Journal Description
Environments
Environments
is an international, peer-reviewed, open access journal on environmental sciences published monthly online by MDPI.
- Open Access— free for readers, with article processing charges (APC) paid by authors or their institutions.
- High Visibility: indexed within Scopus, ESCI (Web of Science), PubAg, AGRIS, GeoRef, and other databases.
- Journal Rank: JCR - Q2 (Environmental Sciences) / CiteScore - Q1 (Ecology, Evolution, Behavior and Systematics)
- Rapid Publication: manuscripts are peer-reviewed and a first decision is provided to authors approximately 19.2 days after submission; acceptance to publication is undertaken in 3.4 days (median values for papers published in this journal in the first half of 2025).
- Recognition of Reviewers: reviewers who provide timely, thorough peer-review reports receive vouchers entitling them to a discount on the APC of their next publication in any MDPI journal, in appreciation of the work done.
- Testimonials: See what our editors and authors say about Environments.
Impact Factor:
3.7 (2024);
5-Year Impact Factor:
3.7 (2024)
Latest Articles
Microplastics in the Canary Islands: A Case Study on Transport and Tourist Pressure
Environments 2025, 12(12), 494; https://doi.org/10.3390/environments12120494 - 16 Dec 2025
Abstract
Microplastics (MPs) are a global concern due to their persistence and capacity to adsorb and transport pollutants. The Canary Islands, influenced by the Canary Current, are particularly vulnerable to MPs accumulation from remote sources. The European Union’s Watch List includes emerging contaminants that
[...] Read more.
Microplastics (MPs) are a global concern due to their persistence and capacity to adsorb and transport pollutants. The Canary Islands, influenced by the Canary Current, are particularly vulnerable to MPs accumulation from remote sources. The European Union’s Watch List includes emerging contaminants that require monitoring to assess potential ecological risks, though limited data hinder definitive evaluations. This study conducted a monitoring campaign between December 2023 and September 2024 across eleven beaches on four eastern islands of the archipelago. The aim was to assess MPs pollution (particles between 1 and 5 mm) and the presence of 26 organic contaminants from the EU Watch List adsorbed onto MPs, evaluating seasonal variation and tourism influence. Results show that beaches facing north and east had significantly higher MPs levels—up to an order of magnitude greater (ranged from <10 to >500 items/m2)—due to strong wind exposure, confirming the role of the Canary Current in MPs transport. White/transparent fragments dominated (>50%) among MPs types. Eight Watch List compounds were identified, with UV filters—commonly found in sunscreens—being the most frequently detected, present at nearly all sampling sites. Octocrylene reached concentrations up to 17,811 ng/g in highly touristic beaches. These findings highlight the environmental pressure on insular coastal zones and the relevance of combining MPs monitoring with targeted contaminant analysis in regions affected by oceanic currents and tourism.
Full article
(This article belongs to the Special Issue Editorial Board Members’ Collection Series: Plastic Contamination)
►
Show Figures
Open AccessArticle
Demand for Ecosystem Services by Populations in the Luki Biosphere Reserve in DRC
by
Franck Robéan Wamba, Flavien Pyrus Ebouel Essouman, Papy Nsevolo Miankeba, Hyacinthe Lukoki Nkossi, Nina Christelle Kenfack Tioda, Jean-Pierre Mate Mweru, Baudouin Michel and Hossein Azadi
Environments 2025, 12(12), 493; https://doi.org/10.3390/environments12120493 - 16 Dec 2025
Abstract
►▼
Show Figures
Ecosystems provide essential services to local communities, which in turn offer incentives for the preservation of natural resources, as these resources are crucial to the sustainability and evolution of human societies. So, this study examined the demand for ecosystem services among communities surrounding
[...] Read more.
Ecosystems provide essential services to local communities, which in turn offer incentives for the preservation of natural resources, as these resources are crucial to the sustainability and evolution of human societies. So, this study examined the demand for ecosystem services among communities surrounding the Luki Biosphere Reserve in the Democratic Republic of Congo. Data were collected through semi-structured interviews with 361 randomly selected individuals and focus group discussions in 18 villages, complemented by field observations on local resource use (agriculture, charcoal production, wood harvesting, and tree felling). The services provided by the reserve were identified according to citation frequency, perceived usefulness, and level of agreement among respondents. Results indicate that agricultural products (28.5%), charcoal (19.1%), non-timber forest products (17.5%), and firewood (10%) are the most requested. The Chi-square test showed significant associations between dependence on ecosystem services and socio-economic variables such as gender (p = 0.014 < 0.05), education level (p = 0.033 < 0.05), and annual income (p = 0.000 < 0.05), while age was not significant (p = 0.504 > 0.05). Poverty and rapid demographic growth were identified as key drivers of demand and factors contributing to growing pressure on natural resources. The study emphasizes feedback loops between changes in ecosystem service supply and community responses, as well as trade-offs between services and actors. It recommends integrating ecosystem values into agricultural and forestry policies, while raising awareness and educating local communities to promote sustainable resource management.
Full article

