Journal Description
Quantum Reports
Quantum Reports
is an international, peer-reviewed, open access journal on quantum science. It publishes original research articles and review articles in all quantum subfields, from basic quantum theory to a broad array of applications. Quantum Reports is published quarterly online by MDPI.
- Open Access— free for readers, with article processing charges (APC) paid by authors or their institutions.
- High Visibility: indexed within ESCI (Web of Science), Scopus and other databases.
- Journal Rank: CiteScore - Q2 (Physics and Astronomy (miscellaneous))
- Rapid Publication: manuscripts are peer-reviewed and a first decision is provided to authors approximately 18.5 days after submission; acceptance to publication is undertaken in 2.9 days (median values for papers published in this journal in the first half of 2025).
- Recognition of Reviewers: reviewers who provide timely, thorough peer-review reports receive vouchers entitling them to a discount on the APC of their next publication in any MDPI journal, in appreciation of the work done.
Impact Factor:
1.3 (2024)
Latest Articles
Quantum-Enhanced Facial Biometrics: A Hybrid Framework with Post-Quantum Security
Quantum Rep. 2025, 7(4), 64; https://doi.org/10.3390/quantum7040064 - 15 Dec 2025
Abstract
►
Show Figures
Face recognition systems are widely used for biometric authentication but face two major problems. First, processing high-resolution images and large databases requires extensive computational time. Second, emerging quantum computers threaten to break the encryption methods that protect stored facial templates. Quantum computers will
[...] Read more.
Face recognition systems are widely used for biometric authentication but face two major problems. First, processing high-resolution images and large databases requires extensive computational time. Second, emerging quantum computers threaten to break the encryption methods that protect stored facial templates. Quantum computers will soon be able to decrypt current security systems, putting biometric data at permanent risk since facial features cannot be changed like passwords. This paper presents a solution that uses quantum computing to speed up face recognition while adding quantum-resistant security. It applies quantum principal component analysis (QPCA) and the SWAP test to reduce the computational complexity and implement lattice-based cryptography, which quantum computers cannot break. Experimental evaluation demonstrates a significant overall speedup with improved accuracy. The proposed framework achieves a significant improvement in performance, provides 125-bit security against quantum attacks and compresses the data storage requirements significantly. These results demonstrate that quantum-enhanced face recognition can solve both the speed and security challenges facing current biometric systems, making it practical for real-world deployment as quantum technology advances.
Full article
Open AccessArticle
The Dirac Equation in a Linear Potential and Quantized Electromagnetic Field: Spin–Rest Entanglement
by
Yassine Chargui and Sultan Al-Harbi
Quantum Rep. 2025, 7(4), 63; https://doi.org/10.3390/quantum7040063 - 12 Dec 2025
Abstract
►▼
Show Figures
We derive the exact eigenfunctions and energy equation for a Dirac particle in a monochromatic quantized electromagnetic plane wave and a confining scalar linear potential. It is shown that the system’s energy spectrum exhibits a forbidden region that vanishes when the particle–field interaction
[...] Read more.
We derive the exact eigenfunctions and energy equation for a Dirac particle in a monochromatic quantized electromagnetic plane wave and a confining scalar linear potential. It is shown that the system’s energy spectrum exhibits a forbidden region that vanishes when the particle–field interaction is switched off. We then analyze the effect of particle–field coupling on quantum entanglement between the particle’s spin and the remaining degrees of freedom. Our results show that the profile of the spin–rest entanglement, measured by negativity and Von Neumann entropy, follows the energy profile of the state: it is monotonic when the energy is monotonic, and non-monotonic otherwise. These results may provide insights into quantum correlations in Dirac-like systems describing low-energy excitations of graphene and trapped ions.
Full article

Figure 1
Open AccessArticle
Quantum Monogamy with Predetermined Events
by
Ghenadie N. Mardari
Quantum Rep. 2025, 7(4), 62; https://doi.org/10.3390/quantum7040062 - 11 Dec 2025
Abstract
The concept of correlation appears straightforward: measurement outcomes coincide, and patterns emerge. For any record of events, the coefficients are uniquely determined. Thus, if correlations change spontaneously, as seen in quantum monogamy, then individual behavior must have changed first. Surprisingly, this is not
[...] Read more.
The concept of correlation appears straightforward: measurement outcomes coincide, and patterns emerge. For any record of events, the coefficients are uniquely determined. Thus, if correlations change spontaneously, as seen in quantum monogamy, then individual behavior must have changed first. Surprisingly, this is not always true. When two observables are mutually exclusive, they cannot coincide objectively and need to be grouped across time. Yet, sectioning the flow of events into “iterations” is not trivial in this case. Even with blind windows of coincidence, the same order of outcomes can produce different coefficients of correlation, depending on the number of joint measurements. Therefore, quantum monogamy can happen with fixed pre-determined events. A new concept (“subjective correlation”) is required to explain this phenomenon.
Full article
(This article belongs to the Special Issue Exclusive Feature Papers of Quantum Reports in 2024–2025)
►▼
Show Figures

