Next Article in Journal
Preliminary Numerical Modelling of the Ionization Region to Model Ionic Propulsion
Next Article in Special Issue
An Evaluation Method to Estimate a Vehicle’s Center of Gravity During Motion Based on Acceleration Relationships
Previous Article in Journal / Special Issue
Probabilistic Cumulative Damage Analysis of Aluminum Light Pole Handholes
 
 
Font Type:
Arial Georgia Verdana
Font Size:
Aa Aa Aa
Line Spacing:
Column Width:
Background:
Article

Design Interaction Diagrams for Shear Adequacy Using MCFT-Based Strength of AS 5100.5—Advantages of Using Monte Carlo Simulation

by
Koon Wan Wong
1 and
Vanissorn Vimonsatit
2,*
1
Independent Researcher, Perth, WA 6000, Australia
2
School of Engineering, Faculty of Science and Engineering, Macquarie University, Sydney, NSW 2109, Australia
*
Author to whom correspondence should be addressed.
J. Exp. Theor. Anal. 2025, 3(4), 41; https://doi.org/10.3390/jeta3040041
Submission received: 13 October 2025 / Revised: 11 November 2025 / Accepted: 26 November 2025 / Published: 5 December 2025

Abstract

This paper presents three different approaches for generating points along the interaction diagram corresponding to design load effects—shear, bending moment, and axial force—to achieve optimal shear strength adequacy with the Australian bridge design standard AS 5100.5. The methodology targets the optimal shear condition by matching the design shear V * with the capacity ϕ V u , which represents achieving a load rating factor of unity within the specified tolerance limits. The first typical approach for generating points for two load effects is by increasing the moment–shear ratio η m in small increments from zero to a large value (theoretically infinity), and for each increment, to goal-seek the condition. The other approaches investigated are the use of increasing factored moment M * and the use of Monte Carlo simulation. A pretensioned bridge I-girder section reported in the literature was used in the study. The Monte Carlo simulation method was found to be the simplest to program. It allows an interaction surface for the influence of three load effects for optimal shear adequacy to be obtained with minimal program coding and outperforms the goal–seeking approaches for multi-variable interactions. It can create 2-D interaction lines for various levels of shear adequacy for the interaction of M * and V * , and 3-D interaction surfaces for M * , V * , and N * . The potential use of interaction diagrams was explored, and the advantages and limitations of using each method are presented. The interaction curves of two typical pretensioned concrete sections of a plank girder, one next to an end support and the other close to mid-span, were created to show the distinguishing features resulting from their reinforcement.

1. Introduction

In structural engineering, interaction diagrams are a valuable design tool that illustrate the failure envelope of a structural member caused by the interaction between load effects. The most common interaction used for the analysis and design of concrete structures is that between axial force N and bending moment M, which causes the failure of a reinforced concrete section [1]. Therefore, it is important to be able to create these diagrams with minimal programming effort to study the behavior of concrete structures and the effects of design requirements on the design of these structures.
The study focused on pretensioned concrete sections with straight tendons, establishing a clear basis for analysis. The proposed approaches, however, are equally applicable to reinforced and prestressed concrete sections with deflected tendons, underscoring their broader relevance. Three approaches were examined: (1) increasing the moment–shear ratio, (2) increasing the moment, and (3) Monte Carlo simulation. Among these, the Monte Carlo simulation approach was found to be the easiest to program. To demonstrate this, 3-D interaction diagrams were created for the section of a pretensioned bridge reported in the literature. In addition, contour plots of the interaction between shear and moment were created. The effect of axial force on the interaction was also investigated. Finally, typical sections of a pretensioned concrete plank were used to show the distinguishing features of the diagrams resulting from their reinforcement.

2. Interaction Diagrams for Shear Adequacy Using MCFT-Based Strength of AS 5100.5

For bridge design to AS 5100.5 [2] and load rating to AS 5100.7  [3], the sought strength ϕ V u  =  V * for a fictitious monotonic live load is not necessary, as the non-iterative strength for load effects of the design or rating vehicle provides an accurate load rating factor for shear adequacy of the vehicle–bridge system under assessment [4]. V u is the ultimate shear strength, ϕ V u , equaling ϕ v  ×  V u , is the reduced ultimate shear strength, and ϕ v is the capacity reduction factor for shear. The term “fictitious” is used here to describe a loading characteristic that is not consistent with the loading of the rating vehicle on the bridge. Consistency of strength and loading is a key feature of MCFT-based strength [5]. MCFT is the acronym for “Modified Compression Field Theory”.
However, to accurately determine the allowable trailer load of a rated heavy vehicle with a platform trailer for the assessment of travel permit requests, a scaling factor S F t r a i l e r . R F = 1 of the trailer axle loads to give a load rating factor of unity is required [6]. The iterative solution procedure to achieve a load rating factor R F  = 1 for shear requires repeated cycles of structural analysis of the vehicle–bridge system, each with a trial S F t r a i l e r , using a non-linear solution search technique. Numerous trial girder sections, vehicle positions, and scaling factors must be considered.
A less rigorous approach is scaling the entire axle load of the vehicle on the bridge using a multiplying factor M F calculated from the sought strength ϕ V u based on an assumed fictitious monotonic loading. This method can be used to determine the allowable trailer load of a heavy vehicle with a platform trailer. However, its accuracy depends on the ability to correctly identify both the critical section and the position of the assessment vehicle at the critical loading stage. In addition, all axles of the vehicle on the bridge at the loading stage must be those of the trailer, not of the entire vehicle [7].
While interaction diagrams are not necessary for the design and load rating of structures for section shear, they are useful as an aid for selecting the size and reinforcement layout of sections of standard girders at the preliminary design stage. Standard precast prestressed concrete girders shown in Appendix D of AS 5100.5 are often used for bridge girders. Examples of design aids are the interaction diagrams provided for column sections in design handbooks [8,9].
They are also useful for studying the effects of prescribed design requirements of design standards to modify the strength calculated using the MCFT equation, allowing their influence to be observed graphically. For example, the effect of limiting the design strength V u to V u . m a x in AS 5100.5 can be studied. V u . m a x is the ultimate shear strength limited by web crushing failure. Additionally, interaction diagrams, created for test conditions, using unfactored load effects and material properties, are useful to guide the design of laboratory testing to study the accuracy of proposed MCFT-based equations. For example, for a study to determine the accuracy of a proposed equation for shear strength, it is important to ensure that the test structure does not suffer premature yielding of the longitudinal reinforcement before the onset of section shear failure.

