Sign in to use this feature.

Years

Between: -

Subjects

remove_circle_outline
remove_circle_outline
remove_circle_outline
remove_circle_outline
remove_circle_outline
remove_circle_outline
remove_circle_outline
remove_circle_outline
remove_circle_outline

Journals

remove_circle_outline
remove_circle_outline
remove_circle_outline
remove_circle_outline
remove_circle_outline
remove_circle_outline
remove_circle_outline
remove_circle_outline
remove_circle_outline
remove_circle_outline
remove_circle_outline
remove_circle_outline
remove_circle_outline
remove_circle_outline
remove_circle_outline
remove_circle_outline
remove_circle_outline
remove_circle_outline
remove_circle_outline
remove_circle_outline

Article Types

Countries / Regions

remove_circle_outline
remove_circle_outline
remove_circle_outline
remove_circle_outline
remove_circle_outline
remove_circle_outline
remove_circle_outline
remove_circle_outline
remove_circle_outline
remove_circle_outline
remove_circle_outline
remove_circle_outline

Search Results (1,964)

Search Parameters:
Keywords = Dengue

Order results
Result details
Results per page
Select all
Export citation of selected articles as:
16 pages, 1757 KB  
Article
Dengue Epidemiology in Mexico: Temperature as a Contributing Factor to National Dengue Trends
by Juan Manuel Bello-López, Dulce Milagros Razo Blanco-Hernández, Andres Emmanuel Nolasco-Rojas, Emilio Mariano Durán-Manuel, Víctor Hugo Gutiérrez-Muñoz, Carol Vivian Moncayo-Coello, Jesus Alberto Meléndez-Ordoñez, José Alberto Díaz-Quiñonez, Magnolia del Carmen Ramírez-Hernández, Adolfo López-Ornelas, María Concepción Tamayo-Ordóñez, Yahaira de Jesús Tamayo-Ordóñez, Francisco Alberto Tamayo-Ordóñez, Benito Hernández-Castellanos, Luis Gustavo Zárate-Sánchez, Oscar Sosa-Hernández, Julio César Castañeda-Ortega, Claudia Camelia Calzada-Mendoza, Alejandro Cárdenas-Cantero, Clemente Cruz-Cruz and Miguel Ángel Loyola-Cruzadd Show full author list remove Hide full author list
Diseases 2026, 14(4), 133; https://doi.org/10.3390/diseases14040133 - 7 Apr 2026
Viewed by 438
Abstract
The increasing burden of dengue represents a growing global public health concern. Among the factors associated with rising dengue incidence, climate change, particularly increasing temperatures, has been frequently highlighted, alongside other environmental, biological, and social determinants. The emergence of dengue in previously non-endemic [...] Read more.
The increasing burden of dengue represents a growing global public health concern. Among the factors associated with rising dengue incidence, climate change, particularly increasing temperatures, has been frequently highlighted, alongside other environmental, biological, and social determinants. The emergence of dengue in previously non-endemic areas and its sustained increase in incidence have become increasingly common in recent decades. Objective: The aim of this study was to describe national dengue case trends in Mexico from 1990 to 2023 and to assess their association with temperature over the same period using a descriptive, retrospective analysis of epidemiological surveillance and temperature data. Methods: Epidemiological data on confirmed dengue cases and incidence were obtained from the Morbidity Yearbook of the General Directorate of Epidemiology (DGE) of the Mexican Ministry of Health. These data were used to construct epidemic curves and to analyze the geographic distribution of incidence using quartiles. Temperature data were derived from the national annual mean calculated from monthly reports issued by the National Water Commission (CONAGUA). Associations between temperature and dengue cases and incidence were explored over the study period. Results: Temporal analysis revealed a significant increase in both dengue cases and incidence in Mexico, with a positive association with temperature during the same period. Quartile-based geographic analysis showed that state-level classifications remained relatively stable across periods, with several states clustering within or tending toward the group considered endemic. Conclusions: The results of this study show an increase in cases and incidence of dengue over time, as well as a positive association between cases/incidence of dengue in Mexico and the increase in the national average temperature during the study period; however, due to its descriptive and retrospective design, causal inference is not possible. Dengue transmission is inherently multifactorial, and the observed trends likely reflect the combined influence of climatic conditions, historical expansion of transmission cycles, vector establishment, and unmeasured socio-epidemiological factors. The absence of entomological indicators, additional climatic variables, and spatially or seasonally disaggregated analyses limits the ability to capture localized dynamics. Overall, temperature should be interpreted as a contributing factor within a complex system rather than as the sole driver of dengue trends, underscoring the need for integrated surveillance and control strategies in both endemic and non-endemic regions. Full article
(This article belongs to the Section Infectious Disease)
Show Figures

