Abstract
The growing demand for sustainable and efficient synthetic methodologies has brought nanocatalysis to the forefront of modern organic chemistry, particularly in the construction of heterocyclic compounds through multicomponent reactions (MCRs). Among various nanocatalysts, calcium oxide nanoparticles (CaO NPs) have gained significant attention because of their strong basicity, thermal stability, low toxicity, and cost-effectiveness. This review provides a comprehensive account of the recent strategies using CaO NPs as heterogeneous catalysts for the green synthesis of nitrogen- and oxygen-containing heterocycles through MCRs. Key reactions such as Biginelli, Hantzsch, and pyran annulations are discussed in detail, with emphasis on atom economy, reaction conditions, product yields, and catalyst reusability. In many instances, CaO NPs have enabled solvent-free or aqueous protocols with high efficiency and reduced reaction times, often under mild conditions. Mechanistic aspects are analyzed to highlight the catalytic role of surface basic sites in facilitating condensation and cyclization steps. The performance of CaO NPs is also compared with other oxide nanocatalysts, showcasing their benefits from green metrics evaluation like E-factor and turnover frequency. Despite significant progress, challenges remain in areas such as asymmetric catalysis, industrial scalability, and catalytic stability under continuous use. To address these gaps, future directions involving doped CaO nanomaterials, hybrid composites, and mechanochemical approaches are proposed. This review aims to provide a focused and critical perspective on CaO NP-catalyzed MCRs, offering insights that may guide further innovations in sustainable heterocyclic synthesis.
1. Introduction
Heterocyclic compounds, characterized by ring systems containing at least one heteroatom (typically nitrogen, oxygen, or sulfur), form the structural core of a vast range of biologically active molecules and industrial materials [1]. It is estimated that nearly 85% of all pharmacologically relevant compounds, including approved drugs, agrochemicals, dyes, and advanced functional materials, contain at least one heterocyclic moiety [2]. These structures are fundamental components of natural products such as nucleobases, amino acids, and vitamins, and they continue to serve as essential frameworks in medicinal chemistry and drug development [3]. From a synthetic standpoint, heterocycles are highly valued not only for their diverse biological activities but also for their influence on key physicochemical properties such as solubility, polarity, and metabolic stability—traits that are crucial in optimizing pharmacokinetics and pharmacodynamics [4,5]. However, conventional methods for their synthesis often involve several reaction steps, the use of harsh reagents, and substantial solvent consumption, raising concerns over environmental impact and overall efficiency. These limitations have spurred interest in greener and more atom-economical synthetic strategies in recent years [6,7].
Multicomponent reactions (MCRs) have emerged as a powerful synthetic approach to construct complex heterocyclic frameworks in a single operational step. By combining three or more starting materials in one pot, MCRs significantly improve atom economy, reduce purification steps, and minimize chemical waste [8,9,10]. These reactions typically proceed under mild conditions and are known for their operational simplicity—features that are highly advantageous in both research and industrial settings [11,12,13]. Classical MCRs, including the Biginelli, Ugi, and Hantzsch reactions, are particularly effective for generating structurally diverse, bioactive heterocycles. The adaptability of MCRs to green solvents like water and ethanol, and their compatibility with solvent-free protocols and alternative energy sources such as microwave or ultrasound irradiation, further reinforces their significance in sustainable chemistry [14]. Nevertheless, many MCRs depend on catalysts to achieve high selectivity and yield, especially when managing competing side reactions or achieving stereocontrol [15,16].
Catalysis plays a pivotal role in facilitating MCRs, and nanomaterials have emerged as transformative tools in this domain. Nanocatalysts offer unique advantages because of their high surface-area-to-volume ratios, tunable surface chemistry, and the potential to tailor their size, shape, and porosity for specific reactivity profiles [17,18,19]. These characteristics translate into enhanced catalytic efficiency, improved selectivity, and often allow reactions to proceed under environmentally benign conditions [20,21]. Various nanocatalysts—including metal oxides such as ZnO, TiO2, and Fe3O4, as well as supported hybrids—have been effectively applied in MCRs [22]. These systems commonly enable reactions to occur in aqueous or solvent-free environments under ambient or mild heating, and they are generally recoverable and reusable with minimal performance loss. Among these, calcium oxide nanoparticles (CaO NPs) are notable for their strong basicity, low toxicity, abundance, and cost-effectiveness [23,24,25]. They are typically synthesized from natural precursors like limestone, eggshells, or seashells via eco-friendly calcination methods, consistent with the principles of green chemistry [26,27,28].
In the context of MCRs, CaO NPs have demonstrated remarkable efficiency in catalyzing condensation and cyclization steps, often delivering high product yields under mild and green conditions. Their bifunctional catalytic nature—arising from the coexistence of Lewis acidic Ca2+ centers and basic O2− sites—facilitates key transformations in complex synthetic pathways [29,30,31,32,33]. Additionally, the ease of catalyst recovery and recyclability make CaO NPs attractive for practical applications [34]. Despite these benefits, the potential of CaO NPs remains relatively underutilized compared to other nanocatalysts. This may be attributed to limited mechanistic insight into their catalytic behavior, challenges in fine-tuning their surface characteristics during synthesis, and the absence of comprehensive studies benchmarking their performance against other metal oxide systems. Furthermore, their application in asymmetric catalysis and continuous-flow processes remains largely unexplored [35,36,37]. To address these gaps, the present review provides a focused and critical overview of CaO NP-mediated multicomponent reactions for the construction of heterocycles. It highlights their catalytic efficiency, reaction scope, mechanistic roles, and green metrics, while also outlining future directions for expanding their use in sustainable organic synthesis [38,39,40].
2. Properties and Characteristics of CaO Nanoparticles (CaO NPs)
Calcium oxide (CaO) is a widely used basic oxide known for its high thermal stability, low toxicity, and environmental compatibility. When engineered at the nanoscale, CaO exhibits significantly enhanced physicochemical properties, including increased surface area, stronger basicity, and improved dispersion. These characteristics make CaO nanoparticles (CaO NPs) particularly attractive for catalysis under green conditions, especially in multicomponent heterocyclic synthesis [41,42].
2.1. Structural and Morphological Features
The morphology and structure of CaO NPs vary according to the synthesis method, typically resulting in cubic, spherical, or irregular particles. Transmission electron microscopy (TEM) and scanning electron microscopy (SEM) studies report particle sizes ranging between 10 and 80 nm, often exhibiting high crystallinity and rough surfaces that promote efficient substrate interaction X-ray diffraction (XRD) patterns generally indicating the presence of a face-centered cubic (fcc) structure, with diffraction peaks corresponding to (111), (200), and (220) planes [43,44]. CaO NPs prepared via various methods display a wide range of BET surface areas, sometimes reaching up to 100 m2/g—far higher than bulk CaO. This increase in surface area, along with greater porosity and reduced grain size, enhances the density of exposed active sites, improving catalytic activity, particularly in base-mediated reactions such as the Biginelli and Knoevenagel condensations [45,46].
The impact of different synthesis protocols on particle size, surface area, and basic site density is summarized in Table 1, which compares CaO NPs synthesized through sol–gel, co-precipitation, bio-waste, hydrothermal, and combustion methods. These values illustrate the structural advantages conferred by green routes, especially those utilizing bio-waste materials [47,48,49,50].
Table 1.
Physicochemical characteristics of CaO nanoparticles synthesized via various methods.
These structural attributes also influence surface reactivity, which is strongly dependent on the synthetic pathway and calcination conditions. The following section examines how synthesis routes affect the surface basicity and overall catalytic behavior of CaO NPs [51,52]. A unified, cross-family mechanistic map is compiled in Table 2, aligning substrate activation, key bond-forming steps, the complementary roles of O2−/Ca2+, and typical conditions/limitations across the MCRs surveyed.
Table 2.
Unified mechanistic map for CaO dual-site catalysis across representative multicomponent reactions. Columns align substrate activation → key bond-forming step → role of O2−/Ca2+ → typical conditions/limitations.
2.2. Synthetic Methods and Surface Basicity
Several methods have been developed for synthesizing CaO NPs, including sol–gel, hydrothermal, precipitation, combustion, and bio-assisted techniques [59,60]. Among these, green synthesis approaches utilizing bio-waste materials—such as eggshells, clam shells, and mollusk shells—have gained significant interest due to their sustainability and cost-effectiveness. In most cases, calcium carbonate precursors are calcined at temperatures ranging from 750 °C to 900 °C to yield phase-pure CaO NPs. The calcination temperature plays a crucial role in determining particle size, crystallinity, and surface area [61,62]. The surface basicity of CaO NPs primarily originates from exposed O2− ions, which can abstract protons or activate electrophilic substrates. Characterization techniques such as CO2 temperature-programmed desorption (CO2-TPD) and Hammett indicators confirm the presence of both weak and strong basic sites. These active centers are vital for promoting C–C and C–heteroatom bond formations in multicomponent reactions [63,64]. Notably, the catalytic performance of CaO NPs is influenced not only by their synthetic route but also by their surface morphology and the distribution of active sites. These properties make CaO NPs highly effective under green conditions [65,66]. A graphical representation of the nanoparticle surface is provided in Figure 1, which illustrates the dual functionality of O2− basic sites and Ca2+ Lewis acidic centers. A concise schematic of the principal CaO-NP synthesis routes and their influence on surface basicity is presented in Figure 2. These active sites facilitate both proton abstraction and electrophilic activation of substrates, which are essential mechanistic steps in multicomponent bond-forming reactions such as the Biginelli and Knoevenagel condensations (Figure 1) [67,68].
Figure 1.
Schematic illustration of the CaO nanoparticle surface showing exposed O2− basic sites and Ca2+ Lewis acidic centers.
Figure 2.
Unified mechanistic map for CaO dual-site catalysis across representative multicomponent reactions.
2.3. Catalytic and Environmental Advantages
One of the key strengths of CaO NPs is their ability to function as heterogeneous base catalysts under environmentally benign conditions. Unlike soluble bases such as NaOH or K2CO3, CaO NPs can be easily recovered and reused without contaminating the product. Their compatibility with solvent-free systems or aqueous media makes them ideal for green transformations, including well-known multicomponent reactions like the Knoevenagel condensation, Hantzsch synthesis, and Biginelli reaction [69,70,71].
In addition to their strong basic character, CaO surfaces also possess Lewis acidic Ca2+ sites, which can coordinate with carbonyl oxygen or nitrogen atoms. This dual functionality allows simultaneous activation of multiple substrates, thereby enhancing selectivity and accelerating reaction rates [72,73,74]. Many such transformations are reported to complete within 30–60 min at relatively low temperatures (60–80 °C), making CaO NPs efficient and energy-saving catalysts. The catalytic efficiency of CaO NPs is further supported by their reusability, which is discussed below [75,76].
2.4. Reusability and Catalyst Stability
Although the reusability of CaO nanoparticles has been widely explored in biodiesel production and transesterification reactions—where they often retain catalytic activity over 4–5 cycles with simple regeneration via mild heating—their recyclability in multicomponent heterocyclic synthesis remains underexplored [77,78]. Nonetheless, given their heterogeneous nature, ease of separation, and robust surface properties, CaO NPs hold strong potential for recovery and reuse under green synthesis conditions. Future studies should focus on systematically evaluating their performance in repeated MCR cycles, establishing stability under different substrates and solvent systems [79]. The long-term stability and reusability of CaO nanoparticles (NPs) are essential for their practical use in the sustainable, multicomponent synthesis of heterocyclic compounds; while CaO NPs offer desirable high basicity and dual acid–base behavior, their ability to maintain catalytic performance over multiple cycles is a critical factor determining their industrial viability and adherence to green chemistry principles.
Similarly to other heterogeneous base catalysts, CaO NPs are prone to gradual deactivation upon repeated use. The main deactivation pathways include leaching of active basic sites (O2−) into the reaction medium, leading to a decrease in surface alkalinity; surface carbonation caused by exposure to atmospheric CO2, which converts active CaO into less active CaCO3 hydration during storage or work-up, forming Ca(OH)2, which has significantly lower catalytic activity; and fouling by strongly adsorbed organic intermediates or products, which physically block the active sites. These processes collectively result in a progressive decline in both activity and selectivity, particularly evident in multicomponent heterocyclic transformations conducted under mild conditions.
To counteract these effects, the established regeneration protocols have been effectively applied. Typically, the spent catalyst is thoroughly washed with polar solvents such as ethanol to remove surface-bound organic impurities. This is followed by thermal regeneration, wherein the washed catalyst is calcined at temperatures ranging from 500 to 600 °C. During this step, inactive Ca(OH)2 and CaCO3 phases are decomposed back into catalytically active CaO, thereby restoring the original surface basicity. Such regeneration cycles have been widely adopted in biodiesel production systems [80,81], and their successful adaptation to heterocyclic MCRs has also been demonstrated [82]
Overall, these regeneration strategies ensure the sustained catalytic performance of CaO NPs across multiple reaction cycles, enhancing their environmental and economic attractiveness for heterocyclic synthesis.
2.5. Comparative Evaluation with Other Oxide Nanocatalysts
In the domain of heterogeneous base catalysis, a range of metal oxide nanoparticles—including ZnO, TiO2, and MgO—have been employed with notable success in multicomponent reactions (MCRs). These nanocatalysts offer diverse properties tailored to specific catalytic roles; for instance, ZnO and TiO2 are widely used for their photochemical, solar-to-hydrogen conversion [83], and acid-catalyzed transformation capabilities. In contrast, CaO nanoparticles distinguish themselves through their intrinsic basicity, environmental friendliness, and abundance, making them attractive candidates for base-promoted heterocyclic synthesis [84]. CaO NPs exhibit strong surface basicity due to the presence of exposed O2− ions, enabling efficient activation of acidic hydrogen atoms and electrophilic centers. Compared to ZnO, TiO2, and MgO, CaO offers greater basic site density, which is critical for facilitating key bond-forming steps in reactions such as the Biginelli, Knoevenagel, and Hantzsch condensations [85]. Furthermore, CaO can be derived from natural or waste sources (e.g., eggshells or limestone), supporting low-cost and sustainable catalyst production [86,87]. From a performance perspective, CaO NPs often achieve comparable or superior product yields, and reactions catalyzed by CaO tend to proceed under milder conditions and with shorter reaction times than those catalyzed by other oxides. Although reusability data in MCRs is currently limited, CaO’s demonstrated stability in other catalytic systems suggests promising potential [88,89,90,91]. Table 3 presents a comparative summary of catalytic efficiency, environmental metrics (e.g., E-factor), and reusability performance of selected oxide nanocatalysts based on available reports in related reactions.