3. Determination of Ultimate Shear Strength

3.1. Methodology

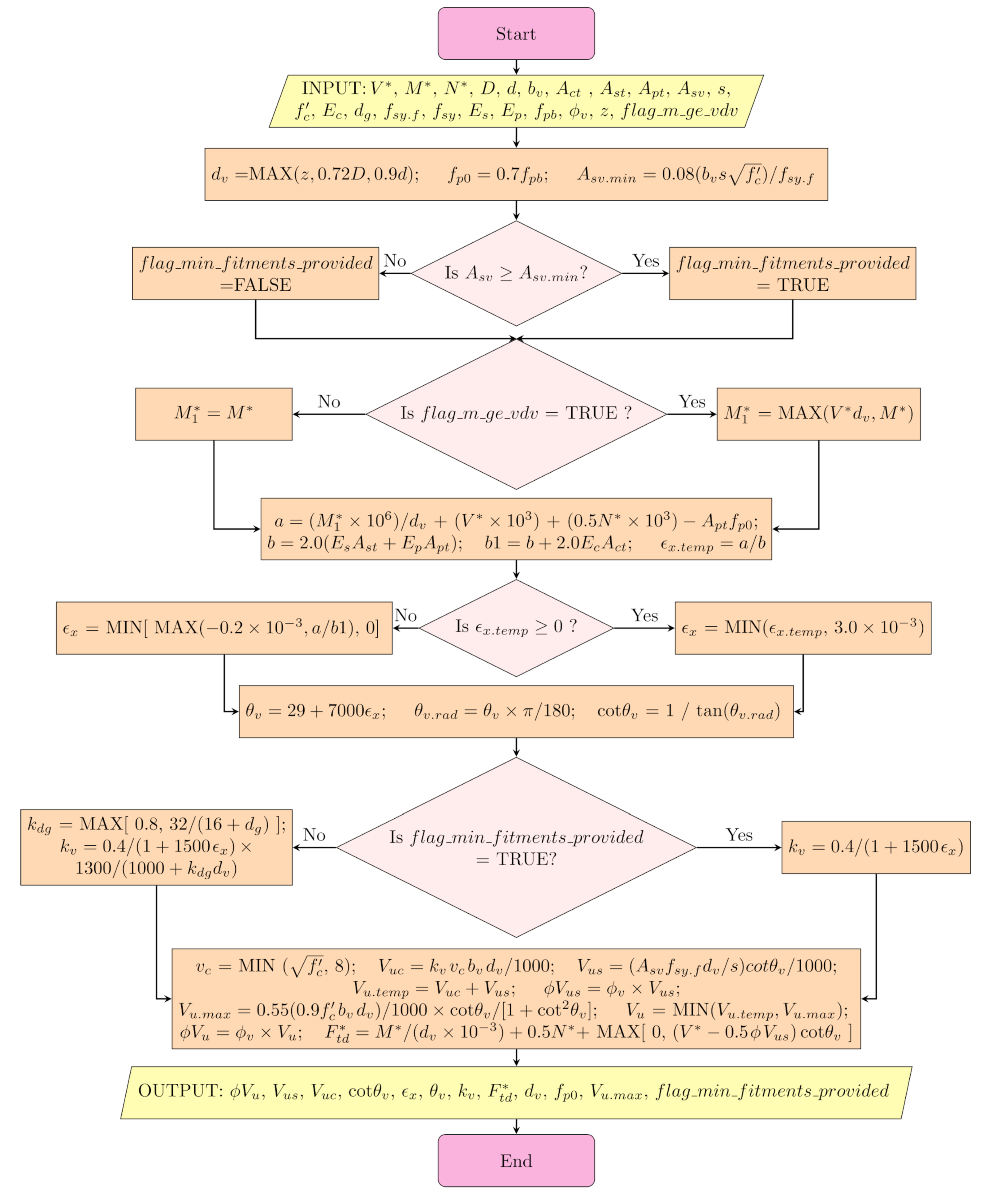
A Python [10] function, CALC_SHEAR, common to all the main programs used in the study, was developed to calculate the reduced ultimate shear strength ϕ V u for z and a set of factored load effects, M * , V * , and N * , where z is the internal moment lever arm of the section at the ultimate limit state corresponding to the ultimate moment capacity M u . It uses equations from AS 5100.5. The flow diagram for CALC_SHEAR is shown in Figure 1. Variables in the flow diagram follow the notations of AS 5100.5, and they are listed in the first column of Table A1. The strength equation in CALC_SHEAR is suitable for sections of reinforced concrete beams and prestressed concrete beams with horizontal tendons.
The calculation of effective shear depth, d v , in CALC_SHEAR requires z, and the calculation of the ultimate force capacity of the longitudinal steel on the flexural tensile side F t d . u in the main programs using Equation (1) requires σ p u , the maximum stress in the tendon at ultimate flexural strength; both values are obtained from another Python function, CALC_MOM. The function CALC_MOM is called first in the main program. The flow diagram for CALC_MOM is shown in Figure 2. For simplicity, several steps in the function were not shown. These are the checks on the validity of the assumption for the rectangular section behavior of the flanged sections, i.e., the depth to the neutral axis of strain, d n h f l a n g e , and the alerting of additional requirements in AS 5100.5 for sections with the neutral axis parameter k u 0 > 0.36.
F t d . u = A s t f s y + A p σ p u
For simplicity in checking the adequacy of the longitudinal steel due to the additional force from the shear component, the total force presented in Equation (2) is used. The term Δ F t d * presented in Equation () is the additional force contribution from shear, given by Equation 8.2.7(1) of AS 5100.5 for a pretensioned section with undeflected tendons. Equation (2) assumes that the force contribution from the moment is M * / d v , which is congruent with the practice in the USA [11]. It is also similar to that of AS 3600 [12], which uses M * / z for the contribution from the moment. The equation for Δ F t d * of this latest version of AS 3600 was changed in Amendment 2 from the previous edition to depend on V u c instead of V u s . Vimonsatit, Wong, and Mendis [13] found that this change in AS 3600 was not suitable for load rating of structures, particularly those with shear deficiency.
F t d * = M * d v + N * 2 + Δ F t d *
where Δ F t d * = MAX [ 0.0 , ( V * 0.5 ϕ V u s ) cot θ v ]
For section shear, the design requirements for the determination of ultimate shear strength V u to AS 5100.5 are as follows:
  • M * V * d v for calculating ϵ x , where ϵ x is the longitudinal strain in the concrete at mid-depth of the section;
  • V u V u . m a x ; and
  • 0.2 × 10 3 ϵ x 3.0 × 10 3 .
A flag variable f l a g _ m _ g e _ v d v is used in the main programs calling CALC_SHEAR to turn on and off the design requirement of M * V * d v for shear strength determination to allow the effect of the requirement to be studied. The values of capacity reduction factors ϕ v for shear, ϕ f for moment, and ϕ l for force in the longitudinal steel are also set in the main programs.

3.2. Check Analysis

The accuracy of the function CALC_SHEAR was checked using analysis results from a concrete section of a pretensioned concrete bridge girder with a cast-in-situ concrete deck slab, referred to as “Section 3”, from a published article by Caprani and Melhem [14]. This section is referred to as “composite I-girder section” in this article. For this check, the equations used in CALC_SHEAR were changed to follow those of a previous version of AS 5100.5 without Amendment 2 of 2024, since the quoted article was published in 2019. These changes are listed below.
  • Equation 8.2.3.3(1) of the previous version gave V u . m a x larger than that of the current version, which has an additional multiplying factor of 0.9.
  • Equation 8.2.1.7 of the previous version gave A s v . m i n = MIN[ (0.08 b v s f c / f s y . f ), ( 0.35 b v s / f s y . f )], which is different from the current A s v . m i n  = 0.08 b v s f c / f s y . f .
Input values for the section are from the article. They did not provide the yield strength f s y of the longitudinal reinforcement; therefore, the present study assumed it to be the same as their reported value f s y . f  = 400 MPa for fitments. They calculated d v equaling MAX(0.9d, 0.72D) instead of MAX(z, 0.9d, 0.72D) stipulated in AS 5100.5. They used the variable f p y instead of σ p u in their equation for force capacity F l t . u , which is equivalent of F t d . u .
The check analysis was carried out using d v equal to MAX(0.9d, 0.72D) and F t d . u with the term σ p u in its equation replaced by f p y , which did not require calling the function CALC_MOM. In the main programs, the value of z was set to zero before calling CALC_SHEAR to disable the effect of z in the calculation of d v . The strength reduction factors ϕ v and ϕ l were set to 1.0, and F t d . u was calculated using f p y in place of σ p u .
Geometric and material properties are presented in column 3 of Table A1, and the section is shown in Figure A1. The check analysis used the following basic input values. The dimensions of the I-girder of the composite section are those of a standard precast I-girder of Type 3 shown in Figure D1(A) of AS 5100.5. Reinforcing steels were not shown in the figure, as specific details of the prestressing strands were not reported by the authors. The stress f p 0 in the prestressed reinforcement when the stress in the surrounding concrete is zero, is assumed to be 0.7 f p b , where f p b is the characteristic breaking strength, based on Clause 8.2.4.4 of AS 5100.5.
They reported an ultimate shear strength V u  = 1767 kN for design shear V *  = 1362 kN, and M * for η m  =  M * / V *  = 0.83 m. CALC_SHEAR gave the same value for these load effects when the requirement of M * to be at least V * d v was not used to calculate ϵ x , and the strength was found to be limited to V u . m a x as V u from the MCFT-based equation is greater than V u . m a x . Including the requirement, CALC_SHEAR gave V u  = 1775 kN. Value of d v for the section is 1.134 m. They reported a sought value V u  = 1717 kN for V u  =  V * . Since CALC_SHEAR on its own is not able to determine the sought strength for the fictitious monotonic loading of η m , V u was determined for V * of 1717 kN. The value of V u was found to be 1780 kN. CALC_SHEAR did not yield V u equal to it, suggesting that this reported value is not the converged solution for η m . Analysis using an Excel spreadsheet with its goal-seek feature gave a converged value of V *  =  V u *  = 1782 kN, which was subsequently confirmed using CALC_SHEAR.
The results from CALC_SHEAR are summarized in Table 1. The design force in the longitudinal reinforcement F t d * is also presented in the table. At the design load level V * of 1362 kN, F t d *  = 2138 kN, which is less than F t d . u  = 4022 kN; this shows that the force from the design load effects is less than the force capacity. The intersecting points of the loading line with M * / V *  = 0.83 with both the shear interaction curve and the force interaction curve are shown in Figure 3. The force interaction curve is the load effects for F t d *  =  F t d . u , with F t d . u calculated using f p y instead of σ p u . The V * of 2170 kN with its concurrent M * of 1801 kNm are the load effects to cause yielding in the longitudinal steel.

