Abstract
Chiral coordination compounds are of growing interest due to their structural diversity and wide applicability. Besides chirality, alcohol and especially oxime-functionalized limonene derivatives confer water solubility, stability, and the appropriate reactivity to enable their use in asymmetric catalysis—such as allylic substitution, alkynylation, transfer hydrogenation, and selective C–C bond formation. Biologically, they have shown promising anticancer, antibacterial, and antibiofilm activity. This review presents an integrated overview of the synthesis, properties, and applications of chiral transition metal complexes featuring ligands derived from inexpensive, naturally occurring R- and S-limonene substrates, and explore their roles in catalysis and biological activity.
Keywords:
terpene; limonene; oxime; chiral; metal complexes; asymmetric catalysis; biological activity 1. Introduction
Nature is recognized as a high-class synthetic chemist, creating a vast array of chiral substrates with a high degree of stereochemical purity. Together with carbohydrates and amino acids, terpenes and their derivatives have played a significant role in modern chemistry. Terpenes are natural products built from repeating five-carbon isoprene units (C5H8) that are joined in characteristic patterns. This structural principle, known as the isoprene rule, gives rise to a wide range of hydrocarbons, which are classified as mono, sesqui-, or di-terpenes, depending on the number of assembled units. From their widespread use as flavors and fragrances to their roles as small chiral molecules with a variety of potential applications, these compounds are deeply embedded in daily life []. Beyond their medicinal applications [,,,,], terpenes have become indispensable in contemporary chemistry as inexpensive and renewable sources of chirality, precursors in organic synthesis, biochemical messengers, potential biofuels, and building blocks for materials science [,,,,]. They constitute a fundamental part of the so-called “chiral pool”: nature’s readily available reservoir of enantiomerically enriched molecules []. Despite the structural and functional diversity that makes them valuable resources for the development of chiral ligands in transition metal coordination chemistry, their potential in metal complex design remains underexplored. Furthermore, only a few reviews have addressed this topic, underscoring the need to highlight recent developments and future opportunities in this area [,,].
Without intending to provide a comprehensive survey of all available data, this minireview aims to summarize those results on the synthesis, the structural properties, and reactivity of chiral metal complexes containing limonene-derived chiral ligands, giving a special emphasis to their roles in catalysis and biological applications, and highlighting their potential in modern organic and medicinal applications.
Limonene, a chiral monoterpene that exists in nature as the two pure enantiomers (R)-(+)-limonene and (S)-(−)-limonene, serves as an excellent precursor for ligand design. Both enantiomers exhibit distinct chemical and biological properties, and the possibility of having stereoselective modification procedures available to afford pure optically active ligands able to coordinate to different transition metals open innovative applications in asymmetric synthesis and medicinal chemistry [].
2. Limonene-Derived Ligands Precursors
The strategic functionalization of limonene to incorporate metal-coordinating groups preserving its enantiomeric excess is essential for the development of chiral metal complex synthesis derived from these natural products. The following section intends to highlight certain modifications of limonene specifically aimed at producing systems capable of acting as chelating ligands for transition metal complexes. A comprehensive survey of the literature related to terpenes-derived ligands was reported in 2019 by Zalevskaya et al. [].
The addition of nitrosyl chloride to one of the two double bonds of limonene affords α-nitroso β-chloride derivatives, which can be easily transformed, stereoselectively, into α-amino β-oximes compounds through a nucleophilic substitution reaction with amines [,,,,,,], resulting in the synthesis of a series of chiral compounds 1–19 derived from R- or S-limonene (Figure 1 and Figure 2).

Figure 1.
Chemical structures of limonene-derived amino-oxime ligands 1–11.

Figure 2.
Structures of limonene-derived diaminodioxime derivatives 12–19.
Such amino oxime chiral derivatives can coordinate to metal centers through the nitrogen atoms of the oxime and amine functions. Notably, oxime functions are versatile frameworks that have found extensive use in medicine [,], catalysis, and synthesis [,]. Over the past 20 years it has been well recognized that a variety of molecules containing oximes are responsible for several pharmacological activities, including antimicrobial, anticancer, anti-inflammatory, antihyperglycemic, insecticidal, and antioxidant activities [,]. In addition, oxime derivatives serve as versatile ligands in coordination chemistry, due to their ability to coordinate through N, O, or both, leading to bidentate or bridged coordination modes [,,]. Also, they exhibit stronger hydrogen-bonding abilities than alcohols or carboxylic acids and have attracted significant interest due to their role in directional, noncovalent intermolecular interactions. Moreover, this hydrogen-bonding capacity can enhance the solubility of the resulting metal complexes in water or alcohols [,].
Expanding the approach to more complex amines allowed the preparation of potential polydentate ligands, such as compounds 6 [] and 8–11 [,]. Recently, Kokina et al. accomplished the synthesis of 9 and 10 (Figure 1) which have shown photoluminescent properties, both free and coordinated to metals such as Zn(II), Cd(II), and Cu(II) [,,]. The functionalization of the oxime moiety through the reaction with 2-(bromomethyl)pyridine, led to the synthesis of the O-picolyl ether derivative 10. The incorporation of additional donor sites not only enhanced the ligands coordination properties but also broadens the structural and functional diversity of limonene-derived frameworks, providing new opportunities in coordination chemistry.
Ethylenediamine (EDA) serves as an effective ligand in the synthesis of metal chelates. The synthesis of a variety of terpene derivatives of EDA has already been reviewed somewhere else []. Following an analogous procedure as that described above for α-amino oximes, Savel’eva et al. used EDA as the nucleophile to prepare tetradentate diamino dioxime 12 (Figure 2). This same reactivity allows the sequential introduction of different moieties into the EDA to produce, stereoselectively, unsymmetrical diamino dioximes such as 13 (Figure 2) [].
Propylenediamine was used in place of EDA to introduce greater flexibility via an additional methylene group between the NH functions. This led to symmetrical derivative 14, and to unsymmetrical 15 and 16, combining carene or pinene with limonene-derived fragments []. These works also report the mononuclear corresponding complexes of Co(II), Co(III), Ni(II), and Cu(II) that were successfully synthesized from the diamine dioximes described herein. The selection of piperazine as the diamine of choice allowed to further expand the repertoire of tetradentate potential ligands to 17 [], and analogously, the use of xylylenediamine and 4,4′- methylenedianiline leads to derivatives 18 [] and 19 [], reported together with their dinuclear Pd(II) compounds.
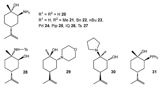
An alternative to functionalization of limonene involves the stereoselective epoxide ring opening reaction that takes place with commercial amines from cis- or trans-limonene oxide, to yield a series of β-amino alcohols, 20–30 (Figure 3) [,]. Additionally, the ring opening of trans-(R)-limonene oxide using lithium diphenylphosphide led to the formation of the phosphan-yl alcohol compound 31 (Figure 3) [].

Figure 3.
Alcohol-amino and -phospane compounds prepared from limonene oxide.
Direct N-tosylaziridination of naturally available (R)-(+)-limonene was employed in the diastereoselective synthesis of monotosylated diamine compounds 32–34, 32a–34a (Figure 4) [,]. Notably, a tridentate N,N,N coordinating compound (compound 35) was synthesized by Kokina et al. and demonstrated interesting luminescent properties [].

Figure 4.
Monotosylated diamine compounds 32–35.
3. Transition Metal Complexes Containing Limonene-Derived Ligands
3.1. Titanium Compounds
Kuchin et al. were the first to evaluate the ability of titanium to coordinate to a variety of chiral terpene-derived alcohols []; the approach was later extended to the in situ preparation of Ti(IV) catalysts active in the asymmetric oxidation of sulfides []. Later on, further examples of Ti(IV) with α-pinene and camphor-modified ligands appeared in the literature [,,].
To the best of our knowledge, the first examples of limonene-derived ligands coordinated to a group 4 metal was the family of mono and bis-cyclopentadienyl enantiopure α-phenylamino, benzylamino, and 2-picolylamino oximato compounds of Ti(IV) reported in 2016 and 2018 [,]. The crystal structure analyses of two of them demonstrated the preferential binding of the oximato group to the hard acidic Ti(IV) center of 36 (Figure 5) via dihapto kN,kO coordination. Metallic oximatos exhibit the tendency to change their coordination mode from side-on to end-on or bridging, depending on the steric demand and chemical composition of the central metal [,,,,]. Thus, the high steric demand of the limonene residual moiety forces, in compound 37 and 37′, to a monodentate kO coordination of the oxime, representing the first example of the kind with a unique terminal monohapto TikO coordination []. This type of coordination could explain the rapid hydrolysis observed for compounds 37 and 37′ in aqueous solution. In contrast, dihapto titanocene oximato complexes of the type [(η5-C5H5)2Ti(H2O)(κ2-O=NR)]+ (R = CMe2; C6H10), described by Thewalt and co-workers, were reported to be stable in both air and water [].

