Sign in to use this feature.

Years

Between: -

Subjects

remove_circle_outline
remove_circle_outline
remove_circle_outline
remove_circle_outline
remove_circle_outline
remove_circle_outline
remove_circle_outline
remove_circle_outline
remove_circle_outline

Journals

remove_circle_outline
remove_circle_outline
remove_circle_outline
remove_circle_outline
remove_circle_outline
remove_circle_outline
remove_circle_outline
remove_circle_outline
remove_circle_outline
remove_circle_outline
remove_circle_outline
remove_circle_outline
remove_circle_outline
remove_circle_outline
remove_circle_outline
remove_circle_outline
remove_circle_outline
remove_circle_outline
remove_circle_outline
remove_circle_outline
remove_circle_outline

Article Types

Countries / Regions

remove_circle_outline
remove_circle_outline
remove_circle_outline
remove_circle_outline
remove_circle_outline
remove_circle_outline
remove_circle_outline
remove_circle_outline

Search Results (3,943)

Search Parameters:
Keywords = Gas Chromatography/Mass Spectrometry (GC-MS)

Order results
Result details
Results per page
Select all
Export citation of selected articles as:
21 pages, 1295 KB  
Article
Incorporation of Natural Biostimulants in Biodegradable Mulch Films for Agricultural Applications: Ecotoxicological Evaluation
by Chelo Escrig Rondán, Celia Sevilla Gil, Pablo Sanz Fernández, Juan Francisco Ferrer Crespo and Cristina Furió Sanz
Polymers 2025, 17(22), 3027; https://doi.org/10.3390/polym17223027 - 14 Nov 2025
Abstract
This study deals with the incorporation of biostimulants of natural origin in a biodegradable polymeric matrix, with the aim of developing mulch films that, when degraded in the soil, release bioactive compounds that improve soil quality and favor the agronomic growth of crops. [...] Read more.
This study deals with the incorporation of biostimulants of natural origin in a biodegradable polymeric matrix, with the aim of developing mulch films that, when degraded in the soil, release bioactive compounds that improve soil quality and favor the agronomic growth of crops. Three types of commercial biostimulants were used: one based on seaweed extract, one on lignosulfonates, and one on plant-derived essential amino acids. To ensure the thermal stability of the biostimulant compounds during processing, thermogravimetric analyses (TGAs) were carried out, and a methodology based on the adsorption of the biostimulants onto porous substrates was developed, enabling their effective incorporation into the polymeric matrix. The formulations obtained have been processed by blown film extrusion at a pilot scale. In addition, the presence of film residues in soil was analyzed by pyrolysis–gas chromatography–mass spectrometry (Py-GC/MS). The results indicate that the proposed methodology supports the integrity of the biostimulants in the films obtained. After the incubation period studied, complete degradation of the biopolymer and the absence of film residues in the soil were confirmed. Furthermore, it was confirmed that this final product had no adverse effects on organisms that were representative of the two end-of-life scenarios, with the exception of the film functionalized with the commercial biostimulant based on seaweed extract, which showed a negative effect on terrestrial higher plants. Full article
(This article belongs to the Special Issue New Progress in Biodegradable Polymeric Materials)
Show Figures

Graphical abstract

20 pages, 3763 KB  
Article
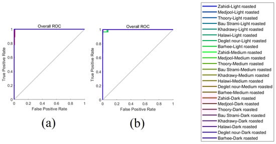
Impacts of Roasting Intensity and Cultivar on Date Seed Beverage Quality Traits and Volatile Compounds Using Digital Technologies
by Linghong Shi, Hanjing Wu, Kashif Ghafoor, Claudia Gonzalez Viejo, Sigfredo Fuentes, Farhad Ahmadi and Hafiz A. R. Suleria
Foods 2025, 14(22), 3902; https://doi.org/10.3390/foods14223902 - 14 Nov 2025
Abstract
Roasting intensity and cultivar shape the physicochemical composition and sensory characteristics of date seed-based coffee alternatives. This study evaluated quality traits among eight date seed cultivars (Zahidi, Medjool, Deglet nour, Thoory, Halawi, Barhee, Khadrawy, Bau Strami) roasted at three intensities (light: 180 °C; [...] Read more.
Roasting intensity and cultivar shape the physicochemical composition and sensory characteristics of date seed-based coffee alternatives. This study evaluated quality traits among eight date seed cultivars (Zahidi, Medjool, Deglet nour, Thoory, Halawi, Barhee, Khadrawy, Bau Strami) roasted at three intensities (light: 180 °C; medium: 200 °C; dark: 220 °C) using digital technologies, including near-infrared spectroscopy (NIR), electronic nose (e-nose), and headspace solid-phase microextraction gas chromatography-mass spectrometry (HS-SPME-GC-MS), supported by machine learning (ML) modeling. NIR spectra showed distinct chemical fingerprints for date seed powders and beverages, with key absorption bands from 1673–2396 nm and 1720–1927/2238–2396 nm, respectively. E-nose outputs showed higher volatile emissions in dark-roasted samples, particularly for ethanol and NH3. GC-MS identified 25 volatile compounds, mainly pyrazines and furanic compounds. Pyrazine concentration was greatest in Bau Strami and Medjool cultivars, whereas Halawi and Thoory cultivars had greater content of furfural. Two ML classification models achieved high accuracy in classifying cultivars (NIR inputs: 99%; e-nose inputs: 98%) and roasting levels, while regression models (NIR inputs: R = 0.88; e-nose inputs: R = 0.90) effectively predicted volatile aromatic compounds obtained using GC-MS. Dark roasting resulted in a significant pH reduction and intensified browning, with furfural persisting as a stable aroma contributor. These findings highlight the potential of date seeds as a coffee alternative, with roasting level and cultivar selection influencing flavor profiles. The findings also demonstrate the utility of digital sensing technologies as an efficient, low-cost tool for rapid quality assessment and process optimization in the development of novel beverages. Full article
Show Figures

