Sign in to use this feature.

Years

Between: -

Subjects

remove_circle_outline
remove_circle_outline
remove_circle_outline
remove_circle_outline
remove_circle_outline
remove_circle_outline
remove_circle_outline
remove_circle_outline
remove_circle_outline

Journals

Article Types

Countries / Regions

remove_circle_outline
remove_circle_outline
remove_circle_outline
remove_circle_outline
remove_circle_outline
remove_circle_outline

Search Results (629)

Search Parameters:
Keywords = Portland-composite cement

Order results
Result details
Results per page
Select all
Export citation of selected articles as:
25 pages, 9239 KB  
Article
Impact of Pre-Granulated MSWI Fly Ash on Hydration, Microstructure, and Performance of Portland Cement Mortars
by Maryna Shevtsova, Jurgita Malaiškienė, Jelena Škamat, Valentin Antonovič and Rimvydas Stonys
Appl. Sci. 2026, 16(2), 725; https://doi.org/10.3390/app16020725 (registering DOI) - 9 Jan 2026
Abstract
Portland cement (PC) is widely regarded as a cost-effective and reliable binding material for the stabilization and solidification of municipal solid waste incineration fly ash (MSWI FA). However, the soluble salts and heavy metals present in MSWI FA retard PC hydration, thereby limiting [...] Read more.
Portland cement (PC) is widely regarded as a cost-effective and reliable binding material for the stabilization and solidification of municipal solid waste incineration fly ash (MSWI FA). However, the soluble salts and heavy metals present in MSWI FA retard PC hydration, thereby limiting the amount of fly ash that can be incorporated. The present study investigates the feasibility of normalizing the hydration of PC-based mixtures containing MSWI FA by applying a fly ash pre-granulation step with 25% PC, followed by coating the resulting granules with a geopolymer layer to reduce the release of harmful ions during the early stages of hydration. Isothermal calorimetry, TG/DTA, XRD, SEM, and mechanical testing were used to investigate the hydration characteristics of composites containing such granules and to assess their properties at 7, 28, and 90 days. It was found that a 20% substitution of PC with the studied FA disrupted PC hydration within the first 48 h. In contrast, both types of granules exhibited the main exothermic peak within the first 10–12 h, with hydration heat release (about 300 J/g) comparable to that of sand-containing references. Uncoated granules exhibited more active behavior with hydration kinetics similar to pure cement paste, whereas the effect of geopolymer-coated granules was close to sand. TG/DTA revealed reduced calcite content in mixtures containing granules, whereas uncoated granules promoted greater portlandite formation than the sand-based system. Hardening the samples under wet conditions resulted in the development of a dense cement matrix, firm integration of the granules, redistribution of chlorine and sulfur ions, and mechanical properties that reached at least 93% of those of the sand-containing reference, despite a lower density of ~4.5%. Full article
17 pages, 3100 KB  
Article
Waste Powder Biotite as a Factor Enhancing the Flexural Strength of RPC
by Stefania Grzeszczyk, Tomasz Rajczyk, Aneta Matuszek-Chmurowska, Krystian Jurowski and Alina Kaleta-Jurowska
Materials 2026, 19(2), 276; https://doi.org/10.3390/ma19020276 - 9 Jan 2026
Abstract
The advancement of reactive powder concrete (RPC) technology primarily focuses on modifications to its conventional composition. This involves substituting Portland cement (CEM I) with alternative cement types and finely ground mineral additives, as well as replacing quartz aggregate with another type of aggregate. [...] Read more.
The advancement of reactive powder concrete (RPC) technology primarily focuses on modifications to its conventional composition. This involves substituting Portland cement (CEM I) with alternative cement types and finely ground mineral additives, as well as replacing quartz aggregate with another type of aggregate. The paper presents an analysis of the properties of RPC obtaining using waste sand and powder generated during the processing of aggregates from migmatite-amphibolite rock. Research into RPC mixtures revealed that in one scenario, replacing quartz powder with waste powder resulted in a significant increase in flexural strength by 23%, although there was a slight decrease in compressive strength by 7%. However, when both quartz powder and quartz sand were substituted with waste powder and waste sand, there was a 14% reduction in compressive strength, while flexural strength increased, albeit to a much lesser extent. The analysis of mineral composition and microstructure of migmatite-amphibolite waste powder and sand revealed that the primary factor contributing to the increase in flexural strength is the presence of biotite in a flake shape form. The microscopy images clearly show hydration products gathering mainly at the rims of biotite flakes and not on their smooth surfaces. The reason could be better availability for hydration products attachment and lower steric hindrance to the rims of single biotite flakes instead of its large packets. Conversely, the reduction in RPC compressive strength, resulting from the substitution of quartz sand with migmatite-amphibolite waste sand, can be attributed mainly to the lower compressive strength of the waste sand itself. Test results indicate that the waste powder generated during the production of migmatite-amphibolite aggregates, which contains fine flakes of biotite, can be utilised as a mineral admixture in concrete, thereby enhancing its flexural strength. Full article
Show Figures

