From Chemical Composition to Biological Activity: Phytochemical, Antioxidant, and Antimicrobial Comparison of Matricaria chamomilla and Tripleurospermum inodorum
Abstract
1. Introduction
2. Materials and Methods
2.1. Plant Materials
2.2. Chemicals and Reagents
2.3. Botanical Examination
2.4. Phytochemical Investigations
2.4.1. Total Phenolic Content
2.4.2. Total Flavonoid Content
2.4.3. Essential Oil Extraction and GC/MS Analysis
2.5. Biological Activity Assays
2.5.1. Antioxidant Capacity
2.5.2. Antimicrobial Activity
2.6. Statistical Data Processing
3. Results
3.1. Botanical Examination

3.2. Phytochemical Investigations
3.2.1. Total Phenolic Content
3.2.2. Total Flavonoid Content
3.2.3. Essential Oil Extraction and GC/MS Analysis
3.3. Biological Activity Assays
3.3.1. Antioxidant Capacity
3.3.2. Antimicrobial Activity
4. Discussion
5. Conclusions
Supplementary Materials
Author Contributions
Funding
Data Availability Statement
Conflicts of Interest
References
- Haţieganu, E.; Gălăţanu, M.L. Botanică Farmaceutică. Sistematică Vegetală; Editura Hamangiu: Bucureşti, Romania, 2023; pp. 301–302. [Google Scholar]
- Sheydaei, P.; Duarte, A.P. The Genus Tripleurospermum Sch. Bip. (Asteraceae): A Comprehensive Review of Its Ethnobotanical Utilizations, Pharmacology, Phytochemistry, and Toxicity. Life 2023, 13, 1323. [Google Scholar] [CrossRef] [PubMed]
- El Mihyaoui, A.; Esteves da Silva, J.C.G.; Charfi, S.; Candela Castillo, M.E.; Lamarti, A.; Arnao, M.B. Chamomile (Matricaria chamomilla L.): A Review of Ethnomedicinal Use, Phytochemistry and Pharmacological Uses. Life 2022, 12, 479. [Google Scholar] [CrossRef] [PubMed]
- Orav, A.; Raal, A.; Arak, E. Content and composition of the essential oil of Chamomilla recutita (L.) Rauschert from some European countries. Nat. Prod. Res. 2010, 24, 48–55. [Google Scholar] [CrossRef] [PubMed]
- Salamon, I.; Ibraliu, A.; Kryvtsova, M. Essential Oil Content and Composition of the Chamomile Inflorescences (Matricaria recutita L.) Belonging to Central Albania. Horticulturae 2023, 9, 47. [Google Scholar] [CrossRef]
- Srivastava, J.K.; Shankar, E.; Gupta, S. Chamomile: A herbal medicine of the past with bright future. Mol. Med. Rep. 2010, 3, 895–901. [Google Scholar] [CrossRef]
- Wichtl, M. Herbal Drugs and Phytopharmaceuticals: A Handbook for Practice on a Scientific Basis, 3rd ed.; MedPharm Scientific Publishers: Stuttgart, Germany, 2004; pp. 322–325. [Google Scholar]
- Amsterdam, J.D.; Li, Y.; Soeller, I.; Rockwell, K.; Mao, J.J.; Shults, J. A randomized, double-blind, placebo-controlled trial of oral Matricaria recutita (chamomile) extract therapy for generalized anxiety disorder. J. Clin. Psychopharmacol. 2009, 29, 378–382. [Google Scholar] [CrossRef]
- Amsterdam, J.D.; Shults, J.; Soeller, I.; Mao, J.J.; Rockwell, K.; Newberg, A.B. Chamomile (Matricaria chamomilla L.) may provide antidepressant activity in anxious, depressed humans: An exploratory study. Altern. Ther. Health Med. 2012, 18, 44–49. [Google Scholar]
- Kazemi, S.M.A.; Shojaei-Zarghani, S.; Eskandarzadeh, P.; Hashempur, M.H. Effects of Chamomile (Matricaria chamomilla L.) on Sleep: A Systematic Review and Meta-Analysis of Clinical Trials. Complement. Ther. Med. 2024, 84, 103071. [Google Scholar] [CrossRef]
