Abstract
Numerical solutions of turbulent mass-transfer diffusion present challenges due to the nonlinearity of the elliptic–parabolic degeneracy of the mathematical models. Our main result in this paper concerns the development and implementation of an efficient high-order numerical method that is fourth-order accurate in space and second-order accurate in time for computing both the solution and its gradient for a Barenblatt-type equation. First, we reduce the original Neumann boundary value problem to a Dirichlet problem for the equation of the solution gradient. This problem is then solved by a compact fourth-order spatial approximation. To implement the numerical discretization, we employ Newton’s iterative method. Then, we compute the original solution while preserving the order of convergence. Numerical test results confirm the efficiency and accuracy of the proposed numerical scheme.
Keywords:
turbulent heat or mass transfer; pseudoparabolic equation; Barenblatt equation; high-order difference scheme; Newton’s iterative method MSC:
35K70; 65M06; 76M20
1. Introduction
The foundational principles of seepage (filtration) theory for homogeneous fluids in fractured rock formations were introduced by Barenblatt, Zhaltov, and Kochina [1]. Unlike the classical filtration theory for porous media, the innovative aspect of the approach presented in [1,2,3,4] lies in the introduction of two distinct fluid pressures at each spatial point, one of which is associated with the pores and the other with the fissures. This framework enables the investigation of fluid exchange between the fissures and the pore network. In the simplified scenario where fluid pressure is considered, this leads to the formulation of the so-called fissured equation, which belongs to the class of linear pseudoparabolic equations:
where and are elliptic operators. Equations of this form (1) feature different linear or nonlinear differential operators and , and serve as mathematical representations of phenomena such as heat conduction [5], wave propagation [6], quasi-static processes in semiconductors and magnetics [7], and filtration of two-phase flows in porous media with dynamic capillary pressure [8].
Linear pseudoparabolic equations have been expensively investigated in the literature both analytically and numerically; see, e.g., [9,10,11,12]. Nonlinear pseudoparabolic equations have been studied by many authors. Results for the existence and uniqueness of solution were obtained in [13,14,15]. We refer the reader to the review papers in [7,16] for analytical results and applications of nonlinear pseudoparabolic equations.
The Benjamin–Bona–Mahony (BBM) and Benjamin–Bona–Mahony–Burgers (BBMB) equations are both important classes of nonlinear pseudoparabolic equations.
BBM equations or generalized BBM equations have been studied in many papers, i.e., Equation (1), where
For example, the properties of the solution to this equation were studied in [17], exact solutions were obtained in [18], and high-order finite difference approximations were constructed in [19,20].
BBMB [6] equations are represented by (1), where
These equations play a key role in the study of long waves in nonlinear dispersive systems and other fields of applied mathematics; see [21]. Results for the existence and uniqueness of the solution were presented in [22]. A wide range of numerical techniques have been introduced in the literature to solve BBMB-type problems. For example, second-order numerical methods were developed in [23,24,25], while fourth-order spatial discretizations were developed in [26,27]. The authors of [27] applied the improved cubic B-spline collocation technique to solve a 1D BBMB equation, while in [26] the authors developed a three-level linear-implicit difference scheme for 2D BBMB equations. Furthermore, a Strang splitting and quintic B-spline collocation scheme was developed in [28].
The generalized BBMB equation (GBBMB) (1), where
for a given function , was studied in [29,30,31,32]. In [29,30], the authors proposed numerical approaches for solving 1D and 2D GBBMB equations, achieving first-order temporal accuracy and second-order spatial accuracy. They utilized forward finite differences for time discretization, while spatial approximation was handled through Kansa’s method [29] and the interpolating element-free Galerkin method [30]. The time discretization in [31,32] relied on finite difference schemes, whereas spatial derivatives were approximated in [31] using the Legendre spectral element methods and in [32] using a combination of Lucas and Fibonacci polynomials. Polynomial functions with an embedded parameter were used in [33] to approximate the 1D and 2D GBBMB equations. In [34], the authors applied a spectral meshless radial point interpolation to solve the 2D BBBMB equation.