Figure 5.
Mono and bis-cyclopentadienyl Ti(IV) compounds with limonene-derived oximato ligands.
The absolute configuration of the compounds 36, 37, and 37′ was also confirmed through their X-ray structure. The synthesis with corresponding R- and S-limonene-derived amino oximes allowed access to enantiopure bis-cyclopentadienyl titanium compounds. The studies on their behavior in D2O at different pD values were also reported. These cyclopentadienyl Ti(IV) compounds were rapidly hydrolyzed in water, affording corresponding free ammonium-oxime derivative and cationic cyclopentadienyl Ti aquo derivatives [,].
De la cueva et al. [] also reported the synthesis of a novel Ti/Pd heterometallic derivative 38 (Figure 5), from the reaction of 37 and [Pd(COD)Cl2]. The coordination of the amino group to the palladium center could result in the formation of different stereoisomers but the characterization data indicated the presence of only one diastereomer in solution. Such stereoselective coordination of chiral chelating ligands derived from natural terpenes has been previously reported, this ability being one of the most interesting features found in their related chemistry [,,].
Since the groundbreaking introduction of cisplatin (cis-diaminedichloroplatinum(II)) by Barnett Rosenberg in the 1960s as the first inorganic chemotherapeutic agent, there has been sustained interest in the development of metal-based drugs with improved therapeutic profiles and reduced side effects [,]. Titanium (IV) compounds were the first non-platinum-based metallodrugs to enter clinical trials for cancer treatment [] and some modified titanocenes have shown great therapeutic promise [,]. For these reasons, this new family of titanium(IV) complexes were investigated for their potential anticancer activity, demonstrating promising cytotoxic effects against prostate cancer cell lines PC-3 and DU-145; some of them, especially 37, outperformed the successful Tacke’s Titanocene-Y (bis-[(p-methoxybenzyl)cyclopentadienyl]titanium(IV) dichloride) []. Despite undergoing hydrolysis under physiological conditions, the complexes exhibited synergistic effects when compared to equivalent doses of titanocene dichloride and the corresponding free amino-oxime ligands. Evaluation of isolated enantiomers revealed no marked differences in cytotoxicity across the tested cancer cell lines, with the exception of PC-3. The bis(cyclopentadienyl) derivatives were apoptotic in Caki-1 cancer cell lines, and remarkably, they affect cell adhesion and migration processes of the PC-3 cell line. They also demonstrated a degree of selectivity against non-malignant RWPE-1 prostate cells. Investigations into their DNA-binding behavior, using equilibrium dialysis, FRET melting assays, and viscometry, indicated that both the parent complexes and their hydrolysis products associate with DNA through minor groove binding or external interactions. These interactions appear to be independent of the ligand’s chirality and exhibit minimal affinity at physiological pH.
3.2. Iron and Ruthenium Compounds
A variety of chiral Fe and Ru derivatives containing terpene-modified ligands are known []. More recently, stereogenic-at-metal compounds have also been prepared from pinene-derived pyridyl triazole ligand [] and others terpene-fused terpyridines [], and found interesting applications in asymmetric catalysis such as the enantioselective nitrene-mediated ring closing amidation.
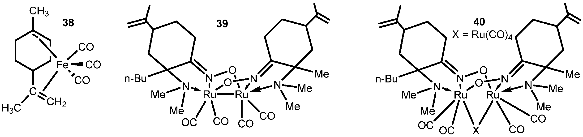
Regarding limonene-derived systems, a tricarbonyl limonene Fe(0) derivative 38 was prepared in 1984 (Figure 6), [] which was later the entry to prepare a variety of carbene Fe complexes that exhibit a rich reactivity []. The limonene ligand is coordinated to the Fe(CO)3 moiety of these compounds through both nonconjugated cyclic and acyclic double bonds.

Figure 6.
Synthesis of Fe- and Ru-carbonyl complexes containing limonene-derived amino-oxime 2.
In 2009, Kirin and co-workers reported the synthesis of carbonyl cluster Ru(II) complexes via the reaction of α-amino oxime 2 with the metal precursor Ru3(CO)12. At elevated temperatures, this reaction yields the binuclear compound 39 (Figure 6) as a 2:1 mixture of diastereomers, representing an example of κN:κO bridge coordination by the oxime unit. When the reaction is carried out at room temperature in the presence of a base, both bi- and trinuclear complexes 39 and 40 are formed []. X-ray diffraction analysis of compound 39 confirmed a “head-to-tail” bridging mode of oxime coordination. The observed Ru–Ru and N–O bond lengths were consistent with those reported in structurally related compounds featuring similar ligand coordination modes [].
A series of α-amino-oxime ruthenium derivatives 41–46 based on limonene were actively investigated by us [,,,]. The reaction of enantiomerically pure α-amino oximes 4, 5 (and their corresponding enantiomers), and 6 with the [RuCl2(p-cymene)]2 precursor leads to the diastereoselective formation of chiral-at-metal derivatives 41, 42 and 42′, and 43 [] (Figure 7). Suitable crystals for X-ray analysis of the cationic complex 42′ confirmed the configuration SRuRN-(2S,5R) and the kN coordination of the oxime group in this piano-stool structure with pseudo-octahedral coordination around the metal center. Remarkably, these cationic Ru(II) compounds are configurationally stable, and do not suffer epimerization processes in solution under the conditions tested []. In contrast with the syntheses of 41 and 42, compound 43 was obtained as a mixture of two diastereomers in a 2:1 molar ratio, showing that the tricoordination potential of derivative 6 was important in diastereoselective control. Interestingly, derivatives 41, 42 and 42′, and 43 have demonstrated solubility and stability in D2O for weeks at room temperature.

Figure 7.
Limonene-derived ligands coordinated to arene ruthenium compounds.
The oxime moiety of these compounds can be deprotonated with KOH, allowing the formation of zwitterionic compounds 44 and 45 (Figure 7). Their molecular structures were established by X-ray diffraction [], revealing a “piano-stool” arrangement, and confirming a kN coordination of the oxime unit. These derivatives, together with the Ru-hydrido derivative 46 (Figure 7) were detected as intermediates during the transfer hydrogenation process of acetophenone in isopropanol catalyzed by Ru compounds 41 and 42 formed in situ [,] (Figure 8).

Figure 8.
Transfer hydrogenation of acetophenone catalyzed by Ru(II) derivatives. L* is a chiral amino oxime ligand.
Chiral ruthenium compounds have been extensively studied for their excellent catalytic properties in the asymmetric transfer hydrogenation (ATH) catalysis of a variety of substrates [,,]. Nobel laureate Prof. Noyori developed a highly active catalytic system with amine chiral ligands, and it is well recognized that the Ru–H/–NH motif plays a crucial role in generating highly catalytic hydrogenation reactivities [,].
First examples of the use of terpene-based ligands as chiral auxiliaries for ATH appeared in 1981 [] and have been reviewed by Zalevskaya et al. []. β-amino alcohol derivatives proved to be one of the most effective chiral auxiliaries for asymmetric transfer hydrogenations catalyzed by transition metal compounds. Watts et al. showed, already in 2006, [,] that limonene-based β-amino alcohols can be used as ligands for catalytic ATH. Within this context, catalysts prepared in situ from proligands 20–24 of Figure 3 and arene Ru(II) precursors proved to be active in the process, especially the catalyst formed from compound 20 resulted to be highly effective in the asymmetric hydrogenation of acetophenone, with conversions of 99% and 50% ee.
In accordance with those previous results, the α-amino oxime derivatives 3–6 were evaluated in the ruthenium-catalyzed transfer hydrogenation of acetophenone by Ibn El Alami et al. [,], using a variety of [RuCl2(arene)]2 precursors in situ. All systems proved to be active in the asymmetric transfer hydrogenation of acetophenone. The best activity was achieved by [RuCl2(benzene)]2 and the 2-picolylamino-oxime 6 (Ru compound 41), reaching a 94% conversion of the acetophenone. The highest enantioselectivity (80% ee) was observed with ligand 5, (Ru precursor 42) with a 92% conversion. The authors also contributed to the elucidation of the mechanism followed by these compounds.
The same year, Roszkowski and co-workers reported the asymmetric transfer hydrogenation of aromatic ketones catalyzed by chiral Ru(II) complexes prepared in situ by mixing [RuCl2(benzene)]2 or [RuCl2(p-cymene)]2 with (+)-(R)-limonene-derived tosylamines 32–34 and 32a–34a (Figure 4) [,]. Conversion and enantioselectivity were found to be highly influenced by the nature of the ligands and of the arene moiety of Ru(II) precursors. The best results of the reduction in aromatic ketones were obtained using catalysts derived from ligands 32 and 33. Additionally, a similar asymmetric hydrogen transfer protocol using 32–34 as pro-ligands was performed for selected endocyclic imines, where good to excellent results were obtained.
Among other metals, ruthenium complexes emerged as successful anticancer candidates, leading to the synthesis and extensive evaluation of numerous Ru-based systems for their cytotoxic properties against a broad spectrum of cancer models [,,,]. In this context, compounds 41–43 were subjected to biological testing, revealing that 42 and its enantiomer 42′ exhibited better cytotoxic activities than cisplatin in prostate cancer PC-3 cells after short times of incubation. Evaluation of compound–DNA interactions revealed that these Ru complexes associate with double-stranded DNA through external electrostatic forces and/or groove binding. Also, 42 was able to modulate the metastatic phenotype of PC-3 cells. In xenograft studies, compound 42 achieved a 45% reduction in tumor growth and was associated with the downregulation of proteins involved in angiogenesis and cell motility in prostate tumors [,].
The growing demand for new antimicrobial agents to combat antibiotic-resistant bacteria has sparked considerable interest in terpene-based compounds, valued for their bio-based origin, sustainability, and innovative potential [,]. Limonene has demonstrated antimicrobial activity, making it an attractive ligand for metal-based drug design [].
Khelissa et al. [] investigated the antibacterial and antibiofilm properties of compound 42 in both its free and maltodextrin microencapsulated forms, comparing its performance to that of enantiopure (R)-limonene. The complex demonstrated strong activity against biofilms formed by major foodborne pathogens—Escherichia coli, Staphylococcus aureus, Enterococcus faecalis, and Listeria monocytogenes—exhibiting significantly greater antimicrobial efficacy than free amino oxime derivative and limonene. In particular, the minimum inhibitory concentration (MIC) of 42 (0.4 mg/mL) was approximately 30 times lower than that of limonene (12.5 mg/mL). The microencapsulated form of 42 has shown to be a promising alternative to conventional antimicrobial agents [], showing enhanced antibiofilm activity, with up to a 90% reduction in biomass, especially against E. coli, S. aureus, and L. monocytogenes. Additionally, it caused more pronounced membrane disruption and K+ leakage in E. coli than the free form.
3.3. Cobalt Compounds
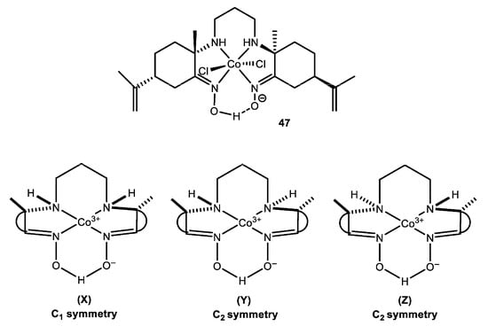
The incorporation of terpene-based ligands to cobalt complexes have allowed the synthesis of paramagnetic Co(II) [] and diamagnetic Co(III) complexes [] through reactions of corresponding cobalt salts with chiral diaminodioxime derivatives derived from chiral derivatives of natural terpenes, such as pinene, carene, and limonene (compound 47, Figure 9).

