Early Hydration Behaviours and Kinetics of Portland Cement Composites Incorporating Low-Calcium Circulating Fluidized Bed Fly Ash
Abstract
1. Introduction
2. Materials and Methods
2.1. Materials
2.2. Methods
2.2.1. Setting Time
2.2.2. Isothermal Calorimetry
2.2.3. Pore Solution Analysis
2.2.4. X-Ray Diffraction
2.2.5. Hydration Kinetics Modelling
3. Results and Discussion
3.1. Setting Time
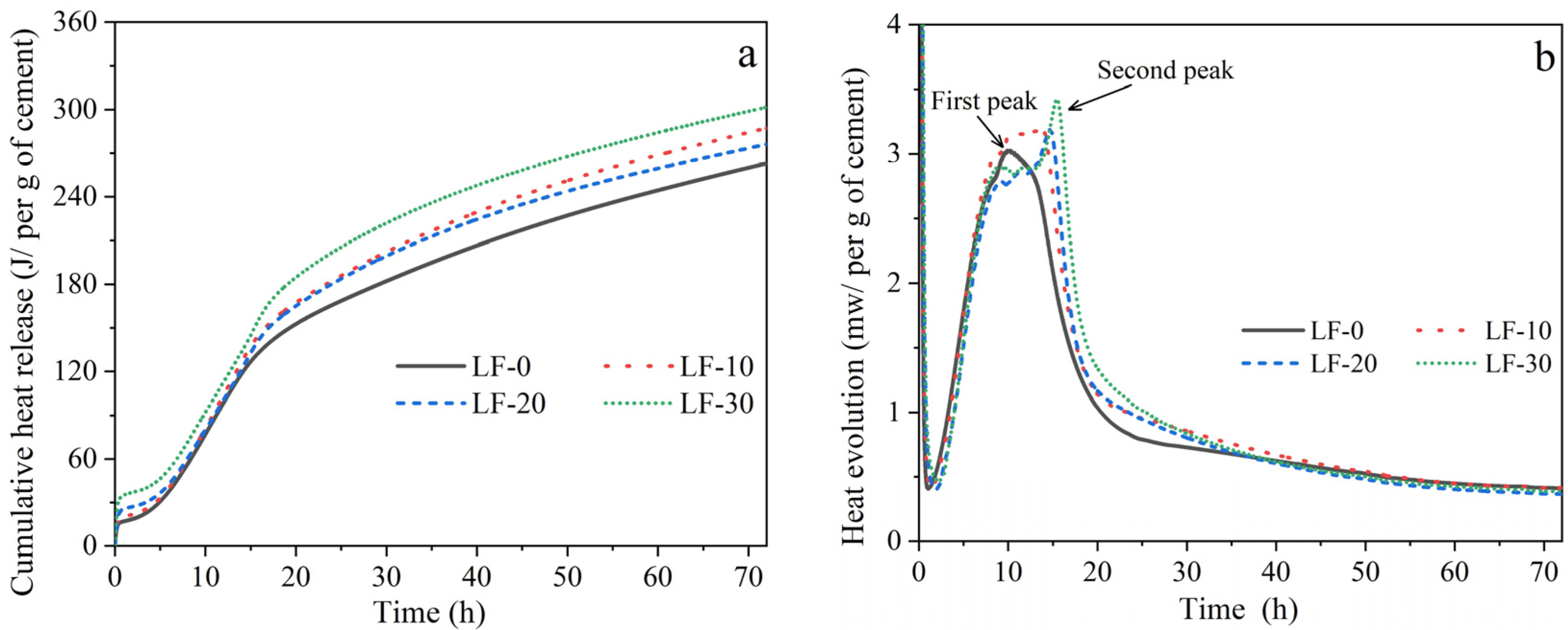
3.2. Hydration Heat
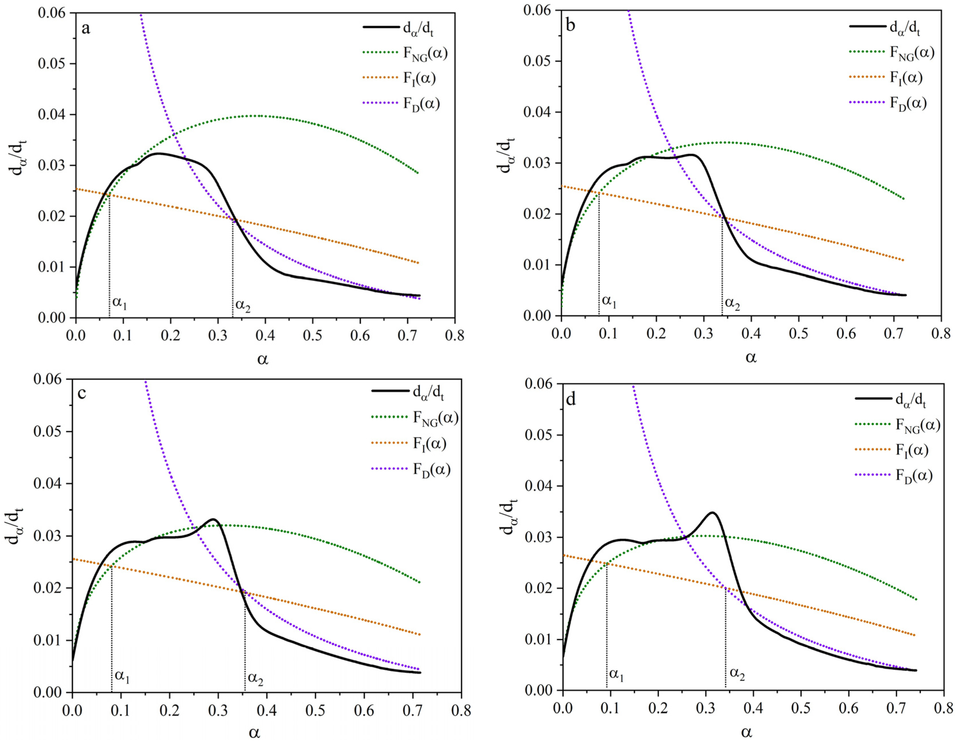
3.3. Hydration Kinetics
4. Conclusions
Author Contributions
Funding
Data Availability Statement
Conflicts of Interest
References
- Wu, C.R.; Zhan, B.J.; Hong, Z.Q.; Cui, S.C.; Cui, P.; Kou, S.C. Hydration behavior of circulating fluidized bed fly ash (CFBFA) as a cementitious binder. Constr. Build. Mater. 2022, 314, 125625. [Google Scholar] [CrossRef]
- He, P.; Zhang, X.; Chen, H.; Zhang, Y. Waste-to-resource strategies for the use of circulating fluidized bed fly ash in construction materials: A mini review. Powder Technol. 2021, 393, 773–785. [Google Scholar] [CrossRef]
- Li, D.; Wang, D.; Ren, C.; Rui, Y. Investigation of rheological properties of fresh cement paste containing ultrafine circulating fluidized bed fly ash. Constr. Build. Mater. 2018, 188, 1007–1013. [Google Scholar] [CrossRef]
- Zheng, D.; Wang, D.; Cui, H.; Chen, X. Hydration characteristics of cement with high volume circulating fluidized bed fly ash. Constr. Build. Mater. 2023, 380, 131310. [Google Scholar] [CrossRef]
- Yue, G.; Cai, R.; Lu, J.; Zhang, H. From a CFB reactor to a CFB boiler—The review of R&D progress of CFB coal combustion technology in China. Powder Technol. 2017, 316, 18–28. [Google Scholar] [CrossRef]
- Chi, M.; Huang, R. Effect of circulating fluidized bed combustion ash on the properties of roller compacted concrete. Cem. Concr. Compos. 2014, 45, 148–156. [Google Scholar] [CrossRef]
- Liu, W.; Liu, X.; Zhang, L.; Wan, Y.; Li, H.; Jiao, X. Rheology, mechanics, microstructure and durability of low-carbon cementitious materials based on circulating fluidized bed fly ash: A comprehensive review. Constr. Build. Mater. 2024, 411, 134688. [Google Scholar] [CrossRef]
