Journal Description
Journal of Experimental and Theoretical Analyses
Journal of Experimental and Theoretical Analyses
is an international, peer-reviewed, open access journal on the methods and applications of the analysis science in both the experimental and theoretical aspects of the engineering area, published quarterly online by MDPI.
- Open Access— free for readers, with article processing charges (APC) paid by authors or their institutions.
- Rapid Publication: manuscripts are peer-reviewed and a first decision is provided to authors approximately 32 days after submission; acceptance to publication is undertaken in 7.8 days (median values for papers published in this journal in the first half of 2025).
- Recognition of Reviewers: APC discount vouchers, optional signed peer review, and reviewer names published annually in the journal.
- JETA is a companion journal of Applied Sciences.
Latest Articles
Design Interaction Diagrams for Shear Adequacy Using MCFT-Based Strength of AS 5100.5—Advantages of Using Monte Carlo Simulation
J. Exp. Theor. Anal. 2025, 3(4), 41; https://doi.org/10.3390/jeta3040041 - 5 Dec 2025
Abstract
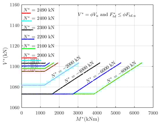
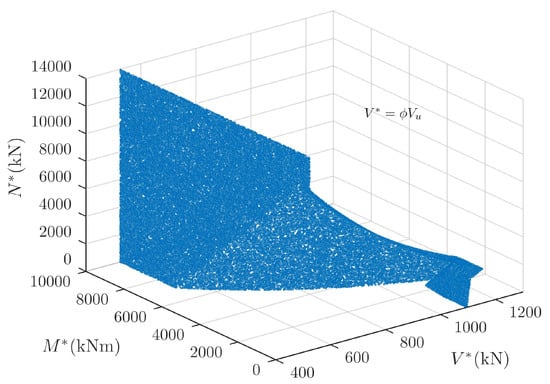
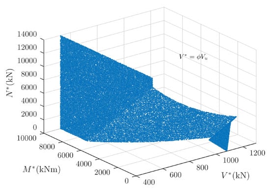
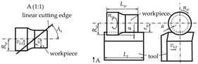
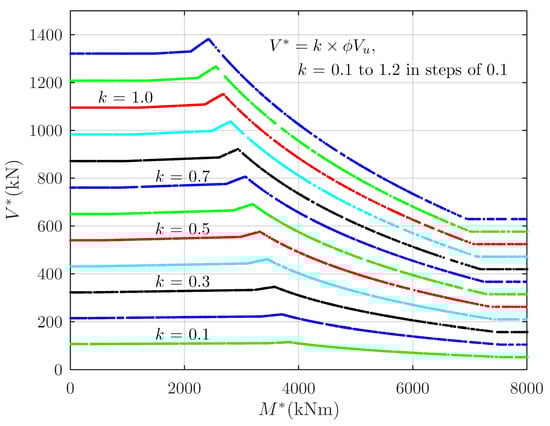
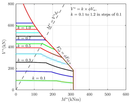
This paper presents three different approaches for generating points along the interaction diagram corresponding to design load effects—shear, bending moment, and axial force—to achieve optimal shear strength adequacy with the Australian bridge design standard AS 5100.5. The methodology targets the optimal shear condition
[...] Read more.
This paper presents three different approaches for generating points along the interaction diagram corresponding to design load effects—shear, bending moment, and axial force—to achieve optimal shear strength adequacy with the Australian bridge design standard AS 5100.5. The methodology targets the optimal shear condition by matching the design shear with the capacity , which represents achieving a load rating factor of unity within the specified tolerance limits. The first typical approach for generating points for two load effects is by increasing the moment–shear ratio in small increments from zero to a large value (theoretically infinity), and for each increment, to goal-seek the condition. The other approaches investigated are the use of increasing factored moment and the use of Monte Carlo simulation. A pretensioned bridge I-girder section reported in the literature was used in the study. The Monte Carlo simulation method was found to be the simplest to program. It allows an interaction surface for the influence of three load effects for optimal shear adequacy to be obtained with minimal program coding and outperforms the goal–seeking approaches for multi-variable interactions. It can create 2-D interaction lines for various levels of shear adequacy for the interaction of and , and 3-D interaction surfaces for , , and . The potential use of interaction diagrams was explored, and the advantages and limitations of using each method are presented. The interaction curves of two typical pretensioned concrete sections of a plank girder, one next to an end support and the other close to mid-span, were created to show the distinguishing features resulting from their reinforcement.
Full article
(This article belongs to the Special Issue Featured Papers for Journal of Experimental and Theoretical Analyses (JETA))
►
Show Figures
Open AccessFeature PaperArticle
Probabilistic Cumulative Damage Analysis of Aluminum Light Pole Handholes
by
Cameron Rusnak, Aya Al-hamami and Craig Menzemer
J. Exp. Theor. Anal. 2025, 3(4), 40; https://doi.org/10.3390/jeta3040040 - 2 Dec 2025
Abstract
Aluminum light poles are essential components of modern infrastructure, providing illumination for highways, urban areas, and pedestrian pathways. Despite their importance, structural vulnerabilities in handholes—necessary for electrical access—can reduce fatigue life due to the structure’s response to wind. This study addresses a critical
[...] Read more.
Aluminum light poles are essential components of modern infrastructure, providing illumination for highways, urban areas, and pedestrian pathways. Despite their importance, structural vulnerabilities in handholes—necessary for electrical access—can reduce fatigue life due to the structure’s response to wind. This study addresses a critical gap in translating laboratory-derived S–N data into field-applicable methods for assessing cumulative damage in these structures. A probabilistic cumulative damage analysis framework was developed to quantify the structural degradation of handholes due to variable wind velocities. Using a series of controlled cyclic fatigue tests and Miner’s Rule, the study establishes a methodology to convert stress ranges into equivalent wind velocities and correlate laboratory cycle counts with real-world loading conditions. The findings reveal a logarithmic progression of damage accumulation and highlight the utility of integrating standardized factors from ASCE-7 for scalable and geographically adaptable assessments. A proof-of-concept application demonstrates the model’s potential to predict failure risks during extreme wind events, such as hurricanes and tornadoes. This research provides a practical and predictive tool for engineers and contractors to evaluate the structural integrity of aluminum light poles, enabling proactive maintenance and reducing unplanned failures.
Full article
(This article belongs to the Special Issue Featured Papers for Journal of Experimental and Theoretical Analyses (JETA))
►▼
Show Figures