Figure 9.
Co(III) complex with optically active diaminodioxime systems derived from limonene.
X-ray diffraction analysis of the crystal structure of complex 47 demonstrated that complexation induced two new stereogenic centers at the amino N atoms, leading to three possible diastereomeric forms (X, Y, and Z) (Figure 9) for the symmetric ligand, where only the C1 symmetry is formed, which is, again, an example of diastereoselectivity facilitated by the use of chiral terpene-derived ligands.
3.4. Nickel, Palladium, and Platinum Compounds
3.4.1. Nickel
Larionov pioneered the synthesis of Ni(II) with optically active ligands derived from natural terpenes, including that from limonene, derivative 48 (Figure 10) []. X-ray diffraction studies confirmed the formation of ionic complexes of paramagnetic nature with a distorted octahedral N4O2 coordination.

Figure 10.
Chiral α-amino oxime nickel(II) complexes derived from limonene.
Recently, the Sauthier group designed and reported the structure of the first dinuclear Ni(II) complex with limonene-derived α-amino oxime ligands []. In this complex, each Ni(II) ion adopts a distorted octahedral geometry, coordinated by the three nitrogen atoms of proligand 6, a terminal chloride, and two bridging chlorides. The Ni–N and Ni–Cl bond lengths are consistent with already reported values [], with a Ni–Ni distance of 3.5198 Å. The crystal structure is stabilized by extensive hydrogen bonding, in a three-dimensional network.
3.4.2. Palladium and Platinum
Palladium plays a prominent role in organometallic chemistry, providing a crucial catalytic platform for a broad range of reactions, such as the Heck, Suzuki and Suzuki-Miyaura cross-couplings [,], Tsuji-Trost allylations, and C-H activations [,,,]. These processes enable the selective formation of carbon–carbon bonds and are essential in the synthesis of complex organic compounds. Additionally, palladium versatility extends to potential applications in biologically relevant contexts [,,], further emphasizing its significance in various scientific domains.
Most likely, chiral palladium compounds containing terpene-derived ligands are the most abundant among all the transition metals compounds prepared [,]. Back in 1970, Dunne and McOuillin were the first to synthesize and characterize a variety of π-allyl Pd(II) derivatives of a variety of non-modified monoterpenes []. Years later, Braunstein used the enantiopure limonene-derived phosphan-yl alcohol 31 to prepare a novel family of Pd(II) compounds 50–51 (Figure 11), showcasing different coordination behaviors and stereochemical properties [].

Figure 11.
Novel palladium(II) complexes with a limonene-derived phosphino alcohol ligand.
Larionov research team [,,] synthesized dinuclear palladium complexes 53–56 (Figure 12) using derivatives 12, 14, 18, and 19 (Figure 2) as ligands. The structures of these enantiomerically pure complexes were confirmed through elemental analysis and X-Ray analysis; however, in solution, more than one stereoisomer was observed by NMR spectroscopy in different ratios, due to the epimers arising from the different configuration of the stereogenic amino N. A common feature of this dichloro Pd(II) compound is the presence of strong hydrogen bonds between the oxime proton and one of the chloro ligands. This characteristic is observed in most of the oxime Pd and Pt chloro compounds structures known [,,,], due to the strong ability of the oxime functionality to produce hydrogen bonds interactions [,].

Figure 12.
Mono- and dinuclear Pd (and Pt) compounds with limonene-derived amino oxime ligands.
A variety of mononuclear palladium and platinum chloro α-amino oxime derivatives have also been reported, and their anticancer and catalytic properties in the allylation of diketones have been evaluated [,,,,]. The bidentate potential of derivatives 4 and 5 leads to compounds 57–60 obtained as a mixture of stereoisomers. When the corresponding enantiomers 4′ and 5′, formed from S-limonene, were used, corresponding Pd(II) and Pt(II) pure enantiomers 57′–60′ were also obtained. X-ray diffraction studies of all of them confirmed their absolute configurations. When the reaction between the amino oxime systems and the Pd precursors is carried out in a 2:1 molar ratio, compounds 61, 61′ and 62, 62′ were formed. In these derivatives, one of the two oxime moieties was deprotonated, forming a NO-H-ON bridge, which was confirmed also by X-ray diffraction analysis. In contrast with the stereoisomer mixture obtained in previously mentioned compounds, reaction of 6 or corresponding 6′ with the metal precursors K2MCl4 or M(COD)Cl2 (M = Pd, Pt) allowed the stereoselective formation of pure enantiomers 63, 64 or 63′, 64′, respectively, in which the 2-picolyl amino oxime derivative acts as a tricoordinated ligand.
Homrani et al. [] explored the use of in situ generated catalytic systems derived from palladium precursors and ligands 4, 5, and 6 (corresponding to derivatives 57, 58, and 63) in the metal-catalyzed allylation of various β-diketones and β-ketoesters (Figure 13). Initial studies focused on the reaction between dimethyl malonate and allyl acetate in the presence of the Pd/L catalyst system, predominantly afforded the monoallylated malonate, with only minor formation of the bis-allylated byproduct. Among the ligands evaluated, ligand 6 exhibited the highest catalytic efficiency, achieving up to 88% conversion and 69% chemoselectivity for the monoallylated product. The catalytic system also demonstrated excellent performance with other substrates, including β-diketones (100% conversion, 72% isolated yield) and β-ketoesters (up to 75% yield). Notably, ketoamides underwent allylation with high efficiency (86–100% conversion) and chemoselectivity toward the monoallylated products.

Figure 13.
Pd-catalyzed allylation of β-diketones and/or -ketoesters. Dash circles means cyclic or lineal ketones.
Considerable attention has been directed toward Pd(II) complexes as promising candidates to replace cisplatin in cancer therapy [,,]. Within this context, all compounds 57 to 64 (and 57′ to 64′) were evaluated as potential anticancer agents in vitro against human prostatic cancer PC-3, breast adenocarcinoma MCF-7, and cervical carcinoma HeLa cells. Pd compounds were always more cytotoxic than Pt(II) counterparts, and in general, chloro and dichloro compounds had low cytotoxic profiles. The Pd(II) oxime-containing complexes demonstrated a notable anticancer activity, with compounds 61 and particularly 61′ showing superior potency—up to 80-fold greater than cisplatin against PC-3 cells. Compound 61′ also displayed marked tumor selectivity (selectivity index ≈ 30) and enantiomer-dependent differences in cytotoxicity []. Remarkably, derivatives 63, 64 and 63′, and 64′ were able to modulate both adhesion and migration of PC-3 cells at concentrations that did not significantly affect cell viability []. A range of techniques were also applied to investigate compound–DNA interactions, leading to the conclusion that the complexes associate with double-stranded DNA through partial, non-classical intercalation, and/or groove binding, with palladium compounds exhibiting the strongest DNA-binding affinity.
The conjugation of a bioactive drug to a tumor-targeting biomolecule is a well-known strategy in medicinal chemistry to gain selectivity and reduce side effects. Vitamin B12 (cyanocobalamin) is highly demanded by tumor cells, making it a valuable “Trojan horse” for targeted delivery of metal-based drugs and imaging agents in cancer therapy [,,]. Thus, Pt(II) derivatives 58 and 58′ were conjugated to vitamin B12 and rhodamine-based scaffold to yield fluorescent derivatives, which were evaluated as anticancer drugs in vitro [].
3.5. Copper Compounds
First limonene-derived amino-oxime Cu(II) compounds were prepared in 2002 by Larionov et al. []. CuCl2·4H2O reacted with compound 8 (Figure 1) in a 1:1 ratio to form dinuclear chloro bridged compound 65 (Figure 14). Oxime kN,kO bridged derivative 66 was obtained instead when the ligand to metal ratio used was 2:1. Single-crystal X-ray diffraction study confirms the centrosymmetric structure of 65, with each copper in a distorted square–pyramidal geometry.

