Synthesis of a Luminescent Aluminum-Based MOF for Selective Iron(III) Ion Sensing
Abstract
1. Introduction
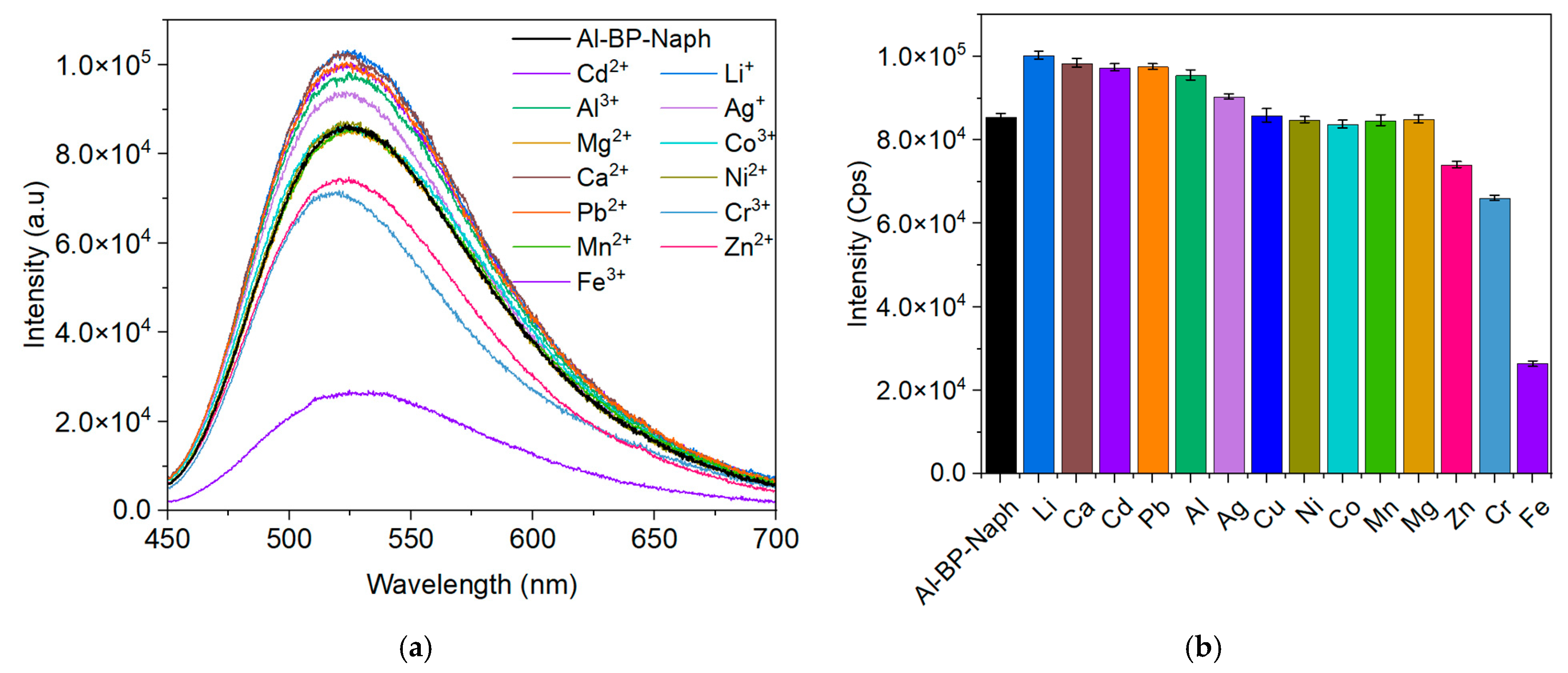
2. Results
- I0: Luminescence intensity of pristine Al-BP-Naph in DMF suspension.