Graphical abstract

20 pages, 14945 KB  
Article
Study on the Transport Law and Corrosion Behavior of Sulfate Ions of a Solution Soaking FA-PMPC Paste
by Yuying Hou, Qiang Xu, Tao Li, Sha Sa, Yante Mao, Caiqiang Xiong, Xiamin Hu, Kan Xu and Jianming Yang
Materials 2026, 19(1), 202; https://doi.org/10.3390/ma19010202 - 5 Jan 2026
Viewed by 130
Abstract
To study the sulfate corrosion behavior of potassium magnesium phosphate cement (PMPC) paste, the sulfate content, strength, and length of PMPC specimens were measured at different corrosion ages under 5% Na2SO4 solution soaking conditions, and the phase composition and microstructure [...] Read more.
To study the sulfate corrosion behavior of potassium magnesium phosphate cement (PMPC) paste, the sulfate content, strength, and length of PMPC specimens were measured at different corrosion ages under 5% Na2SO4 solution soaking conditions, and the phase composition and microstructure were analyzed. The conclusion is as follows: In PMPC specimens subjected to one-dimensional SO42− corrosion, the relation between the diffusion depth of SO42− (h) and the SO42− concentration (c (h, t)) can be referred by a polynomial very well. The sulfate diffusion coefficient (D) of PMPC specimens was one order of magnitude lower than Portland cement concrete (on the order of 10−7 mm2/s). The surface SO42− concentration c (0, t), the SO42− computed corrosion depth h00, and D of FM2 specimen containing 20% fly ash (FA) were all less than those of the FM0 specimen (reference). At 360-day immersion ages, the c (0, 360 d) and h00 in FM2 were obviously smaller than those in FM0, and the D of FM2 was 64.2% of FM0. The strengths of FM2 specimens soaked for 2 days (the benchmark strength) were greater than those of FM0 specimens. At 360-day immersion ages, the residual flexural/compressive strength ratios (360-day strength/benchmark strength) of FM0 and FM2 specimens were all larger than 95%. The volume linear expansion rates (Sn) of PMPC specimens continued to increase with the immersion age, and Sn of FM2 specimen was only 49.5% of that of the FM0 specimen at 360-day immersion ages. The results provide an experimental basis for the application of PMPC-based materials. Full article
(This article belongs to the Topic Advanced Composite Materials)
Show Figures

Figure 1

15 pages, 5318 KB  
Article
Mechanical, Physical, and Microstructural Performance of Road Base Materials Prepared with Magnesite Tailings Mixed with Cement
by Buren Yang, Tengteng Zheng, Caiqi Zhao and Lihao Chen
Buildings 2026, 16(1), 90; https://doi.org/10.3390/buildings16010090 - 25 Dec 2025
Viewed by 205
Abstract
Magnesite tailings are by-products of magnesite mining, yet their utilization rate remains extremely low. Although previous studies have explored their basic physical properties and potential use in cementitious or geotechnical materials, research on cement-stabilized magnesite tailings-particularly regarding their mechanical behavior, engineering applicability, and [...] Read more.
Magnesite tailings are by-products of magnesite mining, yet their utilization rate remains extremely low. Although previous studies have explored their basic physical properties and potential use in cementitious or geotechnical materials, research on cement-stabilized magnesite tailings-particularly regarding their mechanical behavior, engineering applicability, and microstructural evolution-remains limited. Key scientific gaps include the lack of systematic evaluation of their compaction characteristics, strength development, stiffness evolution, and bearing capacity, as well as insufficient understanding of the stabilization mechanisms governing their performance. Addressing these gaps is essential for assessing their feasibility as road construction materials. In this study, magnesite tailings were selected as the primary raw material and mixed with ordinary Portland cement to prepare mixtures for evaluating their suitability as highway subgrade fillers. The compaction characteristics, unconfined compressive strength (UCS), ultrasonic pulse velocity (UPV), and California Bearing Ratio (CBR) of the mixtures were systematically examined. Furthermore, the evolution of composition and stabilization mechanisms of the mixtures was analyzed using X-ray diffraction, scanning electron microscopy, and thermogravimetric analysis. The results show that cement incorporation effectively improves the poor particle gradation of magnesite tailings, leading to a denser and more homogeneous structure. Adding 7% cement increases the maximum dry density and optimum moisture content by 3.7% and 5.1%, respectively. The unconfined compressive strength rises by 100.9–126.3% within 3–28 days, and the maximum uniaxial stress is 119.6% higher than that of the 1% cement mixture. These improvements demonstrate the potential of cement-stabilized magnesite tailings as a sustainable subgrade material and provide insight into their microstructural and mechanical behavior. Full article
Show Figures

