Sign in to use this feature.

Years

Between: -

Subjects

remove_circle_outline
remove_circle_outline
remove_circle_outline
remove_circle_outline
remove_circle_outline
remove_circle_outline
remove_circle_outline

Journals

Article Types

Countries / Regions

Search Results (30)

Search Parameters:
Keywords = Stern–Volmer equation

Order results
Result details
Results per page
Select all
Export citation of selected articles as:
15 pages, 3180 KB  
Article
Synthesis of a Luminescent Aluminum-Based MOF for Selective Iron(III) Ion Sensing
by Hanibal Othman, István Boldog and Christoph Janiak
Molecules 2025, 30(20), 4146; https://doi.org/10.3390/molecules30204146 - 21 Oct 2025
Viewed by 519
Abstract
In the search for new materials to open up creative pathways for industry and research, modification is one of the best methods to implement. Developing materials with high sensitivity and selectivity for specific applications, such as ion sensing, remains a significant challenge. This [...] Read more.
In the search for new materials to open up creative pathways for industry and research, modification is one of the best methods to implement. Developing materials with high sensitivity and selectivity for specific applications, such as ion sensing, remains a significant challenge. This work aims to introduce a novel metal–organic framework (MOF) derived from the well-established 2-amino-[1,1′-biphenyl]-4,4′-dicarboxylic acid MOF by modifying its structure to enhance its properties and applications. A luminescent 2-naphthyl moiety was attached to the amino group of the linker to form the new luminescent Al-based MOF Al-BP-Naph with a surface area of 456 m2 g−1 and a pore volume of 0.55 cm3 g−1. Al-BP-Naph showed high selectivity towards Fe3+ sensing due to the overlapping absorption and excitation spectra of both Fe3+ and MOF. The MOF demonstrated a detection limit of approximately 6 × 10−6 mol L−1 with a limit of quantification of about 19 × 10−6 mol L−1 and a very fast response time (less than 10 s). It also had a Stern–Volmer constant of approximately 0.09 × 105 L mol−1, distinguishing it from other ions. Our work contributes to the expanding repertoire of functional materials with promising applications in sensing technologies, offering a novel MOF with superior properties for iron(III) ion detection. Full article
(This article belongs to the Special Issue 30th Anniversary of the MOF Concept)
Show Figures

Graphical abstract

19 pages, 3942 KB  
Article
Boundary Between Amorphously and Molecularly Dispersed Curcumin of Its Amorphous Solid Dispersions Determined by Fluorescence Spectroscopy
by Shixin Fan, Wenling Zheng, Shizhao Ren, Wangchuan Xiao, Fenghua Chen and Rongrong Xue
Crystals 2025, 15(6), 512; https://doi.org/10.3390/cryst15060512 - 27 May 2025
Cited by 1 | Viewed by 808
Abstract
Amorphous solid dispersion (ASD) technology is popularly used for enhancing the solubility of poorly water-soluble drugs. Drug molecules in ASDs can be dispersed in the form of either amorphous (AASD) or molecular (MASD) forms. The boundary between AASDs and MASDs (A–M boundary) is [...] Read more.
Amorphous solid dispersion (ASD) technology is popularly used for enhancing the solubility of poorly water-soluble drugs. Drug molecules in ASDs can be dispersed in the form of either amorphous (AASD) or molecular (MASD) forms. The boundary between AASDs and MASDs (A–M boundary) is defined as the drug concentration at which the existence of MASDs obviously influences the physicochemical properties of ASDs. In this work, fluorescence spectroscopy based on the aggregation-caused quenching (ACQ) phenomenon was used to determine the A–M boundary of curcumin (CUR) ASDs prepared via neat ball milling. The relationship between the fluorescence intensity and the loading of CUR in the sample is consistent with the Stern–Volmer equation. For the CUR ASDs with PVP, the samples with CUR loading below 10% show significantly increased fluorescence and have a higher solubility (~178 μg·mL−1), suggesting the A–M boundary is around 10%. Similar A–M boundaries around 10% were also observed for CUR ASDs with PVPVA, Soluplus, HPMC, and HPMCAS. It is of great significance to define the A–M boundary of ASDs for guiding pharmaceutical ASD formulas by balancing drug loading, stability, and solubility. Full article
Show Figures