- I: Luminescence intensity of Al-BP-Naph in the presence of Fe(III) ions in DMF
- KSV: Stern-Volmer constant
- Q: Concentration of the quenching Fe3+ ions
| Sample | Solvent | LOD [µmol L–1] (a) | LOD [µg mL–1] (a) | KSV [L mol–1] (b) | Ref. |
|---|---|---|---|---|---|
| This work | DMF | 5.6 | 0.31 | 0.09 × 105 | This work |
| Cu0.1/Zn-MOF | Water | 833 | 46.51 | 0.27 × 105 | [12] |
| EuBDC-OMe | Water | 2.9 | 0.16 | 0.18 × 105 | [13] |
| CdBPTC | Water | 16.6 | 0.92 | 0.08 × 105 | [17] |
| [Eu(BTPCA)(H2O)] | DMF | 10 | 0.55 | - | [20] |
| Ni-MOF | EtOH | 15 | 0.86 | - | [40] |
| DMAC | DMAC | 60 | 3.35 | 0.78 × 10–5 | [45] |
| EuOHBDC | Water | 1.17 | 0.06 | 45.64 | [46] |
| NNU-1 | Water | 200 | 11.2 | - | [47] |
| Zn-MOF | Water | 28 | 1.56 | 0.16 × 105 | [41] |
| Cd-MOF | Water | 57 | 3.18 | 0.10 × 105 | [41] |
| [Eu(H2O)2(BTMIPA)] | Water | 10 | 0.55 | - | [48] |
| [Zn2(L)2(bpe)2(H2O)2] | Water | 25 | 1.39 | [49] | |
| MI-53-(Al) | Water | 0.9 | 0.05 | - | [50] |
| [Tb(HL)(DMF)(H2O)2] 3H2O | Water | 50 | 2.79 | 0.04 × 105 | [51] |
| CALIX@UiO-66-NH2 | Water | 6.7 | 0.37 | 0.02 × 105 | [52] |
| Eu(L1)3 | Water | 100 | 5.58 | - | [53] |
| FJI-C8 | DMF | 23 | 1.30 | 0.08 × 105 | [54] |
| [Eu2(MFDA)2(HCOO)2(H2O)6 H2O | DMF | 0.33 | 0.018 | - | [55] |
| Tb3+@Cd-MOF | DMF | 10 | 0.56 | 1.10 × 105 | [56] |
3. Materials and Methods
3.1. Synthesis of Dimethyl-2-Amino-[1,1′-biphenyl]-4,4′-Dicarboxylate [26]
3.2. Synthesis of Dimethyl-2-(Naphthalen-2-ylamino)-[1,1′-biphenyl]-4,4′-Dicarboxylate
3.3. Synthesis of 2-(Naphthalen-2-ylamino)-[1,1′-biphenyl]-4,4′-Dicarboxylic Acid
3.4. Synthesis of the Al-BP-Naph
3.5. Quenching Experiments
4. Conclusions
Supplementary Materials
Author Contributions
Funding
Institutional Review Board Statement
Informed Consent Statement
Data Availability Statement
Acknowledgments
Conflicts of Interest
References
- Yu, C.; Luo, M.; Zeng, F.; Wu, S. A fast-responding fluorescent turn-on sensor for sensitive and selective detection of sulfite anions. Anal. Methods 2012, 4, 2638–2640. [Google Scholar] [CrossRef]
- Qiao, J.; Liu, X.; Zhang, L.; Eubank, J.F.; Liu, X.; Liu, Y. Unique Fluorescence Turn-On and Turn-Off–On Responses to Acids by a Carbazole-Based Metal–Organic Framework and Theoretical Studies. J. Am. Chem. Soc. 2022, 144, 17054–17063. [Google Scholar] [CrossRef]
- Sun, S.; Liu, M.; Jin, X.-T.; Zhao, J.; Luo, Y.-H. Wavelength-Based Luminescence Sensing via Turn-On Responses for Acid Detection in Complex Environments. Spectrochim. Acta A Mol. Biomol. Spectrosc. 2025, 326, 125187. [Google Scholar] [CrossRef]
- Luo, T.-Y.; Das, P.; White, D.L.; Liu, C.; Star, A.; Rosi, N.L. Luminescence “Turn-On” Detection of Gossypol Using Ln3+ -Based Metal–Organic Frameworks and Ln3+ Salts. J. Am. Chem. Soc. 2020, 142, 2897–2904. [Google Scholar] [CrossRef] [PubMed]