Figure 1

11 pages, 248 KB  
Opinion
The Second Silent Pandemic: Why Arboviruses Demand an Orchestrated Global Health Response
by Nguyen Khoi Quan and Andrew W. Taylor-Robinson
Pathogens 2026, 15(4), 398; https://doi.org/10.3390/pathogens15040398 - 7 Apr 2026
Viewed by 236
Abstract
Infections caused by arboviruses, a diverse group of viral pathogens transmitted by biting arthropod vectors, mainly mosquitoes, ticks, and midges, can cause a range of illnesses in humans, from mild, influenza-like symptoms to severe neurological complications including encephalitis and viral hemorrhagic fever. According [...] Read more.
Infections caused by arboviruses, a diverse group of viral pathogens transmitted by biting arthropod vectors, mainly mosquitoes, ticks, and midges, can cause a range of illnesses in humans, from mild, influenza-like symptoms to severe neurological complications including encephalitis and viral hemorrhagic fever. According to 2024 World Health Organization statistics, vector-borne diseases collectively account for over 700,000 human deaths annually, with mosquito-borne infections such as dengue, chikungunya, Zika, and yellow fever constituting a growing and significant proportion of this burden. What was once considered a problem localized to poorly resourced settings in tropical and subtropical regions is now becoming a pervasive global challenge. This is due largely to a combination of factors including climate change, transcontinental travel, and urbanization, with the geographical spread and intensity of arboviral outbreaks reaching unprecedented levels during the current century. In much the same way that the escalating global burden of bacterial infections resistant to antibiotics has been described as a silent pandemic, the insidious rise of arboviruses begs questions regarding outbreak preparedness, prevention and control. Here, we highlight the pressing need for comprehensive strategies that incorporate various health sectors to mitigate the emergence and resurgence of arboviral diseases. Future directives that should be prioritized are outlined. As demonstrated by epidemiological trends and historical outbreak data, an orchestrated global response is critical not only for managing current threats but also for preventing future epidemics. Full article
(This article belongs to the Special Issue Emerging Arboviruses: Epidemiology, Control, and Future Directions)
31 pages, 2540 KB  
Review
Comparative Diagnostic Performance of Artificial Intelligence Versus Conventional Approaches for Early Detection of Mosquito-Borne Viral Infections: A Systematic Review and Meta-Analysis, with Evidence Predominantly from Dengue Studies
by Flavia Pennisi, Antonio Pinto, Claudia Cozzolino, Andrea Cozza, Giovanni Rezza, Carlo Signorelli, Vincenzo Baldo and Vincenza Gianfredi
Mach. Learn. Knowl. Extr. 2026, 8(4), 93; https://doi.org/10.3390/make8040093 - 7 Apr 2026
Viewed by 320
Abstract
Background: Early differentiation of mosquito-borne viral infections from other causes of acute febrile illness remains challenging, particularly in endemic and resource-limited settings. Artificial intelligence (AI) models have been proposed to improve early diagnosis, but their incremental value over conventional approaches is unclear. Methods: [...] Read more.
Background: Early differentiation of mosquito-borne viral infections from other causes of acute febrile illness remains challenging, particularly in endemic and resource-limited settings. Artificial intelligence (AI) models have been proposed to improve early diagnosis, but their incremental value over conventional approaches is unclear. Methods: We conducted a systematic review and meta-analysis of comparative studies evaluating AI/machine learning models versus conventional approaches (clinical assessment, laboratory-based pathways, or traditional statistical models) for early detection of mosquito-borne viral infections. PubMed, Embase, and Scopus were searched through August 2025. Paired performance metrics were synthesized using fixed- and random-effects models. Outcomes included AUC, sensitivity, specificity, accuracy, positive predictive value (PPV), and negative predictive value (NPV). Risk of bias was assessed using PROBAST. Results: Thirteen studies met inclusion criteria. Under random-effects models, AI improved sensitivity (ES = 2.64, p = 0.028), specificity (ES = 5.55, p < 0.001), accuracy (ES = 3.19, p < 0.001), and NPV (ES = 13.84, p < 0.001). No consistent advantage was observed for AUC, and PPV findings were inconsistent. Substantial heterogeneity was present across outcomes (I2 = 100%). Most studies relied on internal validation, and PROBAST identified high risk of bias in the analysis domain in over half. Conclusions: AI-based models may enhance threshold-dependent performance metrics, supporting their use as adjunctive decision-support tools for early triage and case exclusion, while external validation and implementation-focused research remain essential. Full article
(This article belongs to the Section Thematic Reviews)
Show Figures