Figure 1

16 pages, 8862 KB  
Article
Development of Automatic Method for Glucose Detection Based on Platinum Octaethylporphyrin Sol–Gel Film with Long-Term Stability
by Yujie Niu, Yongda Wang, Lu Li, Xiyu Zhang and Ting Liu
Sensors 2025, 25(1), 186; https://doi.org/10.3390/s25010186 - 31 Dec 2024
Cited by 3 | Viewed by 1440
Abstract
In this study, an approach has been proposed in response to the urgent need for a sensitive and stable method for glucose detection at low concentrations. Platinum octaethylporphyrin (PtOEP) was chosen as the probe and embedded into the matrix material to yield a [...] Read more.
In this study, an approach has been proposed in response to the urgent need for a sensitive and stable method for glucose detection at low concentrations. Platinum octaethylporphyrin (PtOEP) was chosen as the probe and embedded into the matrix material to yield a glucose-sensing film, i.e., Pt/TE-MTS, through a sol–gel process. The optical parameter (OP) was defined as the ratio of phosphorescence in the absence and presence of glucose, and the relationship between OP and glucose concentration (GC) was established in a theoretical way based on the Stern–Volmer equation and further obtained by photoluminescence measurement. OP exhibited a linear relationship with GC in a range of 0–720 μM. The time required by the photoluminescence of the film to reach equilibrium was measured to ensure the completion of the reaction, and it was found that the equilibrium time decreased as the GC increased. The photobleaching behavior and stabilization of the film were monitored, and the result showed that the film exhibited excellent resistance to photobleaching and was quite stable in an aqueous solution. Additionally, a LabVIEW-based GC-detection system was developed to achieve the practical application of the sensing film. In summary, the Pt/TE-MTS film exhibited high sensitivity in detecting the GC with excellent reproducibility, which is of high value in applications. Full article
(This article belongs to the Section Nanosensors)
Show Figures

Figure 1

19 pages, 7793 KB  
Article
A Ratiometric Fluorescence Method Based on PCN-224-DABA for the Detection of Se(IV) and Fe(III)
by Mao-Ling Luo, Guo-Ying Chen, Wen-Jia Li, Jia-Xin Li, Tong-Qing Chai, Zheng-Ming Qian and Feng-Qing Yang
Biosensors 2024, 14(12), 626; https://doi.org/10.3390/bios14120626 - 19 Dec 2024
Cited by 3 | Viewed by 1769
Abstract
In this study, 3,4-diaminobenzoic acid (DABA) was introduced into the porphyrin metal–organic framework (PCN-224) for the first time to prepare a ratiometric fluorescent probe (PCN-224-DABA) to quantitatively detect ferric iron (Fe(III)) and selenium (IV) (Se(IV)). The fluorescence attributed to the DABA of PCN-224-DABA [...] Read more.
In this study, 3,4-diaminobenzoic acid (DABA) was introduced into the porphyrin metal–organic framework (PCN-224) for the first time to prepare a ratiometric fluorescent probe (PCN-224-DABA) to quantitatively detect ferric iron (Fe(III)) and selenium (IV) (Se(IV)). The fluorescence attributed to the DABA of PCN-224-DABA at 345 nm can be selectively quenched by Fe(III) and Se(IV), but the fluorescence emission peak attributed to tetrakis (4-carboxyphenyl) porphyrin (TCPP) at 475 nm will not be disturbed. Therefore, the ratio of I345nm/I475nm with an excitation wavelength of 270 nm can be designed to determine Fe(III) and Se(IV). After the experimental parameters were systematically optimized, the developed method shows good selectivity and interference resistance for Fe(III) and Se(IV) detection, and has good linearity in the ranges of 0.01–4 μM and 0.01–15 μM for Fe(III) and Se(IV) with a limit of detection of 0.045 μM and 0.804 μM, respectively. Furthermore, the quenching pattern was investigated through the Stern–Volmer equation, and the results suggest that both Se(IV) and Fe(III) quenched on PCN-224-DABA can be attributed to the dynamic quenching. Finally, the constructed ratiometric fluorescent probe was applied in the spiked detection of lake water samples, which shows good applicability in real sample analysis. Moreover, the Fe(III) and Se(IV) contents in spinach and selenium-enriched rice were determined, respectively. Full article
Show Figures