3.3. Design Strength of the I-Girder Composite Section

The condition V u  =  V * for a fictitious loading is not useful for design and load rating, where the requirement for shear adequacy is V * ϕ V u for the vehicle–bridge system under assessment. It is also not useful for laboratory testing to failure, where the unfactored shear V n  =  V u . m is sought to investigate the shear strength based on the MCFT-based equation. V u . m is the unfactored strength calculated using mean properties obtained from material testing. The analysis to seek V *  =  V u described earlier in this section was carried out solely to enable the results from CALC_SHEAR to be checked against reported values from Caprani and Melhem [14].
Table 2 presents results for non-iterative and iterative ϕ V u values for the I-girder composite section shown in Figure A1 for three V * values. The first V * of 1362 kN is the design shear reported by Caprani and Melhem [14]. The others are V * values for the sought conditions V *  =  ϕ V u and F t d *  =  ϕ F t d . u , where ϕ F t d . u ϕ l × F t d . u , are from analyses using the goal-seek feature of Excel. The values of ϕ v and ϕ l were both set to 0.7 in the main programs. The capacity reduction factor for bending ϕ f was assigned a value of 0.0 to enable it to be determined by the function CALC_MOM, as it is dependent on the neutral axis parameter k u 0 . This allows a value of 1.0 to be assigned where required for analysis. The effective shear depth, d v , for the section is 1.118 m. This analysis and the subsequent analyses for the composite section used the extended input data listed in Table A1. Owing to the reported effective depth d of Caprani and Melhem [14] not being accurate for the arrangement of the reinforcement of the section provided in the article, a revised value of 1146 mm was used. This replaces the value of 1260 mm in the basic set. Values of d p , d s , b f l a n g e , and d f l a n g e were also added to enable the function CALC_MOM to determine z and σ p u . For the rectangular section, b f l a n g e and h f l a n g e were input as zeros. The main programs set the effective width for bending, b e f  =  b v for rectangular sections and b e f  =  b f l a n g e for flanged sections, before passing the value of b e f to CALC_SHEAR to determine z and σ p u .
The analysis using the requirement of AS 5100.5 shows inadequacy for section shear as V * / ϕ V u  = 1.24. The value of σ p u of this section exceeded the value of f p y , and was limited to f p y . Since the characteristic strength of steel used is 400 MPa, this section was likely designed to an older version of the standard that used an empirically determined equation for strength; therefore, it is possible for the section to be understrength when checking it against the requirements of the current standard. A check of the design for shear adequacy against the previous version of AS 5100.5 was not possible due to the missing prestressing force required for the calculation. Force in the longitudinal reinforcement is adequate as F t d * / ϕ F t d . u  = 0.91. The value of ϕ F t d . u of the section is 2816 kN. The intersecting points of the loading line for M *  = 0.83 V * with both the shear interaction curve and the longitudinal force interaction curve are shown in Figure 4.
In the calculation of F t d * , the contribution from moment, carried out using the term M * / d v in this study, AS 5100.5 does not require that M * be at least V * d v for calculating this force component. In contrast, the contribution from shear uses V u s calculated using θ v and cot θ v with θ v determined for the increased moment effect for M * < V * d v . While likely conservative, this suggests an inconsistency in the value of M * used for the calculation of the force contribution to F t d * from bending and shear for sections with M * < V * d v .

4. Creation of 2-D Design Interaction Diagram

Two-dimensional interaction diagrams are common, as it is easy to visualize the interaction of two effects. This section describes three approaches for generating points on interaction diagrams for optimal shear adequacy ( R F  = 1).

4.1. Increasing Moment–Shear Ratio, η m

Increasing the slope of the moment–shear ratio η m is the most common approach to create points to construct interaction diagrams. To locate the optimal-shear point for a known η m , the assumption of a fictitious monotonic loading of the load effects has to be made. To trace the entire interaction curve, the gradient of η m was progressively increased by changing its slope with the positive x-axis by varying it counterclockwise from 0 to 89 in increments of 1 . The slope for 90 is infinity; therefore, it was not used in the analysis. For each slope, an efficient non-linear goal-seek procedure consisting of two steps [6,15] was used, first seeking a bounding interval and then progressively halving it to achieve convergence. While other goal-seek procedures can be used, they are likely not as stable as the one used in the study. Newton’s method has been used for solving non-linear problems [16]. However, it requires initial guesses of load effects, and the procedure can be unstable if these guesses are not close to their values at convergence.
The goal-seek procedure was to determine ϕ V u equal to V * within prescribed tolerance limits. For each η m , the “seeking bound” step involved moving a fixed bounding interval of V * of 10 kN progressively by an increment of 10 kN in the increasing V * direction, starting from the lower bound value V l o w e r *  = 0 kN, until V u p p e r * > ϕ V u , which indicates that the bounding values have been found to start halving the bounding size. The “halving bound” step starts with the concurrent ϕ V u for the mid-level V m i d * = 0.5 ( V l o w e r * + V u p p e r * ) being calculated. The mid-point value is then checked to see whether convergence had been attained, using the criterion | V m i d * / ϕ V u 1.0 | < t o l . A value of tolerance, t o l = 0.0001 was used in the study. If not achieved, one of the bounding values was replaced by V m i d * to tighten the bounding size, and a new cycle of halving the bound was carried out until convergence was achieved.
The flow diagram in Figure 5 shows the “seeking bound” step of the program, and Figure 6 shows the “halving bound” step to achieve convergence. Only the four key input values—axial force N * , shear V * , moment M * , and the lever arm z of CALC_SHEAR—are shown in the flow diagram. The other input and output values are provided in Figure 1. The flow diagram shows only the output values to the file that was used for creating the plot of the interaction diagram. Other output values required for documenting the analysis, including read values from the input file, assigned ϕ v , ϕ l , f l a g _ m _ g e _ v d v , calculated ϕ F t d . u , and determined f l a g _ m i n _ f i t m e n t s _ p r o v i d e d , were written to another file. Similarly, only the key output values of z and σ p u of CALC_MOM are shown in the flow diagram.
Figure 6 presents the interaction diagrams of the composite section illustrating optimal shear strength adequacy for the three different approaches. Figure 7a shows the diagram generated using the increasing η m approach. In comparison with the other two approaches, this method produces data points that are more widely spaced, especially as they move farther from the origin. A very fine incremental slope was necessary to create points closer together. Also, fewer points were created on the portion with a significant positive gradient slope. The effects of the requirements of AS 5100.5 for M * V * d v for calculating strength and V u V u . m a x can be seen on the left portion, and that for ϵ x 3.0 × 10 3 can be seen on the right portion of the plot. The ϕ V u for ϵ x  =  3.0 × 10 3 obtained using a spreadsheet analysis with Excel is 524.05 kN, and this agrees well with the results from CALC_SHEAR, which show a leveling off of shear strength at the same value.

4.2. Increasing Moment

After establishing that the interaction curve from using the increasing η m approach in Section 4.1 showed there was not more than one solution for strength over its range of moments, the study on the use of increasing moment values to generate optimum-shear points was carried out. This approach is not suitable where there is more than one convergence point for a given M * value. The procedure using increasing moments will not work, as it can seek the lower point only if there are several points of adequacy with different η m . An example of an interaction diagram with two possible convergence points is that of column strength.
This approach uses the same two-step goal-seek procedure of the increasing ratio η m approach. For each M * , the sought value of V *  =  ϕ V u is obtained by varying V * only. The points generated are shown in Figure 7b. The increasing moment approach provides points that are evenly spaced along the x-axis, making it easier to identify the cause of a sudden change in the slope of the interaction curve.