Figure 1

30 pages, 4154 KB  
Article
Evaluation of Machine Learning Approaches for Hydration Heat Prediction in Energy-Efficient Cement Composites
by Barbara Klemczak, Dawid Bąba and Rafat Siddique
Energies 2026, 19(1), 39; https://doi.org/10.3390/en19010039 - 21 Dec 2025
Cited by 1 | Viewed by 238
Abstract
Accurate prediction of the heat of hydration is essential for designing low-emission, durable mortars and concretes with controlled thermal behavior, as the partial replacement of Portland cement clinker with supplementary cementitious materials (SCMs) fundamentally alters hydration kinetics. Although hydration heat can be measured [...] Read more.
Accurate prediction of the heat of hydration is essential for designing low-emission, durable mortars and concretes with controlled thermal behavior, as the partial replacement of Portland cement clinker with supplementary cementitious materials (SCMs) fundamentally alters hydration kinetics. Although hydration heat can be measured experimentally, such tests are often time-consuming and labor-intensive. Machine learning (ML)-based prediction methods offer a promising alternative, but identifying the most effective model is necessary before practical application. This study evaluates the performance of three ML algorithms, CatBoost, ExtraTrees, and XGBoost, in predicting the heat of hydration in energy-efficient cementitious composites containing SCMs. A dataset of 51 experimental samples was analyzed, comprising mix composition parameters (temperature, slag, fly ash content, and water-to-binder ratio) and four output variables: heat release rate and total heat released after 12, 72, and 168 h. Model performance was assessed using cross-validation and performance metrics (MAE, RMSE, MAPE, R2). All tested models showed a high level of fit (R2 > 0.9 for short-term predictions). ExtraTrees demonstrated the most consistent performance, particularly for hydration heat and heat rate estimation, while XGBoost showed superior accuracy for early-age heat evolution. Residual analyses confirmed model stability and minimal bias. The results indicate that ML-based modeling can significantly reduce laboratory workload and enhance understanding of hydration behavior in low-carbon cementitious systems. Full article
Show Figures

Figure 1

22 pages, 7939 KB  
Article
Effects of Phosphogypsum–Recycled Aggregate Solid Waste Base on Properties of Vegetation Concrete
by Zhan Xiao, Nianchun Deng, Mingxuan Shen, Tianlong Wang, Xiaobing Chen and Shuangcan Li
Materials 2026, 19(1), 14; https://doi.org/10.3390/ma19010014 - 19 Dec 2025
Viewed by 419
Abstract
Vegetation concrete is a composite material integrating plant growth and concrete technology. In this study, solid waste materials (phosphogypsum and recycled aggregates) were utilized to prepare vegetation concrete. Semi-hydrated phosphogypsum (HPG) was used to replace ordinary Portland cement as a cementitious material in [...] Read more.
Vegetation concrete is a composite material integrating plant growth and concrete technology. In this study, solid waste materials (phosphogypsum and recycled aggregates) were utilized to prepare vegetation concrete. Semi-hydrated phosphogypsum (HPG) was used to replace ordinary Portland cement as a cementitious material in a gradient manner, while recycled coarse aggregates (RCAs) fully replaced natural crushed stone. The basic properties of phosphogypsum–recycled aggregate-based vegetation concrete were analyzed, and X-ray diffraction (XRD) and scanning electron microscopy (SEM) were employed to characterize the hydration products of vegetation concrete with different mix ratios. The results indicated that replacing cement with HPG exerted a significant alkali-reducing effect and provided favorable cementitious strength. When the porosity was 24% and the HPG content was 50%, the vegetation concrete exhibited optimal performance: the 28-day compressive strength reached 12.3 MPa, and the pH value was 9.7. Recycled aggregates had a minimal impact on strength. When 0.5% sodium gluconate was added as a retarder, the initial setting time was 97 min and the final setting time was 192 min, which met construction requirements with little influence on later-stage strength. Microscopic analysis revealed that the early strength (3d–7d) of vegetation concrete was primarily contributed by CaSO4·2H2O crystals (the hydration product of HPG), while the later-stage strength was supplemented by C-S-H (the hydration product of cement). Planting tests showed that Tall Fescue formed a lawn within 30 days; at 60 days, the plant height was 18 cm and the root length was 6–8 cm. Some roots grew along the sidewalls of concrete pores and penetrated the 5 cm thick vegetation concrete slab, demonstrating good growth status. Full article
Show Figures