Figure 1

16 pages, 3227 KB  
Article
A Comprehensive Analysis of Diagnostic and Virological Surveillance During the 2023–2025 Measles Epidemic Scenario
by Martina Franceschiello, Martina Tamburello, Giulia Piccirilli, Eva Caterina Borgatti, Federica Lanna, Alessia Bertoldi, Simona Venturoli, Giada Rossini, Silvia Gioacchini, Melissa Baggieri, Fabio Magurano, Michela Morri, Giulio Matteo, Christian Cintori, Giovanna Mattei, Vittorio Lodi, Liliana Gabrielli and Tiziana Lazzarotto
Diagnostics 2026, 16(7), 1109; https://doi.org/10.3390/diagnostics16071109 - 7 Apr 2026
Viewed by 247
Abstract
Background/Objectives: Since 2023, a significant increase in measles cases has been reported worldwide, and Italy has been among the most affected European countries. In this context, the integration of laboratory and epidemiological data enables timely case classification and helps distinguish between imported [...] Read more.
Background/Objectives: Since 2023, a significant increase in measles cases has been reported worldwide, and Italy has been among the most affected European countries. In this context, the integration of laboratory and epidemiological data enables timely case classification and helps distinguish between imported and indigenous cases, supporting disease control. However, most studies address only selected aspects of surveillance. Therefore, this study aimed to provide an integrated analysis of virological and epidemiological surveillance activities conducted between November 2023 and December 2025 by the Regional Reference Laboratory in the Emilia-Romagna Region (ERR). Methods: A total of 806 clinical samples (269 urine, 267 oral fluids—saliva or oropharyngeal swabs—and 270 sera) from 291 suspected measles cases were tested by molecular and/or serological methods, and MV genotyping was performed. Samples from discarded cases were also analysed for parvovirus B19 (B19V), human herpesvirus 6 (HHV-6), enterovirus (EV), and varicella zoster virus (VZV), chikungunya virus (CHIKV) and dengue virus (DENV). Results: Of 291 suspected cases, 176 (60.5%) were confirmed. Median age was 33 years, with 46% in the 15–39 year group. Vaccination status was available for 165: 90.3% were unvaccinated, 5.4% had one dose, and 4.2% had two doses. Notably, over half of confirmed cases occurred in areas with vaccine-hesitant communities. MV strain characterisation was performed in 99.4% of MV-RNA positive cases, with 84.3% genotype D8 and 15.6% genotype B3; 83% of strains were of indigenous origin, suggesting an ongoing endemic circulation. Clinical data showed complications in 19.3%, mainly pneumonia and diarrhoea. Additionally, differential diagnosis enabled the identification of the etiological agent in 37.5% of measles/rubella discarded cases, and 37.6% (29/77) tested positive for B19V. Conclusions: The study results highlight that effective measles surveillance must be supported by integrating timely virological diagnosis, molecular and epidemiological investigations, and differential diagnosis, to achieve the WHO goals of eliminating measles transmission. Full article
(This article belongs to the Section Diagnostic Microbiology and Infectious Disease)
Show Figures

Figure 1

27 pages, 912 KB  
Review
Dengue Virus-Susceptible Animal Models: Research Progress, Core Bottlenecks, and Future Perspectives
by Wensheng Zhang, Yue Zhao, Teng Meng, Yuling Tang, Yifei Zhang, Lu Zhang, Shoulong Deng, Yan Li, Yiming Yuan and Yefeng Qiu
Vaccines 2026, 14(4), 319; https://doi.org/10.3390/vaccines14040319 - 3 Apr 2026
Viewed by 546
Abstract
Dengue fever (DF) is an acute mosquito-borne infectious disease caused by dengue virus (DENV), primarily transmitted by Aedes aegypti and Aedes albopictus. Nearly 4 billion people worldwide are at risk of infection, and the 2024 epidemic reached an unprecedented scale. Severe cases can [...] Read more.
Dengue fever (DF) is an acute mosquito-borne infectious disease caused by dengue virus (DENV), primarily transmitted by Aedes aegypti and Aedes albopictus. Nearly 4 billion people worldwide are at risk of infection, and the 2024 epidemic reached an unprecedented scale. Severe cases can lead to hemorrhage, shock, and even death, prompting the WHO to classify it as a potential pandemic pathogen. Current prevention and control measures face prominent bottlenecks, including limited applicable populations for vaccines, lack of specific antiviral drugs, and increasing insecticide resistance in mosquito vectors. Notably, susceptible animal models serve as core tools for elucidating the pathogenic mechanisms of dengue virus, screening antiviral drugs, and evaluating vaccine protective efficacy, holding irreplaceable significance. This review systematically summarizes the characteristics, application scenarios, and research progress of mainstream and potential susceptible animal models, including non-human primates, mice, pigs, tree shrews, and bats. It covers model systems with different immune statuses, genetically modified types, and species-specific traits. Among these, mouse models are the most widely used due to their high flexibility and controllable cost, while non-human primate models have become key carriers for preclinical vaccine evaluation by virtue of their high homology with human immune responses. However, current models generally suffer from core bottlenecks, such as incomplete simulation of core severe phenotypes, insufficient restoration of immune mechanisms, unclear viral receptor mechanisms, and lack of unified standards for inoculation doses and evaluation indicators. These limitations make it difficult to accurately replicate key severe disease mechanisms, including antibody-dependent enhancement (ADE) and cytokine storms. Future model development should focus on core requirements—including intact immunity, broad-spectrum susceptibility, and accurate simulation of clinical pathological features—prioritize solving the simulation challenges of ADE and cytokine storms, and establish standardized experimental systems and evaluation criteria. By comprehensively summarizing the advantages and limitations of the existing models, this review provides a systematic reference for the optimization and upgrading of dengue virus-susceptible animal models. It also holds important guiding significance for promoting the in-depth development of basic dengue research, innovation in prevention and control technologies, and clinical transformation and application. Full article
Show Figures