Figure 1
Open AccessArticle
Geometric Origin of Quantum Waves from Finite Action
by
Bin Li
Quantum Rep. 2025, 7(4), 61; https://doi.org/10.3390/quantum7040061 - 8 Dec 2025
Abstract
►▼
Show Figures
Quantum mechanics postulates wave–particle duality and assigns amplitudes of the form , yet no existing formulation explains why physical observables depend only on the phase of the action. Here we show that if the quantum of action
[...] Read more.
Quantum mechanics postulates wave–particle duality and assigns amplitudes of the form , yet no existing formulation explains why physical observables depend only on the phase of the action. Here we show that if the quantum of action is finite, the classical action manifold becomes compact under the identification , yielding a action space on which only modular action is observable. Wave interference then follows as a geometric necessity: a finite action quantum forces physical amplitudes to live on a circle, while the classical limit arises when the modular spacing becomes negligible compared with macroscopic actions. We formulate this as a compact-action theorem. Chronon Field Theory (ChFT) provides the physical origin of : its causal field carries a quantized symplectic flux , making Planck’s constant a geometric topological invariant rather than an imposed parameter. Within this medium, the Real–Now–Front (RNF) supplies a local reconstruction rule that reproduces the structure of the Feynman path integral, the Schrödinger evolution, the Born rule, and macroscopic definiteness as consequences of geometric compatibility rather than supplemental postulates. Phenomenologically, identifying the electron as the minimal chronon soliton—carrying the fundamental unit of symplectic flux—links its spin, charge, and stability to topological properties of the chronon field, yielding concrete experimental signatures. Thus the compact-action/RNF framework provides a unified geometric origin for quantum interference, measurement, and matter, together with falsifiable predictions of ChFT.
Full article

Figure 1
Open AccessReview
Classical and Quantum Linear Wave Equations: Review, Applications and Perspectives
by
Zdzislaw E. Musielak
Quantum Rep. 2025, 7(4), 60; https://doi.org/10.3390/quantum7040060 - 5 Dec 2025
Abstract
Theories of modern physics are based on dynamical equations that describe the evolution of particles and waves in space and time. In classical physics, particles and waves are described by different equations, but this distinction disappears in quantum physics, which is predominantly based
[...] Read more.
Theories of modern physics are based on dynamical equations that describe the evolution of particles and waves in space and time. In classical physics, particles and waves are described by different equations, but this distinction disappears in quantum physics, which is predominantly based on wave-like equations. The main purpose of this paper is to present a comprehensive review of all known classical and quantum linear wave equations for scalar wavefunctions, and to discuss their origin and applications to a broad range of physical problems.
Full article
(This article belongs to the Special Issue 100 Years of Quantum Mechanics)
►▼
Show Figures