Table 3.
Comparison of catalytic activity, green metrics (E-factor), and recyclability of heterogeneous oxide nanocatalysts used in sustainable multicomponent reactions.
With their unique combination of basicity, catalytic reusability, and structural tunability, CaO nanoparticles have emerged as promising candidates for facilitating various green multicomponent reactions [98]. Their proven effectiveness in promoting carbon–carbon and carbon–heteroatom bond formations under mild and eco-friendly conditions has led to their increasing application in synthesizing diverse heterocyclic frameworks. The next section highlights these catalytic applications with mechanistic and structural insights into their role in forming complex bioactive heterocycles [99,100,101,102,103].
3. Applications of CaO Nanoparticles in Multicomponent Synthesis of Heterocycles
The catalytic versatility of CaO NPs, driven by their high surface basicity and dual acid–base behavior, has rendered them highly effective in facilitating multicomponent reactions (MCRs) for heterocyclic synthesis [104,105,106,107,108,109]. These reactions are highly valued in modern synthetic chemistry due to their atom economy, operational simplicity, and environmental compatibility. CaO NPs serve not only as efficient catalysts but also as environmentally benign alternatives to traditional base catalysts, thus aligning with the principles of green chemistry [110,111].
Several classes of heterocyclic compounds—including pyrimidinones, dihydropyridines, chromenes, and benzopyrans—have been synthesized using CaO NPs as catalysts in one-pot MCRs under mild and sustainable conditions. This section highlights selected representative examples where CaO NPs significantly enhance the efficiency, selectivity, and eco-friendliness of heterocyclic frameworks constructed via MCR strategies [112,113,114].
3.1. Synthesis of Five-Membered Heterocycles: Pyrazoles, Thiazoles, and Pyrazolines
CaO NPs have shown remarkable efficiency in constructing five-membered heterocycles via MCRs. Sangeeta et al. (2022) developed an environmentally benign, one-pot multicomponent strategy for the preparation of pyrano [2,3-c]pyrazole derivatives via biogenic CaO nanoparticles derived from Carica papaya leaf extract as an efficient catalyst (Figure 3) [115]. The reaction comprises the condensation of an aromatic aldehyde 1, malononitrile 2, ethyl acetoacetate 4, and hydrazine hydrate 3 in equimolar ratios (0.001 mmol each) under microwave-assisted heating (400 W, 80 °C) in aqueous ethanol, with just 7 mol% of CaO NPs. The proposed mechanism proceeds via a Knoevenagel condensation between the aldehyde and malononitrile, followed by Michael addition of ethyl acetoacetate, and subsequent cyclo-condensation with hydrazine to afford the fused pyranopyrazole scaffold 5. The method offered excellent yields (85–91%) within a short reaction time of 15–20 min, highlighting both the Catalytic efficiency and green credentials of CaO NPs. Notably, the high reusability of the CaO nanoparticles is a crucial advantage. They can be easily recovered from the reaction mixture using simple solvent extraction. These nanocatalysts maintained their maximum efficiency for up to three consecutive cycles, although a noticeable decrease in product yield was observed afterward. The synthesized pyrano [2,3-c] pyrazoles hold pharmacological relevance because of their reported insecticidal and molluscicidal activities, making this protocol valuable for both synthetic and medicinal chemistry applications.
Figure 3.
Green synthesis of pyranopyrazole derivatives catalyzed by CaO nanoparticles (NPs) under microwave irradiation. Aldehyde + malononitrile + ethyl acetoacetate + hydrazine hydrate in equimolar amounts (typically 1.0 mmol each; confirm against cited reference); CaO NPs 7 mol%; aq. EtOH; MW 400 W, 80 °C; 15–20 min; yields 85–91%; cat:substrate ≈ 0.07 equiv (vs. limiting reagent).
Khalil et al. reported a highly effective, green synthetic route for the construction of arylazothiazole derivatives through multicomponent reaction catalyzed by a chitosan-supported calcium oxide (CS-CaO) nanocomposite (Figure 4) [116]. The approach commenced with the preparation of thiosemicarbazone intermediates 10a through the condensation reaction involving 2-(4-formyl-3-methoxyphenoxy)-N-phenylacetamide (10 mmol) 10, and thiosemicarbazide (10 mmol) 8, in ethanol (30 mL) under acidic conditions. Ultrasonic irradiation at 50 °C for 20 min facilitated the reaction, resulting in high-purity precipitates. The crude material was filtered, ethanol-washed, and subsequently recrystallized using acetic acid to obtain analytically pure thiosemicarbazones. The synthesized products were confirmed via IR,1H, 13C NMR, and mass spectroscopy. Subsequently, the thiosemicarbazone 10a was carried out with 2-oxo-N-arylpropanehydrazonoyl chloride 9, using either chitosan (CS) or CS-CaO as the catalytic base under mild ethanol reflux conditions. This led to the formation of arylazothiazole derivatives 11 in good to high yields, ranging from 69% to 75% depending on the substituents. The CS-CaO nanocomposite catalyst demonstrated good recyclability as a basic catalyst, maintaining its catalytic performance over three consecutive cycles. After each use, the catalyst was rinsed with distilled water and dried at 60 °C for 30 min before reuse, showing no significant drop in activity under the tested conditions. The catalytic efficiency of CS-CaO was notably higher than CS alone, likely due to the enhanced basicity and surface activity imparted by the CaO nanophase. Structural and compositional validation of the CS-CaO nanocatalyst was conducted using FT-IR, XRD, FESEM, and EDS analyses, confirming its nanoscale morphology and chemical integrity.
Figure 4.
One-pot synthesis of arylazothiazoles using CS-CaO nanocatalyst.
Fatemeh Sameri et al. (2021) reported an efficient solvent-free synthesis of 1,3,5-triaryl-2-pyrazolines using a bifunctional nanocatalyst composed of calcium oxide immobilized on silica and coated with a basic ionic liquid CaO@SiO2@BAIL (20 mg) (Figure 5) [117]. The single-pot, three-component reaction consisted of equimolar amounts (1 mmol each reactant) of aryl aldehyde (1 mmol) 1, aryl ketone (1 mmol) 12, and arylhydrazine (1 mmol) 3, catalyzed by (20 mg) of CaO@SiO2@BAIL at ambient temperature. The reaction proceeded smoothly within 5–25 min and afforded the desired pyrazoline derivative 13 in excellent yields ranging from 83% to 97%. After completion, as monitored by TLC. The crude mixture was treated with hot ethanol to dissolve the product. The catalyst was recovered via centrifugation, washed thoroughly with ethanol, and reused, while the product was isolated by cooling and recrystallization with ethanol. The protocol demonstrated broad substrate tolerance, as a variety of electron-donating and electron-withdrawing groups on the aldehyde, ketone, and hydrazine components were well accommodated. After that, the CaO@SiO2@BAIL catalyst recovery and reusability were examined using a model reaction. After the reaction, the catalyst was easily recovered by centrifugation, washed with hot ethanol (5 mL), and dried under a vacuum for subsequent reuse. The nanocatalyst showed excellent stability, successfully retaining its high activity for at least six consecutive cycles. To further confirm its robustness, FT-IR and EDX analyses of the recycled catalyst revealed spectra nearly identical to the fresh catalyst, confirming that no noticeable structural changes occurred during the recycling process. The mild conditions, high efficiency, and recyclable nature of the nanocatalyst underline its potential in sustainable pyrazoline synthesis.
Figure 5.
CaO@SiO2@BAIL-catalyzed solvent-free synthesis of 1,3,5-triaryl-2-pyrazolines under ambient conditions. equimolar reactants (1.0 mmol each); CaO@SiO2@BAIL 20 mg; EtOH, rt; 5–25 min; 83–97% yield; catalyst reusable (≥6 cycles); cat:substrate ≈ 20 mg mmol−1 (vs. key aldehyde).
3.2. Synthesis of Six-Membered Heterocycles: Pyridines and Pyrimidines
Following the successful application of CaO-based nanocatalysts for the preparation of five-membered heterocycle frameworks, including pyrazolines and thiazoles, attention has also turned toward the development of six-membered nitrogen-based ring systems, particularly pyridines, which are recognized as core scaffolds in medicinal chemistry. These heterocycles are found in numerous therapeutic agents due to their ability to interact with a diverse range of biological targets.
In this context, Safaei-Ghomi et al. (2012) developed a highly efficient multicomponent strategy for synthesizing 2-amino-3,5-dicyano-6-sulfanylpyridine derivatives catalyzed by calcium oxide nanoparticles (Figure 6) [118]. The reaction employed a single-pot, three-component synthetic approach comprising aromatic aldehyde 1 (1 mmol), malononitrile 2 (2.2 mmol), and thiol-containing compound 14 (1 mmol) in an aqueous ethanol system (1:1). Utilizing 0.2 mmol of nano-CaO under reflux conditions, the transformation proceeded sequentially through Knoevenagel condensation, Michael addition, and intramolecular cyclization steps, leading to the formation of polyfunctional pyridine scaffolds 15. The reaction was complete within 0.8 to 2.5 h and afforded excellent product yields ranging from 70% to 92%. After cooling and separation of the catalyst via centrifugation, after removal of the solvent, the crude solid was purified via recrystallization. The solvent was removed under a vacuum, and the crude solid was recrystallized from ethanol to yield pure pyridine 15 derivatives. Characterization of the nano-CaO possessing spherical geometry showed an average particle size of 30–40 nm, as determined by SEM, while EDX evaluation confirmed its elemental composition and purity. Significantly, the catalyst maintained its catalytic performance over successive cycles, highlighting its reusability and potential for sustainable applications in heterocyclic synthesis.
Figure 6.
Eco-friendly multicomponent synthesis of pyridine derivatives using CaO nanocatalyst. Aldehyde 1.0 mmol + malononitrile 2.2 mmol + thiol 1.0 mmol; nano-CaO 0.2 mmol (≈20 mol% vs. aldehyde); EtOH/H2O 1:1; reflux; 0.8–2.5 h; 75–95% yield; recyclable (6 cycles).
Building on the utility of CaO-based catalysts for constructing polyfunctional pyridines, Fatemeh Sameri et al. further explored the catalytic potential of CaO@SiO2@BAIL nanocomposites in synthesizing a broader range of nitrogen-containing heterocycles through multicomponent transformations (Figure 7) [117]. In this approach, various triaryl-substituted pyridine and pyrimidine derivatives were prepared using a one-pot, three-component reaction, including aryl aldehydes 1 (1 mmol), aryl ketones 12 (1 mmol), and diverse nitrogen sources such as ammonium acetate 5, malononitrile 2, guanidine hydrochloride (1.5 mmol) 3, or thiourea (1 mmol) 8. Under optimized conditions, 10–20 mg of CaO@SiO2@BAIL catalyzed the reaction carried out in ethanol within a mild temperature range (25–80 °C), affording the targeted products in remarkable yields (80–96%) within 10 to 60 min. The reaction mechanism typically begins leading to the formation of a reactive imine precursor and arylidene adduct, succeeded by tautomerization, cyclization, and oxidation steps facilitated by the bifunctional basic and ionic liquid-modified catalyst surface. Notably, 2-amino-4,6-diarylpyridine-3-carbonitriles 15 were obtained via reacting aryl aldehydes, acetophenone, ammonium acetate, and malononitrile under heated conditions, while room-temperature reactions involving guanidine hydrochloride or thiourea led to 4,6-diarylpyrimidin-2-amines 15 and pyrimidine-2-thiols 9, respectively. Reaction monitoring was followed using TLC. Upon completion, the desired product was isolated using hot ethanol. The recovery and reusability of CaO@SiO2@BAIL were examined using a model reaction. Upon completion of the reaction, the catalyst was separated by centrifugation, washed with hot ethanol (5 mL), dried under a vacuum, and subsequently reused in the next cycle. The nanocatalyst retained its activity for at least six consecutive runs without any significant loss of performance. Furthermore, the FT-IR spectrum and EDX analysis of the recovered catalyst after six cycles closely resembled those of the fresh material, confirming its structural stability during recycling. The wide substrate scope and compatibility with various functional groups (including nitro, methoxy, chloro, and hydroxyl substituents) underscore the versatility of CaO@SiO2@BAIL for eco-friendly and scalable heterocyclic synthesis.
Figure 7.
Green synthesis of triaryl-substituted pyridine and pyrimidines using a CaO@SiO2@BAIL nanocatalyst. Aldehyde/ketone 1.0 mmol; CaO@SiO2@BAIL 10–20 mg; EtOH; 25–80 °C; 10–60 min; good–excellent yields; cat:substrate 10–20 mg mmol−1 (vs. carbonyl partner).