Figure 1

20 pages, 6909 KB  
Article
8-Anilino-1-naphthalenesulfonate-Conjugated Carbon-Coated Ferrite Nanodots for Fluoromagnetic Imaging, Smart Drug Delivery, and Biomolecular Sensing
by Anbazhagan Thirumalai, Koyeli Girigoswami, Alex Daniel Prabhu, Pazhani Durgadevi, Venkatakrishnan Kiran and Agnishwar Girigoswami
Pharmaceutics 2024, 16(11), 1378; https://doi.org/10.3390/pharmaceutics16111378 - 26 Oct 2024
Cited by 18 | Viewed by 2056
Abstract
Background: Superparamagnetic properties and excitation independence have been incorporated into carbon-decorated manganese ferrite nanodots (MnFe@C) to introduce an economical and safer multimodal agent for use in both T1-T2 MRI and fluorescence-based imaging to replace the conventional highly toxic heavy metal contrast agents. Methods: [...] Read more.
Background: Superparamagnetic properties and excitation independence have been incorporated into carbon-decorated manganese ferrite nanodots (MnFe@C) to introduce an economical and safer multimodal agent for use in both T1-T2 MRI and fluorescence-based imaging to replace the conventional highly toxic heavy metal contrast agents. Methods: The surface conjugation of 8-anilino-1-naphthalenesulfonate (ANS) to MnFe@C nanodots (ANS-MnFe@C) enhances both longitudinal and transverse MRI relaxation, improves fluorescence for optical imaging, and increases protein detection sensitivity, showing higher multimodal efficacy in terms of molar relaxivity, radiant efficiencies, and fluorescence sensitivity compared to MnFe@C. Results: The band gap energy was determined using Tauc’s equation to be 3.32 eV, while a 72% quantum yield demonstrated that ANS-MnFe@C was highly fluorescent, with the linear range and association constant calculated using the Stern–Volmer relation. The synthesized ANS-MnFe@C demonstrated excellent selectivity and sensitivity for bovine serum albumin (BSA), with a nanomolar detection limit of 367.09 nM and a broad linear range from 0.015 to 0.225 mM. Conclusions: In conclusion, ANS-MnFe@C holds ease of fabrication, good biocompatibility, as assessed in A375 cells, and an effective pH-sensitive doxorubicin release profile to establish anticancer activity in lung cancer cell line (A549), highlighting its potential as an affordable therapeutic agent for multimodal imaging, drug delivery, and protein sensing. Full article
(This article belongs to the Section Drug Delivery and Controlled Release)
Show Figures

Graphical abstract

22 pages, 28263 KB  
Article
Investigation of the Sensing Properties of Lanthanoid Metal–Organic Frameworks (Ln-MOFs) with Terephthalic Acid
by Denitsa Elenkova, Yana Dimitrova, Martin Tsvetkov, Bernd Morgenstern, Maria Milanova, Dimitar Todorovsky and Joana Zaharieva
Molecules 2024, 29(15), 3713; https://doi.org/10.3390/molecules29153713 - 5 Aug 2024
Cited by 7 | Viewed by 3073
Abstract
The solvothermal synthesis of LnCl3.nH2O with terephthalic acid (benzene-1,4-dicarboxylic acid, H2BDC) produced metal–organic frameworks (LnBDC), [Ln2(BDC)3(H2O)4], where Ln = Sm, Eu, Tb, and Dy. The materials [...] Read more.
The solvothermal synthesis of LnCl3.nH2O with terephthalic acid (benzene-1,4-dicarboxylic acid, H2BDC) produced metal–organic frameworks (LnBDC), [Ln2(BDC)3(H2O)4], where Ln = Sm, Eu, Tb, and Dy. The materials obtained were characterized by a number of physico-chemical techniques. The influence of the ionic radius of the lanthanides on the microstructural characteristics of the Ln-MOFs was evaluated by performing Rietveld refinement. The MOFs obtained were tested as fluorescent sensors for numerous cations and anions in water. The highly luminescent EuBDC and TbBDC demonstrated multi-responsive luminescence sensing functions to detect Ag(I), Fe(III), Cr(III), and Cr(VI), which are essential for their environmental applications. By applying the non-linear Stern–Volmer equation, the fluorescent quenching mechanism was determined. The stability of the obtained materials in water in a wide pH range (acidity pH = 4 and alkalinity pH = 9 solutions) was confirmed. Full article
(This article belongs to the Special Issue Rare Earth Based Luminescent Materials)
Show Figures