The authors of [35] developed and analyzed a numerical scheme for the Dirichlet initial boundary value problem associated with nonlinear pseudoparabolic equations. Their approach employed a spectral collocation method for spatial discretization, with Jacobi polynomials utilized for approximation. The Neumann problem for nonlinear pseudoparabolic equations of type (1)
describing the aggregate population recovery was studied in [36]. The authors investigated the existence and uniqueness of a global solution along with the regularity properties and instability conditions of steady-state solutions for the 2D version of the problem.
Another class of nonlinear pseudobarabolic equations considered in the literature is (1) for
where and are given functions. In [37], the existence and uniqueness of a smooth solution for a pseudoparabolic equation related to nonlinear one-dimensional viscoelasticity was established. Short-time existence of solutions with constant compact support of the nonlinear pseudoparabolic equation was proved in [38]. In [39], the authors investigated a pseudoparabolic regularization of a viscous diffusion equation, focusing on the global existence of solutions and their stabilization to a steady state.
In this paper, we consider the Barenblatt-type Equations (1) and (2). In (2), the function u is replaced by the gradient . To the best of our knowledge, this equation has not previously been studied numerically. In [2], the authors used an implicit scheme of order , where and h are time and space mesh step sizes, to validate their theoretical results. Here, we construct and investigate a new high-order numerical scheme that is second-order accurate in time and fourth-order accurqate in space for computing the solution u and its gradient.
The rest of this paper is organized as follows: Section 2 introduces the famous Barenblatt model equation and discusses its various physical properties; in Section 3, the well-posedness of the model problem and a reduced formulation are discussed; Section 4 focuses on deriving a discrete scheme with accuracy ; Section 5 presents Newton’s iterative method for solving the difference schemes; and computational test examples are provided in Section 6, after which the paper concludes with a summary and conclusions.
2. The Model Differential Problem
In [2], the authors considered an initial boundary value problem (IBVP) for the equation
where represents a small positive parameter and are given functions. The function is non-monotonic, whereas is strictly increasing and remains uniformly bounded over . Additionally, as , the derivative of satisfies the asymptotic relation .
Equation (3) serves as a mathematical model for turbulent heat or mass transfer in stably stratified shear flows, where is non-negative. In such cases, for , and the function satisfies the condition .
In [40], the well-posedness of the initial boundary value problem (IBVP) associated with (3) was established; moreover, the qualitative properties of the solutions were analyzed in a specific model case. The observed behavior of the solutions aligned with both experimental data and numerical simulations.
In general, one-dimensional processes are described by the conservation law
where q represents the heat or mass flux, x is the space coordinate within a given real interval, denotes time, and k is the diffusivity. If k is a given function of , , x, and t, then its non-negativity does not necessarily ensure the parabolicity of (4), as the product can change its sign; see, e.g., [1,2,3,4,40].
In [3], the authors studied a mathematical model for heat or mass transfer in stably stratified turbulent shear sheer flows, where the temperature (respectively, the concentration u) satisfies an equation of type (4).
Under constant external conditions, the steady-state diffusivity, i.e., the diffusivity in a state of mechanical and thermal equilibrium, depends solely on the gradient
In the case of a stably stratified turbulent flow, the effective temperature or mass diffusivity diminishes rapidly when the temperature gradient (or equivalently, the concentration gradient) reaches high values. The common representation of is provided by
which ensures that the function exhibits a monotonic behavior, that is, it increases for for some critical threshold and decreases for .
More generally, the authors of [4] considered smooth functions satisfying the following conditions for some :
After substituting (5) into the balance law (4), the resulting second-order partial differential equation
is not of forward parabolic type at points where . This may lead to an ill-posed initial boundary value problem (IBVP). It was shown in [41] that if in Equation (3), then its solution converges to the solution of a parabolic equation of form (8) as .