4.3. Monte Carlo Simulation

The Monte Carlo simulation approach has computational steps shown in the flow diagram of Figure 8. The material and geometric properties are first read from an input file. Load rating factors are set, and the flag f l a g _ m _ g e _ v d v is set to “TRUE”. The program then calculates the effective width, b e f , for flexure before calling the function CALC_MOM to determine z and σ p u . The Monte Carlo Simulation involves randomly generating numerous sets of load effects (e.g., M * , V * , and N * ) within the nominated range for each of the effects, as shown in the flow diagram. For each set, the function CALC_SHEAR determines ϕ V u . The convergence criterion | V * / ϕ V u 1.0 | < t o l described in Section 4.1 was used to determine the closeness between V * and ϕ V u . Those satisfying the criterion are collected and written to an output file. The process of this collection is referred to as “farming” in this paper.
This approach uses the built-in random function of the NUMPY package in Python [10] to generate random numbers between two specified limits for every load effect. A random seed is not required for random number generation since the package can use a self-generated seed for its simulation. However, if a random seed value is not provided, the random numbers generated are not reproducible. While it is not necessary, a seed was used in the present study to ensure that the set of random values generated can be reproduced. A seed value of 2025 was used.
For this analysis, two million ( 2.0 × 10 6 ) sets of random numbers for load effects were generated, with V * between 0 and 1900 kN, and M * between 0 and 10,000 kNm. Of the 2 million sets generated, 145 were farmed and written to the output file for plotting. Figure 7c shows the points presented as a scatter plot. It shows the randomness of the farmed numbers. Generating a larger number would have created a scatter plot with points closer together. The number 2 million was selected to enable the randomness of the points to be shown. Sorting the values was not required for the scatter plot. For a line plot, the points will have to be sorted in the order of increasing moment before plotting. The sorting is necessary to provide a meaningful plot, with lines connecting adjacent points of increasing moment, rather than in the random order they were formed. For a denser plot, the program can be changed to generate V * between 400 and 1200 kN, and M * between 0 and 8000 kNm.

5. Investigation of Localized Region of 2-D Interaction Diagram

While all three approaches can be used to investigate localized regions of an interaction diagram, the increasing moment approach is the most suitable, as it allows the moment to be increased in small step increments. In the present study, the cause of an abrupt change in slopes of the interaction curve was investigated by increasing M * from 1000 to 3000 kNm in steps of 5 kNm. Figure 9 shows the resulting scatter plot. The results from the analysis show that the first noticeable slope change occurs at M * = 1240 kNm and V * = 1095 kN. The ratio of M * / V * is 1.132 m, close to the d v value of 1.118 m. This shows that the change in slope is caused by the requirement of M * V * d v for calculating ϵ x . The second slope change occurs at M * = 2360 kNm, and it is caused by the change in sign in ϵ x from negative to positive. The third occurs at M * = 2685 kNm, when V u . m a x is no longer limiting V u .
Generating points for a region can also be carried out using the Monte Carlo approach. In this region, the ranges to use for the generation are 1070 to 1160 kN for V * , and 1000 to 3000 kNm for M * . Sorting the harvested data described in Section 4.3 is not necessary for the scatter diagram. However, it is useful for identifying the cause of the change in slopes. The increasing η m approach is the least suitable for this purpose, as it is difficult to obtain uniformly spaced distributed points and can cause convergence problems if the slope in the approach is close to the positive-gradient region of the curve at the point.

6. Creation of 3-D Design Interaction Diagram for Shear Adequacy

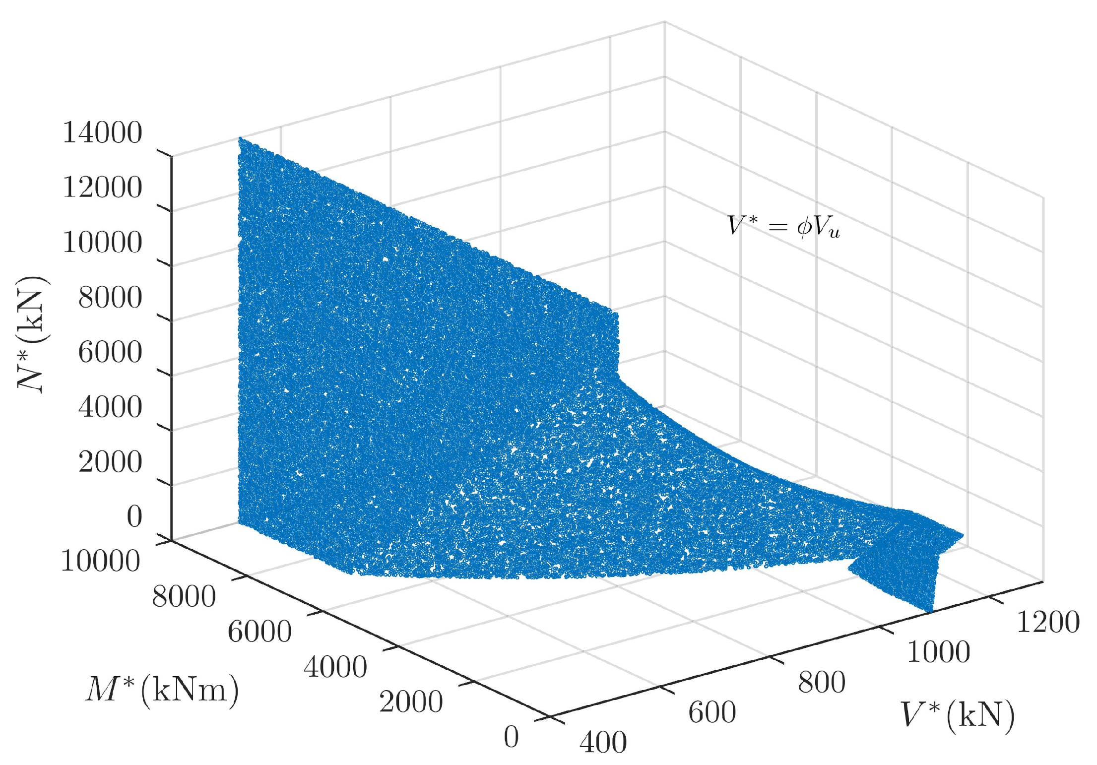
The use of Monte Carlo simulation made it easy to generate sets of load effects to study the interaction of more than two load effects. Figure 10 is a three-dimensional scatter plot using the harvested points for the interaction of M * , V * , and N * for optimal shear adequacy of the composite section. The sign convention for N * is positive in tension. Of the 1 billion ( 1.0 × 10 9 ) sets of numbers generated, 60992 sets that met the convergence criterion were extracted. The requirement of M * V * d v for calculating strength was not included in the analysis. The time taken is 126 min on a PC with an Intel Core i3-3220 GPu @3.30 GHz processor (Intel Corporation, Santa Clara, CA, USA). The ranges of M * and V * used were as described in Section 4.3, and that for N * was for a range between 0 and 14000 kN. For example, the effects of the requirements for V u V u . m a x and ϵ x 3.0 × 10 3 can be seen in Figure 10. ϕ V u of this section with ϵ x = 3.0 × 10 3 is 524.05 kN, as described in Section 4.1. To determine the level of N * for ϵ x = 3.0 × 10 3 for M * = 0, since no consideration of M * V * d v , and V * = 531.75 kN, the required N * was found to be 12656 kN, determined using the goal-seek feature of an Excel spreadsheet. Above this value of N * , the interaction diagram is a straight line in the M * V * plane with V * of approximately 524 kN, since the limiting strain of 3.0 × 10 3 is reached with N * alone.
To see the effect of using fewer generating points, Figure 11 is from generating a tenth of a billion, 100 million ( 1.0 × 10 8 ) points. In total, 6038 sets were farmed. The time taken is 12.6 min. The plot is sufficiently dense to enable the display of its characteristic features.
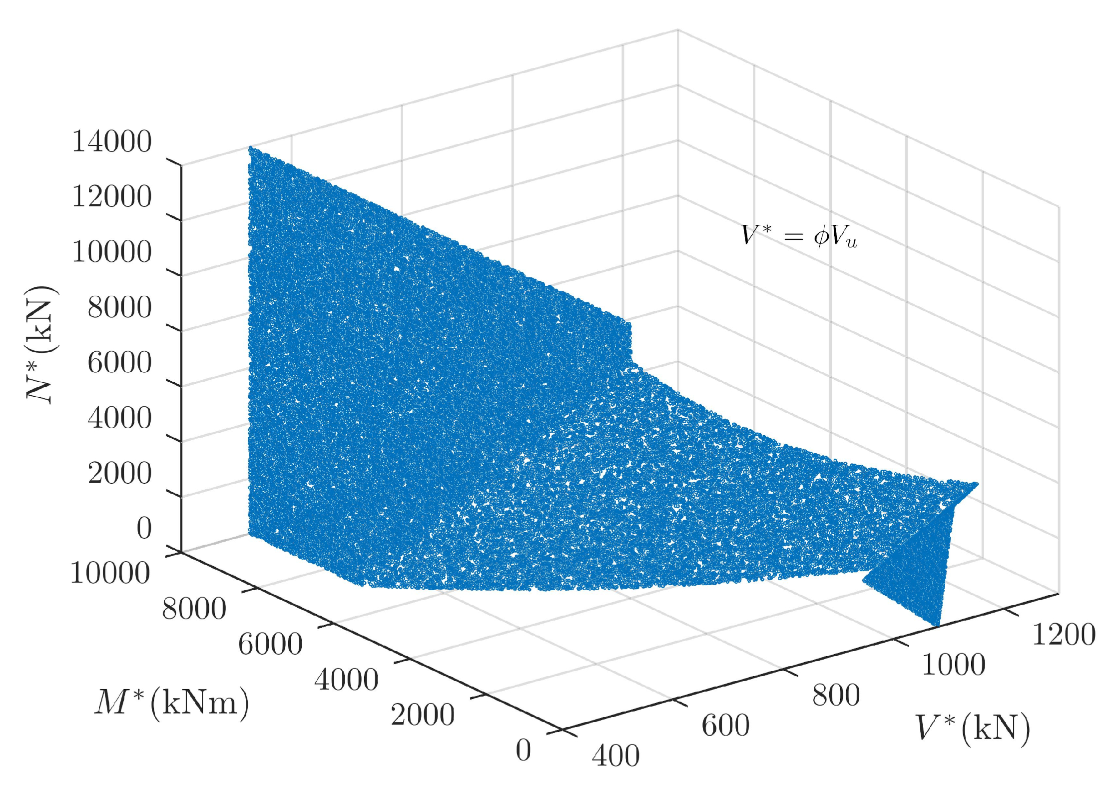
To see the influence of the requirement M * V * d v when calculating strength, Figure 12 is the interaction diagram that meets the requirement. The reduced N * for optimal shear adequacy in the region of influence caused by the increased M * can be seen by comparing Figure 12 with Figure 10. For the interaction diagram of M * V * to be a straight line in the M * V * plane with V * = 524 kN, N * was found to be 11,608 kN, considering M * V * d v in the calculation of ϵ x .
The open source application Octave [17] was used to create the plots. The figures can be rotated interactively on screen after producing them with the application, thus enabling a closer examination of their features. Updating the plot for a changed viewpoint for the plot with 60,992 points was much slower than for the plot with 6038 points due to the limited computing configuration. This shortcoming can be overcome by using a computer with a more powerful graphics processor.