Figure 1
Open AccessReview
Pesticide Degradation by Soil Bacteria: Mechanisms, Bioremediation Strategies, and Implications for Sustainable Agriculture
by
Gyanendra Dhakal, Srijana Thapa Magar and Takeshi Fujino
Environments 2025, 12(12), 492; https://doi.org/10.3390/environments12120492 - 16 Dec 2025
Abstract
►▼
Show Figures
Pesticides remain indispensable for modern agriculture, yet their persistence in soil poses serious ecological and human-health risks through bioaccumulation, groundwater contamination, and impacts on non-target organisms. Although extensive research exists on pesticide degradation, most reviews separate biochemical pathways, environmental controls, and applied bioremediation
[...] Read more.
Pesticides remain indispensable for modern agriculture, yet their persistence in soil poses serious ecological and human-health risks through bioaccumulation, groundwater contamination, and impacts on non-target organisms. Although extensive research exists on pesticide degradation, most reviews separate biochemical pathways, environmental controls, and applied bioremediation strategies, limiting the ability to predict real-world field performance. This review integrates mechanistic enzymology, soil ecological responses, quantitative degradation kinetics, and emerging synthetic biology innovations into one unified framework. Soil bacteria including Pseudomonas, Bacillus, Rhodococcus, and Arthrobacter degrade organophosphates, carbamates, triazines, neonicotinoids, pyrethroids, and organochlorines through hydrolysis, oxidation, nitroreduction, and ring-cleavage pathways, often supported by plasmid-encoded genes and horizontal gene transfer. Bioaugmented systems typically achieve 70 to 95 percent removal within 10 to 30 days, with highly efficient cases such as Pseudomonas putida KT2440 removing 96 percent chlorpyrifos in 5 days, Rhodococcus koreensis mineralizing 98 percent endosulfan in 7 days, and Arthrobacter sp. AD26 degrading 95 percent atrazine in 72 h. Field-scale Azotobacter–Pseudomonas consortia have reduced chlorpyrifos from 25 mg kg−1 to less than 1 mg kg−1 within 30 days. Environmental conditions strongly influence degradation efficiency. Acidic soils increase pyrethroid half-lives by two to three times, anaerobic conditions can extend pesticide persistence from months to years, and drought or low organic matter reduces microbial activity by 60 to 80 percent, increasing neonicotinoid DT50 to more than 1000 days. Advances in omics, metagenomics, kinetic assays, and synthetic biology now enable engineered strains and synthetic consortia capable of more than 90 percent mineralization within 7 to 21 days. By linking molecular mechanisms, ecological constraints, quantitative outcomes, and emerging biotechnologies, this review provides a predictive roadmap for climate-resilient, scalable, and sustainable bioremediation strategies.
Full article

Figure 1
Open AccessArticle
Optimizing Vineyard Pruning Biochars for Nutrient Adsorption: Toward Sustainable Fertilizer Applications
by
Olena Dorosh, Andreia F. Peixoto, Cristina Delerue-Matos, Paula M. L. Castro and Manuela M. Moreira
Environments 2025, 12(12), 491; https://doi.org/10.3390/environments12120491 - 15 Dec 2025
Abstract
Agricultural residues, such as vineyard prunings, are abundant yet underutilized resources with potential for conversion into value-added products. In this study, vineyard prunings were investigated for the first time as feedstock for nutrient-enriched biochars intended for use as enhanced efficiency fertilizers (EEFs). Four
[...] Read more.
Agricultural residues, such as vineyard prunings, are abundant yet underutilized resources with potential for conversion into value-added products. In this study, vineyard prunings were investigated for the first time as feedstock for nutrient-enriched biochars intended for use as enhanced efficiency fertilizers (EEFs). Four biochars were produced using distinct physical (industrial-scale pyrolysis, CO2-assisted pyrolysis) and chemical (MgCl2, AlCl3 pretreatment) procedures. Their adsorption capacities for nitrogen (N), phosphorus (P), and potassium (K) were evaluated across a wide pH range (2–13). Optimization studies, including dosage, kinetics, and isotherms, revealed maximum Langmuir adsorption capacities of 10.4 mg N g−1 and 12.7 mg P g−1, which were comparable to or higher than other low-cost agricultural biochars, confirming the competitive performance of vineyard pruning-derived biochars. Beyond adsorption efficiency, these biochars provide additional benefits by valorizing a widely available viticulture residue, reducing open-field disposal and burning, and generating low-cost fertilizers that may reduce nutrient leaching and improve soil health. This work introduces a novel circular pathway linking vineyard waste management to sustainable nutrient delivery, integrating agricultural byproduct utilization with environmental remediation strategies.
Full article
(This article belongs to the Special Issue Biochar as an Environmental Technology)
►▼
Show Figures

