Journal Description
Quantum Beam Science
Quantum Beam Science
is an international, peer-reviewed, open access journal on research derived from beam line facilities and related techniques published quarterly online by MDPI.
- Open Access— free for readers, with article processing charges (APC) paid by authors or their institutions.
- High Visibility: indexed within Scopus, ESCI (Web of Science), CAPlus / SciFinder, Inspec, Astrophysics Data System, and other databases.
- Journal Rank: CiteScore - Q2 (Nuclear and High Energy Physics)
- Rapid Publication: manuscripts are peer-reviewed and a first decision is provided to authors approximately 26.8 days after submission; acceptance to publication is undertaken in 9.8 days (median values for papers published in this journal in the first half of 2025).
- Recognition of Reviewers: reviewers who provide timely, thorough peer-review reports receive vouchers entitling them to a discount on the APC of their next publication in any MDPI journal, in appreciation of the work done.
Impact Factor:
1.7 (2024);
5-Year Impact Factor:
1.5 (2024)
Latest Articles
A Compact Cryogenic Environment for In Situ Neutron Diffraction Under Mechanical Loading
Quantum Beam Sci. 2025, 9(4), 36; https://doi.org/10.3390/qubs9040036 - 5 Dec 2025
Abstract
Understanding the deformation mechanisms of materials at cryogenic temperatures is crucial for cryogenic engineering applications. In situ neutron diffraction is a powerful technique for probing such mechanisms under cryogenic conditions. In this study, we present the development of a compact cryogenic environment (CCE)
[...] Read more.
Understanding the deformation mechanisms of materials at cryogenic temperatures is crucial for cryogenic engineering applications. In situ neutron diffraction is a powerful technique for probing such mechanisms under cryogenic conditions. In this study, we present the development of a compact cryogenic environment (CCE) designed to facilitate in situ neutron diffraction experiments under mechanical loading at temperatures as low as 77 K with a maximum cooling rate of 6 K/min. The CCE features a polystyrene foam cryogenic chamber, aluminum blocks serving as neutron-transparent cold sinks, a liquid nitrogen dosing system for cryogen delivery, a nitrogen gas flow control system for thermal management, a process controller for temperature control, and a pair of thermally isolated grip adapters for mechanical testing. The CCE achieves reliable temperature control with minimal neutron attenuation. Utilizing this setup, we conducted three in situ neutron diffraction tensile tests on a 316L stainless steel at 77, 173, and 298 K, respectively. The results highlight the pronounced effects of cryogenic temperatures on the material’s deformation mechanisms, underscoring both the significance of cryogenic deformation studies and the effectiveness of the CCE.
Full article
(This article belongs to the Special Issue Quantum Beam Science: Feature Papers 2025)
►
Show Figures
Open AccessFeature PaperArticle
Implementation and Applications of a Precision Weak-Field Sample Environment for Polarized Neutron Reflectometry at J-PARC
by
Takayasu Hanashima, Kazuhiro Akutsu-Suyama, Yoshimasa Ohe, Satoshi Kasai, Hiroshi Kira, Azusa N. Hattori, Ai I. Osaka, Hidekazu Tanaka, Jun-Ichi Suzuki and Kazuhisa Kakurai
Quantum Beam Sci. 2025, 9(4), 35; https://doi.org/10.3390/qubs9040035 - 3 Dec 2025
Abstract
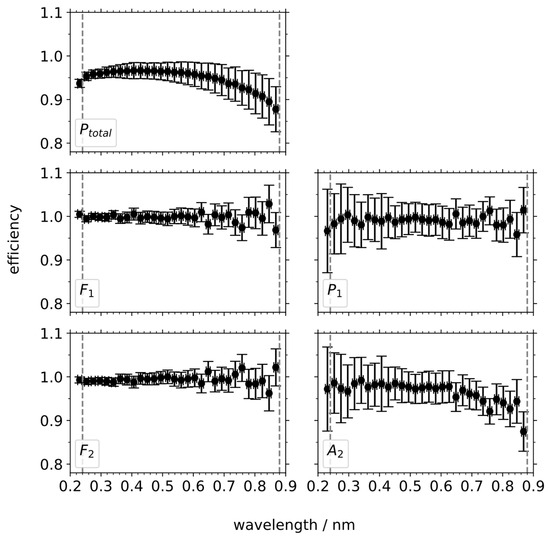
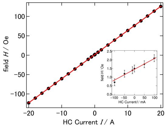
Polarized neutron reflectometry (PNR) analyzes surface and interfacial structures of materials. For the SHARAKU reflectometer at the Materials and Life Science Experimental Facility in the Japan Proton Accelerator Research Complex, precise measurements under weak magnetic fields, which are critical for modern spintronics, have
[...] Read more.
Polarized neutron reflectometry (PNR) analyzes surface and interfacial structures of materials. For the SHARAKU reflectometer at the Materials and Life Science Experimental Facility in the Japan Proton Accelerator Research Complex, precise measurements under weak magnetic fields, which are critical for modern spintronics, have long been challenging. To address this issue, we developed a precise weak-field sample environment equipped with a newly designed coil system. The magnetic field at the sample position can be applied within the surface/interface plane, either in the scattering plane (horizontal configuration) or perpendicular to it (vertical configuration). The horizontal configuration achieved high polarization efficiency across a stable field range, whereas the vertical configuration enabled the experiments to cross zero into negative fields. We demonstrated the instrument’s capability by resolving the remanent magnetic structure of an Fe film. Its applicability to soft matter was proven through analysis of a cellulose thin film with roughness using magnetic contrast variation PNR. In this case, precise weak-field control is essential to tune the magnetic contrast from the reference layer beneath the soft film. These results establish the system as a versatile platform for future PNR and polarized off-specular scattering experiments across a wide range of materials.
Full article
(This article belongs to the Section Instrumentation and Facilities)
►▼
Show Figures