In continuation of exploring alkaline earth-based nanocatalysts in heterocyclic construction, Heidarzadeh et al. (2021) proposed a green methodology for the construction of 3-substituted indole derivatives using a bimetallic ZnO–CaO nanoparticle system (Figure 8) [119]. Unlike earlier monometallic CaO-based systems, this protocol leveraged the synergistic catalytic behavior of Zn2+ and Ca2+ ions to enhance reaction performance in a three-component reaction involving formaldehyde 1 (1.5 mmol), primary amine 3 (1 mmol), and indole 16 (1 mmol). The ZnO–CaO nanocatalyst was synthesized via a green route utilizing zinc acetate and waste eggshell-derived calcium carbonate under solvent-free thermal decomposition. The nanoparticles were thoroughly analyzed via the FT-IR, XRD, TEM, SEM, and EDS methods. The FT-IR spectrum showed distinct absorption bands between 400 and 560 cm−1, associated with Zn–O and Ca–O bonds. XRD confirmed a crystalline phase exhibiting an average particle size of about ~47 nm, while the SEM and TEM analyses revealed spherical morphologies with diameters in the 20–60 nm range. The EDS elemental mapping confirmed the homogeneous distribution of Zn, Ca, and O, along with trace amounts of biological impurities from eggshell precursors. The reaction took place under reflux in ethanol with 5 mol% of ZnO–CaO NPs, which was found to be the optimum loading. Lower catalyst concentrations led to reduced conversion, while higher amounts showed no significant benefit. The mechanism involves nanoparticle-assisted activation of the aldehyde, thereafter resulting in imine formation via the amine and subsequent electrophilic substitution occurring at the nucleophilic C3-position of indole, yielding 3-substituted indole derivative 17 in yields ranging from 33% to 88%. Importantly, the catalyst was conveniently separated by centrifugation, and then washed with ethanol and dried at 70 °C for 2 h. The recovered catalyst was reused in a fresh reaction under the same conditions and maintained its activity for up to four consecutive cycles. This work highlights the catalytic efficiency of ZnO-CaO nanoparticles while also promoting sustainability through the use of waste-derived calcium sources and recyclable nanocatalysts.
Figure 8.
One-pot preparation of 3-substituted indole derivatives.
In 2012, Satish et al. investigated the catalytic activity of xCe-Ca-O nanocomposite oxide catalysts for the production of 2-amino-2-chromenes 19 via one-pot multicomponent condensation of aryl aldehydes, malononitrile, and a-naphthol in aqueous media (Figure 9) [120]. The multicomponent condensation reaction begins without the Ce-Ca-O catalyst under heating at 80 °C for 12 h under water-mediated conditions. Knoevenagel products are formed through the condensation process involving aryl aldehyde 1 and malononitrile 2 in the reaction medium. Without the catalyst, the method does not afford 2-amino-2-chromene 19. Ce-Ca-O catalysts with different compositions were analyzed for their efficiency in producing 2-amino-2-chromene at 80 °C for 1 h. The study examined the physicochemical behavior and catalytic efficiency of various xCe-Ca-O catalysts in the condensation of benzaldehyde, malononitrile, and a-naphthol. It was observed that ceria loading of up to 20 mol% enhanced the reaction rate, with the 20Ce-Ca-O catalyst showing the highest catalytic activity. Research suggests that adding Ce4+ to the CaO lattice enhances its iconicity. This may improve charge separation and promote the basic strength of O2- ions within the composite oxide. The composite oxide is more active than pure CaO due to changes in physicochemical properties caused by cerium ion replacement. XRD, UV-VISIBLE, and TEM studies reveal that Ce4+ ions change particle dimension and phase composition, leading to an evenly distributed oxide mixture incorporated into the CaO matrix. Particles in the CaO matrix grain boundaries between the two phases may create novel basic sites responsible for enhanced catalytic activity. On the basis of catalytic analysis, the 20Ce-Ca-O catalyst was selected for further investigation studies for the synthesis of 2-amino-2-chromenes. Optimization of the reaction conditions was achieved via modifying both the catalyst concentration and the stoichiometric ratios of the reactants by variation in the catalyst amount and stoichiometry. It was observed that 25 mg of catalyst per 1 mmol of reactants, benzaldehyde, malononitrile, and a-naphthol, afforded optimal results, yielding 78% of the product. Adding more catalyst did not increase the yield. The reaction was most efficient at 80 °C, which produced significantly higher yields than temperatures ranging from 60 °C to 100 °C. The optimal reactant ratio was 1:1:1. These refined conditions were then applied to the diverse variety of substituted aromatic aldehydes involved in the reactions. The 20Ce-Ca-O catalyst was effective for a diverse set of aryl aldehydes, functionalized with electron-withdrawing and electron-donating substituents, producing consistently high yields and product purity. The catalyst showed good recyclability, maintaining consistent performance over three cycles, with yields of 78%, 74%, and 72% being achieved in succession. Overall, this study describes a novel and reusable catalytic method for producing several 2-amino-2-chromenes in water.
Figure 9.
Green, one-pot aqueous synthesis of 2-amino-2-chromenes.
In 2018, Archana Dhakar et al synthesized a KOH-loaded nanoparticle catalyst using the grinding method as a systematic catalyst for the synthesis of 4H-pyran derivatives, an impactful class in the area of medicinal chemistry, pharmacology, and biological activities (Figure 10) [121]. They show promise as anti-influenza virus agents. A single-pot, solvent-free methodology, Knoevenagel condensation of ethyl acetate (1 mmol) 4, malononitrile (1 mmol) 2, and benzaldehyde (1 mmol) 1, yielded 4H-pyran 19 derivatives catalyzed by Al2O3 at 60 °C for three hours. The reaction yielded 50%. Based on spectrum analysis and analytical data, the synthesized compound was identified to be 2-amino-3cyano-5-ethoxycarbonyl-4-phenyl-6methyl-4H-pyran. The reaction time and yield varied significantly according to the catalyst used. When Fe2O3 was utilized as a catalyst, it led to a 45% yield after 3 h of the reaction. With KOH as a catalyst, the reaction duration was minimized to one hour, providing a 50% yield. The most effective catalyst, however, was 20% KOH-loaded CaO, which completed the reaction in just 10 min and yielded an excellent 92%. Numerous catalysts have been studied for product yield and reaction duration at 60 °C in the absence of solvent. The most efficient catalyst was determined to be CaO loaded with 20% KOH. The grinding method was used to create the catalyst. After five consecutive cycles, the catalytic agent’s effectiveness did not change significantly. The synthesized 2-amino 4H-pyran derivative was obtained in 92% yield. Overall product yields were obtained in the range of 75% to 92% by modifying aromatic aldehyde; the process was expanded for producing other 2-amino 4H-pyran derivatives, obtaining a very high yield of the targeted compounds. It appears that employing a variety of aromatic aldehydes possessing either electron-donating or electron-withdrawing functionalities had no effect on product yield. Structural elucidation of the obtained compound was confirmed through 1H and 13C NMR spectroscopy. Compound molecular masses were verified using liquid chromatography mass spectrometry (LC-MS). Infrared spectroscopy confirmed the presence of functional groups in the compounds. Furthermore, when stirred with aromatic aldehydes and malononitrile under equivalent reaction conditions, methyl acetoacetate produced nearly identical results when a catalytic quantity of KOH-loaded CaO (10 mmol) was available. Reaction parameters, including temperature, solvent, as well as catalyst type, and catalyst concentration, were all optimized. This final protocol was found to be appropriate for use with a wide range of aromatic aldehydes. One significant advantage of this method is that the products can be easily separated and purified using recrystallization from heated ethanol, eliminating the need for chromatography.
Figure 10.
Synthesis of 4H-pyran derivatives using a basic KOH/CaO heterogeneous catalyst.
In 2021, Fatemeh Sameri et al. created a new core/shell CaO@SiO2-SO3H nanoparticle from ball-milled waste and analyzed it through a range of techniques, including FT-IR, XRD, EDX, FE-SEM, TGA, and SEM. XRD revealed that the crystallite size was around 20 nm, and FE-SEM confirmed a uniform particle size of about 24 nm. The combination of the FT-IR, EDX, TGA, and SEM analyses revealed key details on the material structure, composition, and thermal properties. The acidic nanocatalyst showed excellent activity in the one-pot, three-component reaction carried out in water at 50 °C using environmentally friendly conditions. It was used to produce dihydropyrano [3,2-c] pyrazole 19 and tetrahydrobenzo[b]pyran 19 derivatives from aldehydes 1 (1 mmol) malononitrile 2 (1 mmol), and either 3-methyl-1-phenyl-2-pyrazolin-5-one (1 mmol) 20 or 5,5-dimethyl-cyclohexan-1,3-dione (1 mmol) 21. (Figure 11) [122]. The progress of the reaction was monitored using TLC until the reaction was complete. After confirmation, the crude reaction mixture was dissolved in hot ethanol, and the catalyst was separated from the soluble product via centrifugation. The solution was cooled to room temperature, and the isolated product was collected by filtration. Recrystallization of ethanol was used to purify it. All product identities and purities had been confirmed by comparing the melting point with previously reported compounds. The desired product was isolated in excellent yield by performing the reaction using 20 mg nanocatalyst in water at 50 °C. The nanocatalyst was easily separated from the reaction mixture by centrifugation, followed by washing with ethanol and drying under a vacuum, enabling its effective reuse in further reactions. FT-IR spectroscopy analysis demonstrated the catalyst stability, as no notable structural alterations were observed in the CaO@SiO2-SO3H catalyst after six consecutive cycles (Figure 12).
Figure 11.
Novel acidic catalyst promoted for the efficient one-pot synthesis of dihydropyrano [2,3-c] pyrazoles.
Figure 12.
Construction pathway of CaO@SiO2-SO3H.
In 2021, researchers, including Fatemeh Sameri et al., created a new catalyst by covalently stabilizing a zinc (II) Schiff base on CaO@SiO2 nanoparticles. The one-pot, three-component condensation reaction for the formation of 4H-pyran 23 was effectively catalyzed via hybrid nanomaterials (CaO@SiO2-NH2-Sal-Zn). The resulting derivatives could be used to treat inflammation, bacteria, cancer, and spasms. The catalyst structure and composition were confirmed using a variety of techniques such as FT-IR, FE-SEM, XRD, EDS, TEM, TGA, and ICP-MS. A mixture of malononitrile 2 (1 mmol), 4-hydroxycoumarin 22 (1 mmol), 3-methyl-1-phenyl-2-pyrazolin-5-one 20 (1 mmol) or 5,5-dimethylcyclohexane-1,3-dione (1 mmol) 21, an aromatic aldehyde 1 (1 mmol), and CaO@SiO2-NH2-Sal-Zn (0.01 g) was placed in a round-bottom flask and mechanically agitated at room temperature for the appropriate duration (Figure 13) [123]. Upon completion of the reaction, as confirmed via thin-layer chromatography, 10 mL of hot ethanol was poured into the reaction mixture and stirred for another 10 min at ambient temperature. The hybrid catalyst (10 mg) was utilized to effectively develop dihydropyrano[c]chromene 25 derivatives using the Knoevenagel condensation reaction between malononitrile with catalyst-activated aldehydes, yielding intermediate I (arylidene malononitrile). The subsequent Michael addition of 4-hydroxycoumarin to give intermediate II, which then underwent intramolecular cyclization to generate intermediate III is shown in Figure 14. Final tautomerization produced the target compound. A similar protocol was used in the preparation of dihydropyrano [3,2-c]pyrazoles 24 and tetrahydrobenzo[b]pyrans 23, catalyzed via CaO@SiO2-NH2-Sal-Zn. The isolated yields ranged between 83% and 97%. Significantly, the recovered catalyst retained its activity and was reused for six consecutive cycles without a notable decrease in performance.
Figure 13.
One-pot synthesis of 4H-pyran rings catalyzed by CaO@SiO2 hybrid nanocatalyst. Malononitrile + aldehyde + 4-hydroxycoumarin (typically 1.0 mmol each); CaO@SiO2-NH2-Sal-Zn 10 mg; H2O or EtOH/H2O (per example); rt–reflux; short times; 83–97% yield; recyclable (≥6 cycles); cat:substrate ≈ 10 mg mmol−1 (vs. aldehyde).
Figure 14.
Plausible reaction mechanism for the CaO@SiO2−NH2−Sal−Zn catalyzed synthesis of dihydropyrano[c]chromenes.
In 2020, Fatemeh Sameri et al. developed and characterized a hybrid nanocatalyst (CaO@SiO2). They used several techniques, including FT-IR, XRD, SEM, EDS, WDS map scan, and thermogravimetric analysis. Their analysis confirmed that the nanoparticles were uniformly dispersed, nearly spherical, and had an average size of approximately 8 nm. XRD patterns confirmed this size. According to Scherrer’s equation, the nanocatalyst’s crystalline size was 8 nm. These new nanoparticles (0.01 g) were then used as a catalyst in the three-component reaction at 80 °C, and 1 mmol of an alkyl or arylamine 3 ethyl cyanoacetate 2 and either 2-hydroxybenzaldehyde 21 or 2-hydroxy-1-naphthaldehyde 18 were stirred together without solvent. The CaO@SiO2@AIL catalyst was highly effective in producing 2-imino-2H-chromenes (Figure 15) [124] under mild, green conditions. This approach was carried out using a wide variety of amines, comprising those with both electron-withdrawing and electron-donating substituents. The reaction begins through a nucleophilic substitution reaction between an amine and ethyl cyanoacetate, yielding N-alkyl-2-cyanoacetamide. This step involves a Knoevenagel condensation of the anion with 2-hydroxybenzaldehyde-yielded intermediate A. The final product is then formed through a cyclization reaction in which the OH groups of intermediate A attack the nitrile group nucleophilically. The study investigated the best conditions for synthesizing dihydropyrano[c]chromenes through a representative reaction of malononitrile, 4-chlorobenzaldehyde, and 4-hydroxycoumarin with CaO@SiO2AIL catalyst. Water (H2O) was found to be the best solvent at room temperature after H2O was determined to be an appropriate solvent for this reaction at ambient temperature after analyzing a variety of solvents, including H2O, EtOH, CHCl3, THF, DMF, EtOAc, and CH3CN. Using 0.01 g of catalyst produced optimal conditions, leading to high yields and with minimal reaction time. To determine the approach’s general applicability, the desired product with diverse electron-donating and electron-withdrawing groups was reacted under optimal conditions to produce the target compound. The reaction involves three steps. Initially, the CaO@SiO2AIL catalyst facilitates the Knoevenagel condensation of an aldehyde and malononitrile, resulting in arylidenemalononitrile (A’); this intermediate then undergoes a Michael addition, in which the 4-hydroxycoumarin anion attacks the catalyst to cyclize and yield intermediate B. Finally, catalyst-assisted hydrogen abstraction is followed by tautomerization, yielding the desired product. Product yields were obtained in the range of 75% to 96%. Separation and reusability of catalysts are crucial aspects of green chemistry. Resuability test confirmed that the catalyst maintained stability and catalytic performance over six consecutive uses. The recovered catalyst was regenerated by hot ethanol washing and then oven drying (Figure 16).