Figure 1

11 pages, 346 KB  
Article
Two Decades of Dengue in Indonesia: Long-Term Trends in Incidence, Mortality, and Disability-Adjusted Life Years, 2005–2024
by Agus Sudaryanto, Wen-Chun Liao, Yun-Ping Lin and Wen-Chao Ho
Pathogens 2026, 15(4), 373; https://doi.org/10.3390/pathogens15040373 - 31 Mar 2026
Viewed by 364
Abstract
Dengue continues to be a significant public health concern in Indonesia. However, a comprehensive assessment of long-term national trends in disease burden and fatality composition remains to be developed. Ecological time-series analysis for 20 years (2005–2024) was carried out using national surveillance data. [...] Read more.
Dengue continues to be a significant public health concern in Indonesia. However, a comprehensive assessment of long-term national trends in disease burden and fatality composition remains to be developed. Ecological time-series analysis for 20 years (2005–2024) was carried out using national surveillance data. Incidence, mortality, and disability-adjusted life year (DALY) rates were calculated using mid-year population estimates. Log-linear regression was applied to estimate the annual percentage change (APC). Joinpoint regression was used to assess potential trend inflection points. Case fatality rate (CFR) trends were examined using negative binomial regression. DALYs were decomposed into years of life lost (YLL) and years lived with disability (YLD). The results indicated that incidence rates did not demonstrate a significant long-term trend, while both mortality and DALY rates declined significantly over time. CFR decreased by approximately 2.2% annually (RR 0.978, 95% CI 0.969–0.987; p < 0.001). Although DALYs remained predominantly driven by premature mortality (>98%), the proportional contribution of YLL declined modestly but significantly over time. Despite persistent dengue transmission, fatal severity has substantially decreased in Indonesia over the past two decades (2005–2024). The findings suggest improved clinical outcomes and a modest structural shift in disease burden composition. Full article
(This article belongs to the Special Issue Dengue Virus: Transmission, Pathogenesis, Diagnostics, and Vaccines)
Show Figures

Figure 1

15 pages, 3535 KB  
Article
Aedes aegypti Mosquitoes from Central Vietnam Feature Specific Viromic Profiles Linked to Dengue Virus Coinfection
by Margarita Popova, Alena Khalilova, Anna Gladkikh, Ekaterina Klyuchnikova, Tatiana Arbuzova, Edward Ramsay, Nguyen T. Dong, Bui T. Phu, Hung Thai Do and Vladimir Dedkov
Viruses 2026, 18(4), 422; https://doi.org/10.3390/v18040422 - 31 Mar 2026
Viewed by 348
Abstract
Aedes aegypti is a primary vector for globally significant arboviruses such as dengue virus (DENV). The mosquito’s metavirome, particularly its insect-specific virus (ISV) component, is recognized as a key modulator of arboviral transmission. However, the natural ecology of these interactions in populations remains [...] Read more.
Aedes aegypti is a primary vector for globally significant arboviruses such as dengue virus (DENV). The mosquito’s metavirome, particularly its insect-specific virus (ISV) component, is recognized as a key modulator of arboviral transmission. However, the natural ecology of these interactions in populations remains poorly understood. This study presents the first comparative analysis of the metavirome in wild-caught A. aegypti from Vietnam based on natural DENV infection status. Metaviromic analysis was performed on 69 DENV-positive pools from six central provinces. The results obtained were compared with previously obtained metaviromic data from 7 DENV-negative pools (from the same region). Analysis suggests the presence of a stable ‘core metavirome’ of 11 ISVs present in both groups. Interestingly, six ISVs were detected only in DENV-negative mosquitoes, which may suggest potential antagonistic interactions requiring further investigation. Conversely, five ISVs were found only in DENV-positive pools, including Aedes partiti-like virus 1 and Aedes anphevirus. The latter may suggest possible synergistic relationships that facilitate arboviral replication. Phylogenetic analysis of prevalent ISVs, such as Phasi Charoen-like phasivirus (PCLV) and Chaq-like virus, revealed patterns of both local circulation and genetic diversity. The findings describe distinct ISV profiles associated with DENV infection in a natural setting, providing a data-driven foundation for hypothesizing specific virus–virus interactions. The data underscores the complexity of the mosquito metavirome. Here, we identified several candidate ISVs for future experimental studies aimed at understanding potential functional impact on arboviral vector competence. Full article
(This article belongs to the Special Issue Current Trends in Arbovirus Outbreaks and Research)
Show Figures