3. Well-Posedness of the Original Model and the Reduced Problem
Our main result concerns the construction and implementation of an efficient high-order numerical method for solving Equation (3) in the domain , subject to the initial condition
and the boundary conditions
The existence and uniqueness of solutions in appropriate functional spaces for the IBVP of Equation (8), including the behavior of the function of type (5)–(7), have been studied in [40]; see, e.g., Section 1.4.
Here, we use the following functional spaces. Let be the Banach space of the measurable in functions such that
Next, let be the Banach space of functions from with generalized derivatives existing up to order l, with the norm defined as follows:
where is a derivative of order k. Similarly, let be the space of functions that are continuous in and have continuous derivatives up to order l in :
Finally, let (X be a Banach space and let ) be the Banach space of the measurable functions from into X, which have generalized derivatives
Now, from [40], we apply Theorem 1.1 (page 118) and Theorem 1.3 (page 137) to the problem in (3), (9), (10).
We assume the following conditions concerning the functions , :
- A1.
- ,
- A2.
- ,
Direct application of the mentioned theorems from [40] yields the result.
Theorem 1.
This solution is referred to as a regular solution in [40], as it satisfies (3) almost everywhere in and fulfills the initial and boundary conditions in the classical sense.
Let
then, differentiating Equation (3) with respect to x and using (11), we obtain
Corresponding to (9), (10), the initial and boundary conditions after substituting (11) become
Then, the existence and uniqueness of the solution of the reduced problem in (12), (13) in the corresponding functional spaces follows from Theorem 1. Indeed, the smoothness conditions on the input data proposed in Theorem 1 ensure the existence of a solution for the in problem (12), (13). However, in the discretization process presented in the next section, we assume the existence and uniqueness of a solution that possesses continuous derivatives up to fourth order in space and second order in time.
4. O(()2 + h4) Discretization
In this section, we develop a numerical method of fourth-order accuracy in space and second-order accuracy in time for solving the problem in (3), (9), (10).
We consider the uniform spatial mesh with a number of nodes I:
and introduce the following notation: , , .
4.1. Discretization of the Reduced Problem
The concept for developing this approach stems from the following well-known approximation:
In view of (14), Equation (12) is discretized as follows:
Further, we define a uniform temporal mesh with a number N of grid nodes:
and approximate the problem in (13), (17) by a second-order difference scheme in time:
where , , , and .
As a result of the above construction, the following assertion holds.
Theorem 2.
Based on Theorem 1, we assume that the following conditions are satisfied:
- (i)
- , , and .
- (ii)
- The functions φ and ψ possess continuous derivatives up to the fourth order in space and second order in time.
Then, the solution of the problem in (12), (13) is assumed to possesses continuous derivatives up to the fourth order in space and second order in time, which is necessary for the construction of the approximation in (18). This difference scheme approximates the solution of the differential problem in (12), (13) with second-order accuracy in time and fourth-order accuracy in space, i.e., the truncation error is .
In this way, we obtain the numerical solution v with accuracy . It remains to determine the solution u while maintaining this accuracy.
4.2. Discretization of the Original Problem
5. Implementation of the Difference Scheme
In this section, we discuss the solution of the nonlinear system in (18). To this end, we apply Newton’s iterative process and establish its quadratic convergence.
Let denote the approximation to at the k-th iteration. At each time layer, we solve the linearized system for :
where we use the notation , .
The iteration process continues until to reaching the desires accuracy , i.e., . Then, we set .
We define the discrete norm .
Theorem 3.
Let the conditions of Theorems 1 and 2 be fulfilled and let , where M is a positive constant. Then, at each time layer, converges to quadratically for sufficiently large k, i.e.,
Proof.
The Newton iteration process (21) can be written as follows:
where , . The corresponding matrix-vector form is
where , , and
Let . Applying Taylor series expansion in (18), we obtain
Then, we can rewrite (23) in the following form:
Incorporating the boundary conditions, (24) is equivalent to
where and .