Graphical abstract

16 pages, 2649 KB  
Article
Interactions of CdSe Nanocrystals with Cationic Proteins Extracted from Moringa oleifera Seeds
by Likius Shipwiisho Daniel, Salatiel Kapofi, Martha Kandawa-Schulz and Habauka Majority Kwaambwa
Photochem 2024, 4(1), 24-39; https://doi.org/10.3390/photochem4010003 - 15 Jan 2024
Viewed by 1938
Abstract
Even with significant developments in nanoscience, relatively little is known about the interactions of nanocrystal semiconducting materials with bio-macromolecules. To investigate the interfacial phenomena of cadmium selenide quantum dot (CdSe QD) nanocrystals with proteins extracted from Moringa oleifera seeds, different concentrations of cadmium [...] Read more.
Even with significant developments in nanoscience, relatively little is known about the interactions of nanocrystal semiconducting materials with bio-macromolecules. To investigate the interfacial phenomena of cadmium selenide quantum dot (CdSe QD) nanocrystals with proteins extracted from Moringa oleifera seeds, different concentrations of cadmium selenide quantum dots–Moringa oleifera seed protein (CdSe–MSP) complexes were prepared. Respective CdSe QDs with hexagonal phase and crystalline size in the range of 4–7 nm were synthesized and labelled with the purified mesoporous MSP having a surface area of 8.4 m2/g. The interaction mechanism between CdSe QDs and MSP was studied using UV–Vis absorption, fluorescence emission and Fourier Transform Infrared spectroscopies. The UV–Vis absorption spectra showed absorption bands of CdSe–MSP complexes at 546.5 nm. The fluorescence intensity of CdSe QDs was found to decrease with increasing concentration of MSP. The thermodynamic potentials Hθ (−321.3 × 103 Jmol−1); Sθ (156.0 JK−1mol−1) and Gθ (−46.6 × 103 Jmol−1) were also calculated. The stability of the complex found is strongly influenced by electrostatics interaction and surface-bound complexation equilibrium attraction. This information can help to elucidate the surface characteristics of MSP and its potential interactions with other molecules or nanoparticles. Full article
Show Figures

Figure 1

12 pages, 1859 KB  
Article
Studies of Interactions between Beta-Cyfluthrin and BSA Based on Fluorescence Spectrometry and Ultraviolet Degradation
by Xiaoyan Wang, Xuyang Wang, Rendong Ji, Haiyi Bian, Xinyue Guo, Ying He, Huichang Chen and Ahmed N. Abdalla
Photonics 2023, 10(10), 1079; https://doi.org/10.3390/photonics10101079 - 26 Sep 2023
Cited by 5 | Viewed by 1729
Abstract
Pesticides play a pivotal role in modern agriculture, but their potential environmental and health impacts necessitate a comprehensive understanding of their interactions with biological molecules. Beta-cyfluthrin, a widely used synthetic pyrethroid insecticide, is known for its efficiency in pest control. However, its interaction [...] Read more.
Pesticides play a pivotal role in modern agriculture, but their potential environmental and health impacts necessitate a comprehensive understanding of their interactions with biological molecules. Beta-cyfluthrin, a widely used synthetic pyrethroid insecticide, is known for its efficiency in pest control. However, its interaction with bovine serum albumin (BSA), a crucial transport protein in living organisms, has not been extensively studied. The interaction between beta-cyfluthrin, a prominent synthetic pyrethroid insecticide, and bovine serum albumin (BSA) was comprehensively investigated using fluorescence spectrometry. Furthermore, the influence of ultraviolet (UV) degradation on the interaction parameters was explored, enhancing our understanding of the impact of environmental conditions on this interaction. The Stern–Volmer equation was employed to determine quenching constants, revealing that the fluorescence quenching mechanism primarily involved static quenching. The temperature variations were studied, showing an increase in the binding constant with rising temperature prior to degradation, while post-UV degradation, an inverse correlation between the binding constant and temperature was observed. The thermodynamic parameters were derived through appropriate equations, unveiling the underlying reaction forces. In the absence of degradation, hydrophobic interactions dominated, whereas after UV degradation, interactions shifted to hydrogen bonding and van der Waals forces. The findings elucidate the nuanced effects of UV degradation on the interaction between beta-cyfluthrin and BSA. This study furnishes critical insights that serve as a scientific foundation for pesticide production and application strategies, accounting for the influence of UV degradation on the intricate interplay between pesticides and BSA. Full article
(This article belongs to the Special Issue Biomedical Spectroscopy: Techniques and Applications)
Show Figures