Graphical abstract

28 pages, 3570 KB  
Article
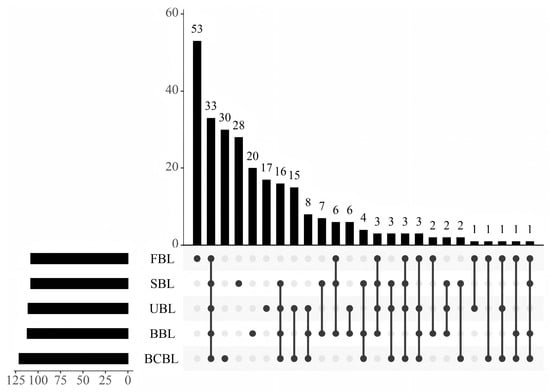
Processing-Induced Variations in Bamboo Leaf Powder: Effects of Fixation Methods on Color Stability, Volatile Compounds, and Sensory Profiles
by Qi Wang, Zhaojun Wang, Qiuming Chen, Maomao Zeng, Jie Chen, Benu Adhikari, Fengxian Guo and Zhiyong He
Foods 2025, 14(22), 3898; https://doi.org/10.3390/foods14223898 - 14 Nov 2025
Abstract
Fixation is a necessary step in bamboo leaf powder processing and plays a decisive role in determining its color, aroma, and taste. It is irreplaceable for maintaining quality, stability, and forming unique sensory characteristics. In this study, optimal conditions for steamed bamboo leaf [...] Read more.
Fixation is a necessary step in bamboo leaf powder processing and plays a decisive role in determining its color, aroma, and taste. It is irreplaceable for maintaining quality, stability, and forming unique sensory characteristics. In this study, optimal conditions for steamed bamboo leaf powder (SBL), baked bamboo leaf powder (BBL), and blanched bamboo leaf powder (BCBL) were determined by measuring chlorophyll content, color parameters, and enzyme inactivation. In addition, volatile organic compounds (VOCs) in bamboo leaf powder processed with different fixation methods were analyzed using gas chromatography–mass spectrometry (GC-MS), gas chromatography–olfactometry (GC-O), and relative odor activity value (ROAV). Steaming for 120 s, baking for 60 s, and blanching for 30 s effectively preserved color, with a* values of −1.37, −1.44, and −1.62, all superior to untreated bamboo leaf powder (UBL). Among them, BCBL showed the best color stability, with the lowest color difference (ΔE = 0.66) compared with fresh bamboo leaves (FBLs). Results showed that BBL retained the highest VOC abundance (15.67% of FBLs), followed by SBL (5.73%) and BCBL (5.48%). Hexanal, nonanal, linalool, and α-ionone were identified as key aroma contributors, forming green, fresh, and floral notes. Sensory differences were evident: SBL exhibited strong seaweed-like and roasted notes, BCBL showed partial loss of characteristic aromas, while BBL preserved grass, fruity, and woody attributes. These findings highlight the significant influence of fixation methods on aroma-active compounds and color stability, providing a theoretical basis for producing bamboo leaf powder with superior sensory quality. Full article
(This article belongs to the Section Sensory and Consumer Sciences)
Show Figures