Taking into account the assumptions of the theorem and the diagonal dominance of the matrix , we can estimate
Thus, the proof is completed. □
6. Numerical Tests
In this section, we illustrate the accuracy of the proposed numerical method in (18), (20) for solving the problem in (3), (9), (10). First, we estimate the accuracy and convergence rate in the maximal and discrete norms:
The average number of iterations is denoted by , and for the stopping criteria of Newton iteration process we take = . To compute the problem in (20), we apply Jacobi preconditioning. The computations are performed for .
To confirm the spatial and temporal accuracy of order , we perform simulations using fixed ratios of and , respectively.
Table 1 and Table 2 respectively illustrate the spatial convergence of solutions v and u for a fixed ratio . Our numerical experiments show that the order of convergence in space is four. Because the ratio between the time and space step sizes is fixed, we can deduce that the temporal convergence rate is at least two. In Table 3, we present results for the solution u and . The second-order accuracy observed in this table is due to the dominance of the lower-order convergence in this case with respect to the time variable. Consequently, the accuracy is for both of numerical solutions u and v. Moreover, convergence is achieved with a small number of iterations, and the average number of iterations required to reach the desired accuracy decreases as the mesh is refined.
Table 1.
Errors and order of convergence of v, , Example 1.
Table 2.
Errors and order of convergence of u, , Example 1.
Table 3.
Errors and order of convergence of u, , Example 1.
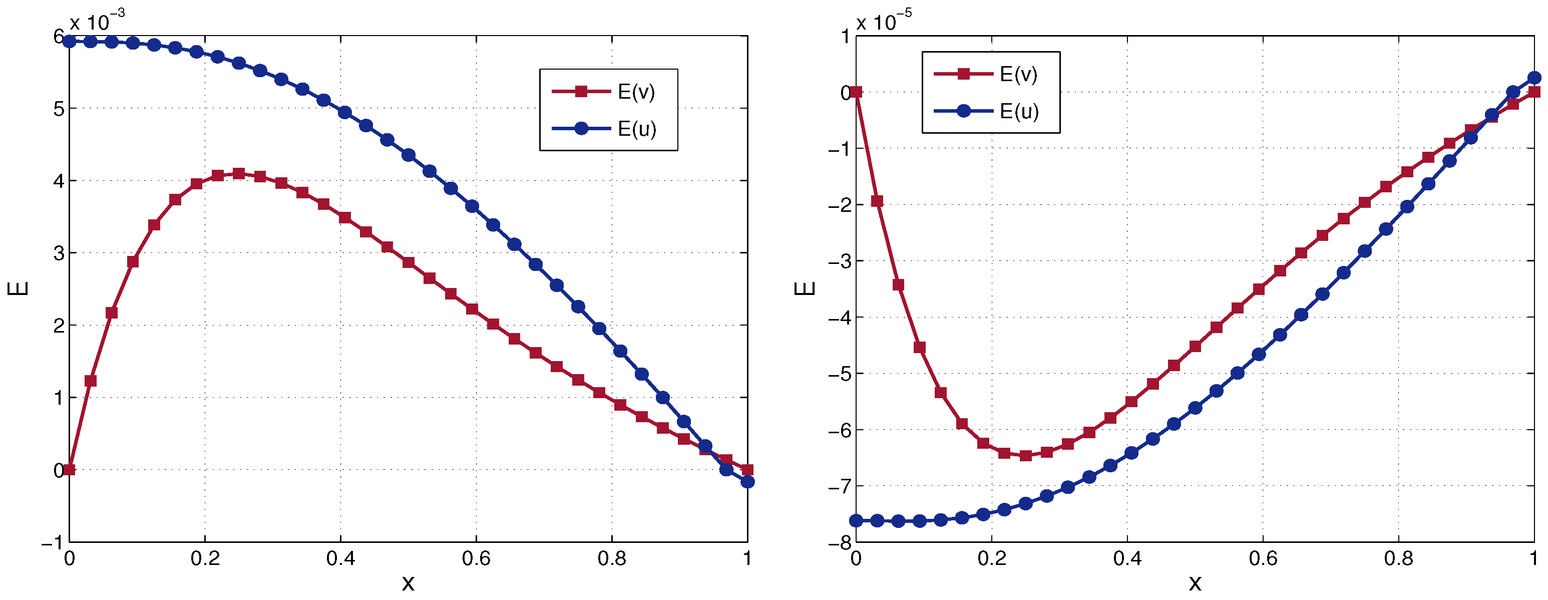
Figure 1 depicts the errors and at the final time for , .