- Ramírez Garza, R.E.; Rodríguez de Luna, S.L.; Padrón, G.H.; Gómez de la Fuente, I. A “turn-off” photoluminescent sensor for H2O2 detection based on a zinc oxide–graphene quantum dot (ZnO–GQD) nanocomposite and the role of amine in the development of GQD. RSC Adv. 2023, 13, 21808–21819. [Google Scholar] [CrossRef] [PubMed]
- Li, Y.; Tang, J.; He, L.; Liu, Y.; Liu, Y.; Chen, C.; Tang, Z. Core–Shell Upconversion Nanoparticle@Metal–Organic Framework Nanoprobes for Luminescent/Magnetic Dual-Mode Targeted Imaging. Adv. Mater. 2015, 27, 4075–4080. [Google Scholar] [CrossRef] [PubMed]
- Du, P.-Y.; Gu, W.; Liu, X. A three-dimensional Nd(iii)-based metal–organic framework as a smart drug carrier. New J. Chem. 2016, 40, 9017–9020. [Google Scholar] [CrossRef]
- Taokaenchan, N.; Tangkuaram, T.; Pookmanee, P.; Phaisansuthichol, S.; Kuimalee, S.; Satienperakul, S. Enhanced electrogenerated chemiluminescence of tris(2,2′-bipyridyl)ruthenium(II) system by l-cysteine-capped CdTe quantum dots and its application for the determination of nitrofuran antibiotics. Biosens. Bioelectron. 2015, 66, 231–237. [Google Scholar] [CrossRef]
- Zhang, F.; Yao, H.; Chu, T.; Zhang, G.; Wang, Y.; Yang, Y. A Lanthanide MOF Thin-Film Fixed with Co3O4 Nano-Anchors as a Highly Efficient Luminescent Sensor for Nitrofuran Antibiotics. Chem. Eur. J. 2017, 23, 10293–10300. [Google Scholar] [CrossRef]
- Hao, J.-N.; Xu, X.-Y.; Lian, X.; Zhang, C.; Yan, B. A Luminescent 3d-4f-4d MOF Nanoprobe as a Diagnosis Platform for Human Occupational Exposure to Vinyl Chloride Carcinogen. Inorg. Chem. 2017, 56, 11176–11183. [Google Scholar] [CrossRef]
- Feng, A.; Smet, P.F. A Review of Mechanoluminescence in Inorganic Solids: Compounds, Mechanisms, Models and Applications. Materials 2018, 11, 484. [Google Scholar] [CrossRef]
- Jia, R.-Q.; Tan, G.; Chen, Y.-J.; Zuo, L.-Y.; Li, B.; Wang, L.-Y. CuII Ion Doping Enhances the Water Stability of Luminescent Metal–Organic Framework, Realizing the Detection of Fe3+ and Antibiotics in Aqueous Solutions. Front. Chem. 2022, 10, 860232. [Google Scholar] [CrossRef] [PubMed]
- Rozenberga, L.; Skinner, W.; Lancaster, D.G.; Bloch, W.M.; Blencowe, A.; Krasowska, M.; Beattie, D.A. A europium metal–organic framework for dual Fe3+ ion and pH sensing. Sci. Rep. 2022, 12, 11982. [Google Scholar] [CrossRef] [PubMed]
- Gujja, C.S.; Pawar, S.D. Synthesis of Fluorescent Cu-MOF and Ni-MOF Sensors for Selective and Sensitive Detection of Arginine and Hydrogen Sulfide. J. Inorg. Organomet. Polym. Mater. 2023, 33, 2636–2646. [Google Scholar] [CrossRef]
- Yusuf, V.F.; Malek, N.I.; Kailasa, S.K. Review on Metal–Organic Framework Classification, Synthetic Approaches, and Influencing Factors: Applications in Energy, Drug Delivery, and Wastewater Treatment. ACS Omega 2022, 7, 44507–44531. [Google Scholar] [CrossRef] [PubMed]
- Xu, L.-L.; Zhang, Q.-F.; Wang, D.; Wu, G.-W.; Cai, H. Construction of a Luminescent Cadmium-Based Metal–Organic Framework for Highly Selective Discrimination of Ferric Ions. Molecules 2021, 26, 6847. [Google Scholar] [CrossRef]