Figure 14.
Reported copper compounds with a variety of amino-oxime ligands.
Additionally, mononuclear cationic derivatives 67 and 68 are formed when propyl bridged derivative 14 is used []. Increasing the length of the linker with the methylenedianiline compound 19 permits to obtain dinuclear compound 69, in a stereoselective manner [].
A rare zwitterionic, dinuclear structure of Cu(II), 70, has also been reported from the reaction of a bis-amino oxime derivative linked by a bisiminoether bridge with CuCl2·2H2O [] (Figure 15). Very recently, Kokina et al. synthesized the mononuclear Cu(II) complex 71 and, through computational analysis, demonstrated that tricoordination is thermodynamically favored over dicoordination. The compound exhibited moderate cytotoxicity against the human breast adenocarcinoma cell line MCF-7 [].

Figure 15.
Reported copper compounds with iminoether containing ligands.
3.6. Zinc and Cadmium Compounds
There are a few examples of the synthesis and structural characterization of Zn(II) and Cd(II) complexes with chiral amino oxime ligands derived from natural terpenes, specifically from α-pinene, and the literature related was reviewed by Kokina et al. [,,].
Enantioselective additions of alkynyl zinc reagents to both aromatic and aliphatic aldehydes have been explored starting from ZnEt2, a variety of alkynes and chiral amino alcohol ligands derived from terpenes. Among the ligands tested, 30 (Figure 3) gave the best performance. Under these conditions, chiral propargylic alcohols were produced in good yields with moderate levels of enantioselectivity (Figure 16) [].

Figure 16.
Enantioselective alkynylations of aromatic and aliphatic aldehydes. Symbol * means stereogenic centers.
Glinskaya et al. published in 2012 the first structural study on a limonene-derived Zn(II) mononuclear derivative, compound 72 [] (Figure 17). The molecule shows a pentadentate coordination environment around Zn(II), which adopts a distorted square–pyramidal geometry. Intramolecular hydrogen bonding between the oxime and oximato groups reinforces the stability of the compound and enhances its rigidity.