Figure 1

12 pages, 1830 KB  
Article
Insight into the Interaction of Malondialdehyde with Rabbit Meat Myofibrillar Protein: Fluorescence Quenching and Protein Oxidation
by Xiaosi Chen, Zhifei He, Zefu Wang and Hongjun Li
Foods 2023, 12(10), 2044; https://doi.org/10.3390/foods12102044 - 18 May 2023
Cited by 7 | Viewed by 2141
Abstract
This research explored the effects of oxidative modification caused by different malondialdehyde (MDA) concentrations on rabbit meat myofibrillar protein (MP) structural characteristics and the interactions between MDA and MP. The fluorescence intensity of MDA–MP adducts, and surface hydrophobicity increased, whereas the intrinsic fluorescence [...] Read more.
This research explored the effects of oxidative modification caused by different malondialdehyde (MDA) concentrations on rabbit meat myofibrillar protein (MP) structural characteristics and the interactions between MDA and MP. The fluorescence intensity of MDA–MP adducts, and surface hydrophobicity increased, whereas the intrinsic fluorescence intensity and free-amine content of MPs decreased as MDA concentration and incubation time increased. The carbonyl content was 2.06 nmol/mg for native MPs, while the carbonyl contents increased to 5.17, 5.57, 7.01, 11.37, 13.78, and 23.24 nmol/mg for MP treated with 0.25 to 8 mM MDA, respectively. When the MP was treated with 0.25 mM MDA, the sulfhydryl content and the α-helix content decreased to 43.78 nmol/mg and 38.46%, while when MDA concentration increased to 8 mM, the contents for sulfhydryl and α-helix decreased to 25.70 nmol/mg and 15.32%. Furthermore, the denaturation temperature and ΔH decreased with the increase in MDA concentration, and the peaks disappeared when the MDA concentration reached 8 mM. Those results indicate MDA modification resulted in structural destruction, thermal stability reduction, and protein aggregation. Besides, the first-order kinetics and Stern–Volmer equation fitting results imply that the quenching mechanism of MP by MDA may be mainly driven by dynamic quenching. Full article
(This article belongs to the Section Food Physics and (Bio)Chemistry)
Show Figures

Figure 1

14 pages, 28220 KB  
Article
Characterization of the Interactions between Minocycline Hydrochloride and Trypsin with Spectroscopic and Molecular Docking Technology
by Xiaoxia Wang, Jisheng Sun, Litong Ma, Zhihua Nie, Huazheng Sai, Jianguo Cheng and Jianguo Duan
Molecules 2023, 28(6), 2656; https://doi.org/10.3390/molecules28062656 - 15 Mar 2023
Cited by 10 | Viewed by 2279
Abstract
In the current study, the interaction of minocycline hydrochloride (MC) and trypsin (TRP) was studied using fluorescence spectroscopy, synchronous fluorescence spectroscopy, three-dimensional fluorescence spectroscopy, UV-Vis spectroscopy, and molecular docking simulation techniques. The results show that the fluorescence quenching of trypsin at different degrees [...] Read more.
In the current study, the interaction of minocycline hydrochloride (MC) and trypsin (TRP) was studied using fluorescence spectroscopy, synchronous fluorescence spectroscopy, three-dimensional fluorescence spectroscopy, UV-Vis spectroscopy, and molecular docking simulation techniques. The results show that the fluorescence quenching of trypsin at different degrees can be caused by minocycline hydrochloride at different temperatures. According to the Stern-Volmer equation, the fluorescence quenching type was static quenching. By calculating critical distance, we concluded that there is a possibility of non-radiative energy transfer between minocycline hydrochloride and trypsin. The effect of minocycline hydrochloride on the secondary structure of trypsin was demonstrated using ultraviolet spectroscopy. Synchronous fluorescence spectroscopy showed that minocycline hydrochloride could bind to tryptophan residues in trypsin, resulting in corresponding changes in the secondary structure of trypsin. Three-dimensional fluorescence spectroscopy showed that minocycline hydrochloride had a particular effect on the microenvironment of trypsin that led to changes in the secondary structure of trypsin. The molecular docking technique demonstrated that the binding of minocycline hydrochloride and trypsin was stable. Circular dichroism showed that the secondary structure of trypsin could be changed by minocycline hydrochloride. Full article
(This article belongs to the Section Analytical Chemistry)
Show Figures