- Hashempur, M.H.; Ghasemi, M.S.; Daneshfard, B.; Ghoreishi, P.S.; Lari, Z.N.; Homayouni, K.; Zargaran, A. Efficacy of Topical Chamomile Oil for Mild and Moderate Carpal Tunnel Syndrome: A Randomized Double-Blind Placebo-Controlled Clinical Trial. Complement. Ther. Clin. Pract. 2017, 26, 61–67. [Google Scholar] [CrossRef]
- Segal, R.; Pilote, L. Warfarin interaction with Matricaria chamomilla. CMAJ 2006, 174, 1281–1282. [Google Scholar]
- Göger, G.; Yüksel, D.; Göger, F.; Köse, Y.B.; Demirci, F. Antimicrobial evaluation of Tripleurospermum callosum (Boiss. & Heldr.) E. Hossain extracts using in vitro and in vivo Caenorhabditis elegans model against urinary system pathogens. Int. J. Environ. Health Res. 2024, 34, 1466–1478. [Google Scholar]
- Ćavar Zeljković, S.; Ayaz, F.A.; Inceer, H.; Hayirlioglu-Ayaz, S.; Colak, N. Evaluation of Chemical Profile and Antioxidant Activity of Tripleurospermum insularum, a New Species from Turkey. Nat. Prod. Res. 2015, 29, 293–296. [Google Scholar] [CrossRef]
- Suleimen, Y.M.; Van Hecke, K.; Ibatayev, Z.A.; Iskakova, Z.B.; Akatan, K.; Martins, C.; Silva, T. Crystal Structure and Biological Activity of Matricaria Ester Isolated from Tripleurospermum inodorum (L.) Sch. Bip. J. Struct. Chem. 2018, 59, 988–991. [Google Scholar] [CrossRef]
- Mahernia, S.; Bagherzadeh, K.; Mojab, F.; Amanlou, M. Urease Inhibitory Activities of some Commonly Consumed Herbal Medicines. Iran. J. Pharm. Res. 2015, 14, 943–947. [Google Scholar]
- Samatadze, T.E.; Zoshchuk, S.A.; Amosova, A.V.; Rodionov, A.V. Comparative cytogenetic study of the tetraploid Matricaria chamomilla L. and Matricaria inodora L. Biol. Bull. 2014, 41, 109–117. [Google Scholar] [CrossRef]
- Applequist, W.L. A reassessment of the nomenclature of Matricaria L. and Tripleurospermum Sch. Bip. (Asteraceae: Anthemideae). Taxon 2002, 51, 757–761. [Google Scholar] [CrossRef]
- Punt, W.; Hoen, P.P.; Blackmore, S.; Nilsson, S.; Le Thomas, A. Glossary of pollen and spore terminology. Rev. Palaeobot. Palynol. 2007, 143, 1–81. [Google Scholar] [CrossRef]
- Erdtman, G. The acetolysis method: A revised description. Sven. Bot. Tidskr. 1960, 54, 561–564. [Google Scholar]
- Rîmbu, M.C.; Cord, D.; Savin, M.; Grigoroiu, A.; Mihăilă, M.A.; Gălățanu, M.L.; Ordeanu, V.; Panțuroiu, M.; Țucureanu, V.; Mihalache, I.; et al. Harnessing Plant-Based Nanoparticles for Targeted Therapy: A Green Approach to Cancer and Bacterial Infections. Int. J. Mol. Sci. 2025, 26, 7022. [Google Scholar] [CrossRef]
- Gălățanu, M.L.; Panțuroiu, M.; Cima, L.M.; Neculai, A.M.; Pănuș, E.; Bleotu, C.; Enescu, C.M.; Mircioiu, I.; Gavriloaia, R.M.; Aurică, S.N.; et al. Polyphenolic Composition, Antioxidant Activity, and Cytotoxic Effect of Male Floral Buds from Three Populus Species Growing in the South of Romania. Molecules 2025, 30, 913. [Google Scholar] [CrossRef]
- Agentia Natională a Medicamentului. Farmacopeea Română; Editura Medicala: București, Romania, 1993; p. 335. [Google Scholar]
- European Directorate for the Quality of Medicines HealthCare of the Council of Europe. European Pharmacopoeia, 10th ed.; Council of Europe: Strasbourg, France, 2019; Volume I, Available online: https://www.edqm.eu/en/european-pharmacopoeia-ph.-eur.-11th-edition (accessed on 27 May 2025).