Figure 1
Open AccessArticle
Temporal Variation in Nano-Enhanced Laser-Induced Plasma Spectroscopy (NELIPS)
by
Ashraf EL Sherbini and AbdelNasser Aboulfotouh
Quantum Beam Sci. 2025, 9(4), 34; https://doi.org/10.3390/qubs9040034 - 28 Nov 2025
Abstract
The NELIPS acronym stands for Nano-Enhanced Laser-Induced Plasma Spectroscopy. Within this framework, the temporal variation in the enhanced plasma emissions from pure nanomaterials with respect to corresponding bulk materials was monitored as a function of delay time in the range from 1 to
[...] Read more.
The NELIPS acronym stands for Nano-Enhanced Laser-Induced Plasma Spectroscopy. Within this framework, the temporal variation in the enhanced plasma emissions from pure nanomaterials with respect to corresponding bulk materials was monitored as a function of delay time in the range from 1 to 5–11 μs. Six different pure nanomaterials were employed including silver, zinc, aluminum, titanium, iron, and silicon. Radiation from pulsed Nd: YAG laser at wavelength 1064 nm was used to induce both bulk and pure nanomaterial plasmas under similar experimental conditions. Plasma emissions from both targets were monitored via optical emission spectroscopy technique (OES). The spectral line intensities (Signal-To-Noise ratio S/N) from the pure nanomaterial plasma turns out to decline in a constant logarithmic manner but at a slower rate than that from the corresponding bulk material plasma. Consequently, the measured average enhanced emission from different nanomaterials features an increase in an exponential manner with delay time. This trend of increase was accounted for via mathematical elaboration of enhanced emission based on the measured Signal-To-Noise data. Plasma parameters (electron density and temperature) were precisely measured at each delay time as well.
Full article
(This article belongs to the Special Issue Quantum Beam Science: Feature Papers 2025)
►▼
Show Figures

Figure 1
Open AccessFeature PaperReview
Japanese Sword Studies Using Neutron Bragg-Edge Transmission and Computed Tomography
by
Yoshiaki Kiyanagi, Kenichi Oikawa, Yoshihiro Matsumoto, Joseph Don Parker, Kenichi Watanabe, Hirotaka Sato and Takenao Shinohara
Quantum Beam Sci. 2025, 9(4), 33; https://doi.org/10.3390/qubs9040033 - 24 Nov 2025
Abstract
Japanese swords have a history of more than one thousand years and are recognized as metallic art objects. The sword-making process is not clearly understood, especially for old swords made before about 1600 A.D. Knowledge of structural information such as crystallite sizes and
[...] Read more.
Japanese swords have a history of more than one thousand years and are recognized as metallic art objects. The sword-making process is not clearly understood, especially for old swords made before about 1600 A.D. Knowledge of structural information such as crystallite sizes and anisotropy is important to understand the sword characteristics and the sword-making process. Bragg-edge transmission imaging is a useful noninvasive method that can extract this structural information continuously over a wide area of the sword. Neutron CT is powerful enough to detect quenched areas, voids, and precipitates. Using both methods, we measured more than 10 swords and obtained information on the two-dimensional crystallite size distribution, anisotropy parameter, lattice plane spacing, and quenched regions. Comparison of the results indicated the following features: the crystallite size distributions showed two patterns: an almost uniform distribution of small-sized crystallites, and mixed distributions of large- and small-sized crystallites. The patterns were observed in different eras and places. The preferred orientation showed different patterns, and strain areas due to quenching were observed in many swords. The quenched area showed a trend that the quenching was weaker for old swords than newer ones. CT images showed the boundaries of the quenched regions and a void in the layered structure for one sword, for which a layered structure was confirmed.
Full article
(This article belongs to the Special Issue Quantum Beam Science: Feature Papers 2025)
►▼
Show Figures