Figure 1

16 pages, 1237 KB  
Article
From Chemical Composition to Biological Activity: Phytochemical, Antioxidant, and Antimicrobial Comparison of Matricaria chamomilla and Tripleurospermum inodorum
by Mariana Panţuroiu, Mona Luciana Gălăţanu, Carmen Elisabeta Manea, Mariana Popescu, Roxana Colette Sandulovici and Emilia Pănuş
Compounds 2025, 5(4), 50; https://doi.org/10.3390/compounds5040050 - 14 Nov 2025
Abstract
Matricaria chamomilla and Tripleurospermum inodorum (syn. Matricaria inodora) are two closely related species in the Asteraceae family that are often mistaken for one another due to their similar appearance. However, they differ significantly in their chemical composition and biological activities. This study [...] Read more.
Matricaria chamomilla and Tripleurospermum inodorum (syn. Matricaria inodora) are two closely related species in the Asteraceae family that are often mistaken for one another due to their similar appearance. However, they differ significantly in their chemical composition and biological activities. This study offers comparative characterisation through microscopy, phytochemical profiling, and biological assays. Microscopic observations revealed distinct morphological differences in the structure of the receptacle and the size of the pollen grains between the two species. Total phenol and flavonoid contents were quantified using spectrophotometry, while essential oils were extracted through hydrodistillation and analysed by gas chromatography–mass spectrometry (GC-MS). M. chamomilla was found to have a higher phenol content (20.48 mg GAE/g DW), whereas T. inodorum showed a greater flavonoid concentration (15.93 mg RE/g DW). The essential oils from each species displayed different chemical composition: M. chamomilla was dominated by bisabolol oxides and chamazulene, while T. inodorum primarily contained β-farnesene and cis-lachnophyllum ester. The antioxidant activity of both species was evaluated using the DPPH assay and found to be moderate compared to standard antioxidants, such as ascorbic acid (IC50 < 5 µg/mL). The IC50 values for M. chamomilla ranged from 17.7 to 21.5 µg/mL, while for T. inodorum, they ranged from 8.4 to 10.2 µg/mL. In antimicrobial tests, the essential oil of T. inodorum inhibited both Staphylococcus aureus and Candida albicans, while M. chamomilla was only active against C. albicans. These findings highlight important morphological and chemical markers that differentiate the two species and affirm T. inodorum as a promising source of bioactive compounds. Full article
(This article belongs to the Special Issue Compounds–Derived from Nature)
Show Figures

Figure 1

21 pages, 2071 KB  
Article
Identification of Novel Metabolic Signatures on Human Gut Microbiota: Ellagic Acid, Naringenin, and Phloroglucinol
by Adriana C. S. Pais, Tânia B. Ribeiro, Ezequiel R. Coscueta, Maria Manuela Pintado, Armando J. D. Silvestre and Sónia A. O. Santos
Int. J. Mol. Sci. 2025, 26(22), 11009; https://doi.org/10.3390/ijms262211009 - 14 Nov 2025
Abstract
Phenolic compounds are widely known for their beneficial effects on human health. However, it is essential to understand which low molecular weight metabolites are produced by the gut microbiota, when non-absorbed compounds reach the colon, and whether these metabolites are more biologically active [...] Read more.
Phenolic compounds are widely known for their beneficial effects on human health. However, it is essential to understand which low molecular weight metabolites are produced by the gut microbiota, when non-absorbed compounds reach the colon, and whether these metabolites are more biologically active than their precursors. In this context, this study aims to explore the gut microbiota metabolites of relevant phenolic compounds commonly found in the human diet. Therefore, ellagic acid, naringenin, and phloroglucinol were incubated with human feces for 48 h, and the ensuing metabolites were analyzed by ultra-high-performance liquid chromatography with diode array detector coupled to ion trap mass spectrometry (UHPLC-DAD-MSn) and gas chromatography–mass spectrometry (GC-MS). Ellagic acid metabolism by the gut microbiota produced a diversity of urolithins, with 8-hydroxyurolithin being identified for the first time. Isomers of 4-hydroxybenzoic, 3,4-dihydroxybenozic, and p-coumaric acids were identified for the first time as naringenin metabolites, while phloroglucinic, 2-hydroxy-3-phenylpropanoic, 3-phenylpropanoic, and 2-phenylacetic acids are reported for the first time as phloroglucinol metabolites. These findings contribute to a more comprehensive understanding of the beneficial health effects of these metabolites through the evaluation of their biological activities in conjunction with their effects on the gut microbiota, thus providing the basis for the development of food supplements, novel probiotics or functional foods. Full article
Show Figures