Figure 1.
Errors and at the final time for (left) and (right), , Example 1.
Next, we compare the efficiency of the proposed approach in (18), (20) with the standard second-order Crank–Nicolson method. Figure 2 presents the CPU time versus the accuracy in both the maximum and norms for each method at the final time with . The results demonstrate that using the high-order scheme significantly reduces the computational time.
Figure 2.
Errors (left) and (right) versus CPU time for and schemes, Example 1.
Example 2.
In Table 4, we present the errors and spatial order of convergence for solution u. The ratio was fixed for all runs. In Table 5, we present computational results for numerical solution u when taking . As in Example 1, we conclude that the accuracy of the proposed method is .
Table 4.
Errors and order of convergence of u, , Example 2.
Table 5.
Errors and order of convergence of u, , Example 2.
In Figure 3, we plot the errors and in the whole computational domain for , .
Figure 3.
Errors (left) and (right) in , , , Example 2.
Table 6 and Table 7 present the results for numerical solutions v and u for and , respectively. As in the previous two examples, we conclude that the accuracy of the developed approach is .
Table 6.
Errors and order of convergence of u, , Example 3.
Table 7.
Errors and order of convergence of u, , Example 3.
Example 4.
In this example, we compare the solution gradient v computed using scheme (18) with those obtained in [2]. To verify their theoretical results, the authors of [2] employed an implicit finite difference scheme with accuracy to solve the gradient problem in (11), (13) using a time step of . Here, we adopt the same test example as in [2]:
In Figure 4, we compare the gradient of the solution obtained by both methods for different values of the constant . Very good agreement is observed between the solution v computed by (18) and those computed in [2].
7. Conclusions
In this paper, we have proposed a finite difference method with fourth-order accuracy in space and second-order accuracy in time for numerically solving the initial Neumann boundary value problem for a pseudoparabolic equation. This equation models turbulent and mass-transfer diffusion in fluids, particularly the propagation of long waves in nonlinear dispersive systems. The original problem is reduced to a pseudoparabolic equation with an unknown gradient, subject to initial and Dirichlet boundary conditions. Our main contribution is the construction of a compact approximation for the reformulated problem. Newton’s iterative method is employed to solve the resulting nonlinear algebraic difference equations at each time step.
The computational results confirm that the order of convergence for both the solution and its derivative with respect to the spatial variable is fourth-order in space and second-order in time. A small number of iterations is required to achieve convergence.
The main advantages of the method developed in this work are as follows: first, both the solution and its gradient for the Barenblatt-type equation are computed with fourth-order accuracy in space and second-order in time; second, in contrast to existing studies, we address a more general problem involving a larger class of nonlinearities.
In future work, we intend to extend the proposed approach to pseudohyperbolic equations (see, e.g., [37]).
Moreover, an efficient approach based on backwards Taylor expansion for constructing a semi-implicit-type approximations was used in [42] to solve hyperbolic systems of balance laws. Applying this method to our problem would be another interesting direction for future research.
Author Contributions
Conceptualization, L.G.V. and M.N.K.; methodology, M.N.K. and L.G.V.; investigation, M.N.K. and L.G.V.; resources, M.N.K. and L.G.V.; writing—original draft preparation, M.N.K. and L.G.V.; writing—review and editing, L.G.V.; validation, M.N.K. All authors have read and agreed to the published version of the manuscript.