Figure 1

20 pages, 8419 KB  
Article
Performance of Sulfate-Activated Self-Compacting Concrete with High-Volume GGBS–Fly Ash and Steel Slag Aggregates
by Nurshafarina Jasme, Kim Hung Mo, Farid Wajdi Akashah and Chee Ban Cheah
Constr. Mater. 2025, 5(4), 91; https://doi.org/10.3390/constrmater5040091 - 16 Dec 2025
Viewed by 199
Abstract
The development of sustainable self-compacting concrete (SCC) requires alternative binders that minimise ordinary Portland cement (OPC) consumption while ensuring long-term performance. This study investigates sulfate-activated SCC (SA SCC) incorporating high volumes of industrial by-products, whereby 72% ground granulated blast furnace slag (GGBS) and [...] Read more.
The development of sustainable self-compacting concrete (SCC) requires alternative binders that minimise ordinary Portland cement (OPC) consumption while ensuring long-term performance. This study investigates sulfate-activated SCC (SA SCC) incorporating high volumes of industrial by-products, whereby 72% ground granulated blast furnace slag (GGBS) and 18% fly ash (FA) were activated with varying proportions of OPC and gypsum. Quarry dust was used as a fine aggregate, while granite and electric arc furnace (EAF) slag served as coarse aggregates. Among all formulations, the binder containing 72% GGBS, 18% FA, 4% OPC, and 6% gypsum was identified as the optimum composition, providing superior mechanical performance across all curing durations. This mix achieved slump flow within the EFNARC SF2 class (700–725 mm), compressive strength exceeding 50 MPa at 270 days, and flexural strength up to 20% higher than OPC SCC. Drying shrinkage values remained below Eurocode 2 and ASTM C157 limits, while EAF slag increased density, but slightly worsened shrinkage compared to granite mixes. Microstructural analysis (SEM-EDX) confirmed that strength development was governed by discrete C-S-H and C-A-S-H gels surrounding unreacted binder particles, forming a dense interlocked matrix. The results demonstrate that sulfate activation with a 4% OPC + 6% gypsum blend enables the production of high-performance SCC with 94–98% industrial by-products, reducing OPC dependency and environmental impact. This work offers a practical pathway for low-carbon SCC. Full article
Show Figures