Figure 1
Open AccessFeature PaperReview
Advances in Pulsed Liquid-Based Nanoparticles: From Synthesis Mechanism to Application and Machine Learning Integration
by
Begench Gurbandurdyyev, Berdimyrat Annamuradov, Sena B. Er, Brayden Gross and Ali Oguz Er
Quantum Beam Sci. 2025, 9(4), 32; https://doi.org/10.3390/qubs9040032 - 5 Nov 2025
Abstract
Pulsed liquid-based nanoparticle synthesis has emerged as a versatile and environmentally friendly approach for producing a wide range of nanomaterials with tunable properties. Unlike conventional chemical methods, pulsed techniques—such as pulsed laser ablation in liquids (PLAL), electrical discharge, and other energy-pulsing methods—enable the
[...] Read more.
Pulsed liquid-based nanoparticle synthesis has emerged as a versatile and environmentally friendly approach for producing a wide range of nanomaterials with tunable properties. Unlike conventional chemical methods, pulsed techniques—such as pulsed laser ablation in liquids (PLAL), electrical discharge, and other energy-pulsing methods—enable the synthesis of high-purity nanoparticles without the need for toxic precursors or stabilizing agents. This review provides a comprehensive overview of the fundamental mechanisms driving nanoparticle formation under pulsed conditions, including plasma–liquid interactions, cavitation, and shockwave dynamics. We discuss the influence of key synthesis parameters, explore different pulsed energy sources, and highlight the resulting effects on nanoparticle size, shape, and composition. The review also surveys a broad spectrum of material systems and outlines advanced characterization techniques for analyzing synthesized nanostructures. Furthermore, we examine current and emerging applications in biomedicine, catalysis, sensing, energy, and environmental remediation. Finally, we address critical challenges such as scalability, reproducibility, and mechanistic complexity, and propose future directions for advancing the field through hybrid synthesis strategies, real-time diagnostics, and machine learning integration. By bridging mechanistic insights with practical applications, this review aims to guide researchers toward more controlled, sustainable, and innovative nanoparticle synthesis approaches.
Full article
(This article belongs to the Special Issue Quantum Beam Science: Feature Papers 2025)
►▼
Show Figures

Figure 1
Open AccessFeature PaperArticle
Multi-Scale PbSe Structures: A Complete Transformation Using a Biphasic Mixture of Precursors
by
Hugo Rojas-Chávez, Nina Daneu, Guillermo Carbajal-Franco, Marcela Achimovičová, José M. Juárez-García and Manuel A. Valdés-Madrigal
Quantum Beam Sci. 2025, 9(4), 31; https://doi.org/10.3390/qubs9040031 - 14 Oct 2025
Abstract
With the recently acquired knowledge of the use of a multiphase mixture of precursors under electron beam irradiation (EBI), new possibilities were opened for this technique. In the present work, we obtained quantum dots, nanocrystals, nanoparticles, and grains of PbSe with a sintered
[...] Read more.
With the recently acquired knowledge of the use of a multiphase mixture of precursors under electron beam irradiation (EBI), new possibilities were opened for this technique. In the present work, we obtained quantum dots, nanocrystals, nanoparticles, and grains of PbSe with a sintered appearance using a biphasic mixture of PbSe and PbSeO3 under EBI. High-energy milling was used to obtain the biphasic mixture of precursors, which is composed of agglomerates with sizes ranging from ~400 to ~1700 nm, but nanoparticles were also present. The structural details of the biphasic mixture were studied using X-ray diffraction and the Rietveld method. The driving force of the EBI caused instantaneous physical and chemical changes due to the high internal energy of the biphasic mixture of precursors. The abrupt release of high internal energy, due to localized heating effects during EBI, gave way to the formation of multi-scale PbSe structures. Large particles with a sintered appearance formed near the electron beam impact point and in regions between ~800 nm and ~1400 nm, while well-defined faceted nanostructures were predominantly observed beyond ~1400 nm. The latter tended to be surrounded by {200} facets as the main growth direction. Furthermore, coalescence was anticipated to occur during EBI. It occurred simultaneously with the sublimation mechanism when the particle size was below the critical size of 10 nm. Multi-scale PbSe structures, obtained via EBI, are promising for developing thermoelectric devices due to their crystallinity and nanostructured features.
Full article
(This article belongs to the Special Issue New Challenges in Electron Beams)
►▼
Show Figures

Figure 1
Open AccessArticle
Methodological Approach to the Characterization of Single-Photon Sources Using a Hanbury Brown–Twiss Interferometer in a Laser-Excited Fluorescence Microscope
by
Sergey Mikushev and Aleksei Kalinichev
Quantum Beam Sci. 2025, 9(4), 30; https://doi.org/10.3390/qubs9040030 - 13 Oct 2025
Abstract
The development of quantum-enhanced technologies requires single-photon sources, as well as methods for their characterization and verification. Here, we describe a methodology for measuring the correlation function of a single-photon source using an experimental setup that comprises a laser-excited fluorescence microscope equipped with
[...] Read more.
The development of quantum-enhanced technologies requires single-photon sources, as well as methods for their characterization and verification. Here, we describe a methodology for measuring the correlation function of a single-photon source using an experimental setup that comprises a laser-excited fluorescence microscope equipped with a Hanbury Brown–Twiss intensity interferometer as one of the detection systems. Measurements of the response function of the device and the reference samples are performed. The second-order autocorrelation function of the exciton state of GaAs quantum dots in AlGaAs nanowires is obtained and reveals a single-photon emission.
Full article
(This article belongs to the Section Spectroscopy Technique)
►▼
Show Figures