Figure 1
Open AccessArticle
Enhancing Pest Detection in Deep Learning Through a Systematic Image Quality Assessment and Preprocessing Framework
by
Shuyi Jia, Maryam Horri Rezaei and Barmak Honarvar Shakibaei Asli
J. Exp. Theor. Anal. 2025, 3(4), 39; https://doi.org/10.3390/jeta3040039 - 20 Nov 2025
Abstract
►▼
Show Figures
This study addresses the critical challenge of variable image quality in deep learning-based automated pest identification. We propose a holistic pipeline that integrates systematic Image Quality Assessment (IQA) with tailored preprocessing to enhance the performance of a YOLOv5 object detection model. The methodology
[...] Read more.
This study addresses the critical challenge of variable image quality in deep learning-based automated pest identification. We propose a holistic pipeline that integrates systematic Image Quality Assessment (IQA) with tailored preprocessing to enhance the performance of a YOLOv5 object detection model. The methodology begins with a No-Reference IQA using BRISQUE, PIQE, and NIQE metrics to quantitatively diagnose image clarity, noise, and distortion. Based on this assessment, a tailored preprocessing stage employing six different filters (Wiener, Lucy–Richardson, etc.) is applied to rectify degradations. Enhanced images are then used to train a YOLOv5 model for detecting four common pest species. Experimental results demonstrate that our IQA-anchored pipeline significantly improves image quality, with average BRISQUE and PIQE scores reducing from 40.78 to 25.42 and 34.94 to 30.38, respectively. Consequently, the detection confidence for challenging pests increased, for instance, from 0.27 to 0.44 for Peach Borer after dataset enhancement. This work concludes that a methodical approach to image quality management is not an optional step but a critical prerequisite that directly dictates the performance ceiling of automated deep learning systems in agriculture, offering a reusable blueprint for robust visual recognition tasks.
Full article

Figure 1
Open AccessArticle
Highly Selective Laser Ablation for Thin-Film Electronics: Overcoming Variations Due to Minute Optical Path Length Differences in Plastic Substrates
by
Ahmed Fawzy, Henri Fledderus, Jie Shen, Wiel H. Manders, Emile Verstegen and Hylke B. Akkerman
J. Exp. Theor. Anal. 2025, 3(4), 38; https://doi.org/10.3390/jeta3040038 - 14 Nov 2025
Abstract
►▼
Show Figures
Roll-to-roll production of thin organic and large-area electronic (TOLAE) devices often involves a two-step process per functional layer: a continuous, un-pattered deposition of the film and subsequent structuring process, such as laser ablation. Thin-film organic devices should be protected using ultra-barrier films. To
[...] Read more.
Roll-to-roll production of thin organic and large-area electronic (TOLAE) devices often involves a two-step process per functional layer: a continuous, un-pattered deposition of the film and subsequent structuring process, such as laser ablation. Thin-film organic devices should be protected using ultra-barrier films. To perform laser ablation of functional layers on top of such barrier films, in particular that of transparent electrodes, highly selective laser ablation is required to completely remove the layers without damaging the thin-film barrier layers underneath. When targeting highly selective laser ablation of indium tin oxide (ITO) on top of silicon nitride (SiN) barrier layers with a 1064 nm picosecond or 1030 nm femtosecond laser, we observed the emergence of visible large-scale patterns due to local variations in ablation quality. Our investigations using a very sensitive Raman spectroscopy setup show that the observed ablation variations stem from subtle differences in optical path length within the heat-stabilized plastic substrates. These variations are likely caused by minute, localized changes in the refractive index, introduced during the bi-axial stretching process used in film fabrication. Depending on the optical path length, these variations lead to either constructive or destructive interference between the incoming laser beam and the light reflected from the back surface of the substrate. By performing laser ablation under an angle such that the reflected and incoming laser beam do not spatially overlap, highly selective uniform laser ablation can be performed, even for two stacked optically transparent layers.
Full article