Graphical abstract

16 pages, 1978 KB  
Article
Metabolic Basis of Breast Muscle Flavor in Houdan Chicken Crossbreeds Revealed by GC/LC-MS Metabolomics
by Yanru Lei, Chengpeng Xiao, Chenxi Zhang, Wanying Xie, Junlai Shi, Xintao Jia, Shu Wang, Yulong Ma, Zhao Cai, Donghua Li, Ruirui Jiang, Guirong Sun, Xiangtao Kang and Wenting Li
Agriculture 2025, 15(22), 2360; https://doi.org/10.3390/agriculture15222360 - 14 Nov 2025
Abstract
The quality and flavor of chicken meat are fundamentally determined by muscle metabolite composition, which reflects the regulatory effects of genetic background on metabolic pathways and muscle development. In this study, we profiled the meat quality of breast muscle across 3 crossbreeding combinations [...] Read more.
The quality and flavor of chicken meat are fundamentally determined by muscle metabolite composition, which reflects the regulatory effects of genetic background on metabolic pathways and muscle development. In this study, we profiled the meat quality of breast muscle across 3 crossbreeding combinations (D×HD, HD×D, and D×LD) between the Yunong D line and Houdan chickens to elucidate the metabolic mechanisms underlying flavor variation. Eighteen representative breast muscle samples were analyzed using common physicochemical indexes, untargeted metabolomics based on Gas Chromatography-Time-of-Flight Mass Spectrometry (GC-TOF-MS) and Ultra-High-Performance Liquid Chromatography coupled with Quadrupole Exactive Mass Spectrometry (UHPLC-QE-MS). Differential metabolites were identified through Orthogonal Partial Least Squares Discriminant Analysis (OPLS-DA). Multivariate analysis revealed distinct metabolic signatures among crossbreeding combinations, with HD×D exhibiting the most favorable tenderness, color, and water-holding capacity. A total of nine differential metabolites (5 upregulated and 4 downregulated) were identified between D×HD and HD×D, and thirty-eight metabolites (18 upregulated and 27 downregulated) between D×HD and D×LD. The identified metabolites were predominantly associated with amino acid metabolism, lipid biosynthesis, nucleotide turnover, and energy metabolism. Among these, arachidonic acid, taurine, L-alanine, and citric acid exhibited marked intergroup differences. Enrichment analysis based on the Kyoto Encyclopedia of Genes and Genomes (KEGG) indicated significant involvement of pathways such as amino acid biosynthesis, taurine and hypotaurine metabolism, and ABC transporters in flavor formation. Hierarchical clustering and Pearson correlation analyses further delineated synergistic or antagonistic interactions among key metabolites, suggesting the existence of intricate regulatory mechanisms. These findings reveal critical metabolites and metabolic pathways associated with flavor attributes, offering both a theoretical framework and potential molecular targets for enhancing poultry meat quality through breeding strategies. Full article
(This article belongs to the Special Issue Genetic Resource Evaluation and Germplasm Innovation of Poultry)
Show Figures

Figure 1

24 pages, 2681 KB  
Article
Analysis of Tyre Pyrolysis Oil as Potential Diesel Fuel Blend with Focus on Swelling Behaviour of Nitrile-Butadiene Rubber
by Steffen Seitz, Tobias Förster and Sebastian Eibl
Polymers 2025, 17(22), 3016; https://doi.org/10.3390/polym17223016 - 13 Nov 2025
Abstract
This study examines the swelling behaviour of nitrile-butadiene rubber (NBR) when interacting with tyre pyrolysis oils (TPO), with a focus on the chemical composition of TPO and their interaction with rubber matrices. Initially, a comparative analysis with conventional diesel fuel (DF) was performed [...] Read more.
This study examines the swelling behaviour of nitrile-butadiene rubber (NBR) when interacting with tyre pyrolysis oils (TPO), with a focus on the chemical composition of TPO and their interaction with rubber matrices. Initially, a comparative analysis with conventional diesel fuel (DF) was performed using advanced analytical techniques, including two-dimensional gas chromatography coupled to mass spectrometry (2D-GC/MS), infrared (IR) spectroscopy, and nuclear magnetic resonance (1H-NMR) spectroscopy. The analysis revealed that TPO contains a significantly higher proportion of aromatic hydrocarbons than DF, along with unsaturated and oxygen-containing compounds not present in DF. Based on these compositional differences, blends of TPO and DF were formulated and evaluated for their suitability as liquid energy carriers according to the specifications of DF. In principle, blends with an addition of up to 5 vol% TPO in DF are technically suitable for use as fuel. Subsequently, the sorption behaviour of TPO, DF, and their blends in NBR was investigated. The swelling potential was determined based on mass, density, and volume, and the changes in the hardness and tensile strength of NBR were recorded. The results demonstrate that TPO induces pronounced swelling in NBR, as evidenced by a marked increase in mass uptake and volume expansion. A linear increase was observed between the degree of swelling and the increasing TPO content in the blends. Mechanical property assessments revealed a corresponding decrease in the hardness and tensile strength of NBR upon exposure to TPO, with the most severe effects associated with neat TPO. This work provides a comprehensive assessment of TPO as a potential blend component for DF. It highlights the need for careful consideration of material compatibility in practical applications. Full article
(This article belongs to the Special Issue Exploration and Innovation in Sustainable Rubber Performance)
Show Figures