Figure 1
Open AccessFeature PaperReview
Review of VHEE Beam Energy Evolution for FLASH Radiation Therapy Under Ultra-High Dose Rate (UHDR) Dosimetry
by
Nikolaos Gazis and Evangelos Gazis
Quantum Beam Sci. 2025, 9(4), 29; https://doi.org/10.3390/qubs9040029 - 9 Oct 2025
Abstract
Very-high-energy electron (VHEE) beams, ranging from 50 to 300 or 400 MeV, are the subject of intense research investigation, with considerable interest concerning applications in radiation therapy due to their accurate energy deposition into large and deep-seated tissues, sharp beam edges, high sparing
[...] Read more.
Very-high-energy electron (VHEE) beams, ranging from 50 to 300 or 400 MeV, are the subject of intense research investigation, with considerable interest concerning applications in radiation therapy due to their accurate energy deposition into large and deep-seated tissues, sharp beam edges, high sparing properties, and minimal radiation effects on normal tissues. The very-high-energy electron beam, which ranges from 50 to 400 MeV, and Ultra-High-Energy Electron beams up to 1–2 GeV, are considered extremely effective for human tumor therapy while avoiding the spatial requirements and cost of proton and heavy ion facilities. Many research laboratories have developed advanced testing infrastructures with VHEE beams in Europe, the USA, Japan, and other countries. These facilities aim to accelerate the transition to clinical application, following extensive simulations for beam transport that support preclinical trials and imminent clinical deployment. However, the clinical implementation of VHEE for FLASH radiation therapy requires advances in several areas, including the development of compact, stable, and efficient accelerators; the definition of sophisticated treatment plans; and the establishment of clinically validated protocols. In addition, the perspective of VHEE for accessing ultra-high dose rate (UHDR) dosimetry presents a promising procedure for the practical integration of FLASH radiotherapy for deep tumors, enhancing normal tissue sparing while maintaining the inherent dosimetry advantages. However, it has been proven that a strong effort is necessary to improve the main operational accelerator conditions, ensuring a stable beam over time and across space, as well as compact infrastructure to support the clinical implementation of VHEE for FLASH cancer treatment. VHEE-accessing ultra-high dose rate (UHDR) perspective dosimetry is integrated with FLASH radiotherapy and well-prepared cancer treatment tools that provide an advantage in modern oncology regimes. This study explores technological progress and the evolution of electron accelerator beam energy technology, as simulated by the ASTRA code, for developing VHEE and UHEE beams aimed at medical applications. FLUKA code simulations of electron beam provide dose distribution plots and the range for various energies inside the phantom of PMMA.
Full article
(This article belongs to the Section Instrumentation and Facilities)
►▼
Show Figures

Figure 1
Open AccessReview
Review of EDM-Based Machining of Nickel–Titanium Shape Memory Alloys
by
Sujeet Kumar Chaubey and Kapil Gupta
Quantum Beam Sci. 2025, 9(4), 28; https://doi.org/10.3390/qubs9040028 - 26 Sep 2025
Abstract
Shape memory alloy (SMA) materials are valued for their shape memory effect, superelasticity, and biocompatibility, making them an ideal choice for applications in biomedical, aerospace, and actuator fields. Nickel–titanium (NiTi) SMA is a promising biomedical material. It is widely used in the manufacture
[...] Read more.
Shape memory alloy (SMA) materials are valued for their shape memory effect, superelasticity, and biocompatibility, making them an ideal choice for applications in biomedical, aerospace, and actuator fields. Nickel–titanium (NiTi) SMA is a promising biomedical material. It is widely used in the manufacture of biomedical instruments, devices, implants, and surgical tools. However, its complex thermo-mechanical behavior and poor machinability pose challenges for conventional machining. To manufacture high-quality nitinol parts, traditional machining processes are being replaced by advanced machining technologies. Electric discharge machining (EDM) is an advanced machining technique whose mechanism of material removal involves erosion caused by plasma formation and spark generation. It has proven effective for processing difficult-to-machine materials. This review summarizes EDM and its variants, including hybrid EDM, with a focus on machining NiTi-SMA materials for biomedical, aerospace, microelectromechanical systems, and automotive applications, and systematically explores key factors such as process parameters, material removal mechanisms, surface integrity, tool wear, and optimization strategies. This review begins with an introduction to nitinol (i.e., NiTi-SMA) and its variants, followed by an in-depth discussion of plasma formation, spark generation mechanisms, and other key aspects of EDM. It then provides a detailed analysis of notable past research on the machining of NiTi SMA materials using EDM and its variants. This paper concludes with insights into future research directions, aiming to advance EDM-based machining of SMA materials and serve as a valuable resource for researchers and engineers in the field.
Full article
(This article belongs to the Section Engineering and Structural Materials)
►▼
Show Figures

