory (DFT) studies could corroborate this feature by correlating the geometric index for square pyramid Cu(II)-OOH species, which should be generated in the solution during the catalytic process. Complex 3 was successfully immobilized in silica-coated magnetic nanoparticles (Fe3O4@SiO2), and its oxidative activity was evaluated through heterogenous catalysis assays. Substrate conversion promoted by 3-Fe3O4@SiO2 generated only BA as a viable product, and the supported catalyst’s recyclability was proven. Reduced catalytic conversions in the presence of the radical scavenger (2,2,6,6-tetrametil-piperidi-1-nil)oxil (TEMPO) indicate that radical and non-radical mechanisms are involved. Full article
(This article belongs to the Special Issue Design, Synthesis, and Catalytic Applications of Metal Complexes)
Show Figures

Graphical abstract

Back to TopTop