Graphical abstract
Open AccessArticle
Geometric and Thermal-Induced Errors Prediction for Active Error Compensation in Machine Tools
by
Walid Chaaibi, Abderrazak El Ouafi and Narges Omidi
J. Exp. Theor. Anal. 2025, 3(4), 37; https://doi.org/10.3390/jeta3040037 - 11 Nov 2025
Abstract
►▼
Show Figures
In this paper, an integrated geometric and thermal-induced errors prediction approach for active error compensation in machine tools is proposed and evaluated. The proposed approach is based on a hybrid of physical and neural network predictive modeling to drive an adaptive position controller
[...] Read more.
In this paper, an integrated geometric and thermal-induced errors prediction approach for active error compensation in machine tools is proposed and evaluated. The proposed approach is based on a hybrid of physical and neural network predictive modeling to drive an adaptive position controller for real-time error compensation including geometric and thermal-induced errors. Error components are formulated as a three-dimensional error field in the time-space domain. This approach involves four key steps for its development and implementation: (i) simplified experimental procedure combining a multicomponent laser interferometer measurement system and sixteen thermal sensors for error components measurement, (ii) artificial neural network-based predictive modeling of both position-dependent and position-independent error components, (iii) tridimensional volumetric error mapping using rigid body kinematics, and finally (iv) implementation of the real-time error compensation. Assessed on a turning center, the proposed approach conducts a significant improvement of the machine accuracy. The maximum error is reduced from 30 µm to less than 3 µm under thermally varying conditions.
Full article

Figure 1
Open AccessArticle
Machine Learning–Based Prediction and Comparison of Numerical and Theoretical Elastic Moduli in Plant Fiber–Based Unidirectional Composite Representative Volume Elements
by
Jakiya Sultana, Md Mazedur Rahman, Gyula Varga, Szabolcs Szávai and Saiaf Bin Rayhan
J. Exp. Theor. Anal. 2025, 3(4), 36; https://doi.org/10.3390/jeta3040036 - 11 Nov 2025
Abstract
►▼
Show Figures
Natural fiber-reinforced unidirectional composites are increasingly adopted in modern industries due to their superior mechanical performance and desirable properties from both material and engineering perspectives. Among various approaches, representative volume element (RVE) generation and analysis is considered one of the most suitable and
[...] Read more.
Natural fiber-reinforced unidirectional composites are increasingly adopted in modern industries due to their superior mechanical performance and desirable properties from both material and engineering perspectives. Among various approaches, representative volume element (RVE) generation and analysis is considered one of the most suitable and convenient methods for predicting the elastic moduli of composites. The main aim of this study is to investigate and compare the elastic moduli of natural fiber–reinforced unidirectional composite RVEs using theoretical, numerical, and machine learning models. The numerical predictions in this study were generated using the ANSYS Material Designer tool (version ANSYS 19). A comparison was made between experimental results reported in the literature and different theoretical models, showing high accuracy in validating these numerical outcomes. A dataset comprising 1600 samples was generated from numerical models in combination with the well-known theory of RVE, namely rule of mixture (ROM), to train and test two machine learning algorithms: Random Forest and Linear Regression, with the goal of predicting three major elastic moduli—longitudinal Young’s modulus (E11), in-plane shear modulus (G12), and major Poisson’s ratio (V12). To evaluate model performance, mean squared error (MSE), mean absolute error (MAE), mean absolute percentage error (MAPE), and coefficient of determination (R2) were calculated and compared against datasets with and without the theoretical values as input variables. The performance metrics revealed that with the theoretical values, both Linear Regression and Random Forest predict E11, G12, and V12 well, with a maximum MSE of 0.033 for G12 and an R2 score of 0.99 for all cases, suggesting they can predict the mechanical properties with excellent accuracy. However, the Linear Regression model performs poorly when theoretical values are not included in the dataset, while Random Forest is consistent in accuracy with and without theoretical values.
Full article

Figure 1
Open AccessArticle
Evaluating the Environmental Footprint of Steel-Based Bottle Closures: A Life Cycle Assessment Approach
by
Irini Spyrolari, Alexandra Alexandropoulou, Eleni Didaskalou and Dimitrios Georgakellos
J. Exp. Theor. Anal. 2025, 3(4), 35; https://doi.org/10.3390/jeta3040035 - 7 Nov 2025
Abstract
This research presents a detailed Life Cycle Assessment (LCA) of 26 mm Crown cork metal closures used in glass bottle packaging, with the objective of quantifying and comparing their environmental impacts across all life cycle stages. This study adheres to ISO 14040 and
[...] Read more.
This research presents a detailed Life Cycle Assessment (LCA) of 26 mm Crown cork metal closures used in glass bottle packaging, with the objective of quantifying and comparing their environmental impacts across all life cycle stages. This study adheres to ISO 14040 and ISO 14044 standards and utilizes Microsoft Excel for structuring and documenting input–output data across each phase. The LCA encompasses three primary stages: raw material production (covering iron ore extraction and steel manufacturing), manufacturing processes (including metal sheet printing, forming, and packaging of closures), and the transport phase (distribution to bottling facilities). During the Life Cycle Inventory (LCI), steel production emerged as the most environmentally burdensome phase. It accounted for the highest emissions of carbon dioxide (CO2), carbon monoxide (CO), nitrogen oxides (NOx), and sulphur oxides (SOx), while emissions of heavy metals and volatile organic compounds were found to be negligible. The Life Cycle Impact Assessment (LCIA) was carried out using the Eco-Indicator 99 methodology, which organizes emissions into impact categories related to human health, ecosystem quality, and resource depletion. Final weighting revealed that steel production is the dominant contributor to overall environmental impact, followed by the manufacturing stage. In contrast, transportation exhibited the lowest relative impact. The interpretation phase confirmed these findings and emphasized steel production as the critical stage for environmental optimization. This study highlights the potential for substantial environmental improvements through the adoption of low-emission steel production technologies, particularly Electric Arc Furnace (EAF) processes that incorporate high percentages of recycled steel. Implementing such technologies could reduce CO2 emissions by up to 68%, positioning steel production as a strategic focus for sustainability initiatives within the packaging sector.
Full article
(This article belongs to the Special Issue Life Cycle Assessment: Methodological Advances and Practical Pathways for Sustainable Systems)
►▼
Show Figures