Figure 1
Open AccessFeature PaperArticle
Measurement of the 33S(n,α)30Si Thermal Cross-Section with Slow Neutrons at ILL
by
Javier Praena, Begoña Fernández, Miguel Macías, Ignacio Porras, María Pedrosa-Rivera, Hanna Koivunoro, Marta Sabaté-Gilarte and Fernando Arias de Saavedra
Quantum Beam Sci. 2025, 9(3), 27; https://doi.org/10.3390/qubs9030027 - 22 Sep 2025
Abstract
This work is focused on an accurate experimental determination of the thermal 33S(n, )30Si cross-section. This cross-section is a critical parameter for the potential use of 33S as a cooperative target in boron neutron capture therapy
[...] Read more.
This work is focused on an accurate experimental determination of the thermal 33S(n, )30Si cross-section. This cross-section is a critical parameter for the potential use of 33S as a cooperative target in boron neutron capture therapy or to understand its role in the stellar nucleosynthesis of 36S. At present, there are large discrepancies in this experimental value; therefore, in this work we measured it relative to the 10B(n, )7Li standard cross-section at the high flux reactor of the Institut Laue-Langevin. The experimental setup was based on a double-sided silicon strip detector. Two 33S samples were used. One 10B sample was used as reference. Particular attention was taken to the characterization of the mass thickness of the samples before and after the experiment because of the high volatility of 33S. Such work was already published in a dedicated paper. A cross-check of the 10B sample was carried out with the neutron flux monitor at the n_TOF-CERN facility. The obtained cross-section of (280 ± 33) mb is significantly higher than the existing data.
Full article
(This article belongs to the Special Issue Quantum Beam Science: Feature Papers 2025)
►▼
Show Figures

Figure 1
Open AccessFeature PaperArticle
Strain and Electric Field Engineering for Enhanced Thermoelectric Performance in Monolayer MoS2: A First-Principles Investigation
by
Li Sun, Ensi Cao, Wentao Hao, Bing Sun, Lingling Yang and Dongwei Ao
Quantum Beam Sci. 2025, 9(3), 26; https://doi.org/10.3390/qubs9030026 - 18 Aug 2025
Abstract
Optimizing thermoelectric (TE) performance in two-dimensional materials has emerged as a pivotal strategy for sustainable energy conversion. This study systematically investigates the regulatory mechanisms of uniaxial strain (−2% to +2%), temperature (300–800 K), and out-of-plane electric fields (0–1.20 eV/Å) on the thermoelectric properties
[...] Read more.
Optimizing thermoelectric (TE) performance in two-dimensional materials has emerged as a pivotal strategy for sustainable energy conversion. This study systematically investigates the regulatory mechanisms of uniaxial strain (−2% to +2%), temperature (300–800 K), and out-of-plane electric fields (0–1.20 eV/Å) on the thermoelectric properties of monolayer MoS2 via first-principles calculations combined with Boltzmann transport theory. Key findings reveal that uniaxial strain modulates the bandgap (1.56–1.86 eV) and carrier transport, balancing the trade-off between the Seebeck coefficient and electrical conductivity. Temperature elevation enhances carrier thermal excitation, boosting the power factor to 28 × 1010 W·m−1·K−2·s−1 for p-type behavior and 27 × 1010 W·m−1·K−2·s−1 for n-type behavior at 800 K. The breakthrough lies in the exceptional suppression of lattice thermal conductivity (κ1) by out-of-plane electric fields—at 1.13 eV/Å, κ1 is reduced to single-digit values (W·m−1·K−1), driving ZT to ~4 for n-type MoS2 at 300 K. This work demonstrates that synergistic engineering of strain, temperature, and electric fields effectively decouples the traditional trade-off among the Seebeck coefficient, conductivity, and thermal conductivity, providing a core optimization pathway for 2D thermoelectric materials via electric field-mediated κ1 regulation.
Full article
(This article belongs to the Special Issue Quantum Beam Science: Feature Papers 2025)
►▼
Show Figures

Figure 1
Open AccessArticle
Validation of an EGSnrc Monte Carlo Model of a 10 MV Photon Beam for Varian Clinac iX Linac, Including Flattening and Flattening-Free Modes
by
Wafa M. Al-Saleh
Quantum Beam Sci. 2025, 9(3), 25; https://doi.org/10.3390/qubs9030025 - 14 Aug 2025
Abstract
Modelling of linear accelerators using the Monte Carlo method is critical for precise radiotherapy planning. In addition, detailed and accurate dose estimation to the organ at risk can be assessed and optimized. In this study, EGSnrc Monte Carlo code was utilized to model,
[...] Read more.
Modelling of linear accelerators using the Monte Carlo method is critical for precise radiotherapy planning. In addition, detailed and accurate dose estimation to the organ at risk can be assessed and optimized. In this study, EGSnrc Monte Carlo code was utilized to model, tune, and validate a 10 MV photon head model of a Varian Clinac iX linear accelerator for different field sizes, including flattening and flattening-free modes. Gamma analysis was utilized to compare the model with measured data to determine the best parameters for the incident electron on the target. The main results revealed that, for both flattening and flattening-free modes, the incident electron’s optimal energy is 9.5 MeV, with a 0.1 cm circular full width half maximum (FWHM) and a 0.07° angular divergence. The model is suitable for field sizes extending from 1 × 1 to 30 × 30 cm2. The comparison of large field sizes, which includes both 20 × 20 and 30 × 30 cm2, reflects the accuracy of the geometrical model of the flattening filter. Altering the FWHM has a notable effect on the profile, particularly in the penumbral region, although adjusting the angular divergence has little effect. The dose rate for the flattening filter-free beam compared to the flattening filter beam increased by a factor of four. The validated model demonstrates excellent agreement with measured data. Thus, it can provide accurate dose calculations and can be used in future studies to test treatment accuracy and patient safety, especially for advanced radiotherapy techniques.
Full article
(This article belongs to the Section Medical and Biological Applications)
►▼
Show Figures