- Panturoiu, M.; Galatanu, M.L.; Cristache, R.E.; Truta, E. Characterisation of nutraceutical fatty acids and amino acids in the buds of Populus nigra, Populus alba, and Populus × euramericana by gas chromatography. J. Sci. Arts 2025, 25, 395. [Google Scholar] [CrossRef]
- Clinical and Laboratory Standards Institute (CLSI). Performance Standards for Antimicrobial Susceptibility Testing, 33rd ed.; CLSI document M100; CLSI: Wayne, PA, USA, 2023. [Google Scholar]
- Clinical and Laboratory Standards Institute (CLSI). Development of In Vitro Susceptibility Test Methods, Breakpoints, and Quality Control Parameters, 6th ed.; CLSI document M23; CLSI: Wayne, PA, USA, 2023. [Google Scholar]
- Singh, O.; Khanam, Z.; Misra, N.; Srivastava, M.K. Chamomile (Matricaria chamomilla L.): An overview. Pharmacogn. Rev. 2011, 5, 82–95. [Google Scholar] [CrossRef]
- Wilcox, M. Examining Tripleurospermum inodorum (Scentless False Mayweed). Br. Ir. Bot. 2022, 4, 113–146. [Google Scholar]
- Khan, S.; Jan, G.; Ahmad, M.; Gul, F.; Zafar, M.; Mangi, J.; Bibi, H.; Sultana, S.; Usma, A.; Majeed, S. Morpho-palynological assessment of some species of family Asteraceae and Lamiaceae of District Bannu, Pakistan on the bases of light microscope & scanning electron microscopy. Microsc. Res. Tech. 2021, 84, 1220–1232. [Google Scholar] [PubMed]
- Tümen, G.; Öztürk, M. The comparative pollen morphology of genera Matricaria L. and Tripleurospermum Sch. Bip. (Asteraceae) in Turkey. Turk. J. Bot. 2012, 36, 959–977. [Google Scholar]
- Ključevšek, T.; Kreft, S. Allergic potential of medicinal plants from the Asteraceae family. Health Sci. Rep. 2025, 8, e70398. [Google Scholar] [CrossRef] [PubMed]
- Saeedi, M.; Khanavi, M.; Shahsavari, K.; Manayi, A. Matricaria chamomilla: An Updated Review on Biological Activities of the Plant and Its Constituents. Res. J. Pharmacogn. 2024, 11, 109–136. [Google Scholar]
- Haghi, G.; Hatami, A.; Safaei, A.; Mehran, M. Analysis of phenolic compounds in Matricaria chamomilla and its extracts by UPLC-UV. Res. Pharm. Sci. 2014, 9, 31–37. [Google Scholar]
- Marakhova, A.; Zhilkina, O. The development of a method for obtaining Tripleurospermum inodorum extract with a high flavonoid content. Plants 2023, 12, 634. [Google Scholar]
- Šibul, F.; Orčić, D.; Berežni, S.; Anačkov, G.T. HPLC–MS/MS profiling of wild-growing scentless chamomile (Tripleurospermum inodorum L.). Acta Chromatogr. 2020, 32, 86–94. [Google Scholar] [CrossRef]
- Kilic, O.; Bagci, E. Chemical Composition of the Essential Oil of Tripleurospermum parviflorum (Willd.) Pobed. (Asteraceae) from Turkey. Asian J. Chem. 2012, 24, 1033–1036. [Google Scholar]