Figure 1
Open AccessArticle
Head Orientation Estimation Based on Multiple Frequency Bands Using Sparsely Aligned Microphones
by
Toru Takahashi, Taiki Kanbayashi, Ryota Aoki, Yuta Ochi, Akira Lee and Masato Nakayama
J. Exp. Theor. Anal. 2025, 3(4), 34; https://doi.org/10.3390/jeta3040034 - 31 Oct 2025
Abstract
►▼
Show Figures
We describe the problem of estimating the speaker’s head orientation from the asynchronous multi-channel waveforms observed by microphones distributed in a room. In particular, we address a novel problem of estimating head orientation from sound captured by fewer microphones than the number of
[...] Read more.
We describe the problem of estimating the speaker’s head orientation from the asynchronous multi-channel waveforms observed by microphones distributed in a room. In particular, we address a novel problem of estimating head orientation from sound captured by fewer microphones than the number of distinct head orientations to be distinguished. This is because the head orientation is an important clue indicating the speaker’s intended conversational partners. Head orientation estimation technology is an essential technology within environmental intelligence technology, which uses sensors embedded in rooms to monitor and support people’s activities. We propose a head orientation estimation method that aims to achieve high angular resolution using a small number of microphones. The proposed method achieves high estimation accuracy by using the spatial radiation pattern of the sound source as clues and by integrating information from multiple frequency bands. We conducted an experiment to estimate head orientation with an angular resolution of under observation conditions using six microphones. Experimental results showed that higher estimation accuracy was obtained than the conventional method using distributed microphone arrays (Oriented Global Coherence Field method) and the conventional method using distributed microphones (Radiation Pattern Matching method). The proposed method utilizing multiple frequency bands achieved the best performance with a mean absolute error of in the task of classifying 24 distinct head orientations.
Full article

Figure 1
Open AccessArticle
Revealing a New and Significant Thermomechanical Coupling Phenomenon for Rapid Thermal Transients
by
Florent Clavier, Lionel Desgranges and Christophe Goupil
J. Exp. Theor. Anal. 2025, 3(4), 33; https://doi.org/10.3390/jeta3040033 - 27 Oct 2025
Abstract
►▼
Show Figures
Conventional thermomechanical models recently failed to reproduce the temperature profile measured during rapid annular laser heating of a disk, with discrepancies of up to 150 K. One might have thought that these discrepancies resulted from neglecting the so-called “strong” thermomechanical coupling. However, the
[...] Read more.
Conventional thermomechanical models recently failed to reproduce the temperature profile measured during rapid annular laser heating of a disk, with discrepancies of up to 150 K. One might have thought that these discrepancies resulted from neglecting the so-called “strong” thermomechanical coupling. However, the discrepancies seemed too large to be explained in this way, suggesting that another more significant phenomenon was involved. In this paper, we first present the laser heating experiment that highlights the failure of conventional models. We then demonstrate that the established strong coupling thermomechanical theory cannot account for the observed divergences, as its impact on temperature does not exceed about 1 K. To address this limitation, we propose a new, more comprehensive thermomechanical coupling formalism based on the thermodynamics of irreversible processes (TIP). Its originality lies in the explicit consideration of spatial strain transport, introduced through the notion of strain flux. This approach reveals a previously unrecognized coupling term representing mechanical work production by heat-to-work conversion. Finally, we provide a quantitative estimate of the influence of this new term by reconsidering the heating experiment. The calculation shows that it could explain the discrepancies between theory and measurement. Although applied here to a specific case, this result supports the validity of our approach. It demonstrates that such coupling must be considered whenever a system is subjected to rapid thermal and mechanical transients.
Full article