Figure 1
Open AccessArticle
Fast Transformation of PbTe Using a Multiphase Mixture of Precursors: First Insights
by
Hugo Rojas-Chávez, Nina Daneu, Manuel A. Valdés-Madrigal, Guillermo Carbajal-Franco, Marcela Achimovičová and José M. Juárez-García
Quantum Beam Sci. 2025, 9(3), 24; https://doi.org/10.3390/qubs9030024 - 11 Jul 2025
Cited by 1
Abstract
For the first time, a mixture of PbTe and Pb- and Te-oxides coated with carbon, under electron beam irradiation (EBI), was transformed into quantum dots, nanocrystals, nanoparticles and grains of PbTe with a sintered appearance. A small portion of non-stoichiometric phases was also
[...] Read more.
For the first time, a mixture of PbTe and Pb- and Te-oxides coated with carbon, under electron beam irradiation (EBI), was transformed into quantum dots, nanocrystals, nanoparticles and grains of PbTe with a sintered appearance. A small portion of non-stoichiometric phases was also obtained. By selecting conditions that favor the instantaneous transformation, the Gibbs free energy barrier is lowered for obtaining different PbTe structures. The driving force associated with the high-energy milling requires 4 h of processing time to reach a complete transformation, while a high-energy source kinetically affects precursor surfaces to cause an abrupt global chemical transformation instantly. Importantly, the size of the PbTe structures increases as they approach the irradiation point, implying a growth process that is affected by the local temperature reached during the EBI. Imaging after the EBI process revealed morphological variations in PbTe, which can be attractive for use in thermoelectric materials. The results of this study provide the first insights into electron-beam-induced reactions using a multiphase mixture of precursors. Therefore, it is believed that this proposal can also be applied to obtain other binary semiconductor structures, even ternary ones.
Full article
(This article belongs to the Special Issue New Challenges in Electron Beams)
►▼
Show Figures

Figure 1
Open AccessFeature PaperArticle
DNA Damage Induced by Fast Neutron and Gamma Rays Evaluated Using qPCR
by
Youichirou Matuo, Miyabi Yanami, Shingo Tamaki, Yoko Akiyama, Yoshinobu Izumi, Fuminobu Sato, Isao Murata and Kikuo Shimizu
Quantum Beam Sci. 2025, 9(3), 23; https://doi.org/10.3390/qubs9030023 - 7 Jul 2025
Abstract
We developed a novel dosimetric method using DNA molecules as a radiation sensor. The amount of neutron or gamma rays irradiated DNA damage was determined by evaluating the amount of DNA serving as a template for qPCR. The absorbed doses in the samples
[...] Read more.
We developed a novel dosimetric method using DNA molecules as a radiation sensor. The amount of neutron or gamma rays irradiated DNA damage was determined by evaluating the amount of DNA serving as a template for qPCR. The absorbed doses in the samples were estimated using the tally of the “t-product” in the data from the PHITS Monte Carlo particle transport simulation code. The neutron fluence for each sample was measured using the niobium activation reaction 93Nb (n, 2n) 92mNb, and the absorbed dose per neutron fluence was estimated to be 7.1 × 10−11 Gy/(n/cm2). Based on the PHITS modeling, the effects of neutron beams are attributed to the combination of proton and alpha particle beams. The results from qPCR showed that neutrons caused more DNA damage than gamma rays. The qPCR method demonstrated that neutron irradiation caused 1.13-fold more DNA damage compared to gamma ray irradiation; however, this result did not show a statistically significant difference. This method we developed, using DNA molecules as a radiation sensor, may be useful for biodosimetry.
Full article
(This article belongs to the Section Medical and Biological Applications)
►▼
Show Figures

Figure 1
Open AccessArticle
A Solid-State Three-Stage Nd:YVO4 Laser Amplifier System Based on AOM Pulse Picker-Integrated Modulator
by
Zhenyu Li, Yawen Zheng, Zhengtao Zhang, Peipei Lu, Zhen Zeng, Zhongsheng Zhai and Boya Xie
Quantum Beam Sci. 2025, 9(3), 22; https://doi.org/10.3390/qubs9030022 - 1 Jul 2025
Abstract
In recent years, ultrafast bursts with high power have been applied in many significant fields. However, the peak power of the pulse train generated by fiber lasers is limited by fiber characteristics from nonlinear effects, which can only be at the level of
[...] Read more.
In recent years, ultrafast bursts with high power have been applied in many significant fields. However, the peak power of the pulse train generated by fiber lasers is limited by fiber characteristics from nonlinear effects, which can only be at the level of milliwatt. In this research, the pulse frequency is reduced by an AOM pulse picker-integrated modulator. With M2 and pulse width guaranteed, the frequency of the reduced pulse train is amplified by a solid-state three-stage Nd:YVO4 amplifier system. Finally, the peak power of the pulse train is increased. The final output pulse repetition rate of the experiment is 1 MHz with a pulse width of 8.09 picoseconds and a peak power of up to 3.7 MW.
Full article
(This article belongs to the Section High-Power Laser Physics)
►▼
Show Figures