- Skrovankova, S.; Mlcek, J. Antioxidant Potential and Its Changes Caused by Various Factors in Lesser-Known Medicinal and Aromatic Plants. Horticulturae 2025, 11, 104. [Google Scholar] [CrossRef]
- Alsabri, S.G.; Zetrini, A.E.; Ermeli, N.B.; Mohamed, S.B.; Bensaber, S.M.; Hermann, A.; Gbaj, A. Study of Eight Medicinal Plants for Antioxidant Activities. J. Chem. Pharm. Res. 2012, 4, 4028–4031. [Google Scholar]
- Pisoschi, A.M.; Pop, A.; Cimpeanu, C.; Predoi, G. Antioxidant Capacity Determination in Plants and Plant-Derived Products: A Review. Oxid. Med. Cell Longev. 2016, 2016, 9130976. [Google Scholar] [CrossRef]
- Akram, W.; Ahmed, S.; Rihan, M.; Arora, S.; Khalid, M.; Ahmad, S.; Ahmad, F.; Haque, S.; Vashishth, R. An updated comprehensive review of the therapeutic properties of Chamomile (Matricaria chamomilla L.). Int. J. Food Prop. 2024, 27, 133–164. [Google Scholar] [CrossRef]
- Tomić, M.; Popović, V.; Petrović, S.; Stepanović-Petrović, R.; Micov, A.; Pavlović-Drobac, M.; Couladis, M. Antihyperalgesic and antiedematous activities of bisabolol-oxides-rich matricaria oil in a rat model of inflammation. Phytother. Res. 2014, 28, 759–766. [Google Scholar] [CrossRef]
- Alimi, D.; Hraoui, M.; Hajri, A.; Taamalli, W.; Selmi, S.; Sebai, H. Bioactivity and molecular docking studies of selected plant compounds. J. Sci. Food Agric. 2024, 104, 4391–4399. [Google Scholar] [CrossRef]
- Solovăstru, L.G.; Stîncanu, A.; De Ascentii, A.; Capparé, G.; Mattana, P.; Vâţă, D. Randomized, controlled study of innovative spray formulation containing ozonated oil and α-bisabolol in the topical treatment of chronic venous leg ulcers. Adv. Ski. Wound Care 2015, 28, 406–409. [Google Scholar] [CrossRef]
- Rathore, S.; Kumar, R. Dynamics of phosphorus and biostimulants on agro-morphology, yield, and essential oil profile of German chamomile (Matricaria chamomilla L.) under acidic soil conditions of the Western Himalaya. Front. Plant Sci. 2022, 13, 917388. [Google Scholar] [CrossRef]
- Yilmaz, S.; Fidan, H.; Çağlayan, M.; Stankov, S.; Yazar, S.; Stoyanova, A. Exploring the Chemical Composition and Anti-Cancer Potential of Matricaria recutita L. Essential Oil. Z. Naturforsch. C J. Biosci. 2025. advance online publication. [Google Scholar] [CrossRef]
- Satyal, P.; Shrestha, S.; Setzer, W.N. Composition and bioactivities of an (E)-β-farnesene chemotype of chamomile (Matricaria chamomilla) essential oil from Nepal. Nat. Prod. Commun. 2015, 10, 1453–1457. [Google Scholar] [CrossRef]