Figure 1
Open AccessArticle
A New Space-Time Theory Unravels the Origins of Classical Mechanics for the Dirac Equation
by
Wei Wen
Quantum Rep. 2025, 7(4), 59; https://doi.org/10.3390/quantum7040059 - 3 Dec 2025
Abstract
The Feynman path integral plays a central role in quantum mechanics, linking classical action to propagators and relating quantum electrodynamics (QED) to Feynman diagrams. However, the path-integral formulations used in non-relativistic quantum mechanics and in QED are neither unified nor directly connected. This
[...] Read more.
The Feynman path integral plays a central role in quantum mechanics, linking classical action to propagators and relating quantum electrodynamics (QED) to Feynman diagrams. However, the path-integral formulations used in non-relativistic quantum mechanics and in QED are neither unified nor directly connected. This suggests the existence of a missing path integral that bridges relativistic action and the Dirac equation at the single-particle level. In this work, we analyze the consistency and completeness of existing path-integral theories and identify a spinor path integral that fills this gap. Starting from a relativistic action written in spinor form, we construct a spacetime path integral whose kernel reproduces the Dirac Hamiltonian. The resulting formulation provides a direct link between the relativistic classical action and the Dirac equation, and it naturally extends the scalar relativistic path integral developed in our earlier work. Beyond establishing this structural connection, the spinor path integral offers a new way to interpret the origin of classical mechanics for the Dirac equation and suggests a spacetime mechanism for spin and quantum nonlocal correlations. These features indicate that the spinor path integral can serve as a unifying framework for existing path-integral approaches and as a starting point for further investigations into the spacetime structure of quantum mechanics.
Full article
Open AccessArticle
Quantum Behavior in a Non-Bonded Interaction of BN (+, −, 0) B @ (5, 5) BN: Second-Order Jahn–Teller Effect Causes Symmetry Breaking
by
Majid Monajjemi and Fatemeh Mollaamin
Quantum Rep. 2025, 7(4), 58; https://doi.org/10.3390/quantum7040058 - 30 Nov 2025
Abstract
►▼
Show Figures
The anion, cation, and radical structural forms of B2N (−,0,+) were studied in the case of symmetry breaking (SB) inside a (5, 5) BN nanotube ring and were also compared in terms of non-covalent interaction between these two parts. The non-bonded
[...] Read more.
The anion, cation, and radical structural forms of B2N (−,0,+) were studied in the case of symmetry breaking (SB) inside a (5, 5) BN nanotube ring and were also compared in terms of non-covalent interaction between these two parts. The non-bonded system of B2N (−,0,+) and the (5, 5) BN nanotube not only causes SB for BNB but also creates an energy barrier in the range of 10−3 Hartree of due to this non-bonded interaction. Moreover, several SBs appear via asymmetry stretching and symmetry bending normal mode interactions according to the multiple second-order Jahn–Teller effect. We also demonstrated that the twin minimum of BNB’s potential curve arises from the lack of a proper wave function with permutation symmetry, as well as abnormal charge distribution. Through this investigation, considerable enhancements in the energy barriers due to the SB effect were also observed during the electrostatic interaction of BNB (both radical and cation) with the BN nanotube ring. Additionally, these values were not observed for the isolated B2N (−,0,+) forms. This non-bonded complex operates as a quantum rotatory model and as a catalyst for producing a range of spectra in the IR region due to the alternative attraction and repulsion forces.
Full article

Figure 1
Open AccessArticle
Sequential Quantum Measurements and the Instrumental Group Algebra
by
Christopher S. Jackson
Quantum Rep. 2025, 7(4), 57; https://doi.org/10.3390/quantum7040057 - 30 Nov 2025
Abstract
Many of the most fundamental observables—position, momentum, phase point, and spin direction—cannot be measured by an instrument that obeys the orthogonal projection postulate. Continuous-in-time measurements provide the missing theoretical framework to make physical sense of such observables. The elements of the time-dependent instrument
[...] Read more.
Many of the most fundamental observables—position, momentum, phase point, and spin direction—cannot be measured by an instrument that obeys the orthogonal projection postulate. Continuous-in-time measurements provide the missing theoretical framework to make physical sense of such observables. The elements of the time-dependent instrument define a group called the instrumental group (IG). Relative to the IG, all of the time dependence is contained in a certain function called the Kraus-operator density (KOD), which evolves according to a classical Kolmogorov equation. Unlike the Lindblad master equation, the KOD Kolmogorov equation is a direct expression of how the elements of the instrument (not just the total quantum channel) evolve. Shifting from continuous measurements to sequential measurements more generally, the structure of combining instruments in sequence is shown to correspond to the convolution of their KODs. This convolution promotes the IG to an involutive Banach algebra (a structure that goes all the way back to the origins of POVM and C*-algebra theory), which will be called the instrumental group algebra (IGA). The IGA is the true home of the KOD, similar to how the dual of a von Neumann algebra is the true home of the density operator. Operators on the IGA, which play the analogous role for KODs as superoperators play for density operators, are called ultraoperators and various important examples are discussed. Certain ultraoperator–superoperator intertwining relationships are also considered throughout, including the relationship between the KOD Kolmogorov equation and the Lindblad master equation. The IGA is also shown to have actually two distinct involutions: one respected by the convolution ultraoperators and the other by the quantum channel superoperators. Finally, the KOD Kolmogorov generators are derived for jump processes and more general diffusive processes.
Full article
Open AccessReview
Applications of Gaussian Boson Sampling to Solve Some Chemistry Problems
by
Samaneh Bagheri Novir
Quantum Rep. 2025, 7(4), 56; https://doi.org/10.3390/quantum7040056 - 28 Nov 2025
Abstract
Quantum computers, due to their superposition and entanglement properties, provide significant advantages in solving certain problems compared with classical computers. Therefore, it is crucial to identify issues that can be efficiently solved by noisy intermediate-scale quantum (NISQ) systems. Xanadu has introduced the X8
[...] Read more.
Quantum computers, due to their superposition and entanglement properties, provide significant advantages in solving certain problems compared with classical computers. Therefore, it is crucial to identify issues that can be efficiently solved by noisy intermediate-scale quantum (NISQ) systems. Xanadu has introduced the X8 quantum chip, based on integrated photonic technology, along with important photonic platforms such as Strawberry Fields and Gaussian Boson Sampling (GBS), to solve specific computational problems. In this review article, after reviewing Boson Sampling (BS) and Gaussian Boson Sampling (GBS), we discuss the relationship between GBS and graph theory, including how graphs can be encoded in GBS. Some applications of GBS, particularly molecular docking and molecular vibrations, are also considered. The future goal of this study is to identify problems that can be represented as small graphs and solved using GBS with a limited number of optical modes.
Full article
(This article belongs to the Topic Quantum Systems and Their Applications)
►▼
Show Figures