Figure 1
Open AccessArticle
Machine Learning-Driven Prediction of Heat Transfer Coefficients for Pure Refrigerants in Diverse Heat Exchangers Types
by
Edgar Santiago Galicia, Andres Hernandez-Matamoros and Akio Miyara
J. Exp. Theor. Anal. 2025, 3(4), 32; https://doi.org/10.3390/jeta3040032 - 16 Oct 2025
Abstract
►▼
Show Figures
Traditional empirical correlations for predicting saturated flow boiling heat transfer coefficients (HTC) often struggle with accuracy and generalizability, particularly across different refrigerants, heat exchanger geometries, and operating conditions. To address these limitations, this study investigates the application of machine learning for more robust
[...] Read more.
Traditional empirical correlations for predicting saturated flow boiling heat transfer coefficients (HTC) often struggle with accuracy and generalizability, particularly across different refrigerants, heat exchanger geometries, and operating conditions. To address these limitations, this study investigates the application of machine learning for more robust HTC prediction. A comprehensive dataset was compiled, consisting of 22,608 data points from over 140 published studies, covering 18 pure refrigerants under diverse experimental setups. The primary goal was to evaluate the performance of different machine learning approaches—Wide Neural Network (WNN), Linear Regression (LR), and Support Vector Machine (SVM)—in predicting HTCs across varying tube types and heat exchanger configurations. The results indicate that the WNN model achieved the highest predictive accuracy, with a Root Mean Square Error (RMSE) of 1.97 and a coefficient of determination (R2) of 0.91, corresponding to less than 5% prediction error for all refrigerants. These outcomes confirm that machine learning models can effectively capture the complex thermofluid interactions involved in boiling heat transfer. This work demonstrates that data-driven methods provide a reliable and generalizable alternative to empirical correlations.
Full article

Figure 1
Open AccessArticle
Analysis of a Vibrating Beam Structure in the Context of Hands-On Teaching in Structural Dynamics
by
Thomas Kletschkowski
J. Exp. Theor. Anal. 2025, 3(4), 31; https://doi.org/10.3390/jeta3040031 - 15 Oct 2025
Abstract
►▼
Show Figures
To demonstrate the difference between non-ideal experiments and idealized analytical models, bending vibrations of a frame structure have been analyzed in the context of hands-on teaching in structural dynamics. Both experimental modal analysis and model-based evaluation of system dynamics have been performed. The
[...] Read more.
To demonstrate the difference between non-ideal experiments and idealized analytical models, bending vibrations of a frame structure have been analyzed in the context of hands-on teaching in structural dynamics. Both experimental modal analysis and model-based evaluation of system dynamics have been performed. The investigations have been limited to mechanical vibrations in the low-frequency range. It has been found that even simple mechanical models are very useful to explain, understand, and validate experimental results. The latter have been derived from one key principle of analytical dynamics—the Lagrange formalism. The article is written for students in mechanical engineering and related fields as well as for the academic community. The latter could use the results as a benchmark problem in academic teaching as well as in applied research.
Full article

Figure 1
Open AccessArticle
Thermal Performance of Silicone and Non-Silicone Thermal Pads as Thermal Interface Materials
by
Chandan Roy, Landon Yarbrough, Hammad Quddus and Megan Batchelor
J. Exp. Theor. Anal. 2025, 3(4), 30; https://doi.org/10.3390/jeta3040030 - 5 Oct 2025
Abstract
►▼
Show Figures
The research presents the thermal performance comparison of silicone and non-silicone thermal pads using a steady-state thermal interface material (TIM) testing apparatus. The TIM tester follows standard guidelines for testing thermal properties. TIMs are applied between two solid surfaces to improve heat transfer
[...] Read more.
The research presents the thermal performance comparison of silicone and non-silicone thermal pads using a steady-state thermal interface material (TIM) testing apparatus. The TIM tester follows standard guidelines for testing thermal properties. TIMs are applied between two solid surfaces to improve heat transfer by eliminating air gaps that naturally occur due to surface roughness and non-flatness. Since TIMs possess significantly higher thermal conductivity than air, they effectively reduce contact resistance at the interface, thereby minimizing the risk of overheating in electronic systems. In this work, the thermal resistances of silicone and non-silicone thermal pads were compared over a pressure range of 10–50 psi. Results indicate that non-silicone pads consistently exhibit lower thermal resistance than their silicone counterparts under identical testing conditions.
Full article

Figure 1
Open AccessReview
An Overview of Oil Spill Modeling and Simulation for Surface and Subsurface Applications
by
M. R. Riazi
J. Exp. Theor. Anal. 2025, 3(4), 29; https://doi.org/10.3390/jeta3040029 - 23 Sep 2025
Abstract
In this review paper, we briefly discuss the occurrence of oil spills and their behavior under natural sea conditions and clean-up methods, as well as their environmental and economic impacts. We discuss methodologies for oil spill modeling used to predict the fate of
[...] Read more.
In this review paper, we briefly discuss the occurrence of oil spills and their behavior under natural sea conditions and clean-up methods, as well as their environmental and economic impacts. We discuss methodologies for oil spill modeling used to predict the fate of a spill under dynamic physical and chemical processes. Weathering processes such as evaporation, emulsification, spreading, dissolution, dispersion, biodegradation, and sedimentation are considered within easy-to-use modeling frameworks. We present simple models based on the principles of thermodynamics, mass transfer, and kinetics that under certain conditions can predict oil thickness, volume, area, composition, and the distribution of toxic compounds in water and air over time for various types of oil and their products. Modeling approaches for underwater oil jets, including applications related to the 2010 BP oil spill in the Gulf of Mexico, are reviewed. The influence of sea surface velocity and wind speed on oil spill mapping, spill location, oil spill trajectory over time, areas affected by light, medium, and heavy oil, and comparisons between satellite images and model predictions are demonstrated. Finally, we introduce several recently published articles on more recent oil spill incidents and the application of predictive models in different regions. We also discuss the challenges, advantages, and disadvantages of various models and offer recommendations at the end of the paper.
Full article
(This article belongs to the Special Issue Featured Papers for Journal of Experimental and Theoretical Analyses (JETA))
►▼
Show Figures