- Biltekin, S.N.; Karadağ, A.E.; Demirci, F.; Demirci, B. In vitro anti-inflammatory and anticancer evaluation of Mentha spicata L. and Matricaria chamomilla L. essential oils. ACS Omega 2023, 8, 17143–17150. [Google Scholar] [CrossRef] [PubMed]
- Schepetkin, I.A.; Özek, G.; Özek, T.; Kirpotina, L.N.; Khlebnikov, A.I.; Klein, R.A.; Quinn, M.T. Neutrophil immunomodulatory activity of farnesene, a component of Artemisia dracunculus essential oils. Pharmaceuticals 2022, 15, 642. [Google Scholar] [CrossRef] [PubMed]
- Wang, B.; Dong, W.; Li, H.; D’Onofrio, C.; Bai, P.; Chen, R.; Yang, L.; Wu, J.; Wang, X.; Wang, B.; et al. Molecular basis of (E)-β-farnesene-mediated aphid location in the predator Eupeodes corollae. Curr. Biol. 2022, 32, 951–962.e7. [Google Scholar] [CrossRef] [PubMed]
- Sobrinho, A.C.N.; Fontenelle, R.O.S.; Souza, E.B.; Morais, S.M. Antifungal and antioxidant effect of the lachnophyllum ester, isolated from the essential oil of Baccharis trinervis (Lam.) Pers., against dermatophytes fungi. Rev. Bras. Saude Prod. Anim. 2021, 22, e2122542021. [Google Scholar] [CrossRef]
- Nazaruk, J.; Kalemba, D. Chemical Composition of the Essential Oils from the Roots of Erigeron acris L. and Erigeron annuus (L.) Pers. Molecules 2009, 14, 2458–2465. [Google Scholar] [CrossRef]
- Lateef, R.; Bhat, K.A.; Chandra, S.; Banday, J.A. Chemical composition, antimicrobial and antioxidant activities of the essential oil of Conyza canadensis growing wild in Kashmir valley. Am. J. Essent. Oils Nat. Prod. 2018, 6, 321–331. [Google Scholar]
- Satyal, P.; Chhetri, B.K.; Dosoky, N.S.; Shrestha, S.; Poudel, A.; Setzer, W.N. Chemical Composition of Blumea lacera Essential Oil from Nepal. Biological Activities of the Essential Oil and (Z)-Lachnophyllum Ester. Nat. Prod. Commun. 2015, 10, 1749–1750. [Google Scholar] [CrossRef]
- Ferreira, R.C.; do Nascimento, Y.M.; de Araújo Loureiro, P.B.; Martins, R.X.; de Souza Maia, M.E.; Farias, D.F.; Tavares, J.F.; Gonçalves, J.C.R.; da Silva, M.S.; Sobral, M.V. Chemical Composition, In Vitro Antitumor Effect, and Toxicity in Zebrafish of the Essential Oil from Conyza bonariensis (L.) Cronquist (Asteraceae). Biomolecules 2023, 13, 1439. [Google Scholar] [CrossRef]
- McKay, D.L.; Blumberg, J.B. A review of the bioactivity and potential health benefits of chamomile tea (Matricaria recutita L.). Phytother. Res. 2006, 20, 519–530. [Google Scholar] [CrossRef]
- Turkez, H.; Sozio, P.; Geyikoglu, F.; Tatar, A.; Hacimuftuoglu, A.; Di Stefano, A. Neuroprotective effects of farnesene against hydrogen peroxide-induced neurotoxicity in vitro. Cell. Mol. Neurobiol. 2014, 34, 101–111. [Google Scholar] [CrossRef]