Figure 1
Open AccessReview
Quaternionic and Octonionic Frameworks for Quantum Computation: Mathematical Structures, Models, and Fundamental Limitations
by
Johan Heriberto Rúa Muñoz, Jorge Eduardo Mahecha Gómez and Santiago Pineda Montoya
Quantum Rep. 2025, 7(4), 55; https://doi.org/10.3390/quantum7040055 - 26 Nov 2025
Abstract
We develop detailed quaternionic and octonionic frameworks for quantum computation grounded on normed division algebras. Our central result is to prove the polynomial computational equivalence of quaternionic and complex quantum models: Computation over is polynomially equivalent to the standard complex quantum circuit
[...] Read more.
We develop detailed quaternionic and octonionic frameworks for quantum computation grounded on normed division algebras. Our central result is to prove the polynomial computational equivalence of quaternionic and complex quantum models: Computation over is polynomially equivalent to the standard complex quantum circuit model and hence captures the same complexity class BQP up to polynomial reductions. Over , we construct a complete model—quaternionic qubits on right -modules with quaternion-valued inner products, unitary dynamics, associative tensor products, and universal gate sets—and establish polynomial equivalence with the standard complex model; routes for implementation at fidelities exceeding via pulse-level synthesis on current hardware are discussed. Over , non-associativity yields path-dependent evolution, ambiguous adjoints/inner products, non-associative tensor products, and possible failure of energy conservation outside associative sectors. We formalize these obstructions and systematize four mitigation strategies: Confinement to associative subalgebras, -invariant codes, dynamical decoupling of associator terms, and a seven-factor algebraic decomposition for gate synthesis. The results delineate the feasible quaternionic regime from the constrained octonionic landscape and point to applications in symmetry-protected architectures, algebra-aware simulation, and hypercomplex learning.
Full article
(This article belongs to the Topic Topological, Quantum, and Molecular Information Approaches to Computation and Intelligence)
►▼
Show Figures

Figure 1
Open AccessArticle
Brownian Particles and Matter Waves
by
Nicos Makris
Quantum Rep. 2025, 7(4), 54; https://doi.org/10.3390/quantum7040054 - 13 Nov 2025
Abstract
►▼
Show Figures
In view of the remarkable progress in microrheology to monitor the random motion of Brownian particles with a size as small as a few nanometers, and given that de Broglie matter waves have been experimentally observed for large molecules of comparable nanometer size,
[...] Read more.
In view of the remarkable progress in microrheology to monitor the random motion of Brownian particles with a size as small as a few nanometers, and given that de Broglie matter waves have been experimentally observed for large molecules of comparable nanometer size, we examine whether Brownian particles can manifest a particle-wave duality without employing a priori arguments from quantum decoherence. First, we examine the case where Brownian particles are immersed in a memoryless viscous fluid with a time-independent diffusion coefficient, and the requirement for the Brownian particles to manifest a particle-wave duality leads to the untenable result that the diffusion coefficient has to be proportional to the inverse time, therefore, diverging at early times. This finding agrees with past conclusions published in the literature, that quantum mechanics is not equivalent to a Markovian diffusion process. Next, we examine the case where the Brownian particle is trapped in a harmonic potential well with and without dissipation. Both solutions of the Fokker–Planck equation for the case with dissipation, and of the Schrödinger equation for the case without dissipation, lead to the same physically acceptable result—that for the Brownian particle to manifest a particle-wave duality, its mean kinetic energy needs to be ½ the ground-state energy, of the quantum harmonic oscillator. Our one-dimensional calculations show that for this to happen, the trapping needs to be very strong so that a Brownian particle with mass m and radius R needs to be embedded in an extremely stiff solid with shear modulus, G proportional to .
Full article