- Chen, X.; Gao, J.; Yan, Y.; Liu, Y. Investigation of expansion properties of cement paste with circulating fluidized bed fly ash. Constr. Build. Mater. 2017, 157, 1154–1162. [Google Scholar] [CrossRef]
- Zhang, W.; Liu, X.; Zhang, Z. Mechanical, expansion and rheological properties of circulating fluidized bed fly ash based ecological cement: A critical review. Int. J. Miner. Metall. Mater. 2022, 29, 1670–1682. [Google Scholar] [CrossRef]
- Lee, H.K.; Jeon, S.M.; Lee, B.Y.; Kim, H.K. Use of circulating fluidized bed combustion bottom ash as a secondary activator in high-volume slag cement. Constr. Build. Mater. 2020, 234, 117240. [Google Scholar] [CrossRef]
- Zhang, W.Y.; Wang, S.; Duan, X.H.; Jin, Y.Z.; Feng, C.H.; Zhu, J.P.; Su, F.Q. Mechanical properties, durability and microstructure of cementitious materials with low-calcium circulating fluidized bed fly ash. Constr. Build. Mater. 2023, 369, 130394. [Google Scholar] [CrossRef]
- Zhang, W.Y.; Wang, S.; Zhao, L.Y.; Ran, J.S.; Kang, W.J.; Feng, C.H.; Zhu, J.P. Investigation of Low-Calcium Circulating Fluidized Bed Fly Ash on the Mechanical Strength and Microstructure of Cement-Based Material. Crystals 2022, 12, 400. [Google Scholar] [CrossRef]
- Wu, C.R.; Tang, W.; Luo, F.M.; Kou, S.-C.; Xing, F. Comparative performance of ordinary and recycled aggregate concrete incorporating CFA as SCM. Low-Carbon Mater. Green Constr. 2025, 3, 19. [Google Scholar] [CrossRef]
- GB/T 1346-2011; Test Methods for Water Requirement of Standard Consistency, Setting Time Andsoundness of the Portland Cement. Standards Press of China: Beijing, China, 2011.
- Wu, C.R.; Tang, W.; Huo, Y.L.; Zhan, B.J.; Kou, S.C. Investigation of Fresh Properties of Self-Leveling Cement-Based Pastes with CFB Fly Ash as an SCM. Buildings 2025, 15, 966. [Google Scholar] [CrossRef]
- Zhuang, S.; Wang, Q. Inhibition mechanisms of steel slag on the early-age hydration of cement. Cem. Concr. Res. 2021, 140, 106283. [Google Scholar] [CrossRef]
- Krstulović, R.; Dabić, P. A conceptual model of the cement hydration process. Cem. Concr. Res. 2000, 30, 693–698. [Google Scholar] [CrossRef]
- Han, F.H. Study on Hydration Characteristics and Kinetics of Composite Binder; China University of Mining and Technology: Beijing, China, 2015. [Google Scholar]