- Chehregani, A.; Mohsenzadeh, F.; Mirazi, N.; Hajisadeghian, S.; Baghali, Z. Chemical composition and antibacterial activity of essential oils of Tripleurospermum disciforme in three developmental stages. Pharm. Biol. 2010, 48, 1280–1284. [Google Scholar] [CrossRef]
- Marakhova, A.; Zhilkina, V.Y.; Elapov, A.; Sachivkina, N.; Samorodov, A.; Pupykina, K.; Krylova, I.; Kezimana, P.; Stoynova, A.M.; Venkatesan, R.; et al. The development of a method for obtaining Tripleurospermum inodorum (L.) Sch. Bip. herb extract enriched with flavonoids and an evaluation of its biological activity. Plants 2024, 13, 1629. [Google Scholar] [CrossRef]
- Ivanov, M.; Popov Aleksandrov, A.; Božunović, J.; Dias, M.I.; Calhelha, R.C.; Kulaš, J.; Barros, L.; Ferreira, I.C.F.R.; Stojković, D. Bioactive potential of Tripleurospermum inodorum with detailed insight into anti-inflammatory activity through in vitro, in vivo evaluations and network pharmacology. Inflammopharmacology 2025, 33, 3363–3376. [Google Scholar] [CrossRef]



| No. | Feature | M. chamomilla | T. inodorum |
|---|---|---|---|
| 1. | Receptacle | Conical, hollow | Flat, solid |
| 2. | Ray florets | Female (fertile); ~6–12 mm long, ~2–3 mm wide; white; 3-dentate apex | Female or sterile; ~8–20 mm long, ~3–4 mm wide; white; 3-lobed apex |
| 3. | Disc florets | Bisexual (fertile), tubular, 5-lobed; ~1.2–2.5 mm long, bright yellow, densely packed on receptacle | Bisexual (fertile), tubular, 5-lobed; ~1–2.5 mm long, yellow- golden, less compact arrangement |
| 4. | Pollen grain | Spheroidal, tricolporate, isopolar, echinate (spiny), ~22–27 µm diameter; well- developed ornamentation | Spheroidal, tricolporate, echinate, slightly larger (~25–30 µm); less pronounced ornamentation |
| Plant Material | Total Polyphenols (mg GAE/g DW) | Total Polyphenols (mg CAE/g DW) |
|---|---|---|
| M. chamomilla | 20.48 ± 0.004 | 20.10 ± 0.005 |
| T. inodorum | 17.88 ± 0.007 | 17.73 ± 0.008 |
| Plant Material | Total Flavonoid Content (mg RE/g DW) |
|---|---|
| M. chamomilla | 13.872 ± 0.009 |
| T. inodorum | 15.925 ± 0.005 |
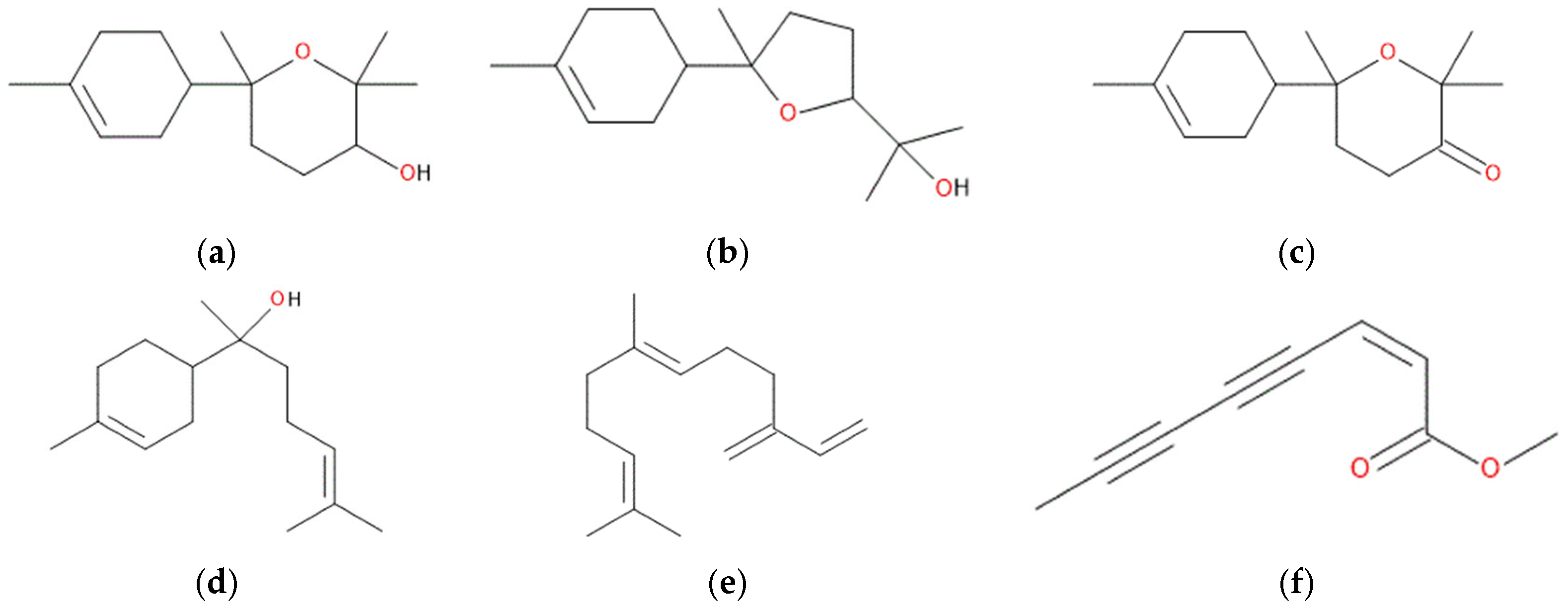
| No. | Compound | Retention Time (min) | Relative Area % | |
|---|---|---|---|---|
| M. chamomilla | T. inodorum | |||
| 1 | β-Farnesene | 30.577 | 7.96 | 11.56 |
| 2 | Germacrene | 32.831 | 0.75 | not detected |
| 3 | Spatuletol | 37.415 | 0.72 | not detected |
| 4 | Spatulenal | 38.402 | 1.24 | not detected |
| 5 | α-Bisabolol oxide B | 42.191 | 18.69 | not detected |
| 6 | ά-Bisabolone oxide A | 43.093 | 12.73 | not detected |