Figure 1
Open AccessArticle
Improved Total–Species Accumulation Curve for Reliable Estimation of Regional Species Richness: An Application to Macroalgae Diversity on Bioconstructions from the Northern Adriatic Sea (Mediterranean Sea)
by
Gregorio Motta, Antonio Terlizzi, Annalisa Falace, Emiliano Gordini and Stanislao Bevilacqua
Environments 2025, 12(12), 490; https://doi.org/10.3390/environments12120490 - 14 Dec 2025
Abstract
►▼
Show Figures
Traditional species richness estimators often assume spatial homogeneity in species distribution, which can lead to underestimating biodiversity, especially in large, ecologically complex areas. The Total–Species (T–S) curve may provide an accurate framework for estimating γ-diversity by accounting for compositional variation across spatial subunits.
[...] Read more.
Traditional species richness estimators often assume spatial homogeneity in species distribution, which can lead to underestimating biodiversity, especially in large, ecologically complex areas. The Total–Species (T–S) curve may provide an accurate framework for estimating γ-diversity by accounting for compositional variation across spatial subunits. Our study tested the T–S curve model, modified to account for species rarity and patterns of β-diversity, to estimate macroalgal richness in the northeast Adriatic (Mediterranean Sea), an area where the total macroalgal diversity is known and a comprehensive reference list is available (487 species). Uncertainty in species richness estimates from T–S curves was quantified as 95%CI based on bootstrapping, and a sensitivity analysis was also carried out to quantify changes in estimates under different settings. Other parametric and non-parametric estimators, including the classic T–S curve, largely under- or overestimated the total species richness if compared to the refined T–S model, which returned a realistic estimate of 393 species in total. Our results demonstrate that the T–S curve modified to consider species rarity, and refined for potential biases associated with erroneous quantification of small-scale patchiness and spatial variations in assemblage composition, allowed for more realistic extrapolations of γ-diversity over large areas.
Full article

Figure 1
Open AccessArticle
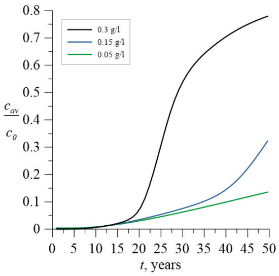
Long-Term Performance of Natural Filtration Dams for Landfill Leachate Treatment
by
Andrey Ivantsov, Mikhail Viskov, Ruslan Kataev, Nadezhda Ozhgibesova, Zhanna Knyazeva and Yanina Parshakova
Environments 2025, 12(12), 489; https://doi.org/10.3390/environments12120489 - 13 Dec 2025
Abstract
►▼
Show Figures
The study evaluates the long-term environmental performance of natural filtration dams for leachate treatment at a municipal solid waste landfill. Field measurements of a system operating for 24 years, equipped with natural clay-loam filtration barriers, provide empirical validation for assessing the effectiveness and
[...] Read more.
The study evaluates the long-term environmental performance of natural filtration dams for leachate treatment at a municipal solid waste landfill. Field measurements of a system operating for 24 years, equipped with natural clay-loam filtration barriers, provide empirical validation for assessing the effectiveness and durability of natural material-based treatment approaches. Hydrogeological studies, including well drilling, water sampling, and comprehensive chemical analysis, demonstrate that the cascade filtration system achieves pollutant removal efficiencies of 80–95% for major contaminants. Physical property measurements reveal progressive density reduction from 1005 to 994 kg/m3 and viscosity decreases from 1.048 to 1.011 cSt across the treatment system. Numerical simulations demonstrate that contaminant transport under actual site conditions remains diffusion-dominated over multi-decadal timescales, with aquifer concentrations remaining below 1% of source values after 50 years. Parametric studies reveal that density-driven convective fingering develops only at source concentrations exceeding 100 g/L. The findings validate the long-term viability of natural geological barriers combined with cascade filtration systems for cost-effective leachate treatment, demonstrating that preliminary treatment through natural filtration effectively suppresses gravitational instabilities and protects underlying aquifers.
Full article