Figure 1

45 pages, 2482 KB  
Review
Achievements and Challenges in Therapy and Vaccines Development of Viral Hemorrhagic Fevers: An Up-to-Date Review
by Dan Lupascu, Andreea-Teodora Iacob, Maria Apotrosoaei, Ioana-Mirela Vasincu, Florentina-Geanina Lupascu, Oana-Maria Chirliu, Bianca-Stefania Profire, Roxana-Georgiana Tauser and Lenuta Profire
Pharmaceutics 2026, 18(4), 426; https://doi.org/10.3390/pharmaceutics18040426 - 30 Mar 2026
Viewed by 389
Abstract
Viral hemorrhagic fevers (VHFs) comprise a heterogeneous group of severe infectious diseases that continue to represent a major global health concern. Although many VHFs remain endemic to regions of Africa, Asia, and the Americas, their wide geographic distribution, together with increasing international travel [...] Read more.
Viral hemorrhagic fevers (VHFs) comprise a heterogeneous group of severe infectious diseases that continue to represent a major global health concern. Although many VHFs remain endemic to regions of Africa, Asia, and the Americas, their wide geographic distribution, together with increasing international travel and global trade, facilitates the importation of cases into non-endemic areas and raises the risk of secondary transmission under favorable ecological and epidemiological conditions. These infections are frequently associated with high case-fatality rates and impose a substantial social and economic burden, including pressure on healthcare systems, disruption of essential services, and long-term physical and psychological sequelae among survivors. Despite notable advances in recent years, therapeutic options for VHFs remain limited. Supportive care continues to represent the cornerstone of clinical management for most infections, while pathogen-targeted therapies are available only for a restricted number of diseases. Monoclonal antibody-based therapies have achieved the most significant regulatory success to date, particularly for Ebola virus disease. In parallel, several small-molecule antivirals have been investigated in preclinical and clinical settings, including during outbreak responses, although inconsistent efficacy and safety concerns have limited widespread approval. Vaccine development has progressed further, with licensed vaccines available for selected VHFs, including Ebola, yellow fever, and dengue, and multiple candidates based on diverse technological platforms advancing through clinical evaluation. In addition to summarizing current therapeutic and vaccine strategies, this review highlights pharmaceutical development considerations relevant to biologic therapeutics and selected vaccine platforms, including formulation stability, pharmacokinetic behavior, delivery routes, storage requirements, and logistical constraints affecting deployment during outbreak responses. Using a comparative cross-pathogen framework, the review synthesizes recent literature to identify translational gaps, regulatory challenges, and future priorities for the development of safer and more effective medical countermeasures against VHFs. Full article
Show Figures

Figure 1

15 pages, 2224 KB  
Article
Detection of Dengue Virus Serotype 3 Using a Colorimetric Reverse Transcription Loop-Mediated Isothermal Amplification Assay: Evaluation with Clinical Samples from Southeastern Mexico
by Perla Pérez-Tepos, Gilma Guadalupe Sánchez-Burgos, Beatriz Xoconostle-Cázares, Gloria María Molina-Salinas, Julio Huchín-Cetz, Edgar Sevilla-Reyes, Berenice Calderón-Pérez, Roberto Ruiz-Medrano and Rosalia Lira
Pathogens 2026, 15(4), 359; https://doi.org/10.3390/pathogens15040359 - 28 Mar 2026
Viewed by 407
Abstract
Dengue virus (DENV), an important mosquito-borne orthoflavivirus, represents a growing global threat due to its geographic expansion and recent outbreaks worldwide. In resource-limited endemic settings, the development of affordable diagnostic assays is needed. In this study, we developed and validated a colorimetric reverse [...] Read more.
Dengue virus (DENV), an important mosquito-borne orthoflavivirus, represents a growing global threat due to its geographic expansion and recent outbreaks worldwide. In resource-limited endemic settings, the development of affordable diagnostic assays is needed. In this study, we developed and validated a colorimetric reverse transcription loop-mediated isothermal amplification assay (RT-LAMP) for the detection of DENV type 3 (DENV-3) using 95 previously diagnosed clinical samples from Southeastern Mexico. Primers targeting the 3′ untranslated region (3′ UTR) of DENV-3 were designed, and assay conditions were standardized. The colorimetric RT-LAMP DENV-3 system achieved a preliminary limit of detection of 1 × 103 copies per reaction, with 90.7% sensitivity and 100% specificity. The colorimetric format enabled visual readout without specialized equipment, supporting its potential applicability in point-of-care and resource-limited settings. The developed colorimetric RT-LAMP detection for DENV-3 is intended as a rapid screening/triage tool that can trigger confirmatory testing or public-health actions. Full article
Show Figures