Figure 15.
One-pot production of 2-Imino-2H-chromenes and dihydropyrano [c]chromenes. Amine 1.0 mmol + ethyl cyanoacetate 1.0 mmol + 2-hydroxybenzaldehyde (or 2-hydroxy-1-naphthaldehyde) 1.0 mmol; CaO@SiO2@AIL 0.01 g (10 mg); solvent-free, 80 °C; short times; high yields; cat:substrate ≈ 10 mg mmol−1 (vs. aldehyde).
Figure 16.
A systematic route to dihydropyrano [c]chromenes catalyzed by CaO@SiO2@AIL. malononitrile + aldehyde + 4-hydroxycoumarin (1.0 mmol each); CaO@SiO2@AIL 0.01 g (10 mg); H2O, rt (optimized as best); 75–96% yield; recyclable (≥6 cycles); cat:substrate ≈ 10 mg mmol−1 (vs. aldehyde).
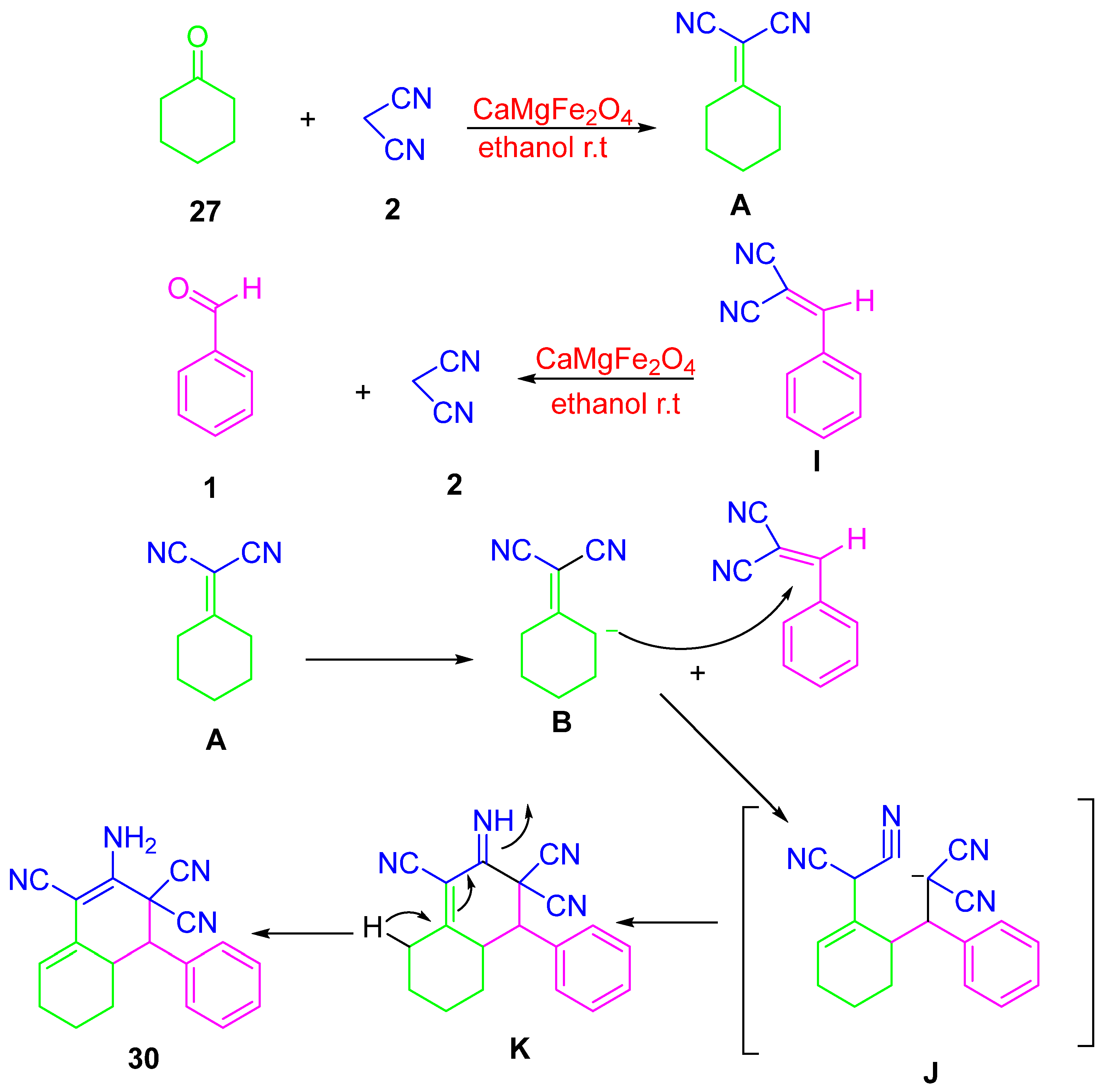
In 2020, Hossein Naeimi et al. prepared and characterized a three-metal nanocatalyst, CaMgFe2O4, using the sol–gel method. The catalyst was synthesized in a one-step reaction and analyzed using XRD, VSM, SEM, XPS, and EDX. The sample’s crystalline structure was identified via XRD analysis. The SEM representation of CaMgFe2O4 confirms that the nanocatalyst formed as homogeneous nanometer-sized particles around 45 nm. EDS analysis reveals the presence of magnesium, calcium, iron, and oxygen throughout the matrix. This nanocatalyst has been used to generate 1H-isochromene, 4H-Chromenes, and orthoaminocarbonitrile tetrahydronaphthalenes via multicomponent processes (Figure 17, Figure 18 and Figure 19) [125]. The product was constructed in a one-pot method using the three-component methodology composed of cyclohexanone (1 mmol) 27, benzaldehyde (1 mmol) 1, and malononitrile (1 mmol) 2 with CaMgFe2O4 nanocatalyst for generation of 1H-chromene. The synthesis of 1H-isochromene starts with a reaction between cyclohexanone 27 and malononitrile 2 in an ethanol solvent, catalyzed by a CaMgFe2O4 base catalyst. This first step creates the intermediate vinylmalononitriles via a vinylogous Michael addition. In the second step, benzaldehyde 1 is added to the reaction mixture. This initiates a series of cyclization events, resulting in the generation of both C-C bonds and C-O bonds. The process ends when the base catalyst removes a hydrogen atom, resulting in the final 1H-isochromene product 28. The product yield ranged between 85% and 95%. Similarly, the synthesis of 4H-chromene was completed in two steps. Initially, cyclohexanone and benzaldehyde were reacted in ethanol with a CaMgFe2O4 heterogeneous base catalyst to produce the intermediate chalcone F through a condensation reaction. Then, malononitrile was added, resulting in a Michael addition and the creation of intermediate G. The process then proceeded via the C-O bond formation and a subsequent double bond rearrangement, producing the desired 4H-chromene product 29. The resulting product yields varied, falling between 88% and 93%. The preparation of ortho-aminocarbonitrile tetrahydronaphthalene 30 uses a series of Michael additions and cyclization reactions. The process starts with cyclohexanone and malononitrile reacting to form intermediate A. Concurrently, a second equivalent of malononitrile reacts with benzaldehyde, affording intermediate I. The highly efficient nano-based catalyst then promotes the formation of the intermediate. In this critical step, the anion from intermediate B attacks intermediate I, resulting in a cyclization reaction that creates two new C-C bonds. The reaction ends with the base catalyst abstracting a hydrogen atom, followed by a molecular rearrangement that produces the final ortho-aminocarbonitrile tetrahydronaphthalene product. Product yields between 91% and 96% were achieved. The catalyst demonstrated excellent reusability, catalyzing the reaction for six consecutive cycles without losing activity.
Figure 17.
A catalyst-promoted route to 1H-isochromenes through cyclization and tautomerization.
Figure 18.
Efficient multicomponent route to 4H-chromenes.
Figure 19.
Proposed mechanistic pathway for ortho-aminocarbonitrile tetrahydronaphthalenes.
In 2022, Maryam Hamzehyniya et al. synthesized a new CaO@walnut husk@ZnO nanoparticle by immobilizing Zn (II) ions on calcium oxide (CaO) nanoparticles that had been coated using walnut husk extract. Its structural and physicochemical properties were investigated using FT-IR, FE-SEM, EDS, XRD, and TGA. This new catalyst proved to be very efficient in producing benzylpyrazolyl coumarin derivatives in significant amounts via a multicomponent reaction (Figure 20) [126]. The preparation was refluxed in a round-bottom flask through refluxing a combination of aldehyde (1 mmol) 1, ethyl acetoacetate (1 mmol) 4, hydrazine hydrate 3, or phenylhydrazine (1.5 mmol), 4-hydroxycoumarin 22 (1 mmol), and 0.02 g CaO@walnut husk@ZnO catalyst in an ethanol–water solution (1:1) at 70 °C. This process resulted in the production of 4-(4-hydroxy 2-oxo-2H-chromen-3-yl)(phenyl)methyl)-5-methyl-2,4-dihydro-3H-pyrazol-3-one. Investigation of the reaction was performed using a variety of parameters, including varying temperatures, solvents, and catalyst amounts. The model reaction yielded the targeted product in good to excellent yield when 20 mg of nanocatalyst was used at 70 °C using a mixture of EtOH: H2O (1:1) as the solvent. A range of aromatic aldehydes, either electron-withdrawing or electron-donating, was employed to synthesize the target compounds. The reaction starts using a Zn complex on CaO NPs, exhibiting a Lewis acid site. The carbonyl groups of both aldehyde and ethyl acetoacetate are activated by the catalyst. The activated aldehyde carbonyl undergoes nucleophilic addition of 4-hydroxycoumarin to the activated aldehyde carbonyl, which undergoes dehydration, affording intermediate I. Hydrazine interacts with the ethyl acetoacetate at the activated carbonyl to generate pyrazolone intermediate II. The Michael addition of intermediates I and II leads to intermediate III, which then undergoes catalyst-assisted oxidation to afford the final product. The isolated yields varied from 77% to 95%. Separation of the catalyst was achieved through filtration, washing with ethanol, and vacuum drying at 60 °C. Reusability indicated that the catalyst exhibited consistent activity through five consecutive cycles under identical reaction conditions, with no significant loss in performance.
Figure 20.
A catalyst-promoted approach for the synthesis of benzylpyrazolyl coumarin derivatives.
In 2014, Elaheh Mosaddegh et al. created a nano-CaO catalyst by calcining ball-milled chicken eggshell waste. This catalyst was used to create pyrano [4,3-b] pyrans, a class of compounds noted for their diverse biological and pharmacological activities, including antibacterial, antiviral, and anticancer properties. A mixture of 4-chlorobenzaldehyde 1 (1 mmol), malononitrile 2 (1 mmol), and 4-hydroxy-6-methylpyrrolidone (1 mmol) 22 was refluxed at 120 °C in the absence of solvents. The addition of 0.1 g of the nano-CaO catalyst resulted in the production of 4-hydroxy-6-methyl-2H-pyran-2-one 32 in high yield (Figure 18) [127]. Completion of the reaction was verified via TLC. Hot ethanol was added to the mixture and stirred for 5 min. The soluble products were eliminated by filtration, and the isolated solid catalyst was thoroughly washed with hot ethanol. prano [4,3-b] pyrans were isolated in excellent yields and product purity without any further purification. The reaction mechanism proceeds through the generation of benzylidene malononitrile to an aromatic aldehyde, which subsequently undergoes dehydration. This is followed by a Michael addition in which 4-hydroxy-6-methyl-2H-pyran-2-one (Figure 21) [114] attacks the benzylidene malononitrile intermediate. A final cyclization step produced the target compound in 93–98% yields. The structure of the obtained compound was confirmed through IR and NMR spectroscopy. The significant attribute of this protocol was a thermal solvent-free condition utilizing an inexpensive and eco-friendly catalyst. The catalyst demonstrated excellent recyclability and maintained its activity across multiple runs.
Figure 21.
A multicomponent approach to 2-amino-7-methyl-5-oxo-4-phenyl-4,5-dihydropyrano [4,3-b]pyran-3-carbonitrile derivatives catalyzed by CaO.
In 2015, Elaheh Mosaddegh et al. introduced the construction of an innovative heterogeneous catalyst, Ca2CuO3/CaCu2O3/CaO nanocomposite. The catalyst was obtained via co-precipitation followed by thermal decomposition, using cost-effective precursors CuSO4 and waste eggshells. The catalytic performance of the resulting mesoporous mixed metal oxide was examined in the preparation of 2H-indazolo [2,1-b] phthalazine-triones 34 (Figure 22) [128]. XRD analysis confirmed the material’s orthorhombic structure, with the CaO phase possessing an average crystallite size of 42.5 nm. TEM and FE-SEM analyses revealed that particles possessed an average particle size of 16 nm and provided insights into surface morphology. The nanocomposite thermal stability was determined through thermogravimetric analysis (TGA). The nanocomposite catalytic performance was examined through a one-pot, three-component condensation reaction comprising aromatic aldehyde 1, dimedone 21, and phthalhydrazide 33. This reaction, which yielded 2H-indazolo [2,1-b] phthalazine-triones, was conducted at 125 °C without any solvent, and monitored by TLC, with completion typically taking just short reaction times of 5–20 min. Upon completion of the reaction, the reaction mixture was subjected to stirring for another five minutes before hot ethanol was introduced. Cooling induced crystallization, resulting in it being easier to isolate the product. The obtained solid was dried at 80 °C for one hour. The isolated yields were high, ranging between 80% and 94%. The identity of the product was achieved through comparison of its physical properties to reference compounds. The optimal amount of catalyst was found to be between 0.02 and 0.2 g. The highest yield was achieved with 0.1 g of nanocomposite catalyst. To determine the range of substrates, a wide range of aldehydes carrying electron-donating (EDG) or electron-withdrawing (EWG) groups was utilized under optimized conditions, providing good to excellent yields (80–94%) within a short reaction time of 5–20 min. Notably, the catalyst demonstrated consistent efficiency and catalytic activity after five reuse cycles.