Figure 1
Open AccessArticle
Sustainability Assessment in Recombinant Human Insulin Production—Evaluating the Environmental Impacts of Microbial Growth Medium Components and Formulations
by
Konstantina-Roxani Chatzipanagiotou, Athanasios Pappas, Foteini Petrakli, George Antonaropoulos and Elias P. Koumoulos
J. Exp. Theor. Anal. 2025, 3(3), 28; https://doi.org/10.3390/jeta3030028 - 15 Sep 2025
Abstract
According to the International Diabetes Federation, approximately 537 million adults suffered from diabetes in 2021, a number that is projected to rise to 783 million by 2045. Insulin is a hormone produced by the pancreas that regulates blood glucose levels; for people suffering
[...] Read more.
According to the International Diabetes Federation, approximately 537 million adults suffered from diabetes in 2021, a number that is projected to rise to 783 million by 2045. Insulin is a hormone produced by the pancreas that regulates blood glucose levels; for people suffering from diabetes, insulin activity may be reduced or absent, and therefore, administration of insulin may be necessary to maintain healthy blood glucose levels. Recombinant human insulin is commercially produced using a variety of host microorganisms, such as bacteria and yeast. Nevertheless, few studies have assessed the environmental impacts associated with different upstream medium formulations and their contribution to the overall environmental footprint of recombinant insulin production. Here, Life Cycle Assessment (LCA) is conducted on various upstream media used in insulin production—including pre-cultivation, growth, feed, and induction media—capturing the impacts associated with both their supply chains and their on-site preparation. Hotspots of environmental impacts are identified, and different alternatives for input materials and process conditions are compared in terms of impacts. The findings reported here can serve to guide process and sustainability optimization of the upstream production process from an operational process perspective. Finally, the identification of hotspots enables the implementation of impact reduction measures in bioprocess design, which have the potential to significantly improve the sustainability of insulin production.
Full article
(This article belongs to the Special Issue Life Cycle Assessment: Methodological Advances and Practical Pathways for Sustainable Systems)
►▼
Show Figures

Figure 1
Open AccessArticle
Life Cycle Assessment of Swimming Goggles: Evaluating Environmental Impact and Consumer Awareness
by
Vasilissa Nikonova, Veronica Bortolotto, Costanza Bebber, Irene Presti, Gabriele Angelo Valtorta, Serena Biella and Claudia Letizia Bianchi
J. Exp. Theor. Anal. 2025, 3(3), 27; https://doi.org/10.3390/jeta3030027 - 11 Sep 2025
Abstract
This study evaluates the environmental impact of swimming goggles through a Life Cycle Assessment (LCA), comparing virgin and recycled polycarbonate models. It identifies key hotspots, assesses circular economy benefits, and examines barriers to sustainable disposal, aligning with European Union’s (EU) 2050 sustainability objectives.
[...] Read more.
This study evaluates the environmental impact of swimming goggles through a Life Cycle Assessment (LCA), comparing virgin and recycled polycarbonate models. It identifies key hotspots, assesses circular economy benefits, and examines barriers to sustainable disposal, aligning with European Union’s (EU) 2050 sustainability objectives. The LCA was modeled using SimaPro, with the Environmental Footprint (EF) 3.1 method to analyze 16 impact categories (e.g., climate change, human toxicity, resource depletion). Two scenarios were assessed: (1) virgin polycarbonate production and (2) a closed-loop system (80% recycled content, 30% reintegration). Primary data from a survey of 150 competitive swimmers quantified disposal behaviors. The lens production phase (bisphenol A processing) dominated impacts, contributing to 62% of climate change and 75% of human toxicity. The recycling scenario reduced total impact by 23.1% (119 → 91.5 mPt), with significant declines in freshwater ecotoxicity (−28.6%) and marine eutrophication (−25.1%). Survey data highlighted critical gaps: low consumer participation in recycling due to lack of awareness and inadequate disposal infrastructure. Recycled polycarbonate can substantially mitigate environmental impacts, but systemic barriers (consumer behavior, collection gaps) limit progress. Future work should explore bio-based polymers and policy incentives to accelerate circularity.
Full article
(This article belongs to the Special Issue Life Cycle Assessment: Methodological Advances and Practical Pathways for Sustainable Systems)
►▼
Show Figures