- Chen, M.; Xu, W.-M.; Tian, J.-Y.; Cui, H.; Zhang, J.-X.; Liu, C.-S.; Du, M. A terbium(iii) lanthanide–organic framework as a platform for a recyclable multi-responsive luminescent sensor. J. Mater. Chem. C 2017, 5, 2015–2021. [Google Scholar] [CrossRef]
- Yu, Y.; Ma, J.-P.; Zhao, C.-W.; Yang, J.; Zhang, X.-M.; Liu, Q.-K.; Dong, Y.-B. Copper(I) Metal–Organic Framework: Visual Sensor for Detecting Small Polar Aliphatic Volatile Organic Compounds. Inorg. Chem. 2015, 54, 11590–11592. [Google Scholar] [CrossRef]
- Yang, N.-N.; Sun, W.; Xi, F.-G.; Sui, Q.; Chen, L.-J.; Gao, E.-Q. Postsynthetic N-methylation making a metal–organic framework responsive to alkylamines. Chem. Commun. 2017, 53, 1747–1750. [Google Scholar] [CrossRef]
- Tang, Q.; Liu, S.; Liu, Y.; Miao, J.; Li, S.; Zhang, L.; Shi, Z.; Zheng, Z. Cation Sensing by a Luminescent Metal–Organic Framework with Multiple Lewis Basic Sites. Inorg. Chem. 2013, 52, 2799–2801. [Google Scholar] [CrossRef]
- Xiao, Z.-Z.; Han, L.-J.; Wang, Z.-J.; Zheng, H.-G. Three Zn(ii)-based MOFs for luminescence sensing of Fe3+ and Cr2O72− ions. Dalton Trans. 2018, 47, 3298–3302. [Google Scholar] [CrossRef] [PubMed]
- Liu, S.; Liu, M.; Guo, M.; Wang, Z.; Wang, X.; Cui, W.; Tian, Z. Development of Eu-based metal-organic frameworks (MOFs) for luminescence sensing and entrapping of arsenate ion. J. Lumin. 2021, 236, 118102. [Google Scholar] [CrossRef]
- Senkovska, I.; Hoffmann, F.; Fröba, M.; Getzschmann, J.; Böhlmann, W.; Kaskel, S. New highly porous aluminium based metal-organic frameworks: Al(OH)(ndc) (ndc=2,6-naphthalene dicarboxylate) and Al(OH)(bpdc) (bpdc=4,4′-biphenyl dicarboxylate). Microporous Mesoporous Mater. 2009, 122, 93–98. [Google Scholar] [CrossRef]
- Gotthardt, M.A.; Grosjean, S.; Brunner, T.S.; Kotzel, J.; Gänzler, A.M.; Wolf, S.; Bräse, S.; Kleist, W. Synthesis and post-synthetic modification of amine-, alkyne-, azide- and nitro-functionalized metal–organic frameworks based on DUT-5. Dalton Trans. 2015, 44, 16802–16809. [Google Scholar] [CrossRef]
- Wang, T.; Zhu, L.; Yue, Y.; Asghari, M.R.; Samani, B.H.; Yamamoto, T.; Mukai, Y.; Kanda, H. N,N-dimethylformamide detection and refractive index sensing using an electrospun polymer/Ti3C2 MXene-TiO2 modified optical fiber sensor. Sens. Actuators B Chem. 2024, 417, 136143. [Google Scholar] [CrossRef]
- Cseri, L.; Hardian, R.; Anan, S.; Vovusha, H.; Schwingenschlögl, U.; Budd, P.M.; Sada, K.; Kokado, K.; Szekely, G. Bridging the interfacial gap in mixed-matrix membranes by nature-inspired design: Precise molecular sieving with polymer-grafted metal–organic frameworks. J. Mater. Chem. A 2021, 9, 23793–23801. [Google Scholar] [CrossRef]
- Liu, Y.-Y.; Couck, S.; Vandichel, M.; Grzywa, M.; Leus, K.; Biswas, S.; Volkmer, D.; Gascon, J.; Kapteijn, F.; Denayer, J.F.M.; et al. New VIV-Based Metal–Organic Framework Having Framework Flexibility and High CO2 Adsorption Capacity. Inorg. Chem. 2013, 52, 113–120. [Google Scholar] [CrossRef]