Figure 22.
A green one-pot, multicomponent approach for synthesizing 2H-indazolo [2,1-b] phthalazine-trione derivatives using CaO-CuO nanocomposite.
In 2020, Sakineh Khaledi et al. developed and synthesized a Co/Ca-Al2O3 composite heterogeneous catalyst using co-precipitation. Its catalytic activity was examined before the production of 4H-pyran derivatives. The material’s surface area was determined through XRD, SEM, EDS, TEM, and BET. SEM images revealed a rod-shaped nanostructure, and EDX characterization confirmed the presence of cobalt, calcium, aluminum, and oxygen, indicating that the mixed metal oxide was highly pure. Quantitative EDX measurement revealed a surface composition of approximately 14.38 wt% Co, 7.45 wt% Ca, 44.17 wt% Al, and 33.99 wt% O. Elemental mapping revealed a consistent distribution of these elements, while TEM revealed that cobalt and calcium oxide nanoparticles, each less than 100 nm in size, were evenly dispersed on the Al2O3 support. A model reaction involving 4-nitrobenzaldehyde (1 mmol) 1, malononitrile (1 mmol) 2, and ethyl acetoacetate (1 mmol) 4 was employed to optimize the reaction parameters, focusing on the effects of solvent, temperature, and catalyst amount on both reaction efficiency and reaction yield. Optimization studies revealed that 0.02 g of Co/Ca-Al2O3 provided the most efficient catalytic activity, giving the highest yield. To evaluate the catalytic scope of the Co/Ca-Al2O3 catalyst, a series of 6-amino-5-cyano-4H-pyran-3-carboxylate 19 derivatives were synthesized (Figure 23) [129]. A one-pot reaction involving malononitrile, various aldehydes, and ethyl acetoacetate yielded the desired products. This method was successfully applied to diverse aryl aldehydes, whether they contained electron-donating or electron-withdrawing groups, and produced products ranging from 83% to 95%. The reaction involves a nucleophilic addition of malononitrile, which undergoes a dehydration step. This is followed via Michael addition, in which 4-hydroxy-6-methyl-2H-pyran-2-one attacks the benzylidene malononitrile intermediate and finally a cyclization step is taken to produce product after successfully synthesizing 6-amino-5-cyano-4-phenyl-2-methyl-4H-pyran-3-carboxylic acid ethyl esters, and the Co/Ca-Al2O3 catalyst is further applied for the construction of tetrahydrobenzo[b]pyrans 19. Optimization of the reaction was carried out via a model reaction comprising 4-nitrobenzaldehyde, malononitrile, and dimedone 21, and ethyl acetoacetate was substituted. Optimal conditions of 0.02 g of catalyst in ethanol under reflux provided yields of 80% to 95%. High reusability was observed, retaining efficiency over five successive cycles without loss of activity.
Figure 23.
A multicomponent approach to 4H-pyran derivatives using Co/Ca–Al2O3 nanocatalyst.
In 2023, Shally Sharma et al. developed catalysts KF(20)CaOHC-Fe3O4/TiO2(400) and Ag@KF(20)CaOHC-Fe2O4/TiO2(400), which were prepared utilizing a green, sustainable calcium source derived from waste chicken eggshells. The active form of CaO, essential for the catalytic activity, was obtained using a simple calcination–hydration–dehydration method. The catalytic efficiency of KF(20)CaOHC-Fe3O4/TiO2(400) was assessed in the one-pot synthesis of tetrahydro-4H-chromenes 35, while Ag@KF(20)CaOHC-Fe3O4/TiO2(400) catalyst displayed remarkable efficiency in the preparation synthesis of benzopyranopyrimidines 36 (Figure 24, Figure 25, Figure 26, Figure 27 and Figure 28) [130]. The reaction conditions were optimized using a model one-pot condensation of benzaldehyde 1, malononitrile 2, and dimedone 21 for the formation of tetrahydro-4H-chromenes. Even after a prolonged reaction, the model reaction without a catalyst produced a low product yield. Using CaOHC and CaOHC-Fe3O4/TiO2(400) as catalysts did not significantly improve yields. KF modification significantly increased product yield, as seen with KF(10)CaOHC-FeO4/TiO2(400), KF(15)CaOHC-FeO4/TiO2(400), and KF(20)CaOHC-FeO4/TiO2(400); KF(20)CaOHC-FeO4/TiO2(400) had the highest yield and selectivity, possibly because of the increased number of surface basic sites present arising from higher KF concentrations, leading to improved reaction rate. The results were similar when the model reaction proceeded using Ag@KF(20)CaOHC-FeO4/TiO2(400) to improve the protocol’s sustainability for single-pot preparation of chromene derivatives. Optimizing the catalyst amount using KF(20)CaOHC-Fe3O4/TiO2(400) (50 mg, 100 mg, 150 mg, and 200 mg) revealed that 0.1 g was optimal, as lower amounts reduced yield (85%) and higher amounts provided no additional benefit. We then looked into the role of the solvent and discovered that solvent-free conditions were poor. After screening various solvents (H2O, EtOH, CH3CN, and PhCH3), water was found to be the most effective and sustainable option, with the best results at 80 °C. The reaction was optimized using 0.1 g KF(20)CaOHC-Fe3O4/TiO2(400) catalyst for a three-component reaction at 80 °C. The refined catalytic system was then used to generate tetrahydro-4H-chromene from a variety of substituted aromatic aldehydes, demonstrating excellent tolerance covering electron-donating and electron-withdrawing heterocyclic groups. The pure yield was isolated with an 83–96% yield. A similar one-pot multicomponent reaction occurs between O-hydroxybenzaldehydes (2 mmol), malononitrile (1 mmol), and secondary amine (1 mmol) with nanocatalyst Ag@KF(20)CaOHC-Fe2O4/TiO2(400) 2.31 mol% in EtOH at 80 °C toward the formation of benzopyranopyrimidines. These heterogeneous catalysts are biologically relevant and demonstrate pharmacological potential, and investigation using KF(20)CaOHC-Fe3O4/TiO2(400) in the role of a heterogeneous solid base catalyst facilitates the one-pot preparation of benzopyranopyrimidines from salicyladehyde 18, malononitrile 2, and piperidine 3, given the known pharmacological importance of heterocycles. The first attempt yielded low yields and incomplete conversions. Silver nanoparticles were immobilized to enhance catalytic activity, resulting in Ag@KF(20)CaOHC-Fe3O4/TiO2(400). This modified catalyst completed conversions over a shorter period and with significantly excellent yield, demonstrating the critical catalytic role of silver nanoparticles in benzopyranopyrimidine synthesis. Many solvents (EtOH, CH3CN, and PhCH3) under catalytic conditions were tested in this protocol, but the maximum efficiency of the product was obtained in ethanol. The optimum reaction exhibited maximum efficiency at 70 °C. The reaction afforded the target compound with a yield in the range of 85–95%. The catalyst revealed excellent reusability, retaining catalytic activity without significant loss over five consecutive catalytic runs. This nanocatalyst was analyzed by a variety of techniques, including FT-IR, TGA, FEG-SEM, EDS mapping, EDX, XRD, and VSM.
Figure 24.
A one-pot protocol of tetrahydro-4H-chromenes catalyzed by KF(20) CaOHC-Fe3O4/TiO2(400).
Figure 25.
One-pot synthesis of benzopyranopyrimidines.
Figure 26.
Synthesis of potassium-impregnated mixed oxide catalyst.
Figure 27.
K2O/Al2O3-CaO catalyzed Knoevenagel condensation.
Figure 28.
Single-pot multicomponent Approach toward pyrano [2,3-d] pyrimidinones derivatives.
Collectively, these studies affirm the critical role of CaO and its hybrid composites in enabling diverse MCR strategies under sustainable conditions. Whether employed alone or in conjunction with modifiers such as ionic liquids, transition metal ions, or magnetic supports, CaO-based nanocatalysts consistently demonstrate high catalytic efficiency, broad substrate compatibility, and operational recyclability. Their utility in synthesizing a wide spectrum of bioactive heterocycles ranging from pyrazolines and chromenes to indazolo and pyrimidinone derivatives underscores their value in green synthetic chemistry. This evolving landscape positions CaO nanocatalysts as a vital platform for the future of eco-friendly and scalable heterocyclic synthesis.
4. Challenges and Opportunities
This section highlights what is needed to move CaO nanoparticle (CaO NPs) catalysis in multicomponent reactions (MCRs) from the lab to production. We focus on four levels: (i) scale-up and continuous flow, (ii) lifecycle and green metrics (E-factor/PMI), (iii) computational modeling of basic sites, and (iv) stability under flow.
4.1. Scale-Up and Continuous-Flow Precedents for CaO NPs
Fixed-bed (pelleted or wash-coated), monolithic, and slurry-loop formats are all compatible with CaO as a heterogeneous base. Before operation, pre-drying (120–150 °C, inert sweep) removes adsorbed H2O/CO2 that mute basicity; in flows that generate water or CO2, include periodic purge or a mild temperature ramp to sustain active O2− sites [131,132]. Wash-coating (e.g., CaO on Al2O3 or honeycomb/foam) and pelletization minimize fines and pressure-drop swings while maintaining dual-site cooperation (O2− for deprotonation; Ca2+ for carbonyl polarization) [133,134].
Report on space–time yield (STY) (mass of product per reactor volume per hour) and productivity (mass of product per mass of catalyst), so results are comparable across setups. These metrics are standard in flow chemistry and correlate directly with scalability [135,136].
4.2. Lifecycle and Green Metrics (E-Factor/PMI) Across Substrate Classes
Quantify E-factor (kg waste per kg product) and process mass intensity (PMI) (total mass in per mass of product) for each reaction family. Include solvent and work-up auxiliaries, not just reagents. Because solvent typically dominates, prioritize EtOH or EtOH/H2O and design closed-loop solvent recovery; also report energy intensity (kWh per mol product) when calcination or microwave input is used [137,138].
At the catalyst level, weigh the embodied energy of CaO preparation (calcination 500–900 °C) against service life. Express outcomes as kg product per kg CaO before regeneration, and compare the E-factor with vs. without solvent recycle. For cascades that release water, consider in-line removal (e.g., pervaporation/azeotrope) to reduce solvent volume and improve PMI [139].
4.3. Computational Modeling to Rationalize Basic-Site Distributions
Periodic DFT slab models of CaO low-index and defect-rich surfaces help quantify site basicity (charges), adsorption energies (e.g., for acetaldehyde, malononitrile, or urea/dimedone), and barriers for elementary steps via NEB. These data link directly to which step limits a given MCR and where temperature/load windows should sit [140].
Include solvent effects (EtOH/H2O) explicitly or implicitly, and calibrate theory with CO2-TPD/NH3-TPD and in situ DRIFTS. Doped or supported CaO (e.g., K/Sr-modified CaO or CaO on Al2O3/SiO2) can tune the O2−–Ca2+ balance; modeling plus experiment accelerate that optimization [141].
4.4. Stability and Operando Performance Under Flow
Likely failure modes include carbonate/hydroxide formation, organic fouling, sintering, attrition, and Ca2+ leaching. Track stability by (i) activity retention over 20–100 h at fixed STY, (ii) pressure-drop trends, (iii) ICP-OES of effluent, and (iv) **BET/XRD/CO2-TPD** before/after. Use **hot-filtration** and **leaching controls** (with the recovered solid vs. filtrate) to prove true heterogeneity—recognizing that hot filtration alone can be inconclusive unless paired with metal-analysis/poisoning tests.
Regeneration typically involves rinsing (EtOH), drying (120–150 °C), and calcining at 500–600 °C under N2/air to remove organics/carbonates; avoid over-sintering. Steam-assisted hydration can reactivate sorbent-like CaO systems; in catalytic contexts, brief hydration/calcination cycles also restore basicity when carbonation is severe []. Pelletization, binders, and wash-coating improve attrition resistance and enable long runs [142].
4.5. Outlook
Pair techno-economic and LCA analyses with standardized reporting (STY, PMI/E-factor, energy intensity, and 50–100 h stability) so CaO-enabled MCRs can be compared to incumbent bases. In parallel, computationally guided materials (facet-biased, defect-engineered, or supported/doped CaO) should be matched to reaction-family needs to reduce barrier steps while preserving green metrics [143].
5. Conclusions
This review explores how calcium oxide (CaO) nanoparticles have been employed as a versatile catalyst for multicomponent organic synthesis. The research shows that using these nanoparticles significantly improves the process by increasing product yield, reducing reaction time, and allowing for catalyst reuse. Calcium oxide nanoparticles (CaO NPs) are transforming heterocyclic chemistry by providing a greener, more efficient, and cost-effective approach for multicomponent reactions (MCRs). Their distinct basicity, large surface area, and environmentally friendly nature make them ideal for catalyzing complex transformations in mild conditions. CaO NPs simplify synthesis by reducing steps and waste while allowing for rapid assembly of bioactive heterocycles for pharmaceutical and agrochemical applications. Their versatility and recyclability are critical for sustainable chemistry. Further research into CaO-based nanocatalysis, particularly bioactive screening and SAR studies, is expected to yield novel compounds with improved therapeutic potential, thereby increasing nanotechnology’s impact on modern synthetic organic chemistry. This review offers a concise overview of how calcium oxide (CaO) nanoparticles serve as effective heterogeneous catalysts in multicomponent reactions (MCRs). It aims to encourage researchers to adopt this method for synthesis, as it provides a cleaner alternative to traditional multi-step processes that typically use toxic metal catalysts, which can harm the environment.
Author Contributions
Conceptualization, methodology, software, investigation, and writing—original draft preparation, S.S. and R.B.; data curation, resources, validation, and visualization, R.S., M.V. and M.S.; project administration and writing—review and editing, R.B., A.J.C. and M.S.; supervision, R.B. All authors have read and agreed to the published version of the manuscript.
Funding
This research received no external funding.
Data Availability Statement
No new data were created or analyzed in this study. Data sharing is not applicable to this article.
Acknowledgments
The authors convey their sincere gratitude to the Department of Chemistry, University Institute of Sciences, Chandigarh University, for providing the necessary research facilities and support.