Figure 1

16 pages, 1471 KB  
Article
Diversity of Volatile Profiles and Nutritional Traits Among 29 Cucumber Cultivars
by Panling Lu, Chunfang Wang, Yongxue Zhang, Haijun Jin, Shaofang Wu, Xiaotao Ding and Hongmei Zhang
Foods 2025, 14(22), 3878; https://doi.org/10.3390/foods14223878 - 13 Nov 2025
Abstract
Twenty-nine samples of two cucumber types (Cucumis sativus L.) were evaluated to determine the amino acid, tannin, soluble protein, soluble sugar, Vc, nitrate nitrogen contents and volatile organic compounds (VOCs). Cucumber variety differences in amino acid, tannin, soluble proteins, et al., were [...] Read more.
Twenty-nine samples of two cucumber types (Cucumis sativus L.) were evaluated to determine the amino acid, tannin, soluble protein, soluble sugar, Vc, nitrate nitrogen contents and volatile organic compounds (VOCs). Cucumber variety differences in amino acid, tannin, soluble proteins, et al., were significant (p < 0.05). The VOCs were derived by headspace solid-phase microextraction (HS-SPME) coupled with gas chromatography–mass spectrometry (GC-MS). A total of 67 VOCs were identified, including 24 aldehydes, 13 alcohols, 12 ketones, 12 alkenes and 6 other compounds. (E, Z)-2,6-Nonadienal, (E)-2-Nonenal and (E)-6-Nonenal were the three most abundant volatiles. A total of 21 VOCs were present in all 29 cultivars. An average of 45 kinds of VOCs were identified in each cultivar. Principal component analysis (PCA) clustered the 29 cucumber cultivars into five groups. Partial least-squares-discriminant analysis (PLS-DA) indicated that the European type was separated from the South China type across PLS1. Furthermore, 25 key differential volatiles for distinguishing 29 cultivars and 23 key differential volatiles for differentiating between South China and European types were identified, respectively. These results provide information for the development of new cultivars with high nutritional quality and intense flavor. Full article
(This article belongs to the Special Issue Sensory Detection and Analysis in Food Industry)
Show Figures

Figure 1

14 pages, 2069 KB  
Article
In Situ Gel Containing Lippia sidoides Cham. Essential Oil for Microbial Control in the Oral Cavity
by Maria Vitoria Oliveira Dantas, Quemuel Pereira da Silva, Alexandre Almeida Júnior, João Vitor Souto Araújo Queiroz, José Filipe Bacalhau Rodrigues, Rosana Araújo Rosendo, Marcus Vinicius Lia Fook, Paulo Rogério Ferreti Bonan, Francisco Humberto Xavier Júnior and Fábio Correia Sampaio
Microorganisms 2025, 13(11), 2585; https://doi.org/10.3390/microorganisms13112585 - 13 Nov 2025
Abstract
Surgical site infections in oral and maxillofacial interventions are often exacerbated by biofilm formation, and current antimicrobial treatments are hampered by issues such as resistance and adverse effects. This article aimed to develop, characterize, and evaluate the antimicrobial activity of Lippia sidoides Cham. [...] Read more.
Surgical site infections in oral and maxillofacial interventions are often exacerbated by biofilm formation, and current antimicrobial treatments are hampered by issues such as resistance and adverse effects. This article aimed to develop, characterize, and evaluate the antimicrobial activity of Lippia sidoides Cham. essential oil (LSEO) gel composed of poloxamer (P) and chitosan (C). Gas chromatography–mass spectrometry (GC-MS) analysis identified thymol as the major component of LSEO (71.04%). In situ P-gels containing LSEO (0.25–1.0%) were produced with and without C. The addition of C resulted in gels with nanometric particle sizes (263.8 ± 231 nm; PDI 0.39 ± 0.17) and a positive zeta potential (+4.81 ± 1.97 a + 8.19 ± 0.51 mV), exhibiting pseudoplastic behavior in rheological analysis. The sol–gel transition temperature (Tsol–gel) was found to be between 20 and 28 °C, with a transition time at 37 °C ranging from 18.76 ± 1.24 s to 46.46 ± 8.89 s. LSEO showed MIC values of 256, 128, and 128 µg/mL against Staphylococcus aureus, Escherichia coli, and Candida albicans, respectively, while in situ LSEO gels presented MIC values above 5 µg/mL for all tested strains. Therefore, the developed gel containing LSEO showed promising application in dentistry, offering a potential new treatment perspective for surgical site infections in oral and maxillofacial surgery. Full article
(This article belongs to the Special Issue Advanced Research on Antimicrobial Activity of Natural Products)
Show Figures