Funding
This study is financed by the European Union—NextGenerationEU, through the National Recovery and Resilience Plan of the Republic of Bulgaria, project № BG-RRP-2.013-0001.
Institutional Review Board Statement
Not applicable.
Informed Consent Statement
Not applicable.
Data Availability Statement
All data are contained within the article.
Acknowledgments
The authors would like to give special thanks to the anonymous reviewers, whose valuable comments and suggestions have significantly improved the quality of the paper.
Conflicts of Interest
The authors declare no conflicts of interest.
References
- Barenblatt, G.I.; Zheltov, I.P.; Kochina, I.N. Basic concepts in the theory of seepage of homogeneous liquids in fissured rocks [strata]. J. Appl. Math. Mech. 1960, 24, 1286–1303. [Google Scholar] [CrossRef]
- Barenblatt, G.I.; Bertish, M.; DalPasso, R.; Prostokishin, V.M.; Ughi, M. A mathematical model of turbulent heat or mass transfer in stably stratified shear flow. J. Fluid Mech. 1993, 253, 341–358. [Google Scholar] [CrossRef]
- Barenblatt, G.I.; Bertish, M.; DalPasso, R.; Prostokishin, V.M.; Ughi, M. A degenerate pseudoparabolic regularization of a nonlinear forrward-backward heat equation arising in the theory of heat and mass exchange in stably stratified turbulent shear flow. SIAM J. Math. Anal. 1993, 24, 1414–1439. [Google Scholar] [CrossRef]
- Barenblatt, G.I.; Garcia Azorero, J.; De Pablo, A.; Vazquez, J.L. Mathematical model of the non equilibrium water oil displacement in porous strata. Appl. Anal. 1997, 65, 19–45. [Google Scholar] [CrossRef]
- Chen, P.J.; Gurtin, M.E. On a theory of heat conduction involving two temperatures. J. Appl. Math. Phys. (ZAMP) 1969, 19, 614–672. [Google Scholar] [CrossRef]
- Benjamin, T.B.; Bona, J.L.; Mahony, J.J. Model equations for long waves in nonlinear dispersive systems. Philos. Trans. R. Soc. Lond. Ser. A Math. Phys. Sci. 1972, 272, 47–78. [Google Scholar]
- Korpusov, M.O.; Sveshnikov, A.G. Blow-up solutions of strongly nonlinear equations of pseudoparabolic type. J. Math. Sci. 2008, 148, 1–142. [Google Scholar] [CrossRef]
- Helmig, R.; Weiss, A.; Wohlmuth, B.I. Dynamic capillary effects in heterogeneous porous media. Comput. Geosci. 2007, 11, 261–274. [Google Scholar] [CrossRef]
- Amar, M.; Andreucci, D.; Gianni, R.; Timofte, C. Well-posedness of two pseudo-parabolic problems for electrical conduction in heterogeneous media. J. Math. Anal. Appl. 2021, 493, 124533. [Google Scholar] [CrossRef]
- DiBenedetto, E.; Pierre, M. On the maximum principle for pseudo-parabolic equations. Indiana Univ. Math. J. 1981, 30, 821–854. [Google Scholar] [CrossRef]
- Sapagovas, M.; Štikonas, A.; Štikoniene, O. ADI method for pseudoparabolic equation with nonlocal boundary conditions. Mathematics 2023, 11, 1303. [Google Scholar] [CrossRef]
- Showalter, R.E.; Ting, T.W. Pseudoparabolic partial differential equations. SIAM J. Math. Anal. 1970, 1, 1–26. [Google Scholar] [CrossRef]
- Bouziani, A. Solvability of nonlinear pseudoparabolic equation with a nonlocal boundary condition. Nonlinear Anal. Theory Methods Appl. 2003, 55, 883–904. [Google Scholar] [CrossRef]
- Ngoc, L.T.P.; Uyen, K.T.T.; Nhan, N.H.; Longet, N.T. On a system of non-linear pseudoparabolic equations with Robin-Dirichlet boundary conditions. Commun. Pure Appl. Anal. 2022, 21, 585–623. [Google Scholar] [CrossRef]