Figure 1

13 pages, 5292 KB  
Article
Synthesis of Ceramic Foams, Development of Insulating Panels, and Energy Performance Evaluation for Social Housing Using Thermal Simulation
by Nahyr Michelle Tercero-González, Daniel Lardizábal-Gutiérrez, Jorge Escobedo-Bretado, Ivan Vásquez-Duarte, Ricardo Beltran-Chacon and Caleb Carreño-Gallardo
Ceramics 2025, 8(4), 153; https://doi.org/10.3390/ceramics8040153 - 11 Dec 2025
Viewed by 316
Abstract
The growing energy demand in the residential sector, driven by the extensive use of air conditioning systems, poses serious environmental and economic challenges. A sustainable alternative is the use of efficient insulating materials derived from waste resources. This study presents the synthesis of [...] Read more.
The growing energy demand in the residential sector, driven by the extensive use of air conditioning systems, poses serious environmental and economic challenges. A sustainable alternative is the use of efficient insulating materials derived from waste resources. This study presents the synthesis of glass–ceramic foams produced from recycled glass (90 wt%), pumice (5 wt%), and limestone (5 wt%), sintered at 800 °C for 10 min. The resulting foams exhibited a low apparent density of 684 kg/m3 and thermal conductivity of 0.09 W/m·K. These were incorporated into composite insulating panels composed of 70 wt% ceramic pellets and 30 wt% Portland cement, achieving a thermal conductivity of 0.18 W/m·K. The panels were evaluated in a 64.8 m2 social housing model located in Chihuahua, Mexico, using TRNSYS v.17 to simulate annual energy performance. Results showed that applying a 1.5-inch ceramic foam panel reduced the annual energy demand by 16.9% and the total energy cost by 14.7%, while increasing the panel thickness to 2 in improved savings to 18.4%. Compared with expanded polystyrene (EPS), which achieved 24.9% savings, the proposed ceramic panels offer advantages in fire resistance, durability, local availability, and environmental sustainability. This work demonstrates an effective, low-cost, and circular-economy-based solution for improving thermal comfort and energy efficiency in social housing. Full article
(This article belongs to the Special Issue Advances in Ceramics, 3rd Edition)
Show Figures

Figure 1

17 pages, 3082 KB  
Article
Transformation of Waste Glasses in Hydroxide Solution
by Przemysław Czapik and Katarzyna Borek
Materials 2025, 18(24), 5565; https://doi.org/10.3390/ma18245565 - 11 Dec 2025
Viewed by 275
Abstract
Unused glass waste represents a potentially valuable secondary raw material for the production of construction materials. This study aimed to investigate the chemical and structural transformations occurring in soda-lime container glasses of different chemical compositions when exposed to alkaline environments. Such alkaline conditions [...] Read more.
Unused glass waste represents a potentially valuable secondary raw material for the production of construction materials. This study aimed to investigate the chemical and structural transformations occurring in soda-lime container glasses of different chemical compositions when exposed to alkaline environments. Such alkaline conditions are characteristic of processes involved in the production of lime–sand materials or Portland cement-based composites, where they are essential for the occurrence of pozzolanic reactions. The investigation was conducted on powders derived from three types of container glass differing in color, which were stored in Ca(OH)2 and NaOH solutions. The samples were analysed using X-ray diffraction (XRD), differential thermal and thermogravimetric analysis (DTA–TG), and scanning electron microscopy (SEM). The results confirmed that all tested glasses exhibited pozzolanic reactivity, although differences were observed in the composition of the reaction products and the kinetics of the transformation processes. A deeper understanding of these differences may contribute to more effective utilization of waste glass as a raw material in the manufacturing of construction materials. Full article
(This article belongs to the Special Issue Sustainable Materials for Construction Applications)
Show Figures

Figure 1

32 pages, 12922 KB  
Article
Research on Engineering Characteristics of Lignin–Cement-Stabilized Lead-Contaminated Lateritic Clay
by Junhua Chen, Xiulin Wei, Bocheng Huang, Aijun Chen, Xiong Shi, Shouqian Li, Ying Xiao, Xiao Liao and Liuxuan Zhao
Buildings 2025, 15(24), 4433; https://doi.org/10.3390/buildings15244433 - 8 Dec 2025
Viewed by 279
Abstract
This study systematically investigates the engineering characteristics of lead-contaminated red clay stabilized by calcium lignosulfonate and ordinary Portland cement composite binders. A series of experiments were conducted to evaluate the effects of lignosulfonate contents (0%, 0.25%, 0.5%, 1%, 2%), cement content (4%, 6%, [...] Read more.
This study systematically investigates the engineering characteristics of lead-contaminated red clay stabilized by calcium lignosulfonate and ordinary Portland cement composite binders. A series of experiments were conducted to evaluate the effects of lignosulfonate contents (0%, 0.25%, 0.5%, 1%, 2%), cement content (4%, 6%, 8%, 10%), and lead ion concentration (0%, 0.1%, 1%) on the mechanical properties, permeability characteristics, and leaching behavior. Key findings include the following. (1) Based on the highest mean UCS values observed in this study, the best-performing formulations were 1% lignosulfonate + 4% cement for uncontaminated soil, 0.5% lignosulfonate + 4% cement for 0.1% lead, and 0.25% lignosulfonate + 10% cement for 1% lead. (2) The permeability coefficient initially decreases and then increases with lignosulfonate addition, with maximum reductions of 65.9% and 44.4% for 0.1% and 1% lead contamination under their respective best-performing formulations under these specific test conditions. (3) The leaching concentration of 0.1% lead-contaminated soil met the national standard (<5 mg/L). Critically, however, the 1% lead-contaminated soil failed the TCLP test, with a leaching concentration of 37.3 mg/L, vastly exceeding the regulatory limit. This constitutes a treatment failure for environmental safety purposes, rendering the concurrent mechanical strength improvement irrelevant. (4) Microstructural and X-Ray Diffraction analyses (SEM and XRD) suggest that lignosulfonate improves soil structure by promoting the formation of C-S-H gel and ettringite (3CaO·Al2O3·3CaSO4·32H2O), whereas high lead concentrations inhibit ettringite formation. This research provides a theoretical foundation for the multi-criteria evaluation and application of lignosulfonate–cement composites in lead-contaminated soil remediation. Full article
(This article belongs to the Section Building Structures)
Show Figures