Graphical abstract

13 pages, 2582 KB  
Article
The Development of Secretory Cavities in Zanthoxylum nitidum Leaves and the Pattern of Essential Oil Accumulation
by Yang Yang, Jiating Hou, Jiaxin Zeng, Yue Fang, Tao Tian, Xin Wang, Rui Kai, Sisheng Zhang, Weiyao Liao, Tao Chang, Ran Zheng, Yang Chen, Yanqun Li, Mei Bai and Hong Wu
Plants 2025, 14(22), 3449; https://doi.org/10.3390/plants14223449 - 11 Nov 2025
Viewed by 115
Abstract
The root of Zanthoxylum nitidum is used in traditional Chinese medicine, whereas its leaves remain an under-exploited resource rich in essential oil (EO). By integrating cytological, analytical–chemical, and chemometric approaches, we have dissected the ontogeny of secretory cavities and the temporal accumulation of [...] Read more.
The root of Zanthoxylum nitidum is used in traditional Chinese medicine, whereas its leaves remain an under-exploited resource rich in essential oil (EO). By integrating cytological, analytical–chemical, and chemometric approaches, we have dissected the ontogeny of secretory cavities and the temporal accumulation of EO in Z. nitidum leaves for the first time. Cytological analyses revealed marginal-tooth-slit secretory cavities consisting solely of a spherical domain formed via a schizogenous mechanism. The EO yield followed a unimodal trajectory, peaking at growth stages ZN-2 and ZN-3. Gas chromatography–mass spectrometry (GC-MS) profiling identified 60 constituents; sesquiterpenoids reached maximal abundance at ZN-3, whereas monoterpenoids predominated at ZN-2. Second-derivative Fourier transform infrared spectroscopy (FTIR) spectra exhibited pronounced stage-specific differences, and hierarchical cluster analysis coupled with principal component analysis reliably discriminated developmental stages based on their chemical fingerprints. These findings provide a robust cytological and analytical framework for quality control and rational utilization of Z. nitidum leaves, laying the groundwork for their full medicinal exploitation. Full article
(This article belongs to the Section Phytochemistry)
Show Figures

Figure 1

12 pages, 2959 KB  
Article
Behavioral Responses of the Bumblebee Bombus terrestris to Volatile Compounds from Blueberries
by Yun He, Jiaru Zhang, Ziyang Hu, Yingxue Cao, Kevin H. Mayo, Duo Liu and Mingju E
Biology 2025, 14(11), 1570; https://doi.org/10.3390/biology14111570 - 9 Nov 2025
Viewed by 197
Abstract
Bumblebees are important pollinating insects in crop pollination. Chemical attractants can effectively improve the flower-visiting efficiency of bumblebees, thereby increasing blueberry yields. To identify volatile compounds that attract bumblebees, we collected volatile compounds from blueberry flowers using headspace extraction. Gas chromatography– mass spectrometry [...] Read more.
Bumblebees are important pollinating insects in crop pollination. Chemical attractants can effectively improve the flower-visiting efficiency of bumblebees, thereby increasing blueberry yields. To identify volatile compounds that attract bumblebees, we collected volatile compounds from blueberry flowers using headspace extraction. Gas chromatography– mass spectrometry (GC–MS) identified 32 volatile compounds, with Linalool and Styrene being the primary substances that accounted for 25.93% and 14.28%, respectively. The olfactory threshold of bumblebee antennae was assessed using electroantennography (EAG), and the behavioral responses from bumblebees were investigated using a Y-tube olfactometer. Results indicate that among the six classes of volatiles—alcohols, aldehydes, esters, ketones, aromatic compounds, and olefins—alcohols constituted the predominant proportion. Among these, six compounds—benzaldehyde, phenylpropylaldehyde, citral, linalool, α-terpineol, and geraniol—induced significant antennal responses in bumblebees. Our assays showed that geraniol, linalool, and α-terpineol at concentrations of 0.1 μg/μL, 1 μg/μL, and 10 μg/μL elicited attraction, whereas higher concentrations of benzaldehyde, benzenepropanal, and citral had repellent effects. Full article
(This article belongs to the Special Issue The Biology, Ecology, and Management of Plant Pests)
Show Figures