Conflicts of Interest
The authors declare that they have no known competing financial interests or personal relationships that could have appeared to influence the work reported in this paper.
Abbreviations
The following abbreviations are used in this manuscript:
| MCRs | Multicomponent Reactions |
| CaO NPs | Calcium oxide Nanoparticles |
| TEM | Transmission Electron Microscopy |
| SEM | Scanning Electron Microscopy |
| XRD | X-ray Diffraction Spectroscopy |
| NMR | Nuclear Magnetic Resonance |
| TGA | Thermogravimetric Analysis |
| IR | Infrared Spectroscopy |
| FTIR | Fourier-Transformed Infrared Spectroscopy |
| 3CC | Three-Component Coupling |
| EDX | Energy-Dispersive X-Ray Spectrometry |
| EtOH | Ethanol |
| EtOAc | Ethyl Acetate |
| LC-MS | Liquid Chromatography Mass Spectroscopy |
| EDG | Electron-Donating Group |
| EWG | Electron-Withdrawing Group |
| Mw | Microwave |
| DMSO | Dimethyl Sulphoxide |
References
- Rusu, A.; Moga, I.M.; Uncu, L.; Hancu, G. The Role of Five-Membered heterocycles Molecular Structure of Antibacterial Drugs Used Therapy. Pharmaceutics 2023, 15, 2554. [Google Scholar] [CrossRef]
- Vitaku, E.; Smith, D.T.; Njardarson, J.T. Analysis of the structural diversity, substitution patterns, and frequency of nitrogen heterocycles among US FDA approved pharmaceuticals: Miniperspective. J. Med. Chem. 2014, 57, 10257–10274. [Google Scholar] [CrossRef]
- Newman, D.J.; Cragg, G.M. Natural products as sources of new drugs over the nearly four decades from 01/1981 to 09/2019. J. Nat. Prod. 2020, 83, 770–803. [Google Scholar] [CrossRef]
- Leeson, P.D.; Springthorpe, B. The influence of drug-like concepts on decision-making in medicinal chemistry. Nat. Rev. Drug Discov. 2007, 6, 881–890. [Google Scholar] [CrossRef]
- Meanwell, N.A. Improving drug candidates by design: A focus on physicochemical properties as a means of improving compound disposition and safety. Chem. Res. Toxicol. 2011, 24, 1420–1456. [Google Scholar] [CrossRef]
- Trost, B.M. Atom economy—A challenge for organic synthesis: Homogeneous catalysis leads the way. Angew. Chem. Int. Ed. 1995, 34, 259–281. [Google Scholar] [CrossRef]
- Domling, A.; Ugi, I. Multicomponent reactions with isocyanides. Angew. Chem. Int. Ed. 2000, 39, 3168–3210. [Google Scholar] [CrossRef]
- Toure, B.B.; Hall, D.G. Natural product synthesis using multicomponent reaction strategies. Chem. Rev. 2009, 109, 4439–4486. [Google Scholar] [CrossRef] [PubMed]
- Rotstein, B.H.; Zaretsky, S.; Rai, V.; Yudin, A.K. Small heterocycles in multicomponent reactions. Chem. Rev. 2014, 114, 8323–8359. [Google Scholar] [CrossRef]
- Coppola, G.A.; Pillitteri, S.; Van der Eycken, E.V.; You, S.L.; Sharma, U.K. Multicomponent reactions and photo/electrochemistry join forces: Atom economy meets energy efficiency. Chem. Soc. Rev. 2022, 51, 2313–2382. [Google Scholar] [CrossRef]
- Xin, X.; Wang, Y.; Kumar, S.; Liu, X.; Lin, Y.; Dong, D. Efficient one-pot synthesis of substituted pyridines through multicomponent reaction. Org. Biomol. Chem. 2010, 8, 3078–3082. [Google Scholar] [CrossRef]
- Hulme, C.; Gore, V. Multicomponent reactions: Emerging chemistry in drug discovery from xylocain to crixivan. Curr. Med. Chem. 2003, 10, 51–80. [Google Scholar] [CrossRef]
- de Orru, R.V.; Greef, M. Recent advances in solution-phase multicomponent methodology for the synthesis of heterocyclic compounds. Synthesis 2003, 2003, 1471–1499. [Google Scholar] [CrossRef]
- Varma, R. Solvent-free organic syntheses. using supported reagents and microwave irradiation. Green Chem. 1999, 1, 43–55. [Google Scholar] [CrossRef]
- Tao, L.; Wei, Y.; Shi, M. Thermally-Induced Intramolecular [4+2] Cycloaddition of Allylamino-or Allyloxy-Tethered Alkylidenecyclopropanes. Chem. Asian J. 2021, 16, 2463–2468. [Google Scholar] [CrossRef]
- Nunes, P.S.G.; Vidal, H.D.A.; Corrêa, A.G. Recent advances in catalytic enantioselective multicomponent reactions. Org. Bio. Chem. 2020, 18, 7751–7773. [Google Scholar] [CrossRef]
- Polshettiwar, V.; Varma, R.S. Green chemistry by nano-catalysis. Green Chem. 2010, 12, 743–754. [Google Scholar] [CrossRef]
- Varma, R.S. Greener and sustainable trends in synthesis of organic and nanomaterials. ACS Sustain. Chem. Eng. 2016, 4, 5866–5878. [Google Scholar] [CrossRef]
- Li, X.; Zhong, F.; Li, P.; Xiao, X.J. Transition metal modified Al2O3 mesoporous nanospheres for catalysis of organic reactions. Appl. Surf. Sci. 2024, 653, 159355. [Google Scholar] [CrossRef]
- Astruc, D.; Lu, F.; Aranzaes, J.R. Nanoparticles as recyclable catalysts: The frontier between homogeneous and heterogeneous catalysis. Angew. Chem. Int. Ed. 2005, 44, 7852–7872. [Google Scholar] [CrossRef]
- Feng, X.; Ji, P.; Li, Z.; Drake, T.; Oliveres, P.; Chen, E.Y.; Lin, W. Aluminum hydroxide secondary building units in a metal–organic framework support earth-abundant metal catalysts for broad-scope organic transformations. ACS Catal. 2019, 9, 3327–3337. [Google Scholar] [CrossRef]
- Nasrollahzadeh, M.; Sajjadi, M.; Iravani, S.; Varma, R.S. Trimetallic nanoparticles: Greener synthesis and their applications. Nanomaterials 2020, 10, 1784. [Google Scholar] [CrossRef] [PubMed]
- Tabrizi Hafez Moghaddas, S.S.; Samareh Moosavi, S.; Kazemi Oskuee, R. Green synthesis of calcium oxide nanoparticles in Linum usitatissimum extract and investigation of their photocatalytic and cytotoxicity effects. Biomass Conv. Bioref. 2024, 14, 5125–5134. [Google Scholar] [CrossRef]
- Khine, E.E.; Koncz-Horvath, D.; Kristaly, F. Synthesis and characterization of calcium oxide nanoparticles for CO2 capture. J. Nanopart. Res. 2022, 24, 139. [Google Scholar] [CrossRef]
- Khan, A.; Hussain, S.T.; Naeem, A.; Sadiqa, A.; Ahmad, A.; Shehzada, M.A.A.; Albaqami, M.D. Next-generation calcium oxide nanoparticles: A breakthrough in energy storage and humidity sensing. Results Chem. 2025, 14, 102073. [Google Scholar] [CrossRef]
- Borah, M.J.; Das, A.; Das, V.; Bhuyan, N.; Deka, D. Transesterification of waste cooking oil for biodiesel production catalyzed by Zn substituted waste egg shell derived CaO nanocatalyst. Fuel 2019, 242, 345–354. [Google Scholar] [CrossRef]
- Tigro, A.A.; Hailegiorgis, S.M.; Reshad, A.S. Heterogeneous Alkaline Calcium Oxide Nano-Catalyst Supported on Porous Materials for the Transesterification Reaction: A Review. Results Eng. 2025, 27, 105912. [Google Scholar] [CrossRef]
- Niju, S.; Meera, K.M.; Begum, S.; Anantharaman, N. Modification of egg shell and its application in biodiesel production. J. Saudi Chem. Soc. 2014, 18, 702–706. [Google Scholar] [CrossRef]
- Jadhav, V.; Bhagare, A.; Wahab, S.; Lokhande, D.; Vaidya, C.; Dhayagude, A.; Khalid, M.; Aher, J.; Mezni, A.; Dutta, M. Green synthesized calcium oxide nanoparticles (CaO NPs) using leaves aqueous extract of moringa oleifera and evaluation of their antibacterial activities. J. Nanomater. 2022, 1, 9047507. [Google Scholar] [CrossRef]
- Ahmad, A.; Rao, S.; Shetty, N.S. Green multicomponent synthesis of pyrano [2, 3-c] pyrazole derivatives: Current insights and future directions. RSC Adv. 2023, 13, 28798–28833. [Google Scholar] [CrossRef]
- Gawande, M.B.; Bonifácio, V.D.; Luque, R.; Branco, P.S.; Varma, R.S. Benign by design: Catalyst-free in-water, on-water green chemical methodologies in organic synthesis. Chem. Soc. Rev. 2013, 42, 5522–5551. [Google Scholar] [CrossRef]
- Santos, A.S.; Raydan, D.; Cunha, J.C.; Viduedo, N.; Silva, A.M.; Marques, M.M.B. Advances in green catalysis for the synthesis of medicinally relevant N-heterocycles. Catalysts 2021, 11, 1108. [Google Scholar] [CrossRef]
- Khalil, M.; Kadja, G.T.; IImi, M.M. Advanced nanomaterials for catalysis: Current progress in fine chemical synthesis, hydrocarbon processing, and renewable energy. J. Ind. Eng. Chem. 2021, 93, 78–100. [Google Scholar] [CrossRef]
- Aljaddua, H.I.; Alhumaimess, M.S.; Hassan, H.M. CaO nanoparticles incorporated metal organic framework (NH2-MIL-101) for Knoevenagel condensation reaction. Arab. J. Chem. 2022, 15, 103588. [Google Scholar] [CrossRef]
- Khalid, R.; Din, M.I.; Parveen, A.; Hussain, Z.A. Critical Review on Green Synthesis of Calcium Oxide Nanoparticles and Calcium Based Nanocomposites. BioNanoScience 2025, 15, 390. [Google Scholar] [CrossRef]
- Mallat, T.; Baiker, A. Oxidation of alcohols with molecular oxygen on solid catalysts. Chem. Rev. 2004, 104, 3037–3058. [Google Scholar] [CrossRef]
- Sharma, N.; Ojha, H.; Bharadwaj, A.; Pathak, D.P.; Sharma, R.K. Preparation and catalytic applications of nanomaterials: A review. RSC Adv. 2015, 5, 53381–53403. [Google Scholar] [CrossRef]
- Cioc, R.C.; Ruijter, E.; Orru, R.V. Multicomponent reactions: Advanced tools for sustainable organic synthesis. Green Chem. 2014, 16, 2958–2975. [Google Scholar] [CrossRef]
- Vinogradov, M.G.; Turova, O.V.; Zlotin, S.G. Recent advances in the asymmetric synthesis of pharmacology-relevant nitrogen heterocycles via stereoselective aza-Michael reactions. Org. Biomol. Chem. 2019, 17, 3670–3708. [Google Scholar] [CrossRef]
- Sahu, N. One-Pot Multicomponent Reactions: A Versatile Approach for Heterocyclic Compound Synthesis. Reactions 2024, 10, 1–7. [Google Scholar]
- Deshmukh, M.B.; Salunkhe, S.M.; Patil, D.R.; Anbhule, P.V. A novel and efficient one step synthesis of 2-amino-5-cyano-6-hydroxy-4-aryl pyrimidines and their anti-bacterial activity. Eur. J. Med. Chem. 2009, 44, 2651–2654. [Google Scholar] [CrossRef]
- Sohal, H.S. A review on recent trends in synthesis and applications of 1, 4-dihydropyridines. Mater. Today Proc. 2022, 48, 1163–1170. [Google Scholar] [CrossRef]
- Ying, S.; Guan, Z.; Ofoegbu, P.C.; Clubb, P.; Rico, C.; He, F.; Hong, J. Green synthesis of nanoparticles: Current developments and limitations. Environ. Technol. Innov. 2022, 26, 102336. [Google Scholar] [CrossRef]
- Vijai Anand, K.; Reshma, M.; Kannan, M.; Muthamil Selvan, S.; Chaturvedi, S.; Shalan, A.E.; Govindaraju, K. Preparation and characterization of calcium oxide nanoparticles from marine molluscan shell waste as nutrient source for plant growth. J. Nanostruct. Chem. 2021, 11, 409–422. [Google Scholar] [CrossRef]
- Donelson, J.L.; Gibbs, R.A.; De, S.K. An efficient one-pot synthesis of polyhydroquinoline derivatives through the Hantzsch four component condensation. J. Mol. Catal. A Chem. 2006, 256, 309–311. [Google Scholar] [CrossRef]
- Liu, X.; He, H.; Wang, Y.; Zhu, S.; Piao, X. Transesterification of soybean oil to biodiesel using CaO as a solid base catalyst. Fuel 2000, 87, 216–221. [Google Scholar] [CrossRef]
- Friend, C.M.; Xu, B. Heterogeneous catalysis: A central science for a sustainable future. Acc. Chem. Res. 2017, 50, 517–521. [Google Scholar] [CrossRef]
- Kumari, S.; Raturi, S.; Kulshrestha, S.; Chauhan, K.; Dhingra, S.; András, K.; Singh, T. A comprehensive review on various techniques used for synthesizing nanoparticles. J. Mater. Res. Technol. 2023, 27, 1739–1763. [Google Scholar] [CrossRef]