Figure 1

12 pages, 2068 KB  
Article
Copolymers of 4-Trimethylsilyl Diphenyl Acetylene and 1-Trimethylsilyl-1-Propyne: Polymer Synthesis and Luminescent Property Adjustment
by Tanxiao Shen, Manyu Chen, Haoke Zhang, Jing Zhi Sun and Ben Zhong Tang
Molecules 2023, 28(1), 27; https://doi.org/10.3390/molecules28010027 - 21 Dec 2022
Cited by 17 | Viewed by 2404
Abstract
Poly(4-trimethylsilyl diphenyl acetylene) (PTMSDPA) has strong fluorescence emission, but its application is limited by the effect of aggregation-caused quenching (ACQ). Copolymerization is a commonly used method to adjust the properties of polymers. Through the copolymerization of 4-trimethylsilyl diphenyl acetylene and 1-trimethylsilyl-1-propyne (TMSP), we [...] Read more.
Poly(4-trimethylsilyl diphenyl acetylene) (PTMSDPA) has strong fluorescence emission, but its application is limited by the effect of aggregation-caused quenching (ACQ). Copolymerization is a commonly used method to adjust the properties of polymers. Through the copolymerization of 4-trimethylsilyl diphenyl acetylene and 1-trimethylsilyl-1-propyne (TMSP), we successfully realized the conversion of PTMSDPA from ACQ to aggregation-induced emission (AIE) and aggregation-induced emission enhancement (AEE). By controlling the monomer feeding ratio and with the increase of the content of TMSDPA inserted into the copolymer, the emission peak was red-shifted, and a series of copolymers of poly(TMSDPA-co-TMSP) that emit blue–purple to orange–red light was obtained, and the feasibility of the application in explosive detection was verified. With picric acid (PA) as a model explosive, a super-quenching process has been observed, and the quenching constant (KSV) calculated from the Stern–Volmer equation is 24,000 M−1, which means that the polymer is potentially used for explosive detection. Full article
Show Figures

Figure 1

11 pages, 2976 KB  
Article
A Rapid, Fluorescence Switch-On Biosensor for Early Diagnosis of Sorghum Mosaic Virus
by Zhenlong Han, Congyuan Yang, Dan Xiao, Yinfu Lin, Ronghui Wen, Baoshan Chen and Xipu He
Biosensors 2022, 12(11), 1034; https://doi.org/10.3390/bios12111034 - 17 Nov 2022
Cited by 8 | Viewed by 2782
Abstract
For the first time, a nanobiosensor was established for Sorghum mosaic virus (SrMV) detection. The biosensor consists of cadmium telluride quantum dots (CdTe QDs) conjugated to the specific antibody (Ab) against SrMV coat protein (CP) and carbon quantum dots (C QDs) labeled with [...] Read more.
For the first time, a nanobiosensor was established for Sorghum mosaic virus (SrMV) detection. The biosensor consists of cadmium telluride quantum dots (CdTe QDs) conjugated to the specific antibody (Ab) against SrMV coat protein (CP) and carbon quantum dots (C QDs) labeled with SrMV coat protein. The formation of the fluorophore-quencher immunocomplex CdTe QDs-Ab+C QDs-CP led to a distinct decrease in the fluorescence intensity of CdTe QDs. Conversely, the emission intensity of CdTe QDs recovered upon the introduction of unlabeled CP. The developed biosensor showed a limit of detection of 44 nM in a linear range of 0.10–0.54 μM and exhibited the strongest fluorescence intensity (about 47,000 a.u.) at 552 nm. This strategy was applied to detect purified CP in plant sap successfully with a recovery rate between 93–103%. Moreover, the feasibility of the proposed method was further verified by the detection of field samples, and the results were consistent with an enzyme-linked immunosorbent assay (ELISA). Contrarily to ELISA, the proposed biosensor did not require excessive washing and incubation steps, thus the detection could be rapidly accomplished in a few minutes. The high sensitivity and short assay time of this designed biosensor demonstrated its potential application in situ and rapid detection. In addition, the fluorescence quenching of CdTe QDs was attributed to dynamic quenching according to the Stern-Volmer equation. Full article
(This article belongs to the Section Optical and Photonic Biosensors)
Show Figures