- Vromans, A.J.; van de Ven, F.; Muntean, A. Existence of Weak Solutions for a Pseudo-Parabolic System Coupling Chemical Reactions, Diffusion and Momentum Equations; CASA-Report; Technische Universiteit Eindhoven: Eindhoven, The Netherlands, 2017; Volume 1703, 35p. [Google Scholar]
- Seam, N.; Vallet, G. Existence results for nonlinear pseudoparabolic problems. Nonlinear Anal. Real World Appl. 2011, 12, 2625–2639. [Google Scholar] [CrossRef]
- Albert, J. On the decay of solutions of the generalized Benjamin-Bona-Mahony equation. J. Math. Anal. Appl. 1989, 141, 527–537. [Google Scholar] [CrossRef]
- Abbasbandy, S.; Shirzadi, A. The first integral method for modified Benjamin-Bona-Mahony equation. Commun. Nonlinear Sci. Numer. Simul. 2010, 15, 1759–1764. [Google Scholar] [CrossRef]
- Kjelldahl, V.; Mattsson, K. Numerical simulation of the generalized modified Benjamin–Bona–Mahony equation using SBP-SAT in time. J. Comput. Appl. Math. 2025, 459, 116377. [Google Scholar] [CrossRef]
- Saul’ev, V.K.; Chernikov, A.A. A solution by the finite difference method of a nonlinear regularized equation of shallow water. Differ. Uravn. 1983, 19, 1818–1820. [Google Scholar]
- Lannes, D. The Water Waves Problem: Mathematical Analysis and Asymptotics; Mathematical Syrveys and Monographs 188; AMS: New York, NY, USA, 2013. [Google Scholar]
- Chertovskih, R.; Chian, A.C.-L.; Podvigina, O.; Rempel, E.; Zheligovsky, V. Existence, uniqueness and analyticity of space-periodic solutions to the regularised long-wave equation. Adv. Differ. Equ. 2014, 19, 725–754. [Google Scholar]
- Omrani, K.; Ayadi, M. Finite difference discretization of the Benjamin-Bona-Mahony-Burgers equation. Numer. Methods Partial. Differ. Equ. 2008, 24, 239–248. [Google Scholar] [CrossRef]
- Sweilam, N.H.; Abou Hasan, M.M.; Albalawi, A.O. Numerical solutions of Benjamin-Bona-Mahony-Burgers equation via nonstandard finite difference scheme. Electron. J. Math. Anal. Appl. 2018, 6, 237–245. [Google Scholar]
- Zhang, Q.; Liu, L.; Zhang, J. The numerical analysis of two linearized difference schemes for the Benjamin–Bona–Mahony–Burgers equation. Numer. Methods Partial. Differ. Equ. 2020, 36, 1790–1810. [Google Scholar] [CrossRef]
- Cheng, H.; Wang, X. A high-order linearized difference scheme preserving dissipation property for the 2D Benjamin-Bona-Mahony-Burgers equation. J. Math. Anal. Appl. 2021, 500, 125182. [Google Scholar] [CrossRef]
- Shallu, V.K. Kukreja. Numerical treatment of Benjamin-Bona-Mahony-Burgers equation with fourth-order improvised B-spline collocation method. J. Ocean. Eng. Sci. 2022, 7, 99–111. [Google Scholar] [CrossRef]
- Karta, M. Numerical solution for Benjamin-Bona-Mahony-Burgers equation with Strang time-splitting technique. Turk. J. Math. 2023, 47, 537–553. [Google Scholar] [CrossRef]
- Dehghan, M.; Abbaszadeh, M.; Mohebbi, A. The numerical solution of nonlinear high dimensional generalized Benjamin–Bona–Mahony–Burgers equation via the meshless method of radial basis functions. Comput. Math. Appl. 2014, 68, 212–237. [Google Scholar] [CrossRef]