Figure 1

32 pages, 5723 KB  
Article
Comparative Molecular Docking and Pharmacokinetic Profiling of Cinnamic Acid and Oleic Acid from Cinnamomum verum as Potential Inhibitors of Dengue Virus Proteins
by Wafaa Hussien Habeeb, Noor Hameed Hanoush, Meena Thaar Alani, Ali Hazim Abdulkareem, Mohammed Obaid Ibrahim, Mohammed Salih Al-Janaby, Mohammed Mukhles Ahmed, Saja Saadallah Abduljaleel and Zaid Mustafa Khaleel
Infect. Dis. Rep. 2026, 18(2), 26; https://doi.org/10.3390/idr18020026 - 26 Mar 2026
Viewed by 300
Abstract
Background: Dengue virus (DENV) does not have any effective antiviral therapy. The Cinnamomum verum has cinnamic acid and oleic acid that could inhibit important viral proteins. Aim: To compare their inhibitory capacity with the key DENV proteins through molecular docking, molecular dynamics and [...] Read more.
Background: Dengue virus (DENV) does not have any effective antiviral therapy. The Cinnamomum verum has cinnamic acid and oleic acid that could inhibit important viral proteins. Aim: To compare their inhibitory capacity with the key DENV proteins through molecular docking, molecular dynamics and in silico ADMET. Methods: Phytochemical profiling of the ethanolic extract of the bark was done by GCMS. AutoDock Vina (version 1.2.0) was used to dock cinnamic acid and oleic acid to key proteins of DENV (NS5, NS3, and envelope) in the presence of ribavirin as the reference. The best complexes were then subjected to 50 ns of molecular dynamics simulation and stability measured by RMSD, RMSF, Rg, SASA, hydrogen bonding and RDF. Validated in silico tools were used to predict the ADMET properties. Results: Analysis of GC–MS revealed cinnamic acid (85.92%) and oleic acid (5.33%). The outcome of docking was that the cinnamic acid had the greatest affinity with NS5 (−5.970 kcal/mol) and the capsid protein (−5.755 kcal/mol), and oleic acid showed the highest affinity with the capsid (−6.150 kcal/mol) and then with NS5 (−5.209 kcal/mol). Both ligands had a relatively weak interaction with NS3. Simulation of the molecular dynamics showed the stability of the top complexes, especially the cinnamic acid–NS5 complex, that retained low RMSD (1.6–1.9 A), stable Rg and SASA profiles, and continued hydrogen bonding during the 50 ns period. The use of cinnamic acid in ADMET projections was more preferable, as it was more soluble, orally bioavailable (0.91), and drug-like (QED 0.65), but oleic acid revealed higher lipophilicity and lower drug-like properties (QED 0.29). Conclusions: Cinnamic acid showed specificity towards the NS5 proteins with the help of stable dynamics and good predicted pharmacokinetics, which are features that make it a promising multi-target anti-DENV scaffold. Oleic acid exhibited poor affinity and poor pharmacokinetic properties. The findings are predictive and must be validated using biochemical, cellular, and toxicological means to prove the antiviral efficacy and safety. Full article
(This article belongs to the Special Issue Epidemiology, Prevention and Research on Dengue Virus)
Show Figures

Figure 1

15 pages, 3126 KB  
Article
Green Tea Catechins Significantly Reduce Zika Virus in RBCs Through Viral Inactivation
by Xipeng Yan, Jinlian Li, Xiaoqiong Duan, Limin Chen, Yujia Li and Chunhui Yang
Pathogens 2026, 15(3), 334; https://doi.org/10.3390/pathogens15030334 - 20 Mar 2026
Viewed by 444
Abstract
Background: Despite significant improvements in blood safety, the risk of transfusion-transmitted infections persists, particularly from emerging and re-emerging viruses. For red blood cell (RBC) products, this risk is exacerbated by the fact that there is no routine testing for many of these pathogens, [...] Read more.
Background: Despite significant improvements in blood safety, the risk of transfusion-transmitted infections persists, particularly from emerging and re-emerging viruses. For red blood cell (RBC) products, this risk is exacerbated by the fact that there is no routine testing for many of these pathogens, and effective, commercially available pathogen inactivation technologies specifically for RBCs are still lacking. This gap in the safety framework means that viruses capable of establishing an asymptomatic viremia—a characteristic of many arboviruses like Zika, dengue, and West Nile virus—present a tangible threat to the blood supply, highlighting the need for broad-spectrum countermeasures. Study Design and Methods: This study aims to investigate the antiviral activity of green tea extract (GTE) and its key catechins, epigallocatechin gallate (EGCG) and epicatechin gallate (ECG), against ZIKV in both cellular models and red blood cell (RBC) products. In vitro antiviral activity was assessed using A549 cells treated with GTE (150 μg/mL) or purified EGCG/ECG (20 μM). Mechanistic studies focused on viral attachment inhibition. Additionally, ZIKV-spiked RBC products were co-incubated with GTE (300 μg/mL) for 1 h to evaluate virucidal effects. Erythrocyte integrity was confirmed via hemolysis assays. Results: Co-treatment with GTE or catechins suppressed ZIKV replication by ≥3.64 logs (p < 0.001) in A549 cells. GTE and catechins primarily inhibited viral attachment. In RBCs, GTE reduced viral infectivity by 99.99% (4-log reduction) without compromising erythrocyte membrane integrity or cellular viability. Furthermore, RBCs with added GTE demonstrated a lower hemolysis rate during storage for up to 60 days. Conclusions: GTE exhibits potent virucidal activity against ZIKV in blood matrices, highlighting its potential as a pathogen reduction agent to enhance transfusion safety. Further development of GTE-based additive solutions or technologies is warranted. Full article
Show Figures