Figure 1

22 pages, 3762 KB  
Article
Optimized Quaternary Binder Systems for Sustainable High-Performance Concrete: Insights from Taguchi Design
by Tan-Khoa Nguyen, Khanh-Dung Tran Thi, Duy-Hai Vo and Woubishet Zewdu Taffese
Appl. Sci. 2025, 15(24), 12864; https://doi.org/10.3390/app152412864 - 5 Dec 2025
Viewed by 260
Abstract
The use of high-volume industrial by-products in high-performance concrete (HPC) production offers a promising and sustainable strategy for reducing ordinary Portland cement (OPC) consumption. However, each pozzolanic material has a unique chemical composition and physical characteristics, making ternary and quaternary binder systems an [...] Read more.
The use of high-volume industrial by-products in high-performance concrete (HPC) production offers a promising and sustainable strategy for reducing ordinary Portland cement (OPC) consumption. However, each pozzolanic material has a unique chemical composition and physical characteristics, making ternary and quaternary binder systems an effective approach for optimizing performance. In this study, quaternary binders comprising OPC partially replaced with Class F fly ash (FA), ground granulated blast-furnace slag (GGBFS), and silica fume (SF) were designed using the Taguchi method, and the mechanical and durability properties of fine-grained HPC were evaluated. Sixteen concrete mixtures were developed considering three factors—FA, GGBFS, and SF replacement levels—each at four dosage levels. The results show that incorporating SF significantly enhanced both mechanical performance and durability. An optimal blend containing 60% OPC, 30% GGBFS, and 10% SF exhibited superior performance compared with the 100% OPC control mix. Additionally, a mixture of 40% OPC, 40% GGBFS, 10% Class F FA, and 10% SF achieved comparable compressive strength to the control, exceeding 100 MPa at 28 days. SEM observations confirmed the dense microstructure of this HPC mix. ANOVA analysis indicated that FA and SF had a significantly greater influence on HPC strength development than GGBFS. Overall, these findings demonstrate the potential of high-volume industrial by-products to produce fine-grained HPC, providing a high-performance and environmentally friendly alternative to conventional OPC-based concrete. Full article
(This article belongs to the Special Issue Latest Advances in Cement and Concrete Composites: 2nd Edition)
Show Figures