Figure 17.
Zn(II) and Cd(II) compounds with limonene-derived ligands.
In contrast, the Zn(II) and Cd(II) complexes with tridentate amino bipyridine and O-picolyl α-amino ligands exhibit greater structural flexibility, with distorted geometries closer to trigonal bipyramidal [,,]. The molecules displayed bright-blue luminescence, and the presence of terpene-derived ligands significantly enhanced this property. Compounds 75 and 76 were found to be fluorescent and active against the HepG2 liver cancer cell line, while ligand 10 showed negligible cytotoxicity (IC50 > 50 μM). The cadmium complex 76 displayed an IC50 value of 14.3 ± 1.5 μM, almost twice as high as that of cisplatin (IC50 = 33.0 ± 5.4 μM).
4. Conclusions
A wide range of limonene-derived ligands have been stereoselectively synthesized for coordination with metal centers and as precursors in asymmetric catalysis, showing considerable promise in the enantioselective synthesis of metal complexes. When appropriately substituted, these chelating pro-ligands can yield enantiomerically pure compounds or promote diastereoselective mixtures of stereoisomers in solution. Thus, a significant number of limonene derivates, both free or coordinated to metal ions, have been synthesized and shown potential in a variety of enantioselective catalytic transformations including the transfer hydrogenation of ketones, allylation of β-diketones, and alkynylations of aromatic and aliphatic aldehydes, offering cost-effective alternative asymmetric catalytic systems.
The biological activity of chiral metal complexes based on limonene ligands has been less studied. However, it has been found that they exhibit not only promising antitumor properties against different cancer cell lines, but also significant antibacterial and antibiofilm properties against various pathogens, together with interesting luminescent properties. Further systematic research is needed to elucidate structure–property relationships and to develop innovative pharmaceutical drugs.
Looking forward, limonene-derived ligands hold promise for applications beyond traditional catalysis and medicinal chemistry. For example, their incorporation into photocatalytic systems could enable more efficient light-driven transformations, while their structural versatility may facilitate the design of unexplored bioconjugation strategies for targeted drug delivery. Additionally, their renewable and non-toxic nature positions them as attractive candidates for sustainable processes in industrial green chemistry, where cost-effective, environmentally friendly catalysts are increasingly in demand. Further exploration of these directions could expand both the synthetic and practical utility of limonene-based metal complexes.
Funding
This research was funded by Ministerio de Ciencia e Innovación (PID2019-108251RB18I00/AEI/10.13039/501100011033 and PID2023-148222OB-I00), and Universidad de Alcalá (UAH, Projects PIUAH22/CC-028, PIUAH23/CC-024).
Data Availability Statement
No new data were created or analyzed in this study.
Conflicts of Interest
The authors declare no conflicts of interest.
References
- Arroo, R. Terpenes—Flavors, Fragrances, Pharmaca, Pheromones. Appl. Organomet. Chem. 2007, 21, 377. [Google Scholar] [CrossRef]
- Diaz-Muñoz, G.; Miranda, I.L.; Sartori, S.K.; de Rezende, D.C.; Diaz, M.A.N. Use of Chiral Auxiliaries in the Asymmetric Synthesis of Biologically Active Compounds: A Review. Chirality 2019, 31, 776–812. [Google Scholar] [CrossRef] [PubMed]
- Wiles, D.; Pearson, J.S.; Beddoe, T. Harnessing Plant-Derived Terpenoids for Novel Approaches in Combating Bacterial and Parasite Infections in Veterinary and Agricultural Settings. Curr. Microbiol. 2025, 82, 134. [Google Scholar] [CrossRef] [PubMed]
- Stanková, J.; Jurášek, M.; Hajdúch, M.; Džubák, P. Terpenes and Terpenoids Conjugated with BODIPYs: An Overview of Biological and Chemical Properties. J. Nat. Prod. 2024, 87, 1306–1319. [Google Scholar] [CrossRef] [PubMed]
- Guimarães, A.C.; Meireles, L.M.; Lemos, M.F.; Guimarães, M.C.C.; Endringer, D.C.; Fronza, M.; Scherer, R. Antibacterial Activity of Terpenes and Terpenoids Present in Essential Oils. Molecules 2019, 24, 2471. [Google Scholar] [CrossRef]
- El Fannassi, Y.; Gharsallaoui, A.; Khelissa, S.; El Amrani, M.A.; Suisse, I.; Sauthier, M.; Jama, C.; Boudra, S.; Chihib, N.-E. Complexation of Terpenes for the Production of New Antimicrobial and Antibiofilm Molecules and Their Encapsulation in Order to Improve Their Activities. Appl. Sci. 2023, 13, 9854. [Google Scholar] [CrossRef]
- Brill, Z.G.; Condakes, M.L.; Ting, C.P.; Maimone, T.J. Navigating the Chiral Pool in the Total Synthesis of Complex Terpene Natural Products. Chem. Rev. 2017, 117, 11753–11795. [Google Scholar] [CrossRef]
- Hanssens, J.; Meneses, D.; Saya, J.M.; Orru, R.V.A. Terpenes and Terpenoids: How Can We Use Them? Eur. J. Org. Chem. 2025, 28, e202401151. [Google Scholar] [CrossRef]
- Rude, M.A.; Schirmer, A. New Microbial Fuels: A Biotech Perspective. Curr. Opin. Microbiol. 2009, 12, 274–281. [Google Scholar] [CrossRef]
- Maimone, T.J.; Baran, P.S. Modern Synthetic Efforts toward Biologically Active Terpenes. Nat. Chem. Biol. 2007, 3, 396–407. [Google Scholar] [CrossRef]
- El Alami, M.S.I.; El Amrani, M.A.; Agbossou-Niedercorn, F.; Suisse, I.; Mortreux, A. Chiral Ligands Derived from Monoterpenes: Application in the Synthesis of Optically Pure Secondary Alcohols via Asymmetric Catalysis. Chem. Eur. J. 2015, 21, 1398–1413. [Google Scholar] [CrossRef]
- Blaser, H.U. The Chiral Pool as a Source of Enantioselective Catalysts and Auxiliaries. Chem. Rev. 1992, 92, 935–952. [Google Scholar] [CrossRef]
- Larionov, S.V. Metal Complexes with New Types of Chiral Ligands Based on Natural Terpenes. Russ. J. Coord. Chem. 2012, 38, 1–23. [Google Scholar] [CrossRef]
- Zalevskaya, O.A.; Gur’eva, Y.A.; Kutchin, A.V. Terpene Ligands in the Coordination Chemistry: Synthesis of Metal Complexes, Stereochemistry, Catalytic Properties and Biological Activity. Russ. Chem. Rev. 2019, 88, 979–1012. [Google Scholar] [CrossRef]
- Ciriminna, R.; Lomeli-Rodriguez, M.; Demma Carà, P.; Lopez-Sanchez, J.A.; Pagliaro, M. Limonene: A Versatile Chemical of the Bioeconomy. Chem. Commun. 2014, 50, 15288–15296. [Google Scholar] [CrossRef] [PubMed]
- Gowenlock, B.G.; Richter-Addo, G.B. Preparations of C-Nitroso Compounds. Chem. Rev. 2004, 104, 3315–3340. [Google Scholar] [CrossRef] [PubMed]
- Tkachev, A.V.; Rukavishnikov, A.V.; Chibiryaev, A.M.; Denisov, A.Y.; Gatilov, Y.V.; Bagryanskaya, I.Y. Stereochemistry of α-Amino Oximes From the Monoterpene Hydrocarbons Car-3-Ene, Limonene and α-Pinene. Aust. J. Chem. 1992, 45, 1077–1086. [Google Scholar] [CrossRef]
- Carman, R.M.; Mathew, P.C.; Saraswathi, G.N.; Singaram, B.; Verghese, J. Amino Oximes from P-Menth-1-Ene, Limonene and α-Pinene. Aust. J. Chem. 1977, 30, 1323–1335. [Google Scholar] [CrossRef]
- Brecknell, D.; Carman, R.; Singaram, B.; Verghese, J. Sylvestrene Nitrosochloride and Derived Amino Oximes. Aust. J. Chem. 1977, 30, 195. [Google Scholar] [CrossRef]
- Kokina, T.E.; Glinskaya, L.A.; Klevtsova, R.F.; Boguslavskii, E.G.; Sheludyakova, L.A.; Bisyaev, S.N.; Tkachev, A.V.; Larionov, S.V. Synthesis and Properties of the Cu(II) Complexes with Chiral Bis{(E)-[(1S,4R)-Δ7,8-1-Amino-2-Para-Menthalidene]Aminohydroxy}methane (L—A Derivative of Natural Terpenoid (R)-(+)-Limonene). Crystal Structure of the [Cu(L)(μ-Cl)CuCl3] · Iso-PrOH Solvate. Russ. J. Coord. Chem. 2009, 35, 200–209. [Google Scholar] [CrossRef]
- Shabalina, I.Y.; Kirin, V.P.; Maksakov, V.A.; Virovets, A.V.; Golovin, A.V.; Agafontsev, A.M.; Tkachev, A.V. Novel Carbonyl Complexes of Ruthenium with α-Substituted Oxime Derivatives of Terpenes. Russ. J. Coord. Chem. Khimiya 2008, 34, 286–294. [Google Scholar] [CrossRef]
- Ibn El Alami, M.S.; El Amrani, M.A.; Dahdouh, A.; Roussel, P.; Suisse, I.; Mortreux, A. α-Amino-Oximes Based on Optically Pure Limonene: A New Ligands Family for Ruthenium-Catalyzed Asymmetric Transfer Hydrogenation. Chirality 2012, 24, 675–682. [Google Scholar] [CrossRef] [PubMed]