6.1. Two-Dimensional Contour Diagram for N *  = 0

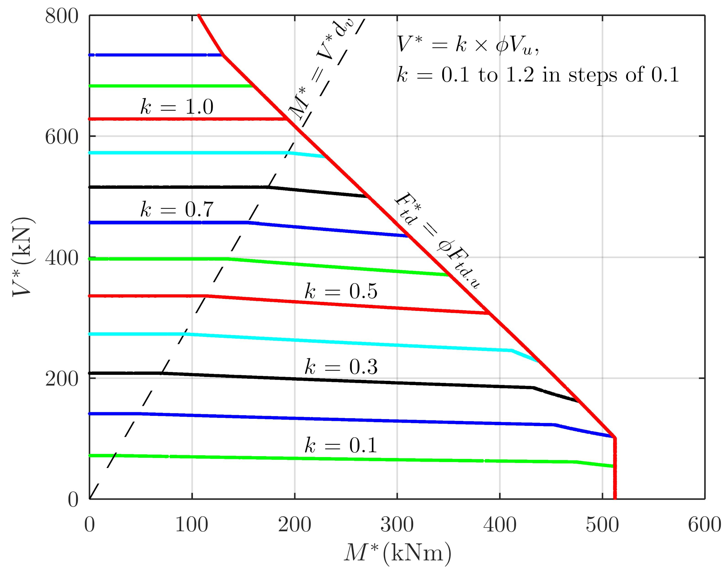
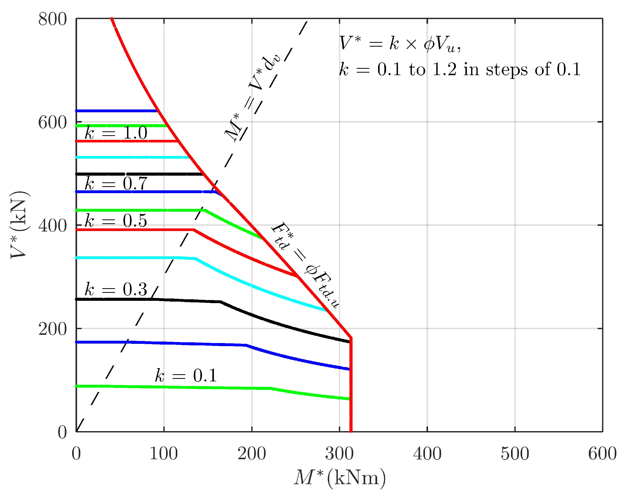
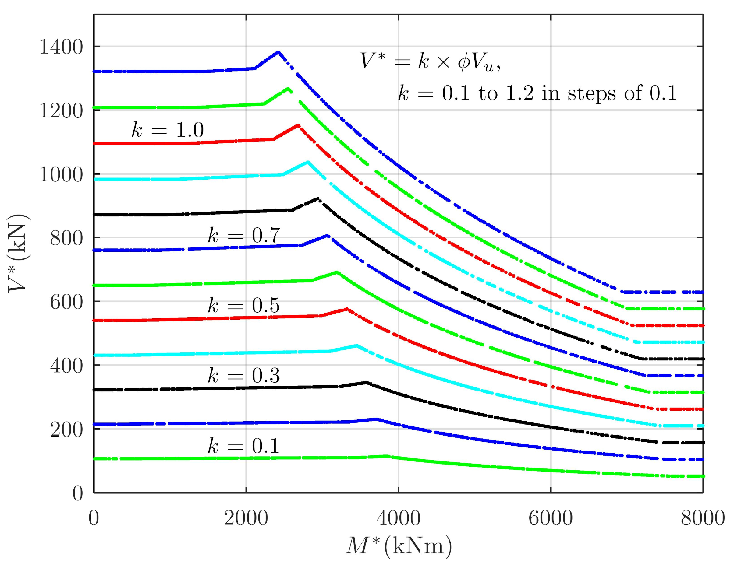
An interaction diagram for optimal shear adequacy only provides information on combined load effects for optimal shear adequacy. To provide information on other levels of shear adequacy, additional interaction curves are required. A range of contour curves for the convergence criterion of V * = k × ϕ V u , with k = 0.1–1.2, in steps of 0.1, are presented in Figure 13. The points were formed using the Monte Carlo simulation. The program for the 2-D plot described in Section 4.3 was expanded to include the harvesting of points that met the convergence criteria of these contour curves. One billion ( 1 × 10 9 ) sets of points were generated for harvesting. The results for each contour curve were written to a separate output file for use with plotting. For example, the results for the curve with k = 0.2 for the convergence requirement | V * / ϕ V u 0.2 | < t o l were written to the file “surface02.dat”.
Instead of using an interaction curve for optimal force adequacy of the longitudinal steel, the effect can be included by not harvesting those points with F t d * ϕ F t d . u . The resulting contour plot with this included is shown in Figure 14. The interaction curve for force is also included to show that the curves terminated correctly. The results for plotting this are from the harvesting of the sets of load effects, which satisfy the force adequacy convergence of | F t d * / ϕ F t d . u 1.0 | < t o l , with t o l = 0.0001. This was carried in the same program for harvesting the contour points for section shear adequacy, since performing it separately yields the same results, as the sets of points generated for harvesting are the same, owing to using the same random-generator seed. The terminating points are those with the shear adequacy of condition k × V * / ϕ V u and optimal force adequacy in the longitudinal steel. The curve representing V * = M * d v is also shown in the figure. A point on the intersection of the contour curve k = 1.0 and the force interaction curve is a loading combination with optimal adequacy for both shear and force.
The interaction diagram for force can also be obtained using the increasing η m ratio approach, but not the increasing moment approach, owing to the vertical straight portion of the curve. This feature is caused by the expression “ V * 0.5 ϕ V u s ” of the equation for F t d * being less than zero, causing it to be set to zero. A negative value for this expression is not meaningful, as the resistance term “ 0.5 ϕ V u s ” cannot be used to reduce the force components from the effects of N * and M * , since they contribute to the force through structural behaviors different from shear. Note that F t d * is not strictly a factored force effect, as part of it can be reduced by the resistance term “ 0.5 ϕ V u s ”. With ϕ F t d . u = 2816 kN, d v = 1.118 m, and the shear contribution term set to zero, M * / d v = 2816 kN. Solving the equation yields M * = 3148 kNm. The outputs from the analysis yielded M * = 3147 kNm for points on the vertical portion of the curve.