Graphical abstract
Open AccessArticle
Comparative Study on Performance and Energy-Efficient Operation of the Steering Valves Used in Articulated Steering System
by
Sriharsha Rowduru, Mohit Bhola, Niranjan Kumar and Ajit Kumar
J. Exp. Theor. Anal. 2025, 3(3), 26; https://doi.org/10.3390/jeta3030026 - 4 Sep 2025
Abstract
►▼
Show Figures
The present article compares the Proportional Directional Control Valve (PDCV) and the Stepper Motor-Driven Orbitrol Valve (SMDOV) coupled to the steering system of the articulated steered vehicles. Simulation models of both valve coupled steering systems are developed in a MATLAB (r2019b) environment, and
[...] Read more.
The present article compares the Proportional Directional Control Valve (PDCV) and the Stepper Motor-Driven Orbitrol Valve (SMDOV) coupled to the steering system of the articulated steered vehicles. Simulation models of both valve coupled steering systems are developed in a MATLAB (r2019b) environment, and results are well validated with the experimental data. Comparison analysis is performed between the PDCV and SMDOV steering systems by controlling the desired position demand using a conventional PID controller. From the comparative study, it is observed that the SMDOV provides almost 50% energy reduction, but the valve response is low compared to PDCV. However, the steering response provided by the SMDOV is quite enough for performing steering operations in mining conditions. Overall, the orbitrol valve-assisted steering system offers more efficient and smooth steering than the PDCV valve. The future work of the present study extends to the development of autonomous steering operation using an orbitrol valve-operated articulated steering system.
Full article

Figure 1
Open AccessArticle
Investigation of the Impact of Testing Machine and Control Modes on the Portevin-Le Chatelier Effect in Aluminum Alloy with Diffusible Solute Magnesium
by
Roberto Doglione and Francesco Tanucci
J. Exp. Theor. Anal. 2025, 3(3), 25; https://doi.org/10.3390/jeta3030025 - 31 Aug 2025
Abstract
►▼
Show Figures
The Portevin-Le Chatelier (PLC) effect has been studied for many decades, yet the influence of testing modes has received limited attention. In the past 20 years, it has become increasingly recognized that the stiffness of the testing machine can significantly affect the occurrence
[...] Read more.
The Portevin-Le Chatelier (PLC) effect has been studied for many decades, yet the influence of testing modes has received limited attention. In the past 20 years, it has become increasingly recognized that the stiffness of the testing machine can significantly affect the occurrence of jerky flow, particularly the serrations observed during tensile tests. This study addresses this issue by conducting tests on the Al-Mg alloy AA5083H111, which contains a substantial amount of diffusible magnesium in solid solution and exhibits dynamic strain aging, resulting in a pronounced PLC effect. Both electromechanical and servohydraulic testing machines were used in the tests; these machines differ in stiffness and control technology for applied strain rates. The study also explored different control modes, including stroke control for both machines and true strain control for the servohydraulic machine. The findings indicate that machine stiffness has a moderate effect on material behavior, and no single machine or testing mode can precisely control the strain rate in the sample during the PLC effect. However, it was noted that true strain rate control using a servohydraulic machine comes closest to accurately reflecting the material’s behavior during jerky flow.
Full article

Figure 1
Open AccessArticle
Mixed Polaron and Bipolaron Transport in (xV2O5–(65–x) Sb2O3–35P2O5) Glasses
by
Manar Alenezi, Amrit Prasad Kafle, Meznh Alsubaie, Ian L. Pegg, Najwa Albalawi and Biprodas Dutta
J. Exp. Theor. Anal. 2025, 3(3), 24; https://doi.org/10.3390/jeta3030024 - 26 Aug 2025
Abstract
►▼
Show Figures
This study presents the electrical and optical properties of 35P2O5–xV2O5–(65–x) Sb2O3 glasses for 0 ≤ x ≤ 65 mol%. The direct current (DC) resistivity was measured by the Van der Pauw method
[...] Read more.
This study presents the electrical and optical properties of 35P2O5–xV2O5–(65–x) Sb2O3 glasses for 0 ≤ x ≤ 65 mol%. The direct current (DC) resistivity was measured by the Van der Pauw method and optical absorption spectra were taken in the Ultraviolet–Visible-Near-Infrared (UV–VIS–NIR) range. Electrical transport is attributed to simultaneous hopping of small polarons (SPs) between V4+ and V5+ (vanadium ion) sites and small bipolarons (SBPs) between the Sb3+ and Sb5+ (antimony ion) sites. The resistivity exhibits a non-linear dependence on the ionic fraction of vanadium (nv), whereas the resistivity exhibits a minimum in the composition range 0 ≤ nV ≤ 0.3, and a resistivity maximum was observed in the range 0.3 ≤ nV ≤ 0.5. On further increasing nv, the resistivity exhibits a monotonic decline. In the composition range 0 ≤ nV ≤ 0.3, where the hopping distance between V ions decreases, while that between the Sb ions increases, the resistivity minimum has been shown to be the consequence of decreasing tunneling distance of SPs between the V4+ and V5+ ion sites. In the composition range 0.3 ≤ nV ≤ 0.5, the resistivity, activation energy for DC conduction, glass transition temperature, and density exhibit their respective maxima even though the separation between the V4+ and V5+ sites continues to decrease. This feature is explained by enhanced localization of electrons on account of increased disorder (entropy) among the SPs and SBPs, like that of Anderson localization. This argument is further supported by a shift in the polaronic optical absorption bands associated with the SPs and SBPs toward higher energies. The transport behavior of all the glasses except the x = 0 composition has been explained by adiabatic transport, principally, by the SPs on V ions while the Sb ions contribute little to the total transport process. The results provide a clear relation between composition, polaron/bipolaron contributions, and conduction in these glasses.
Full article