Figure 1
Open AccessArticle
Is Quantum Field Theory Necessarily “Quantum”?
by
Ali Shojaei-Fard
Quantum Rep. 2025, 7(4), 53; https://doi.org/10.3390/quantum7040053 - 1 Nov 2025
Abstract
►▼
Show Figures
The mathematical universe of the quantum topos, which is formulated on the basis of classical Boolean snapshots, delivers a neo-realist description of quantum mechanics that preserves realism. The main contribution of this article is developing formal objectivity in physical theories beyond quantum mechanics
[...] Read more.
The mathematical universe of the quantum topos, which is formulated on the basis of classical Boolean snapshots, delivers a neo-realist description of quantum mechanics that preserves realism. The main contribution of this article is developing formal objectivity in physical theories beyond quantum mechanics in the topos-theory approach. It will be shown that neo-realist responses to non-perturbative structures of quantum field theory do not preserve realism. In this regard, the method of Feynman graphons is applied to reframe the task of describing objectivity in quantum field theory in terms of replacing the standard Hilbert-space/operator-algebra ontology with a new context category built from a certain family of topological Hopf subalgebras of the topological Hopf algebra of renormalization as algebraic/combinatorial data tied to non-perturbative structures. This topological-Hopf-algebra ontology, which is independent of instrumentalist probabilities, enables us to reconstruct gauge field theories on the basis of the mathematical universe of the non-perturbative topos. The non-Boolean logic of the non-perturbative topos cannot be recovered by classical Boolean snapshots, which is in contrast to the quantum-topos reformulation of quantum mechanics. The article formulates a universal version of the non-perturbative topos to show that quantum field theory is a globally and locally neo-realist theory which can be reconstructed independent of the standard Hilbert-space/operator-algebra ontology. Formal objectivity of the universal non-perturbative topos offers a new route to build objective semantics for non-perturbative structures.
Full article

Figure 1
Open AccessReview
The Radical Pair Mechanism and Its Quantum Role in Plant Reactive Oxygen Species Production Under Hypomagnetic Fields
by
Massimo E. Maffei
Quantum Rep. 2025, 7(4), 52; https://doi.org/10.3390/quantum7040052 - 1 Nov 2025
Abstract
The Earth’s geomagnetic field (GMF) is a fundamental environmental signal for plants, with its perception rooted in quantum biology. Specifically, the radical pair mechanism (RPM) explains how this weak force influences electron spin states in metabolic pathways, providing a framework for its profound
[...] Read more.
The Earth’s geomagnetic field (GMF) is a fundamental environmental signal for plants, with its perception rooted in quantum biology. Specifically, the radical pair mechanism (RPM) explains how this weak force influences electron spin states in metabolic pathways, providing a framework for its profound biological impact. Research shows that a hypomagnetic field (hMF) directly reduces the production of reactive oxygen species (ROS), creating a quantum signature in plants. This is a counterintuitive finding, as it suggests the plant perceives less oxidative stress and, in response, downregulates its antioxidant defenses. This multi-level effect, from a quantum trigger to molecular and metabolic changes, ultimately affects the plant’s growth and phenotype. This review suggests a possible link between the GMF and plant health, identifying the GMF as a potential physiological modulator. Manipulating the magnetic field could therefore be a novel strategy for improving crop resilience and growth. However, the fact that some effects cannot be fully explained by the RPM suggests other quantum mechanisms are involved, paving the way for future research into these undiscovered processes and their potential inheritance across generations.
Full article
(This article belongs to the Special Issue Exclusive Feature Papers of Quantum Reports in 2024–2025)
►▼
Show Figures