6.2. Three-Dimensional Contour Diagram for N * = 0

The program for the 3-D plot described in Section 6 was expanded to enable points for interaction surfaces with different k values described earlier to be written to separate output files, where k = V * / ϕ V u . The scatter plots are shown in Figure 15. The points on each surface are sufficiently close together to enable its shape to be visualized. The surface nearest to the origin is where k = 0.1, and that furthest is k = 1.2.

7. Effects of Axial Force

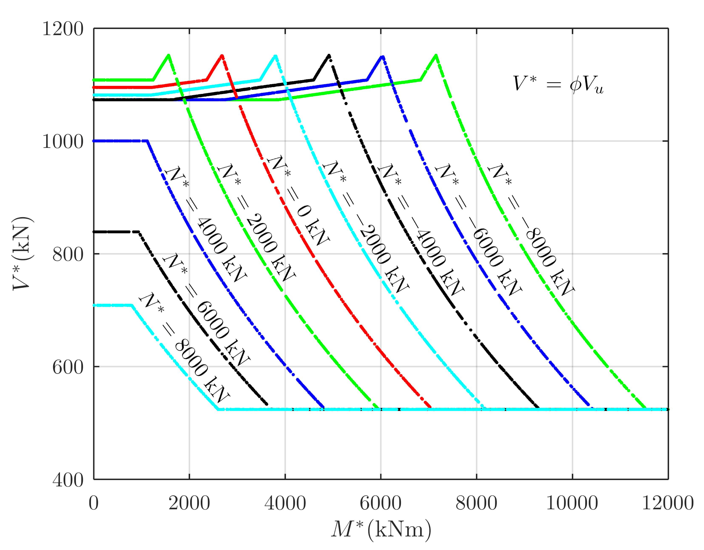
Interaction curves for optimal shear adequacy for various N * values were created for the I-girder composite section. N * varies from −8000 kN to 8000 kN in increments of 2000 kN, and their 2-D interaction curves for V * = ϕ V u are shown in Figure 16. N * is positive in tension. Ten million ( 10 × 10 6 ) sets of points for each N * , with V * ranging from 0 to 7000 kN and M * from 1200 to 1270 kNm, were generated for harvesting. The diagram shows that a larger M * can be applied with decreasing N * . The compression effect is beneficial in increasing the moment that the section can carry before reaching its shear strength. The top portion of each curve shows the influence of the design requirement for V u not to exceed V u . m a x .
As previously discussed, it is possible to incorporate a strength check to ensure that the longitudinal reinforcement remains adequate and does not yield. Figure 17 shows the interaction curves with only captured points having F t d * < ϕ F t d . u . The generation was also carried out using 10 million sets ( 10 × 10 6 ) for each N * , with V * ranging from 0 to 7000 kN and M * from 1200 to 1270 kNm.
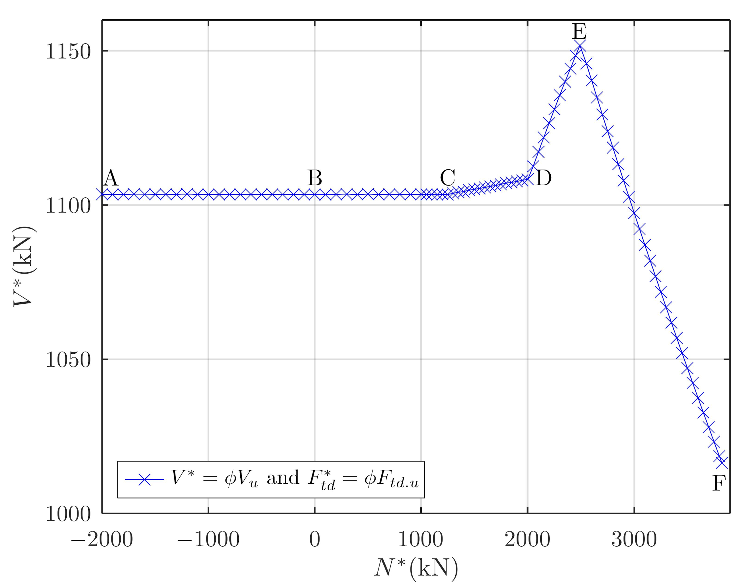
The plotted curves show that the regions that meet both the requirements of V * = ϕ V u and F t d * < ϕ F t d . u with N * = 4000 kN and above do not have points that meet the force adequacy requirement. Additional interaction curves for various values of N * between 0 and 4000 kN were generated. The ranges of M * and V * for generation were adjusted to enable the full extent of these plots to be captured. The largest N * obtained is 3824 kN with a corresponding M * of 0.04 kNm, V * of 1016 kN and F t d * of 2816 kN, which explains the inability to harvest points for N * = 4000 kN. The largest V * is 1152 kN, occurring at N * = 2490 kN. Increasing N * beyond 2490 kN causes decreasing V * at convergence, as shown in Figure 18. To avoid cluttering, the curves for N * greater than 2490 kN are not shown in Figure 17.
Figure 18 is a plot of V * for a range of M * between −2000 to 3000 kN. For each of the N * values, the Monte Carlo approach was used to harvest points that met the convergence criteria for both shear and force in the longitudinal steel. The point with the product of the two criteria closest to unity was selected for the plot. Key values of the plot are presented in Table 3. The curve for N * from −2000 (Point A) to 1200 (Point C) has V * of approximately 1093 kNm and ϵ x approximately −28.8 μ ϵ . The noticeable change in slope at C is caused by the requirement of the standard for M * V * d v for calculating ϵ x , and that at D by ϵ x shifting from a negative to a positive range, causing a different equation to be used for the calculation of ϵ x . The sharp change in slope at E is caused by the V u calculated using the MCFT-based equation, not restricted by V u . m a x .

8. Effects of Reinforcement on Interaction Diagrams

In this section, the effects of the details of reinforcement provided typically at a support section are compared with those of a span section. Typical sections of a pretensioned plank girder are used for the study. Geometric and material properties of these sections are listed in Table A1. f p 0 is assumed to be 0.7 f p b . The section near mid-span is shown in Figure A2. The section has eight 15.2 mm diameter 7-wire prestressing ordinary strands in the flexural tension region, each with a sectional area of 143 mm 2 . The section near the support is the same, except the number of ligatures is doubled by using N16@200 mm spacings, and the number of bonded strands is halved. For simplicity, the girder does not include the internal circular void usually provided to reduce self-weight, and the profile of strands is horizontal, not deflected. Additionally, any tendons and non-prestressed reinforcement required in the compression region to control cracking were not shown, as they are not required for shear strength calculation.
Twenty million ( 20 × 10 6 ) sets of points were generated for each section, and the harvested points for the contour curves were plotted in Figure 19 and Figure 20 for the support and span section, respectively. Only points satisfying the force adequacy requirement F t d * < ϕ F t d . u were harvested. The optimal force adequacy interaction curve and the line for M * = V * d v were also plotted. The shear depth d v of the support section is 341.83 mm and that of the span is 337.67 mm. The σ p u value of these sections exceeded that of f p y , and was limited to f p y . The two figures were plotted using the same range of the M * values to enable comparisons to be made. As expected, the plots show that the detailing at the support is more suited to high-shear, low-moment regions near end supports, and that at midspan is suited for high-moment, low-shear regions in the span. Both plots show that reducing the efficiency of the section for section shear by accepting a design with a lower k value allows the section to carry a larger moment before the onset of yielding of the longitudinal steel.
The interaction curves for k = 1.0, representing optimal shear adequacy, indicate that although the plotted points satisfy the condition V * = ϕ V u using the strain ϵ x calculated for an increased moment M * = V * d v and shear V * , the sections would not meet the force adequacy requirement if this increased moment was also used to calculate the force component from flexure in that evaluation. This is because the corresponding points on the M * = V * d v curve lie to the right of the optimal force adequacy curve.