| 7 | (Z)-1-[Isobenzofuran-1-ylidene]propan-2-one | 44.239 | 2.39 | 3.58 |
| 8 | ά-Bisabolol | 44.239 | 3.93 | not detected |
| 9 | Lachnophyllum ester, cis | 44.436 | 1.64 | 11.59 |
| 10 | Naphthalenone | 44.858 | not detected | 1.53 |
| 11 | Isobenzofuran | 45.116 | not detected | 0.67 |
| 12 | Lachnophyllum ester, trans | 46.280 | 6.18 | not detected |
| 13 | 1,3-Naphtalenediol | 46.307 | not detected | 69.70 |
| 14 | Chamazulene | 47.749 | 4.24 | not detected |
| 15 | ά-Bisabolol oxide A | 48.354 | 39.49 | not detected |
| 16 | 6,7-Dimethyl-1-naphtol | 48.844 | not detected | 0.91 |
Disclaimer/Publisher’s Note: The statements, opinions and data contained in all publications are solely those of the individual author(s) and contributor(s) and not of MDPI and/or the editor(s). MDPI and/or the editor(s) disclaim responsibility for any injury to people or property resulting from any ideas, methods, instructions or products referred to in the content. |
© 2025 by the authors. Licensee MDPI, Basel, Switzerland. This article is an open access article distributed under the terms and conditions of the Creative Commons Attribution (CC BY) license (https://creativecommons.org/licenses/by/4.0/).
Share and Cite
Panţuroiu, M.; Gălăţanu, M.L.; Manea, C.E.; Popescu, M.; Sandulovici, R.C.; Pănuş, E. From Chemical Composition to Biological Activity: Phytochemical, Antioxidant, and Antimicrobial Comparison of Matricaria chamomilla and Tripleurospermum inodorum. Compounds 2025, 5, 50. https://doi.org/10.3390/compounds5040050
Panţuroiu M, Gălăţanu ML, Manea CE, Popescu M, Sandulovici RC, Pănuş E. From Chemical Composition to Biological Activity: Phytochemical, Antioxidant, and Antimicrobial Comparison of Matricaria chamomilla and Tripleurospermum inodorum. Compounds. 2025; 5(4):50. https://doi.org/10.3390/compounds5040050
Chicago/Turabian StylePanţuroiu, Mariana, Mona Luciana Gălăţanu, Carmen Elisabeta Manea, Mariana Popescu, Roxana Colette Sandulovici, and Emilia Pănuş. 2025. "From Chemical Composition to Biological Activity: Phytochemical, Antioxidant, and Antimicrobial Comparison of Matricaria chamomilla and Tripleurospermum inodorum" Compounds 5, no. 4: 50. https://doi.org/10.3390/compounds5040050
APA StylePanţuroiu, M., Gălăţanu, M. L., Manea, C. E., Popescu, M., Sandulovici, R. C., & Pănuş, E. (2025). From Chemical Composition to Biological Activity: Phytochemical, Antioxidant, and Antimicrobial Comparison of Matricaria chamomilla and Tripleurospermum inodorum. Compounds, 5(4), 50. https://doi.org/10.3390/compounds5040050