Figure 1

25 pages, 5724 KB  
Article
Phosphoproteome-Entailed Kinase–Substrate Landscape of Human–DENV-2 Interaction
by Ayisha A. Jabbar, Vineetha Shaji, Akash Anil, Mahammad Nisar, Sowmya Soman, Ganesh Prasad, Chandran S. Abhinand, Prashant Kumar Modi, Madathiparambil Gopalakrishnan Madanan, Abhithaj Jayanandan, Rajendra Pilankatta and Rajesh Raju
Int. J. Mol. Sci. 2026, 27(6), 2718; https://doi.org/10.3390/ijms27062718 - 17 Mar 2026
Viewed by 514
Abstract
Dengue virus (DENV) is a mosquito-borne RNA virus that causes serious illness in humans, ranging from mild fever to severe clinical manifestations, with dengue virus type 2 (DENV-2) being the most virulent among its four serotypes. Despite extensive research, no specific antiviral therapy [...] Read more.
Dengue virus (DENV) is a mosquito-borne RNA virus that causes serious illness in humans, ranging from mild fever to severe clinical manifestations, with dengue virus type 2 (DENV-2) being the most virulent among its four serotypes. Despite extensive research, no specific antiviral therapy is currently available, making the host-directed method an appealing therapeutic approach. Evidence shows that DENV manipulates host kinase-driven phosphorylation pathways to control viral pathogenesis. Using the kinase–substrate phosphomotif approach, we predicted phosphorylation sites across the DENV proteome and their potential human kinases. The predicted kinase–substrate interactions were systematically integrated with DENV-2-induced human phosphoproteome datasets, protein–protein interactions, and experimentally-validated viral phosphosites. The therapeutic relevance of the identified host kinases was corroborated by the impact of their inhibitors on DENV-2 infection. Among the 359 potential human kinases predicted to phosphorylate DENV-2 proteins, based on human phosphoproteome and kinase–viral protein interaction analyses, CDK9 emerged as a central hub kinase. Molecular docking analyses further revealed that the host kinases CDK9, EEF2K, HASPIN, and TNNI3K form stable interactions with the viral capsid and NS5 proteins. Additionally, a conservation analysis suggested that the predicted phosphorylation sites are evolutionarily conserved across DENV-2 strains. Computational prediction tools supported the predicted kinase–substrate interactions, underscoring the role of host kinases as key regulators of DENV infection, which may act as potential therapeutic targets. This study highlights the interplay between dengue viral and host proteins, providing insights into host-directed therapeutic strategies for DENV-2 infection and their potential to address the current lack of effective antiviral interventions. Full article
(This article belongs to the Special Issue Host-Virus Interaction)
Show Figures

Figure 1

16 pages, 1333 KB  
Systematic Review
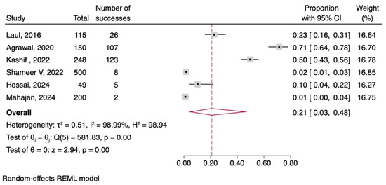
Expanded Dengue and the Digestive System: A Systematic Review and Meta-Analysis
by Daniel Peñaherrera-Vásquez, Alison Reina, Gabriela Zambrano-Sánchez, Maria Fernanda García-Aguilera, German Fierro, Silvia Jessica Guarderas-Muñoz, Josue Rivadeneira and Luis Fuenmayor-González
Trop. Med. Infect. Dis. 2026, 11(3), 77; https://doi.org/10.3390/tropicalmed11030077 - 7 Mar 2026
Viewed by 675
Abstract
Background Expanded dengue syndrome represents a severe and atypical spectrum of dengue virus infection characterized by multisystem involvement beyond classic manifestations. While mild gastrointestinal symptoms are common in classic dengue, expanded dengue syndrome may present with clinically significant digestive organ involvement, including hepatitis, [...] Read more.
Background Expanded dengue syndrome represents a severe and atypical spectrum of dengue virus infection characterized by multisystem involvement beyond classic manifestations. While mild gastrointestinal symptoms are common in classic dengue, expanded dengue syndrome may present with clinically significant digestive organ involvement, including hepatitis, fulminant hepatic failure, pancreatitis, and acute acalculous cholecystitis. These manifestations often resemble primary gastrointestinal diseases, leading to diagnostic delays and inappropriate management. Despite increasing recognition, the true frequency of digestive system involvement remains poorly defined due to heterogeneous reporting and limited quantitative evidence. Methodology/Principal Findings A systematic review and meta-analysis was conducted in accordance with the Preferred Reporting Items for Systematic Reviews and Meta-Analyses guidelines and registered in the International Prospective Register of Systematic Reviews (PROSPERO; CRD420251270772). MEDLINE, Scopus, Web of Science, Embase, CENTRAL, Scielo, and BIREME were searched from inception to December 10, 2025. Primary studies reporting laboratory-confirmed dengue infection with atypical digestive system involvement and sufficient quantitative data were included. Seven studies comprising 1774 participants met eligibility criteria. Random-effects meta-analyses were performed to estimate pooled frequencies of gastrointestinal manifestations. The pooled frequency of hepatic involvement was 7% (95% confidence interval: 0–21), including fulminant hepatic failure (3%) and hepatitis (33%), with substantial heterogeneity. Acute pancreatitis occurred in 3% (95% confidence interval: 0–11) of cases. Acute acalculous cholecystitis was the most frequent manifestation, with a pooled frequency of 21% (95% confidence interval: 3–48). All included studies were classified as low risk of bias. Full article
(This article belongs to the Section Vector-Borne Diseases)
Show Figures