9. Concluding Remarks

This paper presents three methods for generating design interaction diagrams aimed at optimizing the shear adequacy of concrete sections. Among these, the Monte Carlo method stands out for its simplicity, as it does not require a goal-seeking algorithm based on assumed fictitious loading. It is particularly effective for generating points along the interaction curve, making it useful for examining slope discontinuities introduced by specific design code requirements. Additionally, it facilitates the creation of contour plots and surfaces. The Monte Carlo approach also enables the analysis of interactions involving more than two influencing load effects on shear adequacy. However, while it can generate data for scenarios involving more than three interacting effects, visualizing such complex interactions graphically becomes challenging.
While this study applied the Monte Carlo simulation approach to analyze the interaction of load effects in shear strength design, the method holds significant potential for broader applications. It is equally well-suited for investigating other structural behaviors, such as evaluating the capacity of concrete columns under combined axial and bending loads. This versatility makes it a valuable tool for both design development and experimental validation in future research.
The increasing moment approach is superior to the other two approaches for examining abrupt changes in the interaction diagram resulting from additional design requirements related to shear strength. However, it is not suitable for generating interaction curves that involve moments corresponding to multiple shear values. The most commonly used increasing moment-shear approach produces data points that become increasingly spaced as they are farther from the origin, making it less appropriate for detecting abrupt changes caused by design constraints.

Author Contributions

Conceptualization, K.W.W. and V.V.; methodology, K.W.W. and V.V.; software, K.W.W.; validation, K.W.W. and V.V.; formal analysis, K.W.W. and V.V.; investigation, writing—original draft preparation K.W.W. and V.V.; writing—review and editing, K.W.W. and V.V.; visualization, K.W.W. and V.V. All authors have read and agreed to the published version of the manuscript.

Funding

This research received no external funding.

Data Availability Statement

Data is contained within the article.

Conflicts of Interest

The authors declare no conflicts of interest.

Appendix A

I-Girder and Plank Sections

Figure A1 shows the cross-section of the I-girder reported by Caprani and Melhem [14], and Figure A2 shows the cross-section of a section of the pretensioned bridge plank girder investigated.
Figure A1. Cross-section of the precast I-girder with cast in situ deck slab.
Figure A1. Cross-section of the precast I-girder with cast in situ deck slab.
Jeta 03 00041 g0a1
Figure A2. Cross-section of concrete pretensioned plank near midspan.
Figure A2. Cross-section of concrete pretensioned plank near midspan.
Jeta 03 00041 g0a2
The tables below summarize the input values used in the program.
Table A1. Input values.
Table A1. Input values.
Section or Material PropertiesUnitsI-Girder Basic ValuesI-Girder Extended ValuesPlank SupportPlank Span
D, overall depth of cross-sectionmm13101310450.00450.00
d, effective depth of sectionmm12601146367.49375.19
d s , centroid of rebars from top of sectionmm1210350.00350.00
d p , centroid of strands from top of sectionmm1130395.00395.00
b v , effective width of section for shearmm150150600.00600.00
A c t , area of concrete on the tensile side of section mm 2 181,400181,400135,000135,000
A s t , area of longitudinal tensile reinforcement mm 2 628628900.00900.00
A p , area of tendons in the flexural tension zone mm 2 24602460572.001144.00
A s v , area of shear reinforcement mm 2 400400400.00400.00
s, center to center spacing of fitments (stirrups)mm225225200.00400.00
f c , characteristic compressive strength of concreteMPa454550.0050.00
E c , mean modulus elasticity of concreteMPa33,80033,80034,80034,800
d g , maximum nominal aggregate sizemm191919.0019.00
f s y . f , yield strength of fitments (stirrups)MPa400400500.00500.00
f s y , characteristic yield strength of longitudinal reinforcementMPa400400500.00500.00
E s , modulus elasticity of reinforcementMPa200,000200,000200,000200,000
E p , modulus elasticity of tendonsMPa195,000195,000200,000200,000
f p b , characteristic breaking strength of tendonsMPa187018701830.001830.00
f p y , yield strength of tendonsMPa153315331501.001501.00
b f l a n g e , width of flange of sectionmm18500.000.00
h f l a n g e , depth of flange of sectionmm1600.000.00