- Chandran, N.; Bose, K.; Thekkantavida, A.C.; Thomas, R.R.; Anirudhan, K.; Bindra, S.; Sura, S.; Hasan, H.A.; Kumar, S.; Rangarajan, T.M.; et al. Oxime Derivatives: A Valid Pharmacophore in Medicinal Chemistry. ChemistrySelect 2024, 9, e202401726. [Google Scholar] [CrossRef]
- Motaleb, M.A.; Selim, A.A. Dioximes: Synthesis and Biomedical Applications. Bioorg. Chem. 2019, 82, 145–155. [Google Scholar] [CrossRef] [PubMed]
- Huang, H.; Cai, J.; Deng, G.-J. O-Acyl Oximes: Versatile Building Blocks for N-Heterocycle Formation in Recent Transition Metal Catalysis. Org. Biomol. Chem. 2016, 14, 1519–1530. [Google Scholar] [CrossRef]
- Kölmel, D.K.; Kool, E.T. Oximes and Hydrazones in Bioconjugation: Mechanism and Catalysis. Chem. Rev. 2017, 117, 10358–10376. [Google Scholar] [CrossRef]
- Kukushkin, V.Y.; Tudela, D.; Pombeiro, A.J.L. Metal-Ion Assisted Reactions of Oximes and Reactivity of Oxime-Containing Metal Complexes. Coord. Chem. Rev. 1996, 156, 333–362. [Google Scholar] [CrossRef]
- Lada, Z.G.; Polyzou, C.D.; Nika, V.; Stamatatos, T.C.; Konidaris, K.F.; Perlepes, S.P. Adventures in the Coordination Chemistry of 2-Pyridyl Oximes: On the Way to 3d/4f-Metal Coordination Clusters. Inorg. Chim. Acta 2022, 539, 120954. [Google Scholar] [CrossRef]
- Chaudhuri, P. Homo- and Hetero-Polymetallic Exchange Coupled Metal-Oximates. Coord. Chem. Rev. 2003, 243, 143–190. [Google Scholar] [CrossRef]
- Benabdelouahab, Y.; Muñoz-Moreno, L.; Frik, M.; de la Cueva-Alique, I.; El Amrani, M.A.; Contel, M.; Bajo, A.M.; Cuenca, T.; Royo, E. Hydrogen Bonding and Anticancer Properties of Water-Soluble Chiral p -Cymene Ru II Compounds with Amino-Oxime Ligands. Eur. J. Inorg. Chem. 2015, 13, 2295–2307. [Google Scholar] [CrossRef]
- Kokina, T.E.; Ustimenko, Y.P.; Rakhmanova, M.I.; Sheludyakova, L.A.; Agafontsev, A.M.; Plyusnin, P.E.; Tkachev, A.V.; Larionov, S.V. Luminescent Complexes of Zn(II) and Cd(II) with Chiral Ligands Containing 1,10-Phenanthroline and Natural Monoterpenoids (+)-3-Carene or (+)-Limonene Fragments. Russ. J. Gen. Chem. 2019, 89, 87–95. [Google Scholar] [CrossRef]
- Kokina, T.E.; Rakhmanova, M.I.; Shekhovtsov, N.A.; Glinskaya, L.A.; Komarov, V.Y.; Agafontsev, A.M.; Baranov, A.Y.; Plyusnin, P.E.; Sheludyakova, L.A.; Tkachev, A.V.; et al. Luminescent Zn(Ii) and Cd(Ii) Complexes with Chiral 2,2′-Bipyridine Ligands Bearing Natural Monoterpene Groups: Synthesis, Speciation in Solution and Photophysics. Dalton Trans. 2020, 49, 7552–7563. [Google Scholar] [CrossRef] [PubMed]
- Kokina, T.E.; Agafontsev, A.M.; Shekhovtsov, N.A.; Glinskaya, L.A.; Sizintseva, K.D.; Rakhmanova, M.I.; Golubeva, Y.A.; Klyushova, L.S.; Tkachev, A.V.; Bushuev, M.B. Copper(II), Zinc(II) and Cadmium(II) Complexes with the O-Picolyl Ether of Chiral α-Aminooxime of Natural (+)-Limonene: Synthesis, Structures, Luminescence and Cytotoxicity. Inorg. Chem. Commun. 2024, 170, 113381. [Google Scholar] [CrossRef]
- Savel’eva, Z.A.; Bizyaev, S.N.; Glinskaya, L.A.; Klevtsova, R.F.; Tkachev, A.V.; Larionov, S.V. Ni(II) Complexes with Optically Active Bis(Menthane), Pinano-Para-Menthane Ethylenediaminodioximes and Pinano-Para-Menthane, Bis(Pinane) Propylenediaminodioximes: Synthesis, Structures, and Properties. Russ. J. Coord. Chem. 2006, 32, 723–732. [Google Scholar] [CrossRef]
- Larionov, S.V.; Tkachev, A.V.; Savel’eva, Z.A.; Myachina, L.I.; Glinskaya, L.A.; Klevtsova, R.F.; Bizyaev, S.N. Co(III) Complexes with Optically Active Bis(Menthane), Pinano-Para-Menthane, Carano-Para-Menthane, and Bis(Carane) Propylenediaminodioximes. Russ. J. Coord. Chem. 2006, 32, 250–260. [Google Scholar] [CrossRef]
- Savel’eva, Z.A.; Tkachev, A.V.; Glinskaya, L.A.; Bizyaev, S.N.; Klevtsova, R.F.; Larionov, S.V. Synthesis of Binuclear Complexes of PdCl2 with Chiral Ethylenediamine Dioxime (H2L1), Piperazine Dioxime (H2L2), and Propylenediamine Dioxime (H2L3), the Derivatives of the Natural Monoterpenoid (R)-(+)-Limonene. The Crystal Structures of [Pd2(H2L1)Cl4]. Russ. J. Coord. Chem. 2009, 35, 128–135. [Google Scholar] [CrossRef]
- Larionov, S.V.; Tkachev, A.V.; Myachina, L.I.; Savel’eva, Z.A.; Glinskaya, L.A.; Klevtsova, R.F.; Agafontsev, A.M.; Bizyaev, S.N. Synthesis of Binuclear Complexes of PdCl2 with Chiral α,A′-Diamino-Meta-Xylene Dioximes H2L1, H2L2, and H2L3, the Derivatives of the Terpenes (+)-3-Carene, (R)-(+)-Limonene, and (S)-(−)-α-Pinene. Crystal Structure of [Pd2(H2L1)Cl4]. Russ. J. Coord. Chem. 2009, 35, 286–295. [Google Scholar] [CrossRef]
- Kokina, T.E.; Tkachev, A.V.; Myachina, L.I.; Bizyaev, S.N.; Sheludyakova, L.A.; Glinskaya, L.A.; Korol’kov, I.V.; Boguslavskii, E.G.; Larionov, S.V. Synthesis and Structure of Palladium(II) and Copper(II) Complexes with Chiral Bis-α-Aminooximes Containing (+)-3-Carene or (+)-Limonene Fragments and 4,4′-Methylenedianiline Linker. Crystal Structure of the Complex [Cu(i-PrOH)Cl2(μ-H2L3)CuCl2·H2O]. Russ. J. Gen. Chem. 2013, 83, 336–347. [Google Scholar] [CrossRef]
- Steiner, D.; Sethofer, S.G.; Goralski, C.T.; Singaram, B. Asymmetric Addition of Diethylzinc to Aldehydes Catalyzed by β-Amino Alcohols Derived from Limonene Oxide. Tetrahedron Asymmetry 2002, 13, 1477–1483. [Google Scholar] [CrossRef]
- Watts, C.C.; Thoniyot, P.; Hirayama, L.C.; Romano, T.; Singaram, B. Enantioselective Alkynylations of Aromatic and Aliphatic Aldehydes Catalyzed by Terpene Derived Chiral Amino Alcohols. Tetrahedron Asymmetry 2005, 16, 1829–1835. [Google Scholar] [CrossRef]
- Muller, G.; Sainz, D. Synthesis of Monohydroxy -Methyl- and -Ethyl-Phosphines PPh2CHROH. J. Organomet. Chem. 1995, 495, 103–111. [Google Scholar] [CrossRef]
- Roszkowski, P.; Maurin, J.K.; Czarnocki, Z. Novel (R)-(+)-Limonene-Derived Ligands: Synthesis and Application in Asymmetric Transfer Hydrogenations. Tetrahedron Asymmetry 2012, 23, 1106–1110. [Google Scholar] [CrossRef]
- Roszkowski, P.; Maurin, J.K.; Czarnocki, Z. Synthesis of New Mono-N-Tosylated Diamine Ligands Based on (R)-(+)-Limonene and Their Application in Asymmetric Transfer Hydrogenation of Ketones and Imines. Tetrahedron Asymmetry 2013, 24, 643–650. [Google Scholar] [CrossRef]
- Matveev, Y.S.; Frolova, L.L.; Kataeva, N.A.; Kuchin, A.V. Chiral Derivatives of Titanium with Terpene Alcohols. Russ. J. Gen. Chem. 2007, 77, 1196–1203. [Google Scholar] [CrossRef]
- Kuchin, A.V.; Ashikhmina, E.V.; Rubtsova, S.A.; Dvornikova, I.A. Terpene Ligands as the Basis of Catalytic Systems for the Asymmetric Oxidation of Phenylphenacyl Sulfide. Russ. J. Bioorg. Chem. 2010, 36, 877–883. [Google Scholar] [CrossRef]
- Reviejo, I.; Vinueza, J.; Ramos, J.; Mosquera, M.E.G.; Tabernero, V.; Jiménez, G. Stereospecific Synthesis of Chiral Titanium Complexes Bearing a Bifunctionalized Cyclopentadienyl-Terpenoid Ligand Derived from α-Pinene. Organometallics 2021, 40, 3076–3086. [Google Scholar] [CrossRef]
- Reviejo, I.; Tabernero, V.; Mosquera, M.E.G.; Ramos, J.; Cuenca, T.; Jiménez, G. Chiral Titanium(IV) Complexes Containing Polydentate Ligands Based on α-Pinene. Catalytic Activity in Sulfoxidation with Hydrogen Peroxide. Organometallics 2018, 37, 3437–3449. [Google Scholar] [CrossRef]
- Carvalho, M.F.N.N.; Galvão, A.M.; Kredatusová, J.; Merna, J.; Pinheiro, P.F.; Margarida Salema, M. Synthesis and Catalytic Activity of Camphor Titanium Complexes. Inorg. Chim. Acta 2012, 383, 244–249. [Google Scholar] [CrossRef]
- De La Cueva-Alique, I.; Muñoz-Moreno, L.; Benabdelouahab, Y.; Elie, B.T.; El Amrani, M.A.; Mosquera, M.E.G.; Contel, M.; Bajo, A.M.; Cuenca, T.; Royo, E. Novel Enantiopure Cyclopentadienyl Ti(IV) Oximato Compounds as Potential Anticancer Agents. J. Inorg. Biochem. 2016, 156, 22–34. [Google Scholar] [CrossRef]
- De la Cueva-Alique, I.; Sierra, S.; Perez-Redondo, A.; Marzo, I.; Gude, L.; Cuenca, T.; Royo, E. Study of the Anticancer Properties of Optically Active Titanocene Oximato Compounds. J. Organomet. Chem. 2019, 881, 150–158. [Google Scholar] [CrossRef]