Figure 1
Open AccessArticle
Protective Action of Hydrolysable Tannins Against Bisphenol A Toxicity on Zebrafish Development
by
Alessandra La Pietra, Teresa Mobilio and Ida Ferrandino
Environments 2025, 12(12), 488; https://doi.org/10.3390/environments12120488 - 12 Dec 2025
Abstract
►▼
Show Figures
Hydrolysable tannins (HTs) are polyphenolic compounds extracted from plants consisting of a sugar core, esterified with phenolic acids, such as gallic or ellagic acid. These phenolic acids are responsible for their well-known antioxidant, anti-tumor, antimicrobial, and anti-inflammatory properties. This study investigated the potential
[...] Read more.
Hydrolysable tannins (HTs) are polyphenolic compounds extracted from plants consisting of a sugar core, esterified with phenolic acids, such as gallic or ellagic acid. These phenolic acids are responsible for their well-known antioxidant, anti-tumor, antimicrobial, and anti-inflammatory properties. This study investigated the potential protective role of HTs against bisphenol A (BPA), an environmental pollutant known to have toxic effects. Zebrafish embryos were exposed to BPA at 25.0 µM alone and in combination with HTs at 5.0, 10.0, and 20.0 µgL−1 for 72 h. The results showed that HTs at 20.0 µgL−1 improved hatching and heart rate affected by BPA and reduced the phenotypic alterations caused by BPA. In addition, molecular analysis of genes involved in development showed that the down-regulation of cd63, zhe1, klf4, hand2, sox9b, and gata4 genes in the BPA group were improved with HTs 20.0 µgL−1. Furthermore, HTs were able to reduce the increased lipid content caused by exposure to BPA. These results demonstrate that HTs have a protective effect on the development of zebrafish exposed to BPA, suggesting that they could potentially exert protective effects in response to other environmental stressors.
Full article

Graphical abstract
Open AccessArticle
Phytoremediation of Nickel-Contamination Using Helianthus annuus L. in Mediterranean Conditions
by
Ada Cristina Ranieri, Luigi Lopopolo, Gianfranco D’Onghia, José Alberto Herrera Melián, Francesca Ranieri, Sarah Gregorio and Ezio Ranieri
Environments 2025, 12(12), 487; https://doi.org/10.3390/environments12120487 - 11 Dec 2025
Abstract
Nickel contamination poses a serious risk to ecosystems and human health. Phytoremediation provides a sustainable solution. This study evaluates the ability of Helinathus annuus L. to tolerate and accumulate nickel under simulated Mediterranean and semi-arid conditions, representing a short-term contamination event with nickel-enriched
[...] Read more.
Nickel contamination poses a serious risk to ecosystems and human health. Phytoremediation provides a sustainable solution. This study evaluates the ability of Helinathus annuus L. to tolerate and accumulate nickel under simulated Mediterranean and semi-arid conditions, representing a short-term contamination event with nickel-enriched irrigation. Laboratory experiments assessed growth, tolerance, and Ni distribution within plant tissues. Results showed that Ni uptake increased with concentration, mainly in roots, while translocation to aerial parts remained limited. The bioconcentration factors ranged from 1.32 to 2.55, and the translocation factors from 0.46 to 0.60, indicating efficient uptake but restricted metal mobility. Higher water availability enhanced Ni absorption, suggesting that soil moisture facilitates metal transport and root activity. Helinathus annuus L. demonstrated good tolerance at moderate Ni levels but reduced growth and accumulation efficiency at higher concentrations, confirming its potential for phytostabilization in Mediterranean soils affected by metal contamination.
Full article
(This article belongs to the Special Issue Editorial Board Members’ Collection Series: Soil Contamination and Remediation)
►▼
Show Figures