Graphical abstract
Open AccessArticle
Translating the Nearest Convex Hull Classifier from Classical to Quantum Computing
by
Grégoire Cattan, Anton Andreev and Quentin Barthélemy
Quantum Rep. 2025, 7(4), 51; https://doi.org/10.3390/quantum7040051 - 28 Oct 2025
Abstract
The nearest convex hull (NCH) classifier is a promising algorithm for the classification of biosignals, such as electroencephalography (EEG) signals, especially when adapted to the classification of symmetric positive definite matrices. In this paper, we implemented a version of this classifier that can
[...] Read more.
The nearest convex hull (NCH) classifier is a promising algorithm for the classification of biosignals, such as electroencephalography (EEG) signals, especially when adapted to the classification of symmetric positive definite matrices. In this paper, we implemented a version of this classifier that can execute either on a traditional computer or a quantum simulator, and we tested it against state-of-the-art classifiers for EEG classification. This article addresses the practical challenges of adapting a classical algorithm to one that can be executed on a quantum computer or a quantum simulator. One of these challenges is to find a formulation of the classification problem that is quadratic, is binary, and accepts only linear constraints—that is, an objective function that can be solved using a variational quantum algorithm. In this article, we present two approaches to solve this problem, both compatible with continuous variables. Finally, we evaluated, for the first time, the performance of the NCH classifier on real EEG data using both quantum and classical optimization methods. We selected a particularly challenging dataset, where classical optimization typically performs poorly, and demonstrated that the nearest convex hull classifier was able to generalize with a modest performance. One lesson from this case study is that, by separating the objective function from the solver, it becomes possible to allow an existing classical algorithm to run on a quantum computer, as long as an appropriate objective function—quadratic and binary—can be found.
Full article
(This article belongs to the Special Issue Beyond Classical Limits: Quantum Machine Learning for Multi-Field Research)
►▼
Show Figures

Figure 1
Open AccessArticle
Experimental Investigation on Quantum Channel Noise Simulation and Information Security Threshold Based on Two-Photon Four-Qubit Hyper-Entanglement Systems
by
Jiaqiang Zhao, Haoxiang Qin, Lianzhen Cao, Yang Yang, Xia Liu, Qinwei Zhang, Huaixin Lu, Kellie Ann Driscoll and Meijiao Wang
Quantum Rep. 2025, 7(4), 50; https://doi.org/10.3390/quantum7040050 - 22 Oct 2025
Abstract
►▼
Show Figures
Due to the important role of quantum information technology in the future development of science and technology, researchers have extensively studied the preparation, characterization, and application of quantum systems. It is of great significance to further study the universality and generalization of multi-qubit
[...] Read more.
Due to the important role of quantum information technology in the future development of science and technology, researchers have extensively studied the preparation, characterization, and application of quantum systems. It is of great significance to further study the universality and generalization of multi-qubit entangled states. Especially in quantum communication, the actual quantum system is always affected by various noises from the environment. Noise has a significant impact on the properties of the actual quantum system, so we study the effects of noise on a prepared two-photon four-qubit state by two methods. We experimentally simulated the most common bit-flip noise in quantum systems. The law of evolution of the fidelity of two-dimensional four-qubit states and violation of the Mermin inequality and the Ardehali inequality for LR under different levels of bit-flip noise are investigated. The experimental results show that entanglement fidelity and nonlocality can be used to judge the degree of noise interference in the quantum channel and, thus, judge the security of the quantum communication channel. This judgment is of great significance for the realization of practical long-distance multi-node quantum communication.
Full article