- Thommes, M.; Kaneko, K.; Neimark, A.V.; Olivier, J.P.; Rodriguez-Reinoso, F.; Rouquerol, J.; Sing, K.S.W. Physisorption of gases, with special reference to the evaluation of surface area and pore size distribution (IUPAC Technical Report). Pure Appl. Chem. 2015, 87, 1051–1069. [Google Scholar] [CrossRef]
- Raja, D.S.; Chang, I.H.; Jiang, Y.-C.; Chen, H.-T.; Lin, C.-H. Enhanced gas sorption properties of a new sulfone functionalized aluminum metal-organic framework: Synthesis, characterization, and DFT studies. Microporous Mesoporous Mater. 2015, 216, 20–26. [Google Scholar] [CrossRef]
- Lestari, W.W.; Afifah, E.N.; Mohammed, O.; Saraswati, T.E.; Al-Adawiyah, R.; Kadja, G.T.M.; Widiastuti, N. DUT-5 modified Pd metal-nanoparticles: Synthesis, chemical stability, and hydrogen sorption studies. Mater. Res. Express 2019, 6, 1250–1254. [Google Scholar] [CrossRef]
- Wang, G.; Leus, K.; Couck, S.; Tack, P.; Depauw, H.; Liu, Y.-Y.; Vincze, L.; Denayer, J.F.M.; Van Der Voort, P. Enhanced gas sorption and breathing properties of the new sulfone functionalized COMOC-2 metal organic framework. Dalton Trans. 2016, 45, 9485–9491. [Google Scholar] [CrossRef]
- Nuhnen, A.; Janiak, C. A practical guide to calculate the isosteric heat/enthalpy of adsorption via adsorption isotherms in metal–organic frameworks, MOFs. Dalton Trans. 2020, 49, 10295–10307. [Google Scholar] [CrossRef] [PubMed]
- Llewellyn, P.L.; Maurin, G. Gas adsorption microcalorimetry and modelling to characterise zeolites and related materials. Comptes Rendus Chim. 2005, 8, 283–302. [Google Scholar] [CrossRef]
- Sutherland, T.I.; Sparks, C.J.; Joseph, J.M.; Wang, Z.; Whitaker, G.; Sham, T.K.; Wren, J.C. Effect of ferrous ion concentration on the kinetics of radiation-induced iron-oxide nanoparticle formation and growth. Phys. Chem. Chem. Phys. 2017, 19, 695–708. [Google Scholar] [CrossRef]
- Ko, N.; Hong, J.; Sung, S.; Cordova, K.E.; Park, H.J.; Yang, J.K.; Kim, J. A significant enhancement of water vapour uptake at low pressure by amine-functionalization of UiO-67. Dalton Trans. 2015, 44, 2047–2051. [Google Scholar] [CrossRef]
- Krap, C.P.; Newby, R.; Dhakshinamoorthy, A.; García, H.; Cebula, I.; Easun, T.L.; Savage, M.; Eyley, J.E.; Gao, S.; Blake, A.J.; et al. Enhancement of CO2 Adsorption and Catalytic Properties by Fe-Doping of [Ga2(OH)2(L)] (H4L = Biphenyl-3,3′,5,5′-tetracarboxylic Acid), MFM-300(Ga2). Inorg. Chem. 2016, 55, 1076–1088. [Google Scholar] [CrossRef]
- Wang, B.; Zeng, J.; He, H. Enhancing CO2 adsorption capacity and selectivity of UiO-67 through external ligand modification. Sep. Purif. Technol. 2025, 354, 128651. [Google Scholar] [CrossRef]
- Wang, B.; Huang, H.; Lv, X.-L.; Xie, Y.; Li, M.; Li, J.-R. Tuning CO2 Selective Adsorption over N2 and CH4 in UiO-67 Analogues Through Ligand Functionalization. Inorg. Chem. 2014, 53, 9254–9259. [Google Scholar] [CrossRef] [PubMed]