Figure 1

25 pages, 8944 KB  
Article
Highly Effective Injection Composites with Fly Ash and Microsilica for Soil Stabilization
by Yasin Onuralp Özkılıç, Alexey N. Beskopylny, Ceyhun Aksoylu, Sergey A. Stel’makh, Evgenii M. Shcherban’, Emrah Madenci, Diana M. Shakhalieva, Andrei Chernil’nik and Alexey Kosykh
J. Compos. Sci. 2025, 9(12), 675; https://doi.org/10.3390/jcs9120675 - 4 Dec 2025
Viewed by 450
Abstract
Injection composites based on mineral binders are widely used for soil stabilization, using jet grouting technology to solve various geotechnical problems. Cement, which contains toxic components and worsens the ecology of the environment, is typically the main mineral component used to manufacture injection [...] Read more.
Injection composites based on mineral binders are widely used for soil stabilization, using jet grouting technology to solve various geotechnical problems. Cement, which contains toxic components and worsens the ecology of the environment, is typically the main mineral component used to manufacture injection composites. Reducing cement consumption in the production of building materials is currently of great importance. This study developed highly effective, environmentally friendly injection composites for soil stabilization based on three mineral components: Portland cement, fly ash (FA), and microsilica (MS). FA was introduced into the composites as a partial Portland cement substitute, in amounts ranging from 5 to 50% in 5% increments. The properties of fresh and hardened composites, including the density, flow rate, water separation, compressive strength at 7 and 28 days, and the structure and phase composition of the composites, were studied. The inclusion of FA in the composition of composites contributes to a decrease in density by 16.9%, from 1.89 g/cm3 to 1.57 g/cm3, and cone spread by 9%, from 30.1 cm to 27.4 cm, and an increase in water bleeding by 91.4%, from 3.5% to 6.7%, respectively. Based on the results of the experimental studies, the most effective dosage of FA was determined, which amounted to 20%. An increase in compressive strength was recorded for composites at the age of 7 days of 8.3%, from 33.6 MPa to 36.4 MPa, and for compressive strength at the age of 28 days of 9.4%, from 41.3 MPa to 45.2 MPa, respectively. SEM and XRD analysis results show that including FA and MS promotes the formation of additional calcium hydrosilicates (CSH) and the development of a compact and organized composite structure. The developed composites with FA contents of up to 50% exhibit the required properties and can be used for their intended purpose in real-world construction for soil stabilization. Full article
(This article belongs to the Section Composites Applications)
Show Figures

Figure 1

12 pages, 1962 KB  
Article
Early Hydration Behaviours and Kinetics of Portland Cement Composites Incorporating Low-Calcium Circulating Fluidized Bed Fly Ash
by Chun-Ran Wu, Zhen-Po Xiao, Jing-Jie Wei, Shi-Cong Kou and Meng-Xiong Tang
J. Compos. Sci. 2025, 9(12), 671; https://doi.org/10.3390/jcs9120671 - 4 Dec 2025
Viewed by 371
Abstract
Low-calcium circulating fluidized bed fly ash (LCFA) exhibits obvious potential as a supplementary cementitious material (SCM) due to its minimal impact on concrete volume stability. However, its early hydration behavior remains unclear. This study investigates the hydration characteristics of cementitious composites incorporating varying [...] Read more.
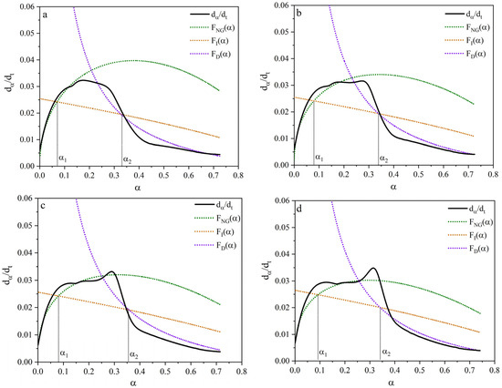
Low-calcium circulating fluidized bed fly ash (LCFA) exhibits obvious potential as a supplementary cementitious material (SCM) due to its minimal impact on concrete volume stability. However, its early hydration behavior remains unclear. This study investigates the hydration characteristics of cementitious composites incorporating varying LCFA dosages. Setting time, hydration heat, pore solution ion concentrations (Ca2+ and SO42−), and XRD analysis were employed. Hydration kinetics were described using the Krstulovic–Dabic model, with corresponding kinetic parameters calculated. The results demonstrate that LCFA inhibits the formation of calcium hydroxide (CH) and C-S-H precipitation while delaying sulfate depletion. Consequently, LCFA incorporation significantly extends both initial and final setting times. Hydration kinetics were effectively described by the Krstulovic–Dabic model, identifying three distinct stages of nucleation and crystal growth (NG), interactions at phase boundaries (I), and diffusion (D). Increasing the LCFA dosage reduced the rate constant for the NG process (KNG′) but increased the rate constants processes of I (KI′) and D (KD′). Furthermore, LCFA increased transition points of NG → I (α1) and I → D (α2). Full article
(This article belongs to the Special Issue High-Performance Composite Materials in Construction)
Show Figures