Figure 1
Open AccessArticle
From Fibonacci Anyons to B-DNA and Microtubules via Elliptic Curves
by
Michel Planat
Quantum Rep. 2025, 7(4), 49; https://doi.org/10.3390/quantum7040049 - 17 Oct 2025
Abstract
By imposing finite order constraints on Fibonacci anyon braid relations, we construct the finite quotient , where is the binary icosahedral group. The Gröbner basis decomposition of its
[...] Read more.
By imposing finite order constraints on Fibonacci anyon braid relations, we construct the finite quotient , where is the binary icosahedral group. The Gröbner basis decomposition of its character variety yields elliptic curves whose L-function derivatives remarkably match fundamental biological structural ratios. Specifically, we demonstrate that the Birch–Swinnerton-Dyer conjecture’s central quantity: the derivative of the L-function at 1 encodes critical cellular geometries: the crystalline B-DNA pitch-to-diameter ratio ( matching ), the B-DNA pitch to major groove width ( ) and, additionally, the fundamental cytoskeletal scaling relationship where , precisely matching the microtubule-to-actin diameter ratio. This pattern extends across the hierarchy with (binary octahedral, tetrahedral, icosahedral groups), where character tables of explain genetic code degeneracies while yields microtubule ratios. The convergence of multiple independent mathematical pathways on identical biological values suggests that evolutionary optimization operates under deep arithmetic-geometric constraints encoded in elliptic curve L-functions. Our results position the BSD conjecture not merely as abstract number theory, but as encoding fundamental organizational principles governing cellular architecture. The correspondence reveals arithmetic geometry as the mathematical blueprint underlying major biological structural systems, with Gross–Zagier theory providing the theoretical framework connecting quantum topology to the helical geometries that are essential for life.
Full article
(This article belongs to the Topic Topological, Quantum, and Molecular Information Approaches to Computation and Intelligence)
Open AccessArticle
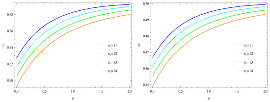
Epistemic Signatures of Fisher Information in Finite Fermions Systems
by
Angelo Plastino and Victoria Vampa
Quantum Rep. 2025, 7(4), 48; https://doi.org/10.3390/quantum7040048 - 14 Oct 2025
Abstract
►▼
Show Figures
Beginning with Mandelbrot’s insight that Fisher information may admit a thermodynamic interpretation, a growing body of work has connected this information-theoretic measure to fluctuation–dissipation relations, thermodynamic geometry, and phase transitions. Yet, these connections have largely remained at the level of formal analogies. In
[...] Read more.
Beginning with Mandelbrot’s insight that Fisher information may admit a thermodynamic interpretation, a growing body of work has connected this information-theoretic measure to fluctuation–dissipation relations, thermodynamic geometry, and phase transitions. Yet, these connections have largely remained at the level of formal analogies. In this work, we provide what is, to our knowledge, the first explicit realization of the epistemic-to-physical transition of Fisher information within a finite interacting quantum system. Specifically, we analyze a model of N fermions occupying two degenerate levels and coupled by a spin-flip interaction of strength V, treated in the grand canonical ensemble at inverse temperature . We compute the Fisher information associated with the sensitivity of the thermal state to changes in V, and show that it becomes an observer-independent, experimentally meaningful quantity: it encodes fluctuations, tracks entropy variations, and reveals structural transitions induced by interactions. Our findings thus demonstrate that Fisher information, originally conceived as an inferential and epistemic measure, can operate as a bona fide thermodynamic observable in quantum many-body physics, bridging the gap between information-theoretic foundations and measurable physical law.
Full article

Figure 1
Open AccessArticle
Quantum Simulation of Variable-Speed Multidimensional Wave Equations via Clifford-Assisted Pauli Decomposition
by
Boris Arseniev and Igor Zacharov
Quantum Rep. 2025, 7(4), 47; https://doi.org/10.3390/quantum7040047 - 13 Oct 2025
Abstract
►▼
Show Figures
The simulation of multidimensional wave propagation with variable material parameters is a computationally intensive task, with applications from seismology to electromagnetics. While quantum computers offer a promising path forward, their algorithms are often analyzed in the abstract oracle model, which can mask the
[...] Read more.
The simulation of multidimensional wave propagation with variable material parameters is a computationally intensive task, with applications from seismology to electromagnetics. While quantum computers offer a promising path forward, their algorithms are often analyzed in the abstract oracle model, which can mask the high gate-level complexity of implementing those oracles. We present a framework for constructing a quantum algorithm for the multidimensional wave equation with a variable speed profile. The core of our method is a decomposition of the system Hamiltonian into sets of mutually commuting Pauli strings, paired with a dedicated diagonalization procedure that uses Clifford gates to minimize simulation cost. Within this framework, we derive explicit bounds on the number of quantum gates required for Trotter–Suzuki-based simulation. Our analysis reveals significant computational savings for structured block-model speed profiles compared to general cases. Numerical experiments in three dimensions confirm the practical viability and performance of our approach. Beyond providing a concrete, gate-level algorithm for an important class of wave problems, the techniques introduced here for Hamiltonian decomposition and diagonalization enrich the general toolbox of quantum simulation.
Full article