Figure 1
Open AccessArticle
Federated Learning Strategies for Atrial Fibrillation Detection
by
Wesley Chorney and Sing Hui Ling
J. Exp. Theor. Anal. 2025, 3(3), 23; https://doi.org/10.3390/jeta3030023 - 21 Aug 2025
Abstract
►▼
Show Figures
Background: Different treatments may be required for paroxysmal versus non-paroxysmal atrial fibrillation. However, they may be difficult to distinguish on an electrocardiogram (ECG). Machine learning methods may aid in differentiating these conditions, yet current approaches either do not preserve patient privacy or tend
[...] Read more.
Background: Different treatments may be required for paroxysmal versus non-paroxysmal atrial fibrillation. However, they may be difficult to distinguish on an electrocardiogram (ECG). Machine learning methods may aid in differentiating these conditions, yet current approaches either do not preserve patient privacy or tend to make the unrealistic assumption of uniform data. Methods: We create a non-independently and identically distributed dataset for paroxysmal versus non-paroxysmal atrial fibrillation detection. Two baselines (a centralized classifier and a federated classifier) are trained, and the performances of classifiers pretrained on shared data before federated training are compared. Results: The centralized classifier outperforms all other models ( ), while the federated model is the worst-performing model ( ). Classifiers that are pretrained on 10%, 30%, and 50% of shared data (CNN-10, CNN-30, CNN-50, respectively) perform better than the purely federated model ( for all models). Furthermore, no performance difference is observed between any of the models trained on shared data (the null hypothesis of a one-way analysis of variance test between the shared data models is not rejected, ). Conclusions: The partial sharing of data in creating federated machine learning models may significantly improve performance. Furthermore, the volume of data required to be shared may be relatively small.
Full article

Figure 1
Open AccessArticle
Seed Priming with Phytofabricated Silver Nanoparticles: A Physicochemical and Physiological Investigation in Wheat
by
Saubhagya Subhadarsini Sahoo, Dwipak Prasad Sahu and Rajendra Kumar Behera
J. Exp. Theor. Anal. 2025, 3(3), 22; https://doi.org/10.3390/jeta3030022 - 11 Aug 2025
Cited by 1
Abstract
Seed priming is an innovative pre-planting technique to improve germination and accelerate early seedling growth, offering a sustainable and eco-friendly alternative to chemical treatments. In this study, silver nanoparticles (AgNPs) were synthesized using flower extracts of neem plants for the first time, alongside
[...] Read more.
Seed priming is an innovative pre-planting technique to improve germination and accelerate early seedling growth, offering a sustainable and eco-friendly alternative to chemical treatments. In this study, silver nanoparticles (AgNPs) were synthesized using flower extracts of neem plants for the first time, alongside the conventional neem leaf extract-based AgNPs, and their comparative efficacy was evaluated in wheat seed priming. The biosynthesized AgNPs were characterized through UV–Vis spectroscopy, Fourier Transform Infrared Spectroscopy (FTIR), X-ray Diffraction (XRD), Field Emission Scanning Electron Microscopy (FESEM), Energy-Dispersive Spectroscopy (EDS), Dynamic Light Scattering (DLS), and zeta potential analysis to confirm their formation, stability, and surface functionality. Wheat seeds were primed with varying concentrations (25, 50, 75, 100 mg/L) of flower-mediated nanoparticles (F-AgNPs) and leaf-mediated nanoparticles (L-AgNPs). Effects on seed germination, seedling growth, plant pigments, secondary metabolites, and antioxidant enzyme activities were systematically investigated. The results indicated that F-AgNP priming treatment significantly enhanced wheat seedlings’ performances in comparison to L-AgNPs, which could be attributed to the difference in phytochemical profiles in the extracts. This study contributes a comparative experimental analysis highlighting the potential of biogenic AgNPs—particularly those derived from neem flower extract—offering a promising strategy for enhancing seedling establishment in wheat through seed priming.
Full article
(This article belongs to the Special Issue Featured Papers for Journal of Experimental and Theoretical Analyses (JETA))
►▼
Show Figures

Graphical abstract
Highly Accessed Articles
Latest Books
E-Mail Alert
News
6 November 2025
MDPI Launches the Michele Parrinello Award for Pioneering Contributions in Computational Physical Science
MDPI Launches the Michele Parrinello Award for Pioneering Contributions in Computational Physical Science
Topics
Special Issues
Special Issue in
JETA
Featured Papers for Journal of Experimental and Theoretical Analyses (JETA)
Guest Editor: Marco RossiDeadline: 31 December 2025
Special Issue in
JETA
Life Cycle Assessment: Methodological Advances and Practical Pathways for Sustainable Systems
Guest Editors: Claudia Bianchi, Serena BiellaDeadline: 31 December 2025
Special Issue in
JETA
Recent Advances in Analysis Technologies of Radiation Detectors for Industrial Applications
Guest Editor: David F. MahonDeadline: 31 December 2025
Special Issue in
JETA
Experimental and Theoretical Analysis of Composite Manufacturing:Processes, Modelling, and Digital Integration
Guest Editors: Jia Ge, Dan SunDeadline: 31 December 2025