Figure 1
Open AccessArticle
Anthropogenic Influences on the Chemical and Mineral Composition in Pond Sediment by X-Ray Absorption Spectroscopy and X-Ray Powder Diffraction
by
Jalal Sawas, Derek Blanco, Mary Kroll, Aleida Perez, Juergen Thieme, Eric Dooryhee, Sarah Nicholas, Paul Northrup and Dana Schaefer
Quantum Beam Sci. 2025, 9(2), 21; https://doi.org/10.3390/qubs9020021 - 19 Jun 2025
Abstract
Manmade detention ponds have historically been impacted by anthropogenic activities such as rainwater runoff, car emissions, and drainage from infrastructures, which can lead to complications for pond ecosystems. Sediment samples collected from the northern, southern, western, and eastern regions of a small pond
[...] Read more.
Manmade detention ponds have historically been impacted by anthropogenic activities such as rainwater runoff, car emissions, and drainage from infrastructures, which can lead to complications for pond ecosystems. Sediment samples collected from the northern, southern, western, and eastern regions of a small pond on a suburban high school campus on Long Island, NY, were analyzed for potential chemical changes resulting from an inundation of water by a broken water main. Incorporating synchrotron X-ray techniques, sediment was analyzed using Submicron Resolution Spectroscopy, Tender Energy X-ray Spectroscopy, and X-ray Powder Diffraction to examine heavy metals, light elements, and minerals. Results include a Zn:Cu ratio increase from 4:1 to 10:1 in the eastern zone and a higher heavy metal presence in the western zone for all elements examined, with greater distribution throughout the pond post-inundation. Lighter elements appear to remain relatively unchanged. The appearance of diopside in the eastern zone post-inundation samples suggests contamination from the water main break, while the presence of carbonate minerals in the western zone is consistent with erosion of asphalt material from the adjacent parking lot.
Full article
(This article belongs to the Section Spectroscopy Technique)
►▼
Show Figures

Figure 1
Open AccessArticle
A Focusing Supermirror for Time-of-Flight Grazing-Incidence Small-Angle Neutron Scattering Measurement
by
Dai Yamazaki, Ryuji Maruyama, Hiroyuki Aoki, Takayasu Hanashima, Kazuhiro Akutsu-Suyama, Noboru Miyata and Kazuhiko Soyama
Quantum Beam Sci. 2025, 9(2), 20; https://doi.org/10.3390/qubs9020020 - 10 Jun 2025
Abstract
This study developed a neutron-beam-focusing supermirror for grazing-incidence small-angle neutron scattering (GISANS) measurements. We adopted point-to-point beam focusing based on an ellipse whose two foci correspond to a virtual point source and a spot on the detector surface. The focusing supermirror was fabricated
[...] Read more.
This study developed a neutron-beam-focusing supermirror for grazing-incidence small-angle neutron scattering (GISANS) measurements. We adopted point-to-point beam focusing based on an ellipse whose two foci correspond to a virtual point source and a spot on the detector surface. The focusing supermirror was fabricated by depositing NiC/Ti supermirror film with ion-beam sputtering on a precise elliptic surface of fused quartz figured using the elastic emission machining technique. Neutron measurements at the pulsed neutron reflectometer BL17 of the MLF, J-PARC, successfully demonstrated that the focusing supermirror enhances the beam intensity twentyfold compared with an optimally collimated beam, achieving a signal-to-background ratio of the focal spot as high as 500. The mirror can be readily installed and used at BL17 for time-of-flight GISANS measurements.
Full article
(This article belongs to the Section Radiation Scattering Fundamentals and Theory)
►▼
Show Figures

Figure 1
Open AccessFeature PaperArticle
Diffracted X-Ray Tracking for Analysis of Heterogeneity of Hydrogels
by
Hiroshi Sekiguchi, Taiga Shinohara and Isamu Akiba
Quantum Beam Sci. 2025, 9(2), 19; https://doi.org/10.3390/qubs9020019 - 3 Jun 2025
Abstract
Diffracted X-ray tracking (DXT) was applied to evaluate spatial heterogeneities in polyacrylamide gel networks. Diffraction spots from the (111) planes of gold nanocrystals (GNPs) encapsulated in the gels exhibited temporal motion during time-resolved X-ray diffraction measurements using a quasi-monochromatic X-ray beam. This observation
[...] Read more.
Diffracted X-ray tracking (DXT) was applied to evaluate spatial heterogeneities in polyacrylamide gel networks. Diffraction spots from the (111) planes of gold nanocrystals (GNPs) encapsulated in the gels exhibited temporal motion during time-resolved X-ray diffraction measurements using a quasi-monochromatic X-ray beam. This observation indicates that the GNPs undergo rotational motion within the gel matrix. An analysis of the diffraction spot trajectories revealed that the rotational diffusion coefficient of GNPs in homogeneous gels follows a single Gaussian distribution, whereas that of heterogeneous PAAm gels, with regions of varying cross-linking density, is described by a bimodal distribution. These findings demonstrate that DXT is a powerful technique for analyzing polymer network heterogeneity.
Full article
(This article belongs to the Section Structure and Dynamics of Functional Materials)
►▼
Show Figures