- Qin, C.; Gong, J.; Xie, G. Modeling Hydration Kinetics of the Portland-Cement-Based Cementitious Systems with Mortar Blends by Non-Assumptive Projection Pursuit Regression. Thermochim. Acta 2021, 705, 179035. [Google Scholar] [CrossRef]
- Wei, X.X.; Zhu, J.H.; Pei, C. Tailored water-based graphene nanofluid additives for high-performance, low-carbon, and cost-effective nanoengineered concrete. Constr. Build. Mater. 2025, 483, 141788. [Google Scholar] [CrossRef]
- Ezziane, K.; Kadri, E.H.; Hallal, A.; Duval, R. Effect of mineral additives on the setting of blended cement by the maturity method. Mater. Struct. 2010, 43, 393–401. [Google Scholar] [CrossRef]
- Berodier, E.; Scrivener, K. Understanding the Filler Effect on the Nucleation and Growth of C-S-H. J. Am. Ceram. Soc. 2014, 97, 3764–3773. [Google Scholar] [CrossRef]
- Bentz, D.P.; Ferraris, C.F.; Jones, S.Z.; Lootens, D.; Zunino, F. Limestone and silica powder replacements for cement: Early-age performance. Cem. Concr. Compos. 2017, 78, 43–56. [Google Scholar] [CrossRef]
- Malhotra, V.M.; Mehta, P.K. Pozzolanic and Cementitious Materials, 1st ed.; CRC Press: Boca Raton, FL, USA, 2004. [Google Scholar]
- Jansen, D.; Goetz-Neunhoeffer, F.; Lothenbach, B.; Neubauer, J. The early hydration of Ordinary Portland Cement (OPC): An approach comparing measured heat flow with calculated heat flow from QXRD. Cem. Concr. Res. 2012, 42, 134–138. [Google Scholar] [CrossRef]
- Sandberg, P.; Roberts, L. Cement-Admixture Interactions Related to Aluminate Control. J. ASTM Int. 2005, 2, 1–14. [Google Scholar] [CrossRef]
- Hesse, C.; Goetz-Neunhoeffer, F.; Neubauer, J. A new approach in quantitative in-situ XRD of cement pastes: Correlation of heat flow curves with early hydration reactions. Cem. Concr. Res. 2011, 41, 123–128. [Google Scholar] [CrossRef]
- Bai, S.; Guan, X.; Li, G. Early-age hydration heat evolution and kinetics of Portland cement containing nano-silica at different temperatures. Constr. Build. Mater. 2022, 334, 127363. [Google Scholar] [CrossRef]
- Wu, X.Q. Kinetic Study on Hydration of Blast Furnace Slag Cement. J. Chin. Ceram. Soc. 1988, 5, 423–429. [Google Scholar] [CrossRef]
- Zhou, M.; Chen, P.; Chen, X.; Ge, X.; Wang, Y. Study on hydration characteristics of circulating fluidized bed combustion fly ash (CFBCA). Constr. Build. Mater. 2020, 251, 118993. [Google Scholar] [CrossRef]