Figure 1

19 pages, 7373 KB  
Article
District-Level Dengue Early Warning Prediction System in Bangladesh Using Hybrid Explainable AI and Bayesian Deep Learning
by Md. Abu Bokkor Shiddik, Farzana Zannat Toshi, Sadia Yesmin and Md. Siddikur Rahman
Trop. Med. Infect. Dis. 2026, 11(3), 73; https://doi.org/10.3390/tropicalmed11030073 - 5 Mar 2026
Viewed by 724
Abstract
Dengue is a mosquito-borne viral disease which is predominantly endemic in tropical and subtropical countries. In Bangladesh, 321,179 dengue cases were reported in 2023, followed by 101,214 cases in 2024, which highlights a severe and ongoing public health challenge. Dengue transmission risks are [...] Read more.
Dengue is a mosquito-borne viral disease which is predominantly endemic in tropical and subtropical countries. In Bangladesh, 321,179 dengue cases were reported in 2023, followed by 101,214 cases in 2024, which highlights a severe and ongoing public health challenge. Dengue transmission risks are shaped by climatic variability, rapid urbanization, socio-economic vulnerability, and healthcare strain. But existing dengue surveillance models remain limited in their ability to capture district-level disparities in Bangladesh. This study aimed to develop a district-level dengue early warning system that integrates climatic, socio-demographic, economic, healthcare, and environmental determinants to generate accurate and interpretable predictions. We examined dengue cases across all 64 districts in Bangladesh from 2017 to 2024, integrating Directorate General of Health Services (DGHS) case records with climate, socio-demographic, economic, and healthcare indicators. Machine learning and deep learning approaches, including Multi-Layer Perceptron (MLP) and Convolutional Long Short-Term Memory (ConvLSTM), were combined with SHAP (Shapley Additive Explanations)-based explainable artificial intelligence. We also used Bayesian spatio-temporal models to capture spatial clustering, temporal dependence, and the lagged transmission effects of dengue. Dengue outbreaks peaked in September 2023, with Dhaka recording 113,233 cases. DENV-4 (Dengue Virus type 4) emerged in 2022, accounting for 27% of infections in 2023. Climate was the strongest predictor of dengue transmission (humidity SHAP = 0.314; minimum temperature SHAP = 0.146; rainfall RR = 1.303). Poverty (SHAP = 0.193) and healthcare capacity (nursing/midwifery density SHAP = 0.073) mostly contributed to dengue prediction. The MLP model achieved the best yearly performance (accuracy = 0.93; ROC-AUC = 0.99), ConvLSTM was the best model in monthly prediction (recall = 0.88; ROC-AUC = 0.81), and Bayesian BYM2_RW2 with lagged effects improved predictive fit (DIC = 3671.055). Our integrated framework delivers transparent, interpretable predictions and district-level early warnings, supporting adaptive dengue outbreak preparedness and resource allocation in Bangladesh. Full article
(This article belongs to the Special Issue Urban Vector-Borne Pathogens in Tropical Cities Under Climate Change)
Show Figures

Figure 1

20 pages, 900 KB  
Review
Plastic-Derived Pollutants as Emerging Modifiers of Viral Diseases
by Fatima Hisam, Ramina Kordbacheh, Ebenezer Senu, Spandan Mukherjee, Jon Sin and Erica L. Sanchez
Pathogens 2026, 15(3), 270; https://doi.org/10.3390/pathogens15030270 - 3 Mar 2026
Viewed by 824
Abstract
Plastic pollutants, including phthalates, bisphenol A (BPA), per- and polyfluoroalkyl substances (PFAS), and microplastics (MPs), are increasingly recognized as emerging environmental cofactors that intersect with infectious disease dynamics. These compounds, once considered inert, can alter immune function, reshape host–pathogen interactions, and directly influence [...] Read more.
Plastic pollutants, including phthalates, bisphenol A (BPA), per- and polyfluoroalkyl substances (PFAS), and microplastics (MPs), are increasingly recognized as emerging environmental cofactors that intersect with infectious disease dynamics. These compounds, once considered inert, can alter immune function, reshape host–pathogen interactions, and directly influence viral survival and transmission. In this review, we compile current evidence on the chemistry, environmental occurrence, and biological activity of major plastic-associated pollutants with emphasis on their role in viral infections. Phthalates such as di(2-ethylhexyl) phthalate (DEHP) and its metabolite MEHP modulate innate immune signaling and have been shown to exacerbate infections, including Dengue and Coxsackievirus B3. Other DEHP-like phthalates, such as dibutyl phthalate (DBP), exhibit consistent infection-enhancing effects, while high molecular weight or cyclical phthalates such as polyvinyl acetate phthalate (PVAP) display conflicting results in their modulation of viral infections. BPA, widely detected in human tissues, acts through endocrine and immune disruption, worsening viral myocarditis, and altering influenza outcomes. PFAS, persistent “forever chemicals,” reshape adaptive immune responses and are associated with increased susceptibility, viral persistence, or severity of infection of herpesvirus (HCMV, EBV, HSV-1), hepatitis virus, and influenza infection. Microplastics represent a distinct risk by acting as physical carriers for viruses and bacteria, stabilizing viral RNA, enhancing host cell uptake, and skewing immune responses. Together, these pollutants extend beyond toxicology into virology, providing novel insights into how environmental exposures converge with viral pathogenesis. We highlight mechanistic advances and critical knowledge gaps and propose future directions for integrating environmental health and infectious disease research. Full article
(This article belongs to the Section Viral Pathogens)
Show Figures

Figure 1

Back to TopTop