Graphical abstract
Open AccessArticle
Study of Average Characteristic Parameters of Isotopes, Isotones and Isobars by Electron and Proton Scattering
by
Mirteimour Mirabutalybov and Mina Aliyeva
Quantum Beam Sci. 2025, 9(2), 18; https://doi.org/10.3390/qubs9020018 - 6 May 2025
Abstract
►▼
Show Figures
By way of studying the difference of the proton and neutron distributions in isotopes, isotones and isobars, we used the results of theoretical calculations obtained from the scattering of protons and electrons on nuclei. To calculate the differential cross section of proton scattering,
[...] Read more.
By way of studying the difference of the proton and neutron distributions in isotopes, isotones and isobars, we used the results of theoretical calculations obtained from the scattering of protons and electrons on nuclei. To calculate the differential cross section of proton scattering, an expression was obtained for the distorted-wave formfactor of the nucleus, which, using the mathematical method proposed by us, is expressed through the plane-wave Born formfactor. In addition, using the data for elastic scattering of electrons on nuclei, the average characteristic parameters of , , , , nuclei were determined. In this work, for calculating the differential cross section of the elastic scattering of electrons on spherical nuclei, the Fermi function was chosen as a trial function of the proton density distribution. In the calculations, the pole method was used to solve the Born integral of the target nucleus formfactor. Based on an analysis of the calculations of the differential cross section of the elastic scattering of electrons and the calculations of the differential cross section of the scattering of protons on the same nuclei, the main patterns of behavior of the general characteristics of nuclei, such as the root mean square radius (RMS), diffuseness, and the isotopic and isotonic shifts of parameters, were determined. For the nucleus, the radial dependence of the nucleon density distribution on the center of the nucleus, as well as the ratio of proton to neutron densities, have been studied. Changes in the distribution of densities of protons and neutrons with the addition of two neutrons to nucleus as well as changes in the distributions of densities of protons and neutrons when two neutrons are replaced by protons in isobars have been studied. The results of changes in the distribution of densities of protons and neutrons were justified on the basis of the shell model of the nucleus, using characteristic parameters determined for these nuclei from elastic electron scattering. A joint analysis of experimental work on the elastic scattering of electrons and protons on spherical nuclei leads to the conclusion that the distribution patterns of protons and neutrons differ from each other. In particular, this follows from calculations of the RMS of proton, neutron and nucleon distributions.
Full article

Figure 1
Open AccessArticle
An Electrospinning Sample Delivery Device for Synchrotron-Based Biomacromolecule Serial Crystallography Research
by
Li Yu, Zhijun Wang, Qin Xu, Bo Sun, Qingjie Xiao, Weiwei Wang, Yuzhu Wang, Qisheng Wang and Jianhua He
Quantum Beam Sci. 2025, 9(2), 17; https://doi.org/10.3390/qubs9020017 - 5 May 2025
Cited by 1
Abstract
Serial crystallography is a rapidly advancing experimental technology that has seen significant development in recent years. This technique enables the continuous delivery of a series of protein crystal samples to the X-ray beam, allowing for the collection of diffraction data from a large
[...] Read more.
Serial crystallography is a rapidly advancing experimental technology that has seen significant development in recent years. This technique enables the continuous delivery of a series of protein crystal samples to the X-ray beam, allowing for the collection of diffraction data from a large number of crystals at ambient temperature. Despite its advancements, serial crystallography still possesses considerable potential for further development within synchrotron radiation platforms. Currently, several challenges hinder the progress of this technology, including the preparation of numerous microcrystal samples, methods for sample delivery, data acquisition efficiency, and data processing techniques. The device introduced in this paper is designed to facilitate serial crystallographic experiments at the synchrotron radiation station, employing electrospinning in the vacuum cavity to reduce the average flux, mitigate the effects of air ionization on the Taylor cone, and enhance the stability of Taylor cone during the data acquisition process. The diffraction pattern of lysozyme crystals was successfully acquired with this device at the beamlines of the Shanghai Synchrotron Radiation Facility (SSRF).
Full article
(This article belongs to the Section Instrumentation and Facilities)
►▼
Show Figures

Figure 1
Highly Accessed Articles
Latest Books
E-Mail Alert
News
Topics
Special Issues
Special Issue in
QuBS
Quantum Beam Science: Feature Papers 2025
Guest Editor: Klaus-Dieter LissDeadline: 31 December 2025
Special Issue in
QuBS
Laser-Assisted Facilities
Guest Editor: Francesco SchillaciDeadline: 31 January 2026
Special Issue in
QuBS
Quantum Beam and Its Applications for Quantum Technologies
Guest Editor: Takeshi OhshimaDeadline: 28 February 2026
Special Issue in
QuBS
New Challenges in Electron Beams
Guest Editor: Wei JiangDeadline: 31 July 2026