- Shannon, R.D. Revised effective ionic radii and systematic studies of interatomic distances in halides and chalcogenides. Acta Crystallogr. A 1976, 32, 751–767. [Google Scholar] [CrossRef]
- Asiwal, E.P.; Shelar, D.S.; Gujja, C.S.; Manjare, S.T.; Pawar, S.D. A Ni-MOF based luminescent sensor for selective and rapid sensing of Fe(ii) and Fe(iii) ions. New J. Chem. 2022, 46, 12679–12685. [Google Scholar] [CrossRef]
- Wang, F.; Zhang, F.; Zhao, Z.; Sun, Z.; Pu, Y.; Wang, Y.; Wang, X. Multifunctional MOF-based probes for efficient detection and discrimination of Pb2+, Fe3+ and Cr2O72−/CrO42−. Dalton Trans. 2021, 50, 12197–12207. [Google Scholar] [CrossRef] [PubMed]
- Wang, M.; Guo, L.; Cao, D. Metal-organic framework as luminescence turn-on sensor for selective detection of metal ions: Absorbance caused enhancement mechanism. Sens. Actuators B Chem. 2018, 256, 839–845. [Google Scholar] [CrossRef]
- Xiang, Z.; Fang, C.; Leng, S.; Cao, D. An amino group functionalized metal–organic framework as a luminescent probe for highly selective sensing of Fe3+ ions. J. Mater. Chem. A 2014, 2, 7662–7665. [Google Scholar] [CrossRef]
- Pal, T.K. Metal–organic framework (MOF)-based fluorescence “turn-on” sensors. Mater. Chem. Front. 2023, 7, 405–441. [Google Scholar] [CrossRef]
- Wang, L.; Yao, Z.-Q.; Ren, G.-J.; Han, S.-D.; Hu, T.-L.; Bu, X.-H. A luminescent metal–organic framework for selective sensing of Fe3+ with excellent recyclability. Inorg. Chem. Commun. 2016, 65, 9–12. [Google Scholar] [CrossRef]
- Xu, H.; Dong, Y.; Wu, Y.; Ren, W.; Zhao, T.; Wang, S.; Gao, J. An -OH group functionalized MOF for ratiometric Fe3+ sensing. J. Solid State Chem. 2018, 258, 441–446. [Google Scholar] [CrossRef]
- Hou, B.-L.; Tian, D.; Liu, J.; Dong, L.-Z.; Li, S.-L.; Li, D.-S.; Lan, Y.-Q. A Water-Stable Metal–Organic Framework for Highly Sensitive and Selective Sensing of Fe3+ Ion. Inorg. Chem. 2016, 55, 10580–10586. [Google Scholar] [CrossRef] [PubMed]
- Chen, Z.; Sun, Y.; Zhang, L.; Sun, D.; Liu, F.; Meng, Q.; Wang, R.; Sun, D. A tubular europium–organic framework exhibiting selective sensing of Fe3+ and Al3+ over mixed metal ions. Chem. Commun. 2013, 49, 11557–11559. [Google Scholar] [CrossRef] [PubMed]
- Hu, F.-L.; Shi, Y.-X.; Chen, H.-H.; Lang, J.-P. A Zn(ii) coordination polymer and its photocycloaddition product: Syntheses, structures, selective luminescence sensing of iron(iii) ions and selective absorption of dyes. Dalton Trans. 2015, 44, 18795–18803. [Google Scholar] [CrossRef]
- Yang, C.-X.; Ren, H.-B.; Yan, X.-P. Fluorescent Metal–Organic Framework MIL-53(Al) for Highly Selective and Sensitive Detection of Fe3+ in Aqueous Solution. Anal. Chem. 2013, 85, 7441–7446. [Google Scholar] [CrossRef]
- Zhang, S.-T.; Yang, J.; Wu, H.; Liu, Y.-Y.; Ma, J.-F. Systematic Investigation of High-Sensitivity Luminescent Sensing for Polyoxometalates and Iron(III) by MOFs Assembled with a New Resorcin[4]arene-Functionalized Tetracarboxylate. Chem. Eur. J. 2015, 21, 15806–15819. [Google Scholar] [CrossRef] [PubMed]