Figure 1

15 pages, 3390 KB  
Article
Phytofabrication of ZIF-8 Using Mangrove Metabolites for Dual Action Against Drug-Resistant Microbes and Breast Cancer Cells
by Srinath Rajeswaran, Mithuna Shaji Kumarikrishna, Aneesh Giriprasath, Kandi Sridhar, Murugan Anbazhagan, Siva Vadivel and Maharshi Bhaswant
Biomimetics 2025, 10(11), 755; https://doi.org/10.3390/biomimetics10110755 - 8 Nov 2025
Viewed by 293
Abstract
Green nanotechnology offers a sustainable and eco-friendly approach for nanoframework synthesis. The present study intended to synthesize a novel eco-friendly encapsulated Zeolitic Imidazolate Framework-8 (ZIF-8) in a one-pot method using metabolites from the mangrove plant Conocarpus erectus (CE). Gas Chromatography–Mass Spectrometry (GC-MS) analysis [...] Read more.
Green nanotechnology offers a sustainable and eco-friendly approach for nanoframework synthesis. The present study intended to synthesize a novel eco-friendly encapsulated Zeolitic Imidazolate Framework-8 (ZIF-8) in a one-pot method using metabolites from the mangrove plant Conocarpus erectus (CE). Gas Chromatography–Mass Spectrometry (GC-MS) analysis of the extract revealed the presence of important bioactive metabolites. The synthesized material was evaluated by UV-Vis spectroscopy, X-ray diffraction (XRD), particle size analysis (PSA), zeta potential measurement, high-resolution transmission electron microscopy (HR-TEM), and Fourier transform infrared (FT-IR) spectroscopy studies. The environment-friendly mangrove metabolites aided by Zeolitic Imidazolate Framework-8 was found to be crystalline, rhombic dodecahedron structured, and size dispersed without agglomeration. The nanomaterial possessed a broad antimicrobial effect on drug-resistant microorganisms, including Candida krusei, Escherichia coli, Streptococcus Sp., Staphylococcus aureus, Enterococcus Sp., Pseudomonas aeruginosa, Klebsiella pneumoniae, C. propicalis, and C. albicans. Further, its cytotoxicity against MDA-MB-231 cells was found to be efficient. The morphological alterations exhibited by the antiproliferative impact on the breast cancer cell line were detected using DAPI and AO/EB staining. Therefore, ZIF-8 encapsulated mangrove metabolites could serve as an effective biomaterial with biomedical properties in the future. Full article
(This article belongs to the Section Biomimetics of Materials and Structures)
Show Figures

Graphical abstract

25 pages, 2567 KB  
Article
Process-Integrated Analytical Strategies for Soil Xenobiotics and Occupational Risk
by Mihaela Tamara Leonte, Oana Roxana Chivu, Daniela Cirtina, Nicoleta Maria Mihuț, Adina Milena Tatar and Liviu Marius Cirtina
Processes 2025, 13(11), 3615; https://doi.org/10.3390/pr13113615 - 7 Nov 2025
Viewed by 283
Abstract
Occupational exposure to soil-borne pesticides remains a critical safety and process-management challenge in industrial and agro-industrial settings. This work proposes a process-integrated analytical workflow that couples comparative instrumental identification of soil xenobiotics with an occupational risk assessment framework. We comparatively evaluate GC-MS (gas [...] Read more.
Occupational exposure to soil-borne pesticides remains a critical safety and process-management challenge in industrial and agro-industrial settings. This work proposes a process-integrated analytical workflow that couples comparative instrumental identification of soil xenobiotics with an occupational risk assessment framework. We comparatively evaluate GC-MS (gas chromatography–mass spectrometry), HPLC (high performance liquid chromatography), FTIR (Fourier-Transform Infrared Spectroscopy), LC-MS/MS (Liquid Chromatography coupled with tandem Mass Spectrometry), and ICP-MS (Inductively Coupled Plasma Mass Spectrometry) against matrix complexity, sensitivity, cost, and throughput, and implement the Quick, easy, cheap, effective, rugged, safe (QuEChERS) method-based sample preparation followed by GC-MS and LC-MS/MS to demonstrate applicability on representative soil and food-chain samples. Complementary risk tools (toxicity–probability matrices, exposure pathway diagrams) and an integrated monitoring scheme that combines environmental data with biomonitoring are used to link concentrations to exposure potential and control priorities. In a soil case sample, low-level organochlorines were detected with total DDT at 0.010 mg/kg and total HCH at 0.003 mg/kg, illustrating how analytical outputs feed decision matrices for prioritizing interventions. Case analyses from agricultural and industrial contexts indicate that targeted substitution, optimized application, ventilation and dust control, PPE (personal protective equipment) adherence, and worker training can measurably reduce symptoms and biomarkers of exposure. Overall, a complementary, process-analytical approach—integrating sensitive multi-technique detection with exposure assessment and continuous monitoring—supports proactive risk management and aligns with process systems and monitoring themes. Recommendations include standardizing workflows, coupling routine environmental monitoring with biomonitoring where feasible, and embedding preventive policies and training into industrial management systems. Full article
(This article belongs to the Section Environmental and Green Processes)
Show Figures