- Harish, V.; Ansari, M.M.; Tewari, D.; Gaur, M.; Yadav, A.B.; García-Betancourt, M.L.; Barhoum, A. Nanoparticle and nanostructure synthesis and controlled growth methods. Nanomaterials 2022, 12, 3226. [Google Scholar] [CrossRef]
- Patil, N.; Bhaskar, R.; Vyavhare, V.; Dhadge, R.; Patil, Y. Overview on methods of synthesis of nanoparticles. J. Curr. Pharma. Res. 2021, 13, 11–16. [Google Scholar] [CrossRef]
- Barhoum, A.; Shalan, A.E.; El-Hout, S.I.; Ali, G.A.; Abdelbasir, S.M.; Abu Serea, E.S.; Pal, K. A broad family of carbon nanomaterials: Classification, properties, synthesis, and emerging applications. In Handbook of Nanofibers; Springer: Berlin/Heidelberg, Germany, 2019; pp. 1–40. [Google Scholar]
- Macheli, L.; Malefane, M.E.; Jewell, L.L. Waste-derived calcium oxide catalysts in biodiesel production: Exploring various waste sources, deactivation challenges, and improvement strategies. Bioresour. Technol. Rep. 2025, 29, 102021. [Google Scholar] [CrossRef]
- Ashrafi, G.; Nasrollahzadeh, M.; Jaleh, B.; Sajjadi, M.; Ghafuri, H. Biowaste-and nature-derived (nano) materials: Biosynthesis, stability and environmental applications. Adv. Colloid Interface Sci. 2022, 301, 102599. [Google Scholar] [CrossRef]
- Wagare, D.S.; Shirsath, S.E.; Shaikh, M.; Netankar, P. Sustainable solvents in chemical synthesis: A review. Environ. Chem. Lett. 2021, 4, 3263–3282. [Google Scholar] [CrossRef]
- Kidwai, M.; Saxena, S.; Mohan, R.; Venkataramanan, R.J.C.S. A novel one pot synthesis of nitrogen containing heterocycles: An alternate methodology to the Biginelli and Hantzsch reactions. J. Chem. Soc. 2002, 1, 1845–1846. [Google Scholar] [CrossRef]
- Cui, H.; Li, P.; Zhao, H.; Chen, Y.; Yuan, Y.; Liu, Y.; Jiao, M. One-pot multi-component synthesis of 2-Amino-4H-chromenes catalyzed by a fiber super base under mild conditions. Tetrahedron 2024, 167, 134282. [Google Scholar] [CrossRef]
- Kurteva, V. Recent progress in metal-free direct synthesis of imidazo [1, 2-a] pyridines. ACS Omega 2018, 6, 35173–35185. [Google Scholar] [CrossRef]
- Maddila, S.; Kerru, N.; Jonnalagadda, S.B. Recent progress in the multicomponent synthesis of pyran derivatives by sustainable catalysts under green conditions. Molecules 2022, 27, 6347. [Google Scholar] [CrossRef]
- Mirghiasi, Z.; Bakhtiari, F.; Darezereshki, E.; Esmaeilzadeh, E. Preparation and characterization of CaO nanoparticles from Ca(OH)2 by direct thermal decomposition method. J. Ind. Eng. Chem. 2014, 20, 113–117. [Google Scholar] [CrossRef]
- Kolahalam, L.A.; Viswanath, I.K.; Diwakar, B.S.; Govindh, B.; Reddy, V.; Murthy, Y.L.N. Review on nanomaterials: Synthesis and applications. Mater. Today Proc. 2019, 18, 2182–2190. [Google Scholar] [CrossRef]
- Kharissova, O.V.; Kharisov, B.I.; Oliva Gonzalez, C.M.; Méndez, Y.P.; López, I. Greener synthesis of chemical compounds and materials. R. Soc. Open Sci. 2019, 6, 191378. [Google Scholar] [CrossRef]
- Hosseingholian, A.; Gohari, S.D.; Feirahi, F.; Moammeri, F.; Mesbahian, G.; Moghaddam, Z.S.; Ren, Q. Recent advances in green synthesized nanoparticles: From production to application. Mater. Today Sustain. 2023, 24, 100500. [Google Scholar] [CrossRef]
- Harish, V.; Tewari, D.; Gaur, M.; Yadav, A.B.; Swaroop, S.; Bechelany, M.; Barhoum, A. Review on nanoparticles and nanostructured materials: Bioimaging, biosensing, drug delivery, tissue engineering, antimicrobial, and agro-food applications. Nanomaterials 2022, 12, 457. [Google Scholar] [CrossRef]
- Paganini, M.C.; Chiesa, M.; Martino, P.; Giamello, E. EPR study of the surface basicity of calcium oxide.1. The CaO− NO chemistry. J. Phys. Chem. B 2002, 106, 12531–12536. [Google Scholar] [CrossRef]
- Ahmad, U.; Khan, M.A.; Zahid, M.U.; Alarjani, K.M.; Gawwad, M.R.A.; Hussain, S.J.; Bokhari, S.A.I. Effect of surface capping on the biological properties of calcium oxide nanoparticles (CaO-NPs). Chem. Pap. 2024, 78, 4971–4990. [Google Scholar] [CrossRef]
- Lalithamba, H.S.; Siddekha, A.; Rashmi Triveni, B.V. Plant mediated synthesis of CaO nano-particles and investigation of morphological, spectroscopic, electrical, and catalytic properties. J. Mater. Sci. Mater. Electron. 2023, 34, 2065. [Google Scholar] [CrossRef]
- Gadore, V.; Mishra, S.R.; Yadav, N.; Yadav, G.; Ahmaruzzaman, M. Metal oxide-based heterogeneous catalysts for biodiesel production. Next Sustain. 2023, 2, 100012. [Google Scholar] [CrossRef]
- Van Schijndel, J.; Canalle, L.A.; Molendijk, D.; Meuldijk, J. The green Knoevenagel condensation: Solvent-free condensation of benzaldehydes. Green Chem. Lett. Rev. 2017, 10, 404–411. [Google Scholar] [CrossRef]
- Gupta, D.; Boora, A.; Thakur, A.; Gupta, T.K. Green and sustainable synthesis of nanomaterials: Recent advancements and limitations. Environ. Res. 2023, 231, 116316. [Google Scholar] [CrossRef] [PubMed]
- Bosica, G.; Abdilla, R. Recent advances in multicomponent reactions catalysed under operationally heterogeneous conditions. Catalysts 2022, 12, 725. [Google Scholar] [CrossRef]
- Shaikh, I.R. Organocatalysis: Key trends in green synthetic chemistry, challenges, scope towards heterogenization, and importance from research and industrial point of view. J. Catalyst. 2014, 2014, 402860. [Google Scholar] [CrossRef]
- Pareek, A.; Dada, R.; Yaragorla, S. Calcium-Catalyzed Multicomponent Reactions in Organic Synthesis. Asian J. Org. Chem. 2025, 14, e202500141. [Google Scholar] [CrossRef]
- Nandi, G.C.; Samai, S.; Singh, M.S. Biginelli and Hantzsch-type reactions leading to highly functionalized dihydropyrimidinone, thiocoumarin, and pyridopyrimidinone frameworks via ring annulation with β-oxodithioesters. J. Org. Chem. 2010, 75, 7785–7795. [Google Scholar] [CrossRef] [PubMed]
- Wang, L.; Di, C.; Li, T.; Chun, Y.; Xu, Q. Preparation and catalytic behaviour of biomorphic calcium oxide/carbon solid base materials. Catal. Sci. Technol. 2015, 5, 5185–5195. [Google Scholar] [CrossRef]
- Metiu, H.; Chreétien, S.; Hu, Z.; Li, B.; Sun, X. Chemistry of Lewis acid–base pairs on oxide surfaces. J. Phys. Chem. 2012, 116, 10439–10450. [Google Scholar] [CrossRef]
- Adaikalam, K.; Hussain, S.; Anbu, P.; Rajaram, A.; Sivanesan, I.; Kim, H.S. Eco-friendly facile conversion of waste eggshells into CaO nanoparticles for environmental applications. Nanomaterials 2024, 14, 1620. [Google Scholar] [CrossRef] [PubMed]
- Jan, H.A.; Osman, A.I.; Šurina, I.; Saleh, J.; Kumar, R.; Al-Fatesh, A.S. Recycling calcium oxide nanoparticles for sustainable biodiesel production from nonedible feedstock Argemone mexicana L. Biofuels 2024, 15, 645–654. [Google Scholar] [CrossRef]
- Gangu, K.K.; Maddila, S.; Maddila, S.N.; Jonnalagadda, S.B. Novel iron doped calcium oxalates as promising heterogeneous catalysts for one-pot multi-component synthesis of pyranopyrazoles. RSC Adv. 2017, 7, 423–432. [Google Scholar] [CrossRef]
- Choudhary, A.; Verma, M.; Bharti, R.; Sharma, R. Eco-Friendly and Facile Synthesis of Diverse Heterocycles via Zirconia Nanoparticles Catalyzed One Pot Multicomponent Reaction. Curr. Org. Chem. 2024, 28, 1234–1248. [Google Scholar] [CrossRef]
- Messire, G.; Caillet, E.; Berteina-Raboin, S. Green catalysts and/or green solvents for sustainable multi-component reactions. Catalysts 2024, 14, 593. [Google Scholar] [CrossRef]
- Boey, P.L.; Maniam, G.P.; Abd Hamid, S. Biodiesel production via transesterification of palm olein using waste mud crab (Scylla serrata) shell as a heterogeneous catalyst. Bioresour. Technol. 2009, 24, 6362–6368. [Google Scholar] [CrossRef]
- Kouzu, M.; Hidaka, J.S. Transesterification of vegetable oil into biodiesel catalyzed by CaO: A review. Fuel 2009, 93, 1–12. [Google Scholar] [CrossRef]
- Dikshit, P.K.; Kumar, J.; Das, A.K.; Sadhu, S.; Sharma, S.; Singh, S.; Kim, B.S. Green synthesis of metallic nanoparticles: Applications and limitations. Catalysts 2021, 11, 902. [Google Scholar] [CrossRef]
- Zhang, D.; Wang, M.; Wei, G.; Li, R.; Wang, N.; Yang, X.; Peng, Y. High visible light responsive ZnIn2S4/TiO2-x induced by oxygen defects to boost photocatalytic hydrogen evolution. Appl. Surf. Sci. 2023, 622, 156839. [Google Scholar] [CrossRef]
- Agrwal, A.; Rai, P.; Kumar, V. Recent Developments in Heterogeneous Nano Catalyst for Green Synthesis: A Review. Top. Catal. 2025, 68, 2213–2231. [Google Scholar] [CrossRef]
- Fedorova, O.V.; Titova, Y.A.; Ovchinnikova, I.G. Metal oxides in multicomponent synthesis of heterocycles. Chem. Heterocycl. Compd. 2021, 57, 900–904. [Google Scholar] [CrossRef]
- El-sherif, A.A.; Hamad, A.M.; Shams-Eldin, E.; Mohamed, H.A.A.E.; Ahmed, A.M.; Mohamed, M.A.; Fahmy, H.M. Power of recycling waste cooking oil into biodiesel via green CaO-based eggshells/Ag heterogeneous nanocatalyst. Renew. Energy 2023, 202, 1412–1423. [Google Scholar] [CrossRef]
- Dey, N.; Mandal, A.; Jana, R.; Bera, A.; Azad, S.A.; Giri, S.; Samanta, S. Recent developments in the solvent-free synthesis of heterocycles. New J. Chem. 2023, 47, 13035–13079. [Google Scholar] [CrossRef]
- Gulati, S.; Singh, R.; Sangwan, S. A review on green synthesis and biological activities of medicinally important nitrogen and oxygen containing heterocycles. Curr. Org. Chem. 2022, 26, 1848–1894. [Google Scholar] [CrossRef]
- Nami Chemazi, N.; Nami, N.; Sheikh Bostanabad, A. Biosynthesis and characterization of Fe3O4/CaO nanoparticles and investigation of its catalytic property. J. Nanostructures 2022, 12, 160–169. [Google Scholar]
- Oueda, N.; Bonzi-Coulibaly, Y.L.; Ouédraogo, I.W. Deactivation processes, regeneration conditions and reusability performance of CaO or MgO based catalysts used for biodiesel production—A review. Mater. Sci. Appl. 2017, 8, 94. [Google Scholar] [CrossRef]
- Gadewar, M.; Prashanth, G.K.; Babu, M.R.; Dileep, M.S.; Prashanth, P.A.; Rao, S.; Orhan, E. Unlocking nature’s potential: Green synthesis of ZnO nanoparticles and their multifaceted applications–A concise overview. J. Saudi Chem. Soc. 2024, 28, 101774. [Google Scholar] [CrossRef]
- Pelaez, M.; Nolan, N.T.; Pillai, S.C.; Seery, M.K.; Falaras, P.; Kontos, A.G.; Dionysiou, D.D. A review on the visible light active titanium dioxide photocatalysts for environmental applications. Appl. Catal. B Environ. 2012, 125, 331–349. [Google Scholar] [CrossRef]
- Gatou, M.A.; Skylla, E.; Dourou, P.; Pippa, N.; Gazouli, M.; Lagopati, N.; Pavlatou, E.A. Magnesium oxide (MgO) nanoparticles: Synthetic strategies and biomedical applications. Crystals 2024, 14, 215. [Google Scholar] [CrossRef]
- Clarke, C.J.; Tu, W.C.; Levers, O.; Brohl, A.; Hallett, J.P. Green and sustainable solvents in chemical processes. Chem. Rev. 2018, 118, 747–800. [Google Scholar] [CrossRef] [PubMed]
- Kerru, N.; Bhaskaruni, S.V.; Gummidi, L.; Maddila, S.N.; Maddila, S.; Jonnalagadda, S.B. Recent advances in heterogeneous catalysts for the synthesis of imidazole derivatives. Synth. Commun. 2019, 49, 2437–2459. [Google Scholar] [CrossRef]
- Gupta, S.S.; Kumari, S.; Kumar, I.; Sharma, U. Eco-friendly and sustainable synthetic approaches to biologically significant fused N-heterocycles. Chem. Heterocycl. Compd. 2020, 56, 433–444. [Google Scholar] [CrossRef]