- Fonseca, J.; Costa, O.M.; Júnior, S.; Barros, B.; Kulesza, J. Photoluminescent Sensor for Fe3+ Based on Calix[4]arene-Derivative-Modified UiO-66-NH2. J. Braz. Chem. Soc. 2024, 36, 20240146–20240147. [Google Scholar] [CrossRef]
- Zheng, M.; Tan, H.; Xie, Z.; Zhang, L.; Jing, X.; Sun, Z. Fast Response and High Sensitivity Europium Metal Organic Framework Fluorescent Probe with Chelating Terpyridine Sites for Fe3+. ACS Appl. Mater. Interfaces 2013, 5, 1078–1083. [Google Scholar] [CrossRef]
- Chen, C.-H.; Wang, X.-S.; Li, L.; Huang, Y.-B.; Cao, R. Highly selective sensing of Fe3+ by an anionic metal–organic framework containing uncoordinated nitrogen and carboxylate oxygen sites. Dalton Trans. 2018, 47, 3452–3458. [Google Scholar] [CrossRef]
- Zhang, C.; Yan, Y.; Pan, Q.; Sun, L.; He, H.; Liu, Y.; Liang, Z.; Li, J. A microporous lanthanum metal–organic framework as a bi-functional chemosensor for the detection of picric acid and Fe3+ ions. Dalton Trans. 2015, 44, 13340–13346. [Google Scholar] [CrossRef] [PubMed]
- Weng, H.; Yan, B. A flexible Tb(III) functionalized cadmium metal organic framework as fluorescent probe for highly selectively sensing ions and organic small molecules. Sens. Actuators B Chem. 2016, 228, 702–708. [Google Scholar] [CrossRef]
- Petříček, V.; Dušek, M.; Palatinus, L. Crystallographic Computing System JANA2006: General features. Z. Für Krist. 2014, 229, 345–352. [Google Scholar] [CrossRef]









Disclaimer/Publisher’s Note: The statements, opinions and data contained in all publications are solely those of the individual author(s) and contributor(s) and not of MDPI and/or the editor(s). MDPI and/or the editor(s) disclaim responsibility for any injury to people or property resulting from any ideas, methods, instructions or products referred to in the content. |
© 2025 by the authors. Licensee MDPI, Basel, Switzerland. This article is an open access article distributed under the terms and conditions of the Creative Commons Attribution (CC BY) license (https://creativecommons.org/licenses/by/4.0/).
Share and Cite
Othman, H.; Boldog, I.; Janiak, C. Synthesis of a Luminescent Aluminum-Based MOF for Selective Iron(III) Ion Sensing. Molecules 2025, 30, 4146. https://doi.org/10.3390/molecules30204146
Othman H, Boldog I, Janiak C. Synthesis of a Luminescent Aluminum-Based MOF for Selective Iron(III) Ion Sensing. Molecules. 2025; 30(20):4146. https://doi.org/10.3390/molecules30204146
Chicago/Turabian StyleOthman, Hanibal, István Boldog, and Christoph Janiak. 2025. "Synthesis of a Luminescent Aluminum-Based MOF for Selective Iron(III) Ion Sensing" Molecules 30, no. 20: 4146. https://doi.org/10.3390/molecules30204146
APA StyleOthman, H., Boldog, I., & Janiak, C. (2025). Synthesis of a Luminescent Aluminum-Based MOF for Selective Iron(III) Ion Sensing. Molecules, 30(20), 4146. https://doi.org/10.3390/molecules30204146