Figure 1

17 pages, 1079 KB  
Article
Early Detection of Monilinia laxa in Nectarine (Prunus persica var. nectarina) Using Electronic Nose Technology: A Non-Destructive Diagnostic Approach
by Ana Martínez, Alejandro Hernández, Patricia Arroyo, Jesús Lozano, Alberto Martín and María de Guía Córdoba
Chemosensors 2025, 13(11), 391; https://doi.org/10.3390/chemosensors13110391 - 7 Nov 2025
Viewed by 263
Abstract
This study evaluates the application of an electronic nose (E-nose) system as a non-destructive tool for the early detection of Monilinia laxa infection in yellow nectarines (Prunus persica var. nectarine, cv. “Kinolea”) through the analysis of volatile organic compounds (VOCs). Two experimental [...] Read more.
This study evaluates the application of an electronic nose (E-nose) system as a non-destructive tool for the early detection of Monilinia laxa infection in yellow nectarines (Prunus persica var. nectarine, cv. “Kinolea”) through the analysis of volatile organic compounds (VOCs). Two experimental groups were established: a control group of healthy fruit and a treatment group inoculated with the pathogen. The VOCs emitted by both groups were identified and quantified using gas chromatography-mass spectrometry (GC-MS). Simultaneously, the responses of the E-nose were recorded at three critical stages of fungal development: early, intermediate, and advanced. The electronic nose used consists of a set of 11 commercial metal oxide semiconductor (MOX) sensors. The signals from these sensors showed a strong correlation with the VOC profiles associated with fungal deterioration. Linear discriminant analysis (LDA) models based on E-nose data successfully distinguished between healthy and infected samples with 97% accuracy. Furthermore, the system accurately classified samples into three stages of contamination—control, early infection, and advanced infection—with 96% classification accuracy. These findings demonstrate that E-nose technology is an effective, rapid, and non-invasive method for the real-time monitoring of post-harvest fungal contamination in nectarines, offering significant potential for improving quality control during storage and distribution. Full article
Show Figures

Graphical abstract

20 pages, 1619 KB  
Article
Study on Chemical Diversity, Antioxidant and Antibacterial Activities, and HaCaT Cytotoxicity of Camphora tenuipilis (a Traditional Aromatic Plant from Xishuangbanna)
by Long Chen, Xuan Fan, Hao Qi, Shi-Guo Chen, Ren Li and Yu-Jing Liu
Plants 2025, 14(22), 3409; https://doi.org/10.3390/plants14223409 - 7 Nov 2025
Viewed by 237
Abstract
Camphora tenuipilis, a unique aromatic plant in the traditional Xishuangbanna dish “Duo Sheng” (raw minced meat dish), lacks scientific evidence to support its traditional use and potential application as a natural preservative/antioxidant. This study aims to fill this gap by analyzing the [...] Read more.
Camphora tenuipilis, a unique aromatic plant in the traditional Xishuangbanna dish “Duo Sheng” (raw minced meat dish), lacks scientific evidence to support its traditional use and potential application as a natural preservative/antioxidant. This study aims to fill this gap by analyzing the chemical composition and bioactivities of its leaf essential oils (EOs), verifying its traditional use, and exploring the bioactivities specific to different chemotypes. Leaf samples were collected from the Xishuangbanna Tropical Botanical Garden (XTBG), Chinese Academy of Sciences, and local markets. Gas chromatography–mass spectrometry (GC-MS) analysis identified 53 compounds, leading to the classification of the EOs into five chemotypes: linalool, geraniol, citral, elemicin, and methyl cinnamate. Notably, the elemicin-type EO (YC02, with an elemicin content of 94.56 ± 0.98%) exhibited the strongest antioxidant properties. The EOs demonstrated antibacterial activity against four foodborne pathogens: Bacillus cereus, Bacillus subtilis, Escherichia coli, and Staphylococcus aureus; except for YC04, the other EOs effectively inhibited pathogen growth to varying extents. Cytotoxicity tests revealed half-maximal inhibitory concentrations (IC50) for HaCaT cells ranging from 0.163 to 0.847 mg/mL. This study scientifically validates the traditional use of C. tenuipilis in “Duo Sheng” and supports its potential as a natural food preservative, antioxidants, and antimicrobial agents. Full article
(This article belongs to the Special Issue Recent Advances in Essential Oils and Plant Extracts)
Show Figures

Figure 1

Back to TopTop