- Thewalt, U.; Friedrich, R. Cp 2 Ti IV-Komplexe Mit Oximatoliganden/Cp 2 Ti IV Complexes with Oximato Ligands. Z. Naturforsch. B 1991, 46, 475–482. [Google Scholar] [CrossRef]
- Thewalt, U. Cp2Ti,v-Komplexe Mit Oximatoliganden. Z. Naturforsch. 2015, 46b, 475–482. [Google Scholar]
- Davidson, M.G.; Johnson, A.L.; Jones, M.D.; Lunn, M.D.; Mahon, M.F. Titanium(IV) Complexes of Oximes—Novel Binding Modes. Polyhedron 2007, 26, 975–980. [Google Scholar] [CrossRef]
- Kukushkin, V.Y.; Pombeiro, A.J.L. Oxime and Oximate Metal Complexes: Unconventional Synthesis and Reactivity. Coord. Chem. Rev. 1999, 181, 147–175. [Google Scholar] [CrossRef]
- De la Cueva-Alique, I.; de la Torre-Rubio, E.; Munoz-Moreno, L.; Calvo-Jareno, A.; Perez-Redondo, A.; Gude, L.; Cuenca, T.; Royo, E. Stereoselective Synthesis of Oxime Containing Pd(II) Compounds: Highly Effective, Selective and Stereo-Regulated Cytotoxicity against Carcinogenic PC-3 Cells. Dalton Trans. 2022, 51, 12812–12828. [Google Scholar] [CrossRef] [PubMed]
- Von Zelewsky, A. Stereoselective Synthesis of Coordination Compounds. Coord. Chem. Rev. 1999, 190–192, 811–825. [Google Scholar] [CrossRef]
- Chahboun, G.; Brito, J.A.; Royo, B.; Amin El Amrani, M.; Gomez-Bengoa, E.; Mosquera, M.E.G.; Cuenca, T.; Royo, E. Olefin Epoxidation Catalyzed by Cis-Dioxdomolybdenum(VI) Complexes Containing Chiral Alkoxo-Imino Ligands Derived from (+)-Alpha-Pinene. Eur. J. Inorg. Chem. 2012, 17, 2940–2949. [Google Scholar] [CrossRef]
- Keppler, B.K. Metal Complexes in Cancer Chemotherapy; Wiley VCH: Weinheim, Germany, 1993. [Google Scholar]
- Barnes, K.R.; Lippard, S.J. Cisplatin and Related Anticancer Drugs: Recent Advances and Insights. In Metal Ions in Biological Systems, Volume 42: Metal Complexes in Tumor Diagnosis and as Anticancer Agents; Sigel, A., Sigel, H., Eds.; MIT Department of Chemistry: Cambridge, MA, USA, 2004; Volume 42, pp. 143–177. ISBN 0161-5149. [Google Scholar]
- Dowling, C.M.; Claffey, J.; Cuffe, S.; Fichtner, I.; Pampillon, C.; Sweeney, N.J.; Strohfeldt, K.; Watson, R.W.G.; Tacke, M. Antitumor Activity of Titanocene Y in Xenografted PC3 Tumors in Mice. Lett. Drug Des. Discov. 2008, 5, 141–144. [Google Scholar] [CrossRef]
- Fernández-Gallardo, J.; Elie, B.T.; Sadhukha, T.; Prabha, S.; Sanaú, M.; Rotenberg, S.A.; Ramos, J.W.; Contel, M.; Fernandez-Gallardo, J.; Elie, B.T.; et al. Heterometallic Titanium-Gold Complexes Inhibit Renal Cancer Cells in Vitro and in Vivo. Chem. Sci. 2015, 6, 5269–5283. [Google Scholar] [CrossRef]
- Demirel, N.; Dawor, M.; Nadler, G.; Ivlev, S.I.; Meggers, E. Stereogenic-at-Iron Mesoionic Carbene Complex for Enantioselective C–H Amidation. Chem. Sci. 2024, 15, 15625–15631. [Google Scholar] [CrossRef]
- He, H.; Zhang, S.; Chen, Z.; Wang, H.; Yu, X.; Li, X. Molecular Complexes, Supramolecular Architectures and Metallo-Polymers Based on Chiral Terpene-Fused 2,2′:6′,2′′-Terpyridines. Chem. Lett. 2023, 52, 370–380. [Google Scholar] [CrossRef]
- Ullah, S.S.; Molla, M.E.; Begum, N. Synthesis and Reaction of Limonenetricarbonyliron. Indian J. Chem. Sect. A 1984, 23, 992–994. [Google Scholar]
- Chen, J.; Lei, G.; Jin, Z.; Hu, L.; Wei, G. Studies on Olefin-Coordinating Transition Metal Carbene Complexes. 15. Novel Reaction of (Limonene)Tricarbonyliron with Nucleophiles: Synthesis, Spectra, and Crystal and Molecular Structure of Several Carbene and Isomerized Carbene Complexes Therefrom. Organometallics 1988, 7, 1652–1657. [Google Scholar] [CrossRef]
- Kirin, V.P.; Prikhod’Ko, I.Y.; Maksakov, V.A.; Virovets, A.V.; Agafontsev, A.M.; Golovin, B.A. Ruthenium Carbonyl Complexes with α-Substituted Oxime Derivatives of Terpenes as Ligands. Russ. Chem. Bull. 2009, 58, 1371–1382. [Google Scholar] [CrossRef]
- Cabeza, J.A.; del Río, I.; Riera, V.; Suárez, M.; Álvarez-Rúa, C.; García-Granda, S.; Chuang, S.H.; Hwu, J.R. Di- and Trinuclear Ruthenium and Osmium Bis(2-Pyridyl) Ketone Oximate Derivatives. Eur. J. Inorg. Chem. 2003, 2003, 4159–4165. [Google Scholar] [CrossRef]
- De la Cueva-Alique, I.; Sierra, S.; Muñoz-Moreno, L.; Pérez-Redondo, A.; Bajo, A.M.; Marzo, I.; Gude, L.; Cuenca, T.; Royo, E. Biological Evaluation of Water Soluble Arene Ru(II) Enantiomers with Amino-Oxime Ligands. J. Inorg. Biochem. 2018, 183, 32–42. [Google Scholar] [CrossRef]
- Elalami, M.S.I.; Dahdouh, A.A.; Mansour, A.I.; ElAmrani, M.A.; Suisse, I.; Mortreux, A.; Agbossou-Niedercorn, F. Synthesis of Chiral Bifunctional Ligands Based on α-Pinene and Their Use in Ruthenium Catalyzed Asymmetric Transfer Hydrogenation. Comptes Rendus Chim. 2009, 12, 1253–1258. [Google Scholar] [CrossRef]
- Everaere, K.; Mortreux, A.; Bulliard, M.; Brussee, J.; van der Gen, A.; Nowogrocki, G.; Carpentier, J.-F. (β-Amino Alcohol)(Arene)Ruthenium(II)-Catalyzed Asymmetric Transfer Hydrogenation of Functionalized Ketones—Scope, Isolation of the Catalytic Intermediates, and Deactivation Processes. Eur. J. Org. Chem. 2001, 2001, 275–291. [Google Scholar] [CrossRef]
- Noyori, R.; Hashiguchi, S. Asymmetric Transfer Hydrogenation Catalyzed by Chiral Ruthenium Complexes. Acc. Chem. Res. 1997, 30, 97–102. [Google Scholar] [CrossRef]
- Noyori, R. Asymmetric Catalysis in Organic Synthesis; Wiley CH-VCH Verlag GmbH: Weinheim, Germany, 1994; ISBN 978-0-471-57267-1. [Google Scholar]
- Sandoval, C.A.; Ohkuma, T.; Utsumi, N.; Tsutsumi, K.; Murata, K.; Noyori, R. Mechanism of Asymmetric Hydrogenation of Acetophenone Catalyzed by Chiral H6-Arene–N-Tosylethylenediamine–Ruthenium(II) Complexes. Chem. Asian J. 2006, 1, 102–110. [Google Scholar] [CrossRef]
- Noyori, R.; Yamakawa, M.; Hashiguchi, S. Metal−Ligand Bifunctional Catalysis: A Nonclassical Mechanism for Asymmetric Hydrogen Transfer between Alcohols and Carbonyl Compounds. J. Org. Chem. 2001, 66, 7931–7944. [Google Scholar] [CrossRef]
- Zassinovich, G.; del Bianco, C.; Mestroni, G. Enantioselective Transfer Hydrogenation Catalyzed by Iridium(I) Complexes with Nitrogen Donor Ligands. J. Organomet. Chem. 1981, 222, 323–329. [Google Scholar] [CrossRef]
- Watts, C.C.; Thoniyot, P.; Cappuccio, F.; Verhagen, J.; Gallagher, B.; Singaram, B. Catalytic Asymmetric Transfer Hydrogenation of Ketones Using Terpene-Based Chiral β-Amino Alcohols. Tetrahedron Asymmetry 2006, 17, 1301–1307. [Google Scholar] [CrossRef]
- Bergamo, A.; Sava, G. Ruthenium Anticancer Compounds: Myths and Realities of the Emerging Metal-Based Drugs. Dalton Trans. 2011, 40, 7817–7823. [Google Scholar] [CrossRef] [PubMed]
- Rausch, M.; Dyson, P.J.; Nowak-Sliwinska, P. Recent Considerations in the Application of RAPTA-C for Cancer Treatment and Perspectives for Its Combination with Immunotherapies. Adv. Ther. 2019, 2, 1900042. [Google Scholar] [CrossRef]
- Hartinger, C.G.; Jakupec, M.A.; Zorbas-Seifried, S.; Groessl, M.; Egger, A.; Berger, W.; Zorbas, H.; Dyson, P.J.; Keppler, B.K. KP1019, A New Redox-Active Anticancer Agent—Preclinical Development and Results of a Clinical Phase I Study in Tumor Patients. Chem. Biodivers. 2008, 5, 2140–2155. [Google Scholar] [CrossRef] [PubMed]
- Chen, H.; Parkinson, J.A.; Parsons, S.; Coxall, R.A.; Gould, R.O.; Sadler, P.J. Organometallic Ruthenium(II) Diamine Anticancer Complexes: Arene-Nucleobase Stacking and Stereospecific Hydrogen-Bonding in Guanine Adducts. J. Am. Chem. Soc. 2002, 124, 3064–3082. [Google Scholar] [CrossRef] [PubMed]
- Turner, R.J. The Good, the Bad, and the Ugly of Metals as Antimicrobials. BioMetals 2024, 37, 545–559. [Google Scholar] [CrossRef]
- Khelissa, S.; El Fannassi, Y.; Mechmechani, S.; Alhuthali, S.; El Amrani, M.A.; Gharsallaoui, A.; Barras, A.; Chihib, N.-E. Water-Soluble Ruthenium (II) Complex Derived From Optically Pure Limonene and Its Microencapsulation Are Efficient Tools Against Bacterial Food Pathogen Biofilms: Escherichia Coli, Staphylococcus Aureus, Enteroccocus Faecalis, and Listeria Monocytogenes. Front. Microbiol. 2021, 12, 711326. [Google Scholar] [CrossRef]