Figure 1

14 pages, 1719 KB  
Article
Sensitive Determination of Moxifloxacin HCl in Pharmaceuticals or Human Plasma Using Luminescence or Eye Vision
by Gasser M. Khairy, Zaitona A. Abd El-Naby, Alaa M. A. Elgindy, Axel Duerkop and Eman A. Abdel Hameed
Chemosensors 2022, 10(10), 378; https://doi.org/10.3390/chemosensors10100378 - 21 Sep 2022
Cited by 5 | Viewed by 2452
Abstract
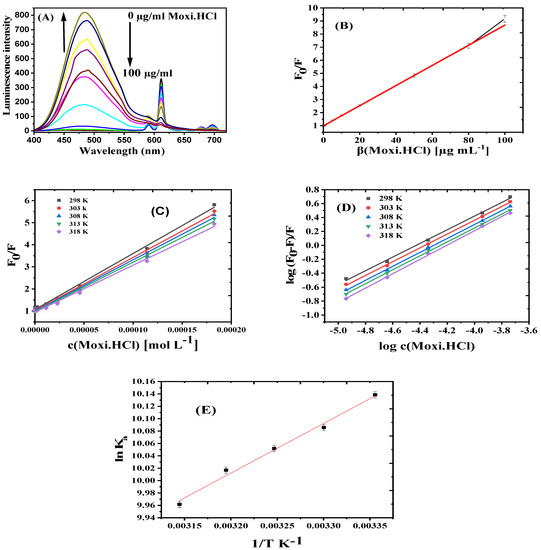
A new probe based on the complex of 1,2 dihydro-2-oxoquinoloine-4-carboxylic acid (DOCA) as a ligand with Europium (III) ion was developed for the quantitation of Moxifloxacin HCl (Moxi.HCl) in pharmaceuticals and human plasma using a luminescence method. The metal to ligand ratio of [...] Read more.
A new probe based on the complex of 1,2 dihydro-2-oxoquinoloine-4-carboxylic acid (DOCA) as a ligand with Europium (III) ion was developed for the quantitation of Moxifloxacin HCl (Moxi.HCl) in pharmaceuticals and human plasma using a luminescence method. The metal to ligand ratio of the complex is 1:2 as determined by a Job plot. The determination of Moxi.HCl is based on static quenching of the luminescence of the probe upon coordination of Moxi.HCl. The negative value for ΔG proves that this reaction is spontaneous. The calibration curve was constructed based on a Stern–Volmer equation and the quantitation range was 0.05–80 µg mL−1. This is low enough to determine the drug in blood plasma, even hours after administration, which is not feasible with the methods published so far. The LOD was 15 ng mL−1. The accuracy of the method was demonstrated by good recoveries of spiking experiments in tablets, ophthalmic eyedrops and human blood plasma, where the mean recovery was 99% with RSDs below 5%. The method was validated by closely matching concentrations of the drug found in all these real samples by HPLC. Additionally, Moxi.HCl can be assessed semi-quantitatively by eye vision upon excitation with a UV lamp at 365 nm by a gradual color shift from red to blue with increasing concentrations of Moxi.HCl. Full article
(This article belongs to the Section Optical Chemical Sensors)
Show Figures