Figure 1

23 pages, 2467 KB  
Article
New Type of Asphalt Concrete with Bitumen Emulsion in Terms of Type and Quantity of Binder
by Maciej Krasowski, Przemysław Buczyński, Grzegorz Mazurek and Matúš Kozel
Materials 2025, 18(23), 5437; https://doi.org/10.3390/ma18235437 - 2 Dec 2025
Viewed by 289
Abstract
This paper presents the effect of modifiers on the properties of a mixture of asphalt concrete with bitumen emulsion (ACBE). The mineral-asphalt mixture is the only one that can be produced using the cold-mix technology (CMA). The theoretical part of the article details [...] Read more.
This paper presents the effect of modifiers on the properties of a mixture of asphalt concrete with bitumen emulsion (ACBE). The mineral-asphalt mixture is the only one that can be produced using the cold-mix technology (CMA). The theoretical part of the article details the characteristics of the methods for producing mineral-asphalt mixtures in terms of their production temperature. Thus, hot (HMA), half-warm (H-WMA), warm (WMA) and cold (CMA) mixtures are discussed. The research section presents the design of the asphalt concrete composition with bitumen emulsion, the research methods, the experiment design and the research results. The design of the mixture of asphalt concrete with bitumen emulsion was carried out in accordance with the guidelines set out in EN 13108-31. In the experiment, Portland cement (C), bitumen emulsion (A), synthetic latex (styrene-butadiene rubber SBR) (B) and redispersible polymer powder EVA (polyethylene-co-vinyl acetate) (P) were used as modifiers. Twenty-four mixtures were designed as part of the experiment, according to the 34 experiment design. The following physical and mechanical properties were assessed in the design of the research: air void content Vm, water ab-sorption nw, indirect tensile strength ITS and IT-CY stiffness modulus. When analysing the research results, the authors observed a noticeable impact of the content of asphalt (A) and synthetic latex (B) on the air void content Vm. A significant effect was also observed for the interaction of Portland cement (C) and redispersible polymer powder (P) on the indirect tensile strength ITS. The next step was the optimisation of the ACBE mixture composition, which effect made it possible to identify the optimum amounts of modifiers in the mixture of asphalt concrete with bitumen emulsion (ACBE), which constituted recommendations for the requirements for mixtures of asphalt concrete with bitumen emulsion. Full article
(This article belongs to the Special Issue Innovative Approaches in Asphalt Binder Modification and Performance)
Show Figures

Graphical abstract

19 pages, 1568 KB  
Article
Carbon Conscious Construction: Evaluating Compressed Stabilized Earth Blocks
by Asmamaw Tadege Shiferaw
Buildings 2025, 15(23), 4362; https://doi.org/10.3390/buildings15234362 - 2 Dec 2025
Viewed by 985
Abstract
The construction sector, particularly the production of materials like cement and steel, is a major contributor to global CO2 emissions, with cement alone responsible for about 8%. Conventional masonry relies heavily on cement, increasing embodied carbon and costs, but standardized data on [...] Read more.
The construction sector, particularly the production of materials like cement and steel, is a major contributor to global CO2 emissions, with cement alone responsible for about 8%. Conventional masonry relies heavily on cement, increasing embodied carbon and costs, but standardized data on low-carbon alternatives such as compressed stabilized earth blocks (CSEBs) remain scarce, limiting their adoption in sustainable housing. To support the United Nations Environment Program (UNEP) and the Paris Agreement goals for net-zero embodied carbon in building materials by 2050, this study aims to assess the production and performance of CSEBs as a low carbon alternative to conventional masonry. It specifically addresses the research gap on technical performance and carbon savings, providing new empirical evidence for Ethiopian soils. Soil samples from Kara (east of Addis Ababa) were analyzed for grading, plasticity, and chemical composition. Blocks were produced with Portland pozzolana cement (4–12%) under compaction pressures of 4–10 MPa and tested for compressive strength and water absorption over 56 days. Results show that 6% cement content achieved >2 MPa compressive strength, meeting the structural requirements, while higher cement content and pressure improved strength and reduced absorption. Compared to hollow concrete blocks, CSEBs cut cement use by over 50%, avoiding up to 2 tons of CO2 per 100 m2 of wall. These findings confirm CSEBs as a technically viable and climate-conscious solution for affordable housing and support their integration into sustainable construction practices. Full article
(This article belongs to the Section Building Materials, and Repair & Renovation)
Show Figures

Figure 1

Back to TopTop