- Larionov, S.V.; Myachina, L.I.; Glinskaya, L.A.; Klevtsova, R.F.; Sheludyakova, L.A.; Tkachev, A.V.; Bizyaev, S.N. Synthesis, Structure, and Properties of Nickel(II) and Cobalt(II) Coordination Compounds with Optically Active Diaminodioxime (H2L) Derived from 3-Carene. Molecular and Crystal Structures of the [Ni(H2L)(NO3)]NO3 and [Ni(HL)]ClO4 · H2O Complexes. Russ. J. Coord. Chem. 2003, 29, 795–804. [Google Scholar] [CrossRef]
- Homrani, Y.; Dahdouh, A.; El Amrani, M.A.; Loxq, P.; Capet, F.; Suisse, I.; Sauthier, M. Synthesis and Crystal Structure of a New Chiral α-Aminooxime Nickel(II) Complex. Acta Crystallogr. Sect. E Crystallogr. Commun. 2021, 77, 1116–1119. [Google Scholar] [CrossRef]
- Bazzicalupi, C.; Grimmer, C.; Nikolayenko, I.V. Old Acquaintances and Novel Complex Structures for the Ni(II) and Cu(II) Complexes of Bis-Chelate Oxime–Amide Ligands. Molecules 2024, 29, 522. [Google Scholar] [CrossRef] [PubMed]
- Zhang, D.; Wang, Q. Palladium Catalyzed Asymmetric Suzuki–Miyaura Coupling Reactions to Axially Chiral Biaryl Compounds: Chiral Ligands and Recent Advances. Coord. Chem. Rev. 2015, 286, 1–16. [Google Scholar] [CrossRef]
- De Vries, J.G. Palladium-Catalysed Coupling Reactions. In Organometallics as Catalysts for the Fine Chemical Industry; Springer: Geleen, The Netherlands, 2012; Volume 42, pp. 1–34. ISBN 1436-6002. [Google Scholar]
- Templ, J.; Schnürch, M. Allylation of C-, N-, and O-Nucleophiles via a Mechanochemically-Driven Tsuji–Trost Reaction Suitable for Late-Stage Modification of Bioactive Molecules. Angew. Chem. Int. Ed. 2024, 63, e202314637. [Google Scholar] [CrossRef] [PubMed]
- Cera, G.; Maestri, G. Palladium/Brønsted Acid Catalysis for Hydrofunctionalizations of Alkynes: From Tsuji-Trost Allylations to Stereoselective Methodologies. ChemCatChem 2022, 14, e202200295. [Google Scholar] [CrossRef]
- Losada, P.; Goicoechea, L.; Mascareñas, J.L.; Gulías, M. Axially Chiral 2-Hydroxybiaryls by Palladium-Catalyzed Enantioselective C–H Activation. ACS Catal. 2023, 13, 13994–13999. [Google Scholar] [CrossRef]
- He, J.; Wasa, M.; Chan, K.S.L.; Shao, Q.; Yu, J.-Q. Palladium-Catalyzed Transformations of Alkyl C–H Bonds. Chem. Rev. 2017, 117, 8754–8786. [Google Scholar] [CrossRef]
- Cutillas, N.; Yellol, G.S.; de Haro, C.; Vicente, C.; Rodríguez, V.; Ruiz, J. Anticancer Cyclometalated Complexes of Platinum Group Metals and Gold. Coord. Chem. Rev. 2013, 257, 2784–2797. [Google Scholar] [CrossRef]
- Scattolin, T.; Voloshkin, V.A.; Visentin, F.; Nolan, S.P. A Critical Review of Palladium Organometallic Anticancer Agents. Cell Rep. Phys. Sci. 2021, 2, 100446. [Google Scholar] [CrossRef]
- Alam, M.N.; Huq, F. Comprehensive Review on Tumour Active Palladium Compounds and Structure–Activity Relationships. Coord. Chem. Rev. 2016, 316, 36–67. [Google Scholar] [CrossRef]
- Dunne, K.; McQuillin, F.J. Complexes of Terpenes with Transition Metals. Part I. The Reactions of Cis- and Trans-Ocimene and of Myrcene with Palladium(II). J. Chem. Soc. C Org. 1970, 2196–2200. [Google Scholar] [CrossRef]
- Mattheis, C.; Braunstein, P. Chelating Behaviour of a Phosphinoalcohol Leading to a Stable Alcohol Palladium Complex. J. Organomet. Chem. 2001, 621, 218–223. [Google Scholar] [CrossRef]
- De La Cueva-Alique, I.; Munõz-Moreno, L.; De La Torre-Rubio, E.; Bajo, A.M.; Gude, L.; Cuenca, T.; Royo, E. Water Soluble, Optically Active Monofunctional Pd(II) and Pt(II) Compounds: Promising Adhesive and Antimigratory Effects on Human Prostate PC-3 Cancer Cells. Dalton Trans. 2019, 48, 14279–14293. [Google Scholar] [CrossRef] [PubMed]
- Homrani, Y.; El Amrani, M.A.; Loxq, P.; Capet, F.; Suisse, I.; Sauthier, M. Synthesis and Crystal Structures of Palladium Complexes Based on Alfa-Amino-Oximes Derived from R-Limonene and Their Application in Allylic Alkylation of 1,3-Dioxo Compounds. Comptes Rendus Chim. 2022, 25, 125–135. [Google Scholar] [CrossRef]
- Dell’Amico, D.B.; Colalillo, M.; Dalla Via, L.; Dell’Acqua, M.; Garcia-Argaez, A.N.; Hyeraci, M.; Labella, L.; Marchetti, F.; Samaritani, S. Synthesis and Reactivity of Cytotoxic Platinum(II) Complexes of Bidentate Oximes—A Step towards the Functionalization of Bioactive Complexes. Eur. J. Inorg. Chem. 2018, 2018, 1589–1594. [Google Scholar] [CrossRef]
- Pettenuzzo, A.; Vezzù, K.; Di Paolo, M.L.; Fotopoulou, E.; Marchiò, L.; Via, L.D.; Ronconi, L. Design, Physico-Chemical Characterization and in Vitro Biological Activity of Organogold(Iii) Glycoconjugates. Dalton Trans. 2021, 50, 8963–8979. [Google Scholar] [CrossRef]
- Saha, S.; Kushwaha, R.; Mandal, A.; Singh, N.; Banerjee, S. Recent Advances in Rh(III)-Based Anticancer Complexes. Coord. Chem. Rev. 2025, 525, 216306. [Google Scholar] [CrossRef]
- Xu, Z.R.; Liu, Y.; Yang, J.Q.; Li, F.W.; Liu, W.K. Recent Advances of Metal Complexes in the Treatment of Hepatocellular Carcinoma. J. Med. Chem. 2024, 68, 1–17. [Google Scholar] [CrossRef]
- Ruiz-Sánchez, P.; König, C.; Ferrari, S.; Alberto, R. Vitamin B12 as a Carrier for Targeted Platinum Delivery: In Vitro Cytotoxicity and Mechanistic Studies. JBIC J. Biol. Inorg. Chem. 2011, 16, 33–44. [Google Scholar] [CrossRef]
- Farrer, N.J.; Griffith, D.M. Exploiting Azide–Alkyne Click Chemistry in the Synthesis, Tracking and Targeting of Platinum Anticancer Complexes. Curr. Opin. Chem. Biol. 2020, 55, 59–68. [Google Scholar] [CrossRef]
- Peng, K.; Zheng, Y.; Xia, W.; Mao, Z.W. Organometallic Anti-Tumor Agents: Targeting from Biomolecules to Dynamic Bioprocesses. Chem. Soc. Rev. 2023, 52, 2790–2832. [Google Scholar] [CrossRef]
- Mehder, R.; de la Torre-Rubio, E.; de la Cueva-Alique, I.; O’Malley, C.; Pérez-Redondo, A.; Gude, L.; Royo, E.; Ronconi, L. Fluorescent Vitamin B12–Platinum(II) Derivatives as Potential Metallotheranostic Agents for the Treatment and Imaging of Tumors. Inorganics 2024, 12, 91. [Google Scholar] [CrossRef]
- Larionov, S.V.; Savel’eva, Z.A.; Romanenko, G.V.; Tkachev, A.V.; Ikorskii, V.N.; Boguslavskii, E.G. Binuclear Copper(II) Complexes with (1R*,4S*)-1-N-Morpholino-n-Menth-8-En-2-One E-Oxime: Synthesis, Structure, and Magnetic Properties. Russ. J. Coord. Chem. 2002, 28, 780–788. [Google Scholar] [CrossRef]
- Savel’eva, Z.A.; Klevtsova, R.F.; Glinskaya, L.A.; Ikorskii, V.N.; Bizyaev, S.N.; Tkachev, A.V.; Larionov, S.V. Complexes [Cu(H2L)](NO3)2 and [Cu(H2L)Cl]2[CuCl2]Cl · 0.5H2O (H2L Is Chiral Bis(Menthane) Propylenediaminodioxime): Synthesis and Structure. Russ. J. Coord. Chem. 2006, 32, 784–791. [Google Scholar] [CrossRef]
- Kokina, T.E.; Glinskaya, L.A.; Tkachev, A.V.; Plyusnin, V.F.; Tsoy, Y.V.; Bagryanskaya, I.Y.; Vasilyev, E.S.; Piryazev, D.A.; Sheludyakova, L.A.; Larionov, S.V. Chiral Zinc(II) and Cadmium(II) Complexes with a Dihydrophenanthroline Ligand Bearing (–)-α-Pinene Fragments: Synthesis, Crystal Structures and Photophysical Properties. Polyhedron 2016, 117, 437–444. [Google Scholar] [CrossRef]
- Kokina, T.E.; Glinskaya, L.A.; Vasiliev, E.S.; Rakhmanova, M.I.; Makarova, S.V.; Piryazev, D.A.; Korol’kov, I.V.; Tkachev, A.V.; Larionov, S.V. Structure and Photoluminescence of Zn(II) and Cd(II) Complexes with Chiral Bis-Pyridine Containing Fragments of Natural (–)-α-Pinene. J. Struct. Chem. 2017, 58, 994–1003. [Google Scholar] [CrossRef]
- Glinskaya, L.A.; Savel’eva, Z.A.; Bizyaev, S.N.; Tkachev, A.V.; Larionov, S.V. Crystal and Molecular Structure of the [Zn(HL)Cl]·EtOH Compound, (H2L = Chiral Bis(Menthane)Propylenediaminodioxime). J. Struct. Chem. 2012, 53, 1111–1117. [Google Scholar] [CrossRef]
Disclaimer/Publisher’s Note: The statements, opinions and data contained in all publications are solely those of the individual author(s) and contributor(s) and not of MDPI and/or the editor(s). MDPI and/or the editor(s) disclaim responsibility for any injury to people or property resulting from any ideas, methods, instructions or products referred to in the content. |
© 2025 by the authors. Licensee MDPI, Basel, Switzerland. This article is an open access article distributed under the terms and conditions of the Creative Commons Attribution (CC BY) license (https://creativecommons.org/licenses/by/4.0/).