Figure 1
Open AccessArticle
Destructive Interference as a Path to Resolving the Quantum Measurement Problem
by
James Camparo
Quantum Rep. 2025, 7(4), 46; https://doi.org/10.3390/quantum7040046 - 10 Oct 2025
Abstract
Over the past several decades, there has been an accelerating trend to ever more accurate quantum sensors: sensors of time intervals (i.e., atomic clocks), sensors of magnetic fields (i.e., quantum magnetometers), and sensors of inertial motions (i.e., atom interferometers), to name just a
[...] Read more.
Over the past several decades, there has been an accelerating trend to ever more accurate quantum sensors: sensors of time intervals (i.e., atomic clocks), sensors of magnetic fields (i.e., quantum magnetometers), and sensors of inertial motions (i.e., atom interferometers), to name just a few. With this trend has come a renewed interest in the problem of quantum mechanical measurement (i.e., collapse of the wavefunction), and though there have been many attempts to resolve the problem, there is still no wholly accepted resolution. Here, we discuss a little-explored path for resolving the issue that exploits wavefunction phase. To illustrate this path’s potential, we consider the notion of “eigenphase” sets that are disjoint among orthogonal eigenvectors. Wavefunction collapse then occurs because of constructive/destructive interference when a classical measuring device “phase-locks” to an incoming wavefunction. While the present work examines one method for exploiting wavefunction phase, its primary purpose is to more generally re-focus attention on wavefunction phase as a means for resolving the measurement problem that avoids many other solutions’ problematic aspects.
Full article
(This article belongs to the Special Issue 100 Years of Quantum Mechanics)
►▼
Show Figures

Figure 1
Open AccessArticle
Many-Body Effects in a Molecular Quantum NAND Tree
by
Justin P. Bergfield
Quantum Rep. 2025, 7(4), 45; https://doi.org/10.3390/quantum7040045 - 10 Oct 2025
Abstract
Molecules provide the smallest possible circuits in which quantum interference and electron correlation can be engineered to perform logical operations, including the universal NAND gate. We investigate a chemically encoded quantum NAND tree based on alkynyl-extended iso-polyacetylene backbones, where inputs are set by
[...] Read more.
Molecules provide the smallest possible circuits in which quantum interference and electron correlation can be engineered to perform logical operations, including the universal NAND gate. We investigate a chemically encoded quantum NAND tree based on alkynyl-extended iso-polyacetylene backbones, where inputs are set by end-group substitution and outputs are read from the presence or absence of transmission nodes. Using quantum many-body transport theory, we show that NAND behavior persists in the presence of dynamic correlations, but that the nodal positions and their chemical shifts depend sensitively on electron–electron interactions. This sensitivity highlights the potential of these systems not only to probe the strength of electronic correlations but also to harness them in shaping logical response. The thermopower is identified as a chemically robust readout of gate logic, providing discrimination margins that greatly exceed typical experimental uncertainties, in an observable governed primarily by the variation of transport rather than its absolute magnitude.
Full article
(This article belongs to the Topic Quantum Systems and Their Applications)
►▼
Show Figures

Graphical abstract
Highly Accessed Articles
Latest Books
E-Mail Alert
News
Topics
Topic in
Entropy, Quantum Reports, Symmetry, Universe, Physics
Quantum Systems and Their Applications
Topic Editors: Chao Zheng, Jim FreericksDeadline: 28 February 2026
Topic in
Chemistry, IJMS, Molecules, Quantum Reports, Symmetry, Magnetochemistry
Theoretical, Quantum and Computational Chemistry—2nd Edition
Topic Editors: Jorge Garza, Andrei L. TchougréeffDeadline: 31 July 2026
Topic in
Entropy, IJMS, International Journal of Topology, MAKE, Mathematics, Quantum Reports, Symmetry
Topological, Quantum, and Molecular Information Approaches to Computation and Intelligence
Topic Editors: Michel Planat, Edward A. RietmanDeadline: 31 December 2026
Conferences
Special Issues
Special Issue in
Quantum Reports
Exclusive Feature Papers of Quantum Reports in 2024–2025
Guest Editor: Lajos DiósiDeadline: 31 December 2025
Special Issue in
Quantum Reports
Recent Studies on Fokker–Planck Equation and Diffusion
Guest Editors: Ervin K. Lenzi, Rafael Soares Zola, Haroldo Valentin RibeiroDeadline: 31 December 2025
Special Issue in
Quantum Reports
Beyond Classical Limits: Quantum Machine Learning for Multi-Field Research
Guest Editors: Fahad Ahmad, Vincenzo TammaDeadline: 31 December 2025
Special Issue in
Quantum Reports
100 Years of Quantum Mechanics
Guest Editors: Viktor Dodonov, Margarita A. Man’ko, Salomon S. Mizrahi, Luis L. Sánchez-SotoDeadline: 31 January 2026