Figure 1

13 pages, 5977 KB  
Article
Ratiometric Optical Fiber Dissolved Oxygen Sensor Based on Fluorescence Quenching Principle
by Yongkun Zhao, Hongxia Zhang, Qingwen Jin, Dagong Jia and Tiegen Liu
Sensors 2022, 22(13), 4811; https://doi.org/10.3390/s22134811 - 25 Jun 2022
Cited by 24 | Viewed by 7980
Abstract
In this study, a ratiometric optical fiber dissolved oxygen sensor based on dynamic quenching of fluorescence from a ruthenium complex is reported. Tris(4,7-diphenyl-1,10-phenanthrolin) ruthenium(II) dichloride complex (Ru(dpp)32+) is used as an oxygen-sensitive dye, and semiconductor nanomaterial CdSe/ZnS quantum dots (QDs) [...] Read more.
In this study, a ratiometric optical fiber dissolved oxygen sensor based on dynamic quenching of fluorescence from a ruthenium complex is reported. Tris(4,7-diphenyl-1,10-phenanthrolin) ruthenium(II) dichloride complex (Ru(dpp)32+) is used as an oxygen-sensitive dye, and semiconductor nanomaterial CdSe/ZnS quantum dots (QDs) are used as a reference dye by mixing the two substances and coating it on the plastic optical fiber end to form a composite sensitive film. The linear relationship between the relative fluorescence intensity of the ruthenium complex and the oxygen concentration is described using the Stern–Volmer equation, and the ruthenium complex doping concentration in the sol-gel film is tuned. The sensor is tested in gaseous oxygen and aqueous solution. The experimental results indicate that the measurement of dissolved oxygen has a lower sensitivity in an aqueous environment than in a gaseous environment. This is due to the uneven distribution of oxygen in aqueous solution and the low solubility of oxygen in water, which results in a small contact area between the ruthenium complex and oxygen in solution, leading to a less-severe fluorescence quenching effect than that in gaseous oxygen. In detecting dissolved oxygen, the sensor has a good linear Stern–Volmer calibration plot from 0 to 18.25 mg/L, the linearity can reach 99.62%, and the sensitivity can reach 0.0310/[O2] unit. The salinity stability, repeatability, and temperature characteristics of the sensor are characterized. The dissolved oxygen sensor investigated in this research could be used in various marine monitoring and environmental protection applications. Full article
(This article belongs to the Section Optical Sensors)
Show Figures

Figure 1

14 pages, 1543 KB  
Article
On the Effect of pH, Temperature, and Surfactant Structure on Bovine Serum Albumin–Cationic/Anionic/Nonionic Surfactants Interactions in Cacodylate Buffer–Fluorescence Quenching Studies Supported by UV Spectrophotometry and CD Spectroscopy
by Krzysztof Żamojć, Dariusz Wyrzykowski and Lech Chmurzyński
Int. J. Mol. Sci. 2022, 23(1), 41; https://doi.org/10.3390/ijms23010041 - 21 Dec 2021
Cited by 31 | Viewed by 5258
Abstract
Due to the fact that surfactant molecules are known to alter the structure (and consequently the function) of a protein, protein–surfactant interactions are very important in the biological, pharmaceutical, and cosmetic industries. Although there are numerous studies on the interactions of albumins with [...] Read more.
Due to the fact that surfactant molecules are known to alter the structure (and consequently the function) of a protein, protein–surfactant interactions are very important in the biological, pharmaceutical, and cosmetic industries. Although there are numerous studies on the interactions of albumins with surfactants, the investigations are often performed at fixed environmental conditions and limited to separate surface-active agents and consequently do not present an appropriate comparison between their different types and structures. In the present paper, the interactions between selected cationic, anionic, and nonionic surfactants, namely hexadecylpyridinium chloride (CPC), hexadecyltrimethylammonium bromide (CTAB), sodium dodecyl sulfate (SDS), polyethylene glycol sorbitan monolaurate, monopalmitate, and monooleate (TWEEN 20, TWEEN 40, and TWEEN 80, respectively) with bovine serum albumin (BSA) were studied qualitatively and quantitatively in an aqueous solution (10 mM cacodylate buffer; pH 5.0 and 7.0) by steady-state fluorescence spectroscopy supported by UV spectrophotometry and CD spectroscopy. Since in the case of all studied systems, the fluorescence intensity of BSA decreased regularly and significantly under the action of the surfactants added, the fluorescence quenching mechanism was analyzed thoroughly with the use of the Stern–Volmer equation (and its modification) and attributed to the formation of BSA–surfactant complexes. The binding efficiency and mode of interactions were evaluated among others by the determination, comparison, and discussion of the values of binding (association) constants of the newly formed complexes and the corresponding thermodynamic parameters (ΔG, ΔH, ΔS). Furthermore, the influence of the structure of the chosen surfactants (charge of hydrophilic head and length of hydrophobic chain) as well as different environmental conditions (pH, temperature) on the binding mode and the strength of the interaction has been investigated and elucidated. Full article
(This article belongs to the Section Physical Chemistry and Chemical Physics)
Show Figures

Figure 1

Back to TopTop