- Chanda, A.; Fokin, V.V. Organic synthesis “on water”. Chem. Rev. 2009, 109, 725–748. [Google Scholar] [CrossRef]
- Ormazábal, E.; Moreno-Serna, V.; Sepúlveda, F.A.; Loyo, C.; Ortiz, J.A.; Melo, F.; Zapata, P.A. Antimicrobial nanocomposites based on biowaste eggshell derived CaO nanoparticles for potential food packaging application. Food Bioprod. Process. 2024, 148, 123–135. [Google Scholar] [CrossRef]
- Zaera, F. Nanostructured materials for applications in heterogeneous catalysis. Chem. Soc. Rev. 2013, 42, 2746–2762. [Google Scholar] [CrossRef]
- Feng, J.; Geng, W.C.; Jiang, H.; Wu, B. Recent advances in biocatalysis of nitrogen-containing heterocycles. Biotechnol. Adv. 2022, 54, 107813. [Google Scholar] [CrossRef]
- Balaji, S.; Pandian, M.S.; Ganesamoorthy, R.; Karchiyappan, T. Green synthesis of metal oxide nanoparticles using plant extracts: A sustainable approach to combat antimicrobial resistance. Environ. Nanotechnol. Monit. Manag. 2025, 23, 101066. [Google Scholar] [CrossRef]
- Momeni, S.; Ghorbani-Vaghei, R. An efficient, green and solvent-free protocol for one-pot synthesis of 1, 4-dihydropyridine derivatives using a new recyclable heterogeneous catalyst. J. Mol. Struct. 2023, 1288, 135758. [Google Scholar] [CrossRef]
- Sharifi, M.; Tangestaninejad, S.; Moghadam, M.; Marandi, A.; Mirkhani, V.; Mohammadpoor-Baltork, I.; Aghayani, S. Metal-organic frameworks-derived CaO/ZnO composites as stable catalysts for biodiesel production from soybean oil at room temperature. Sci. Rep. 2025, 15, 3610. [Google Scholar] [CrossRef]
- Lakhani, P.; Bhanderi, D.; Modi, C.K. Nanocatalysis: Recent progress, mechanistic insights, and diverse applications. J. Nanopar. Res. 2024, 26, 148. [Google Scholar] [CrossRef]
- Alobaidi, Y.M.; Ali, M.M.; Mohammed, A.M. Synthesis of Calcium Oxide Nanoparticles from Waste Eggshell by Thermal Decomposition and their Applications. Jordan J. Biol. Sci. 2022, 15. [Google Scholar] [CrossRef]
- Zhang, B.; Yang, H.; Wang, T.; Han, X.; Sun, H.; Fang, L.; Cheng, B. Synthesis of 5 H-Chromeno [2, 3-d] pyrimidin-5-one Derivatives via Microwave-Promoted Multicomponent Reaction. J. Org. Chem. 2021, 86, 18304–18311. [Google Scholar] [CrossRef]
- Shaabani, A.; Maleki, A.; Mofakham, H. Novel multicomponent one-pot synthesis of tetrahydro-1H-1, 5-benzodiazepine-2-carboxamide derivatives. J. Comb. Chem. 2008, 10, 595–598. [Google Scholar] [CrossRef]
- Bajpai, S.; Kamboj, M.; Singh, S.; Yadav, M.; Banik, B.K. Solvent-Free Synthesis of Bioactive Heterocycles. Curr. Organocatal. 2024, 11, 301–309. [Google Scholar] [CrossRef]
- Song, J.; Han, B. Green chemistry: A tool for the sustainable development of the chemical industry. Natl. Sci. Rev. 2015, 2, 255–256. [Google Scholar] [CrossRef]
- Ganesh, K.N.; Zhang, D.; Miller, S.J.; Rossen, K.; Chirik, P.J.; Kozlowski, M.C.; Voutchkova-Kostal, A.M. Green chemistry: A framework for a sustainable future. ACS Omega 2021, 6, 16254–16258. [Google Scholar] [CrossRef] [PubMed]
- Zuin, V.G.; Eilks, I.; Elschami, M.; Kümmerer, K. Education in green chemistry and in sustainable chemistry: Perspectives towards sustainability. Green Chem. 2021, 23, 1594–1608. [Google Scholar] [CrossRef]
- Bosica, G.; De Nittis, R.; Borg, R. Solvent-free, one-pot, multicomponent synthesis of xanthene derivatives. Catalysts 2023, 13, 561. [Google Scholar] [CrossRef]
- Wang, Y.; Zhang, X.; Qiu, D.; Li, Y.; Yao, L.; Duan, J. Ultrasonic assisted microwave synthesis of poly (Chitosan-co-gelatin)/polyvinyl pyrrolidone IPN hydrogel. Ultrason. Sonochem. 2018, 40, 714–719. [Google Scholar] [CrossRef]
- Sangeeta, H.L.S.; Chahar, M.; Sahal, S.; Khaturia, S. Greener synthesis of pyranopyrazole derivatives catalyzed by CaO nanoparticles. Rasayan J. Chem. 2022, 15, 326–333. [Google Scholar] [CrossRef]
- Khalil, K.D.; Ahmed, H.A.; Bashal, A.H.; Bräse, S.; Nayl, A.A.; Gomha, S.M. Efficient, recyclable, and heterogeneous base nanocatalyst for thiazoles with a chitosan-capped calcium oxide nanocomposite. Polymers 2022, 14, 3347. [Google Scholar] [CrossRef] [PubMed]
- Sameri, F.; Bodaghifard, M.A.; Mobinikhaledi, A. Ionic liquid-coated nanoparticles (CaO@SiO2@BAIL): A bi-functional and environmentally benign catalyst for green synthesis of pyridine, pyrimidine, and pyrazoline derivatives. Polycycl. Aromat. Compd. 2022, 42, 4700–4716. [Google Scholar] [CrossRef]
- Safaei-Ghomi, J.; Ghasemzadeh, M.A.; Mehrabi, M.J.S.I. Calcium oxide nanoparticles catalyzed one-step multicomponent synthesis of highly substituted pyridines in aqueous ethanol media. Sci. Iran. 2013, 20, 549–554. [Google Scholar]
- Heidarzadeh, T.; Nami, N.; Zareyee, D. Synthesis of indole derivatives using biosynthesized ZnO-CaO nanoparticles as an efficient catalyst. J. Nano Res. 2021, 66, 61–71. [Google Scholar] [CrossRef]
- Samantaray, S.; Pradhan, D.K.; Hota, G.; Mishra, B.G. Catalytic application of CeO2–CaO nanocomposite oxide synthesized using amorphous citrate process toward the aqueous phase one pot synthesis of 2-amino-2-chromenes. Chem. Eng. J. 2012, 193, 1–9. [Google Scholar] [CrossRef]
- Dhakar, A.; Goyal, R.; Rajput, A.; Kaurava, M.S.; Tomar, V.S.; Agarwal, D.D. Multicomponent synthesis of 4H-pyran derivatives using KOH loaded calcium oxide as catalyst in solvent free condition. Curr. Chem. Lett. 2019, 8, 125–136. [Google Scholar] [CrossRef]
- Sameri, F.; Mobinikhaledi, A.; Bodaghifard, M.A. Preparation of core/shell CaO@SiO2-SO3H as a novel and recyclable nanocatalyst for one-pot synthesize of dihydropyrano [2, 3-c] pyrazoles and tetrahydrobenzo [b] pyrans. Silicon 2022, 14, 1395–1406. [Google Scholar] [CrossRef]
- Sameri, F.; Mobinikhaledi, A.; Bodaghifard, M.A. Zn (II)-Schiff base covalently anchored to CaO@SiO2: A hybrid nanocatalyst for green synthesis of 4H-pyrans. Appl. Organomet. Chem. 2021, 35, e6394. [Google Scholar] [CrossRef]
- Sameri, F.; Mobinikhaledi, A.; Bodaghifard, M.A. High-efficient synthesis of 2-imino-2H-chromenes and dihydropyrano [c] chromenes using novel and green catalyst (CaO@SiO2@AIL). Res. Chem. Intermed. 2021, 47, 723–741. [Google Scholar] [CrossRef]
- Naeimi, H.; Mohammadi, S. Synthesis of 1H-Isochromenes, 4H-Chromenes and Orthoaminocarbonitrile Tetrahydronaphthalenes by CaMgFe2O4 Base Nanocatalyst. ChemistrySelect 2020, 5, 2627–2633. [Google Scholar] [CrossRef]
- Hamzehniya, M.; Mobinikhaledi, A.; Ahadi, N.; Sameri, F. Zn complexed on CaO coated with walnut husk extract as an efficient and reusable catalyst for the green synthesis of benzylpyrazolyl coumarin derivatives. React. Kinet. Mech. Catal. 2022, 135, 897–914. [Google Scholar] [CrossRef]
- Mosaddegh, E.; Hassankhani, A. Preparation and characterization of nano-CaO based on eggshell waste: Novel and green catalytic approach to highly efficient synthesis of pyrano [4, 3-b] pyrans. Chin. J. Catal. 2014, 35, 351–356. [Google Scholar] [CrossRef]
- Mosaddegh, E.; Hassankhani, A. Preparation, characterization, and catalytic activity of Ca2CuO3/CaCu2O3/CaO nanocomposite as a novel and bio-derived mixed metal oxide catalyst in the green synthesis of 2H-indazolo [2, 1-b] phthalazine-triones. Catal. Commun. 2015, 71, 65–69. [Google Scholar] [CrossRef]
- Khaledi, S.; Rajabi, M.; Momeni, A.R.; Samimi, H.A.; Albadi, J. Preparation and characterization of Ca-modified Co/Al2O3 and its catalytic application in the one-pot synthesis of 4H-pyrans. Res. Chem. Intermed. 2020, 46, 3109–3123. [Google Scholar] [CrossRef]
- Sharma, S.; Sharma, S.; Sharma, N.; Sharma, S.; Paul, S. Waste Chicken eggshell-derived CaO based magnetic solid base catalysts for the one-Pot synthesis of Tetrahydro-4H-chromenes and Benzopyranopyrimidines. Catal. Lett. 2024, 154, 532–552. [Google Scholar] [CrossRef]
- Grasa, G.; Martínez, I.; Diego, M.E.; Abanades, J.C. Determination of CaO carbonation kinetics under recarbonation conditions. Energy Fuels 2014, 28, 4033–4042. [Google Scholar] [CrossRef]
- Rong, N.; Wang, Q.; Fang, M.; Cheng, L.; Luo, Z.; Cen, K. Steam hydration reactivation of CaO-based sorbent in cyclic carbonation/calcination for CO2 capture. Energy Fuels 2013, 27, 5332–5340. [Google Scholar] [CrossRef]
- Woranuch, W.; Ngaosuwan, K.; Kiatkittipong, W.; Wongsawaeng, D.; Appamana, W.; Powell, J.; Assabumrungrat, S. Fine-tuned fabrication parameters of CaO catalyst pellets for transesterification of palm oil to biodiesel. Fuel 2022, 323, 124356. [Google Scholar] [CrossRef]
- Mierczynski, P.; Ciesielski, R.; Kedziora, A.; Maniukiewicz, W.; Shtyka, O.; Kubicki, J.; Maniecki, T.P. Biodiesel production on MgO, CaO, SrO and BaO oxides supported on (SrO)(Al2O3) mixed oxide. Catal. Lett. 2015, 145, 1196–1205. [Google Scholar] [CrossRef]
- Capaldo, L.; Wen, Z.; Noel, T. A field guide to flow chemistry for synthetic organic chemists. Chem. Sci. 2023, 14, 4230–4247. [Google Scholar] [CrossRef]
- Porta, R.; Benaglia, M.; Puglisi, A. Flow chemistry: Recent developments in the synthesis of pharmaceutical products. Org. Process Res. Dev. 2016, 20, 2–25. [Google Scholar] [CrossRef]
- Sheldon, R.A. Metrics of green chemistry and sustainability: Past, present, and future. ACS Sustain. Chem. Eng. 2018, 6, 32–34. [Google Scholar] [CrossRef]
- Tobiszewski, M.; Marć, M.; Gałuszka, A.; Namieśnik, J. Green chemistry metrics with special reference to green analytical chemistry. Molecules 2015, 20, 10928–10946. [Google Scholar] [CrossRef]
- Besson, R.; Vargas, M.R.; Favergeon, L. CO2 adsorption on calcium oxide: An atomic-scale simulation study. Surf. Sci. 2012, 606, 490–495. [Google Scholar] [CrossRef]
- Solis, B.H.; Cui, Y.; Weng, X.; Seifert, J.; Schauermann, S.; Sauer, J.; Freund, H.J. Initial stages of CO2 adsorption on CaO: A combined experimental and computational study. Phys. Chem. Chem. Phys. 2017, 19, 4231–4242. [Google Scholar] [CrossRef] [PubMed]
- Omodolor, I.S.; Otor, H.O.; Andonegui, J.A.; Allen, B.J.; Alba-Rubio, A.C. Dual-function materials for CO2 capture and conversion: A review. Ind. Eng. Chem. Res. 2020, 59, 17612–17631. [Google Scholar] [CrossRef]
- Sievers, C.; Noda, Y.; Qi, L.; Albuquerque, E.M.; Rioux, R.M.; Scott, S.L. Phenomena affecting catalytic reactions at solid–liquid interfaces. ACS Catal. 2016, 6, 8286–8307. [Google Scholar] [CrossRef]
- Santoro, S.; Kozhushkov, S.I.; Ackermann, L.; Vaccaro, L. Heterogeneous catalytic approaches in C–H activation reactions. Green Chem. 2016, 18, 3471–3493. [Google Scholar] [CrossRef]
Disclaimer/Publisher’s Note: The statements, opinions and data contained in all publications are solely those of the individual author(s) and contributor(s) and not of MDPI and/or the editor(s). MDPI and/or the editor(s) disclaim responsibility for any injury to people or property resulting from any ideas, methods, instructions or products referred to in the content. |
© 2025 by the authors. Licensee MDPI, Basel, Switzerland. This article is an open access article distributed under the terms and conditions of the Creative Commons Attribution (CC BY) license (https://creativecommons.org/licenses/by/4.0/).



