- Dehghan, M.; Abbaszadeh, M.; Mohebbi, A. The use of interpolating element-free Galerkin technique for solving 2D generalized Benjamin–Bona–Mahony–Burgers and regularized long-wave equations on non-rectangular domains with error estimate. J. Comput. Appl. Math. 2015, 286, 211–231. [Google Scholar] [CrossRef]
- Dehghan, M.; Shafieeabyaneh, N.; Abbaszadeh, M. Numerical and theoretical discussions for solving nonlinear generalized Benjamin–Bona–Mahony–Burgers equation based on the Legendre spectral element method. Numer. Methods Partial. Differ. Equ. 2021, 37, 360–382. [Google Scholar] [CrossRef]
- Oruç, Ï. A new algorithm based on Lucas polynomials for approximate solution of 1D and 2D nonlinear generalized Benjamin–Bona–Mahony–Burgers equation. Comput. Math. Appl. 2017, 74, 3042–3057. [Google Scholar] [CrossRef]
- Hajishafieiha, J.; Abbasbandy, S. A new class of polynomial functions for approximate solution of generalized Benjamin-Bona-Mahony-Burgers (gBBMB) equations. Appl. Math. Comput. 2020, 367, 124765. [Google Scholar] [CrossRef]
- Shivanian, E.; Jafarabadi, A. More accurate results for nonlinear generalized Benjamin-Bona-Mahony-Burgers (GBBMB) problem through spectral meshless radial point interpolation (SMRPI). Eng. Anal. Bound. Elem. 2016, 72, 42–54. [Google Scholar] [CrossRef]
- Abreu, E.; Durán, A. Spectral discretizations analysis with time strong stability preserving properties for pseudo-parabolic models. Comput. Math. Appl. 2021, 102, 15–44. [Google Scholar] [CrossRef]
- Padron, V. Sobolev regularization of a nonlinear ill-posed parabolic problem as a model for aggregating populations. Commun. Partial. Differ. Equ. 1998, 23, 457–486. [Google Scholar]
- Dafermos, C.M. The mixed initial-boundary value problem for equations of nonlinear viscoelastisity. J. Differ. Equ. 1969, 6, 71–86. [Google Scholar] [CrossRef]
- Düll, W.P. Some qualitative properties of solutions to a pseudoparabolic equation modeling solvent uptake in polymeric solids. Commun. Partial. Differ. Equ. 2006, 31, 1117–1138. [Google Scholar] [CrossRef]
- Novick-Cohen, A.; Pego, R.L. Stable patterns in a viscous diffusion equation. Trans. Am. Math. Soc. 1991, 324, 331–351. [Google Scholar] [CrossRef]
- Larkin, N.A.; Novikov, V.A.; Ianenko, N.N. Nonlinear Equations of ‘Variable Type’; Izdatel’stvo Nauka: Novosibirsk, Russia, 1983; 272p. (In Russian) [Google Scholar]
- Davis, P.L. A quasilinear parabolic and a related third order problem. J. Math. Anal. Appl. 1972, 40, 327–335. [Google Scholar] [CrossRef]
- Macca, E.; Boscarino, S. Semi-implicit-type order-adaptive CAT2 schemes for systems of balance laws with relaxed source term. Commun. Appl. Math. Comput. 2025, 7, 151–178. [Google Scholar] [CrossRef]
Disclaimer/Publisher’s Note: The statements, opinions and data contained in all publications are solely those of the individual author(s) and contributor(s) and not of MDPI and/or the editor(s). MDPI and/or the editor(s) disclaim responsibility for any injury to people or property resulting from any ideas, methods, instructions or products referred to in the content. |
© 2025 by the authors. Licensee MDPI, Basel, Switzerland. This article is an open access article distributed under the terms and conditions of the Creative Commons Attribution (CC BY) license (https://creativecommons.org/licenses/by/4.0/).