- Lin, Z. Cementitious Materials, 1st ed.; Wuhan University of Technology Press: Wuhan, China, 2014. [Google Scholar]
- Scrivener, K.; Snellings, R.; Lothenbach, B. A Practical Guide to Microstructural Analysis of Cementitious Materials, 1st ed.; Taylor and Francis Group: Boca Raton, FL, USA, 2016. [Google Scholar]
- Zhou, L.; Gou, M.; Guan, X. Hydration kinetics of cement-calcined activated bauxite tailings composite binder. Constr. Build. Mater. 2021, 301, 124296. [Google Scholar] [CrossRef]
- Lothenbach, B.; Scrivener, K.; Hooton, R.D. Supplementary cementitious materials. Cem. Concr. Res. 2011, 41, 1244–1256. [Google Scholar] [CrossRef]
- Han, F.; Zhang, Z.; Wang, D.; Yan, P. Hydration kinetics of composite binder containing slag at different temperatures. J. Therm. Anal. Calorim. 2015, 121, 815–827. [Google Scholar] [CrossRef]
- Fang, K.; Wang, D.; Gu, Y. Utilization of Gasification Coarse Slag Powder as Cement Partial Replacement: Hydration Kinetics Characteristics, Microstructure and Hardening Properties. Materials 2023, 16, 1922. [Google Scholar] [CrossRef] [PubMed]
- Xin, J.; Liu, L.; Jiang, Q.; Yang, P.; Qu, H.; Xie, G. Early-age hydration characteristics of modified coal gasification slag-cement-aeolian sand paste backfill. Constr. Build. Mater. 2022, 322, 125936. [Google Scholar] [CrossRef]
- Zhang, N.; Li, H.X.; Liu, X.M. Hydration kinetics of cementitious materials composed of red mud and coal gangue. Int. J. Miner. Metall. Mater. 2016, 23, 1215–1224. [Google Scholar] [CrossRef]
- Taylor, H.F.W. Cement Chemistry, 2nd ed.; Thomas Telford Publishing: London, UK, 1997. [Google Scholar]






| SO3 | CaO | Al2O3 | MgO | Fe2O3 | SiO2 | K2O | Na2O | Others | LOI | |
|---|---|---|---|---|---|---|---|---|---|---|
| Cement | 1.87 | 63.40 | 4.78 | 2.70 | 3.64 | 19.52 | 0.92 | 0.32 | 1.24 | 1.62 |
| LCFA | 2.47 | 2.81 | 22.86 | 1.75 | 8.03 | 53.65 | 1.57 | 1.32 | 1.15 | 4.40 |
| Cement | LCFA | Water | |
|---|---|---|---|
| LF-0 | 600 | 0 | 167 |
| LF-5 | 570 | 30 | 176 |
| LF-10 | 540 | 60 | 187 |
| LF-15 | 510 | 90 | 200 |
| LF-20 | 480 | 120 | 213 |
| LF-25 | 450 | 150 | 221 |
| LF-30 | 420 | 180 | 230 |
| Qmax (J) | t50 (h) | Knudsen Equation | |
|---|---|---|---|