References

  1. Warner, R.F.; Rangan, B.V.; Hall, A.S.; Faulkes, K.A. Concrete Structures, 3rd ed.; Longman: Frenchs Forest, NSW, Australia, 1988; pp. 673–678. [Google Scholar]
  2. AS 5100.5; Bridge Design Part 5: Concrete (with 2018 and 2024 Amendments). Standards Australia: Sydney, NSW, Australia, 2017.
  3. AS 5100.7; Bridge Design Part 7: Bridge Assessment. Standards Australia: Sydney, NSW, Australia, 2017.
  4. Wong, K.W.; Vimonsatit, V. Determination of Shear Capacity for Load Rating of Concrete Bridges to AS 5100.7-2017. Infrastructures 2022, 7, 156. [Google Scholar] [CrossRef]
  5. Holt, J.; Garcia, U.; Waters, S.; Monopolis, C.; Zhu, A.; Bayrak, O.; Powell, L.; Halbe, K.; Kumar, P.; Chavel, B. Concrete Bridge Shear Load Rating; Synthesis Report; Federal Highway Administration, U.S. Department of Transport: Washington, DC, USA, 2018. [Google Scholar]
  6. Vimonsatit, V.; Wong, K.W. Bridge Management—Determination of Allowable Cartage Loads for the Movement of Heavy Vehicles with a Platform Trailer on Concrete Bridges to Satisfy MCFT-based Section Shear Strength. Infrastructures 2024, 9, 236. [Google Scholar] [CrossRef]
  7. Vimonsatit, V.; Wong, K.W. Bridge Assessment Using MCFT—Determination of Load Multiplying Factors for Optimal Shear Adequacy. In Proceedings of the Bridge Engineering Conference (BEI-2024), Las Vegas, NV, USA, 22–25 July 2024; pp. 88–93. [Google Scholar]
  8. Reynolds, C.E.; Steedman, J.C. Reinforced Concrete Designer’s Handbook, 9th ed.; Viewpoint Publication: Leicestershire, UK, 1981; pp. 404–439. [Google Scholar]
  9. Cement and Concrete Association of Australia. Concrete Design Handbook, 4th ed.; Cement and Concrete Association of Australia and Standards Australia: Sydney, NSW, Australia, 1995; pp. 6.6–6.29. [Google Scholar]
  10. Python. Available online: https://python.org (accessed on 14 August 2025).
  11. AASHTO. AASHTO LFRD Bridge Design Specifications, 10th ed.; American Association of Bridge Highway and Transportation Officials: Washington, DC, USA, 2024. [Google Scholar]
  12. AS 3600; Concrete Structures (with 2018 and 2021 Amendments). Standards Australia: Sydney, NSW, Australia, 2018.
  13. Vimonsatit, V.; Wong, K.W.; Mendis, P.A. Increase in Longitudinal Steel Reinforcement to Account for Shear in RC Beam Design to AS 3600. In Proceedings of the Concrete 2023 Conference, Perth, WA, Australia, 10–13 September 2023; Available online: https://ciaconference.com.au/concrete2023/content.html (accessed on 18 September 2025).
  14. Caprani, C.C.; Melhem, M.M. On the use of MCFT per AS 5100.5 for the assessment of shear capacities of existing structures. Aust. J. Struct. Eng. 2019, 21, 53–63. [Google Scholar] [CrossRef]
  15. Warner, R.F.; Lambert, J.H. Moment-Curvature Time Relations for Reinforced Concrete Beams; IABSE Publication: Zurich, Switzerland, 1974; Volume 34-I, pp. 181–203. [Google Scholar]
  16. Harrison, H.B. Interactive Nonlinear Structural Analysis. J. Struct. Div. ASCE 1976, 102, 1353–1364. [Google Scholar] [CrossRef]
  17. Octave. Available online: https://octave.org/ (accessed on 18 September 2025).
Figure 1. Flow diagram of Python function CALC_SHEAR.
Figure 1. Flow diagram of Python function CALC_SHEAR.
Jeta 03 00041 g001
Figure 2. Flow diagram of the Python function CALC_MOM.
Figure 2. Flow diagram of the Python function CALC_MOM.
Jeta 03 00041 g002
Figure 3. Interaction curves for unreduced strength.
Figure 3. Interaction curves for unreduced strength.
Jeta 03 00041 g003
Figure 4. Interaction curves for reduced strength.
Figure 4. Interaction curves for reduced strength.
Jeta 03 00041 g004
Figure 5. Flow diagram of the “seeking bound” step of the goal-seek procedure.
Figure 5. Flow diagram of the “seeking bound” step of the goal-seek procedure.
Jeta 03 00041 g005
Figure 6. Flow diagram of the “halving bound” step of the goal-seek procedure.
Figure 6. Flow diagram of the “halving bound” step of the goal-seek procedure.
Jeta 03 00041 g006
Figure 7. Design interaction diagrams for V * = ϕ V u from the three approaches.
Figure 7. Design interaction diagrams for V * = ϕ V u from the three approaches.
Jeta 03 00041 g007
Figure 8. Flow diagram of the Monte Carlo simulation approach.
Figure 8. Flow diagram of the Monte Carlo simulation approach.
Jeta 03 00041 g008
Figure 9. Design interaction diagram from the increasing-moment approach for the localized region.
Figure 9. Design interaction diagram from the increasing-moment approach for the localized region.
Jeta 03 00041 g009
Figure 10. Three-dimensional interaction surface for V * = ϕ V u for strength without the requirement of M * V * d v .
Figure 10. Three-dimensional interaction surface for V * = ϕ V u for strength without the requirement of M * V * d v .
Jeta 03 00041 g010
Figure 11. Three-dimensional interaction surface without the requirement of M * V * d v for simulation using 1 × 10 8 generated points.
Figure 11. Three-dimensional interaction surface without the requirement of M * V * d v for simulation using 1 × 10 8 generated points.
Jeta 03 00041 g011
Figure 12. Three-dimensional interaction surface for V * = ϕ V u for strength, with the requirement of M * V * d v .
Figure 12. Three-dimensional interaction surface for V * = ϕ V u for strength, with the requirement of M * V * d v .
Jeta 03 00041 g012
Figure 13. Scatter plot using points from the Monte Carlo approach, showing contour curves of the interaction of M * and V * for N * = 0.
Figure 13. Scatter plot using points from the Monte Carlo approach, showing contour curves of the interaction of M * and V * for N * = 0.
Jeta 03 00041 g013
Figure 14. Scatter plot using points from the Monte Carlo approach, showing contour curves when limiting the force in the longitudinal steel.
Figure 14. Scatter plot using points from the Monte Carlo approach, showing contour curves when limiting the force in the longitudinal steel.
Jeta 03 00041 g014
Figure 15. Three-dimensional scatter plot using points from the Monte Carlo approach showing contour surfaces of the interaction of M * , V * , and N * for V * = k × ϕ V u .
Figure 15. Three-dimensional scatter plot using points from the Monte Carlo approach showing contour surfaces of the interaction of M * , V * , and N * for V * = k × ϕ V u .
Jeta 03 00041 g015
Figure 16. Interaction curves for various N * .
Figure 16. Interaction curves for various N * .
Jeta 03 00041 g016
Figure 17. Interaction curves for various N * with strength limited by yielding of longitudinal reinforcement.
Figure 17. Interaction curves for various N * with strength limited by yielding of longitudinal reinforcement.
Jeta 03 00041 g017
Figure 18. Plot of V * versus N * for both shear and force optimal adequacies for three load effects.
Figure 18. Plot of V * versus N * for both shear and force optimal adequacies for three load effects.
Jeta 03 00041 g018
Figure 19. Two-dimensional Scatter diagram from the Monte Carlo approach showing contour curves of the interaction of M * and V * , N * = 0 kN, for the support section.
Figure 19. Two-dimensional Scatter diagram from the Monte Carlo approach showing contour curves of the interaction of M * and V * , N * = 0 kN, for the support section.
Jeta 03 00041 g019
Figure 20. Two-dimensional scatter diagram from the Monte Carlo approach showing contour curves of the interaction of M * and V * , N * = 0 kN, for the span section.
Figure 20. Two-dimensional scatter diagram from the Monte Carlo approach showing contour curves of the interaction of M * and V * , N * = 0 kN, for the span section.
Jeta 03 00041 g020
Table 1. V u , ϵ x , and F t d * from CALC_SHEAR.
Table 1. V u , ϵ x , and F t d * from CALC_SHEAR.
V u  1 V * M * = 0.83 V * V u ϵ x F td *
(kN)(kN)(kNm)(kN)( μ ϵ )(kN)
1767.00 21362.001130.461767.49−63.922138.16
1717.00 31717.001425.111780.13−18.293044.48
1782.431479.421782.43 4−9.883209.62
2170.061801.151558.72444.604022.38 5
1 Source of data [14]; 2 non-iterative; 3 iterative; 4  V * = V u ; 5  F t d * = F t d . u .
Table 2. ϕ V u , ϵ x , and F t d * from CALC_SHEAR.
Table 2. ϕ V u , ϵ x , and F t d * from CALC_SHEAR.
Load Effect V * M * = 0.83 V * ϕ V u ϵ x F td *
(kN)(kNm)(kN)( μ ϵ )(kN)
shear1362.001130.461102.07−36.822570.18
shear1095.23 1909.041095.22−76.421887.23
force1459.001210.971104.54−22.432815.70 2
1  V * = ϕ V u . 2  F t d * = ϕ F t d . u .
Table 3. Results for key points of Figure 18.
Table 3. Results for key points of Figure 18.
PointPoint V * M * N * ϵ x M * /
LabelNumber(kN)(kNm)(kN)( μ ϵ ) V * d v
A111033050−2000−28.82.47
B21110319320−28.81.57
C36110312341250−28.81.00
D5111088062000−0.30.65
521113771205024.70.62
E6111524732490271.20.37
F88101603824598.60.00
Disclaimer/Publisher’s Note: The statements, opinions and data contained in all publications are solely those of the individual author(s) and contributor(s) and not of MDPI and/or the editor(s). MDPI and/or the editor(s) disclaim responsibility for any injury to people or property resulting from any ideas, methods, instructions or products referred to in the content.

Share and Cite

MDPI and ACS Style

Wong, K.W.; Vimonsatit, V. Design Interaction Diagrams for Shear Adequacy Using MCFT-Based Strength of AS 5100.5—Advantages of Using Monte Carlo Simulation. J. Exp. Theor. Anal. 2025, 3, 41. https://doi.org/10.3390/jeta3040041

AMA Style

Wong KW, Vimonsatit V. Design Interaction Diagrams for Shear Adequacy Using MCFT-Based Strength of AS 5100.5—Advantages of Using Monte Carlo Simulation. Journal of Experimental and Theoretical Analyses. 2025; 3(4):41. https://doi.org/10.3390/jeta3040041

Chicago/Turabian Style

Wong, Koon Wan, and Vanissorn Vimonsatit. 2025. "Design Interaction Diagrams for Shear Adequacy Using MCFT-Based Strength of AS 5100.5—Advantages of Using Monte Carlo Simulation" Journal of Experimental and Theoretical Analyses 3, no. 4: 41. https://doi.org/10.3390/jeta3040041

APA Style

Wong, K. W., & Vimonsatit, V. (2025). Design Interaction Diagrams for Shear Adequacy Using MCFT-Based Strength of AS 5100.5—Advantages of Using Monte Carlo Simulation. Journal of Experimental and Theoretical Analyses, 3(4), 41. https://doi.org/10.3390/jeta3040041

Article Metrics

Back to TopTop