| LF-0 | 336.7 | 29.3 | 1/Qt = 0.00297 + 0.0869 × 1/(T − T0) |
| LF-10 | 365.0 | 28.2 | 1/Qt = 0.00274 + 0.0772 × 1/(T − T0) |
| LF-20 | 346.7 | 26.4 | 1/Qt = 0.00288 + 0.07828 × 1/(T − T0) |
| LF-30 | 353.4 | 25.2 | 1/Qt = 0.00283 + 0.07129 × 1/(T − T0) |
| n | KNG′ | KI′ | KD′ | |
|---|---|---|---|---|
| LF-0 | 1.90708 | 0.047739 | 0.00848 | 0.00210 |
| LF-10 | 1.71756 | 0.043334 | 0.00851 | 0.00219 |
| LF-20 | 1.61313 | 0.041939 | 0.00854 | 0.00234 |
| LF-30 | 1.54047 | 0.040304 | 0.00883 | 0.00229 |
Disclaimer/Publisher’s Note: The statements, opinions and data contained in all publications are solely those of the individual author(s) and contributor(s) and not of MDPI and/or the editor(s). MDPI and/or the editor(s) disclaim responsibility for any injury to people or property resulting from any ideas, methods, instructions or products referred to in the content. |
© 2025 by the authors. Licensee MDPI, Basel, Switzerland. This article is an open access article distributed under the terms and conditions of the Creative Commons Attribution (CC BY) license (https://creativecommons.org/licenses/by/4.0/).
Share and Cite
Wu, C.-R.; Xiao, Z.-P.; Wei, J.-J.; Kou, S.-C.; Tang, M.-X. Early Hydration Behaviours and Kinetics of Portland Cement Composites Incorporating Low-Calcium Circulating Fluidized Bed Fly Ash. J. Compos. Sci. 2025, 9, 671. https://doi.org/10.3390/jcs9120671
Wu C-R, Xiao Z-P, Wei J-J, Kou S-C, Tang M-X. Early Hydration Behaviours and Kinetics of Portland Cement Composites Incorporating Low-Calcium Circulating Fluidized Bed Fly Ash. Journal of Composites Science. 2025; 9(12):671. https://doi.org/10.3390/jcs9120671
Chicago/Turabian StyleWu, Chun-Ran, Zhen-Po Xiao, Jing-Jie Wei, Shi-Cong Kou, and Meng-Xiong Tang. 2025. "Early Hydration Behaviours and Kinetics of Portland Cement Composites Incorporating Low-Calcium Circulating Fluidized Bed Fly Ash" Journal of Composites Science 9, no. 12: 671. https://doi.org/10.3390/jcs9120671
APA StyleWu, C.-R., Xiao, Z.-P., Wei, J.-J., Kou, S.-C., & Tang, M.-X. (2025). Early Hydration Behaviours and Kinetics of Portland Cement Composites Incorporating Low-Calcium Circulating Fluidized Bed Fly Ash. Journal of Composites Science, 9(12), 671. https://doi.org/10.3390/jcs9120671