Figure 1
Open AccessArticle
Biochar–Carboxymethylcellulose Composite as an Injectable Colloidal Suspension for In Situ Groundwater Remediation
by
Damiano Feriaud, Sara Cerra, Ilaria Fratoddi and Marco Petrangeli Papini
Environments 2025, 12(12), 486; https://doi.org/10.3390/environments12120486 - 11 Dec 2025
Abstract
Injectable Permeable Reactive Barriers (IPRBs) represent a promising in situ technology for groundwater remediation, with sustainable adsorbents like biochar offering an alternative to activated carbon. This study optimized an IPRB process using a colloidal suspension of pinewood biochar stabilized with sodium carboxymethylcellulose (BC@CMC).
[...] Read more.
Injectable Permeable Reactive Barriers (IPRBs) represent a promising in situ technology for groundwater remediation, with sustainable adsorbents like biochar offering an alternative to activated carbon. This study optimized an IPRB process using a colloidal suspension of pinewood biochar stabilized with sodium carboxymethylcellulose (BC@CMC). The research first characterized the suspension stability under varying hydrochemical conditions, finding optimal colloidal stability at neutral to basic pH (6–9.4), while high ionic strength (>50 mM NaCl) and extreme pH values prompted aggregation. To prevent clogging, a key operational challenge, pre-filtration through a 64-µm sieve was implemented preventing column clogging and facilitating successful deep-bed distribution. The BC concentration was optimized to 3 g L−1, maximizing injectable adsorbent mass. Batch adsorption tests demonstrated the biochar’s high affinity for toluene (TOL) and tetrachloroethylene (PCE), with performance comparable to commercial activated carbon, particularly for PCE. The complete IPRB process was successfully validated through continuous-flow adsorption tests, where columns containing distributed BC@CMC showed high contaminant retention, with experimental retardation factors (Rx) of 144 ± 4 for TOL and 360 ± 6 for PCE. The study confirms that the optimized BC@CMC suspension enables highly efficient IPRB implementation, establishing this approach as a viable and sustainable strategy for field-scale groundwater remediation.
Full article
(This article belongs to the Special Issue Biochar as an Environmental Technology)
►▼
Show Figures

Graphical abstract
Open AccessArticle
Rapid 1D Design Method for Energy-Efficient Air Filtration Systems in Railway Stations
by
Pierre-Emmanuel Prétot, Christoph Schulz, David Chalet, Jérôme Migaud and Mateusz Bogdan
Environments 2025, 12(12), 485; https://doi.org/10.3390/environments12120485 - 10 Dec 2025
Abstract
►▼
Show Figures
Microscopic Particulate Matter (PM) below 10 µm can enter the respiratory system and affect human health in the short and long term. Railway enclosures are sites with high concentrations of fine PM and technical solutions like mechanical filtration exist to increase the air
[...] Read more.
Microscopic Particulate Matter (PM) below 10 µm can enter the respiratory system and affect human health in the short and long term. Railway enclosures are sites with high concentrations of fine PM and technical solutions like mechanical filtration exist to increase the air quality. However, several crucial factors must be evaluated and optimized like energy consumption, maintenance cost/interval, design and control. A fast and adaptable evaluation of decontamination solutions is required to find the optimal solution. To answer this, a 1D multizone model based on station discretization aligned with the track direction is proposed to precisely place decontamination systems along the station. In each zone, a set of ordinary differential equations is used to forecast the daily progression of PM concentrations, based on physical parameters (air and train velocities, and train traffic) used to describe the different physical phenomena (resuspension, deposition, ventilation and generation). Three-dimensional CFD (Computational Fluid Dynamics) simulations are used to characterize the efficiency and range of decontamination products and reproduce their effect in the 1D model. This approach allows for flexible optimization of local and global decontamination efficiencies with multiple parameter changes. PM10 and PM2.5 (below 10 and 2.5 µm) are studied here as they are often monitored.
Full article

Figure 1
Open AccessArticle
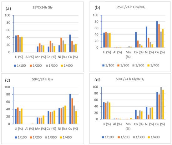
Advances in Glycine–Ammonia Leaching for the Sustainable Recovery of Critical Raw Materials from Thermally Treated Black Mass
by
Alfonso Bonilla, Ana Méndez and Gabriel Gascó
Environments 2025, 12(12), 484; https://doi.org/10.3390/environments12120484 - 10 Dec 2025
Abstract
►▼
Show Figures
The growing demand for electric and hybrid vehicles with lithium-ion batteries has made the development of sustainable recycling process for the recovery of critical raw materials from spent batteries necessary. Our main objective is to study the use of sustainable leaching solutions based
[...] Read more.
The growing demand for electric and hybrid vehicles with lithium-ion batteries has made the development of sustainable recycling process for the recovery of critical raw materials from spent batteries necessary. Our main objective is to study the use of sustainable leaching solutions based on glycine and glycine/NH3 for the recovery of Li, Co, Ni, and Cu from thermally treated black mass. The process variables studied in this research (time, temperature, and solid/liquid ratio) have a significant influence on the extraction percentages of Ni, Co, Li, and Cu. Due to the alkaline nature of the black matter, additional pH adjustments are not necessary, as glycine alone achieves a pH greater than eight, suitable for the formation of metal–glycine and metal–NH3 complexes. At 80 °C using glycine/NH3 solutions, it is possible to recover 99% of Cu, 92.4% of Ni, 78.4% of Co, and 76.5% of Ni.
Full article

Figure 1
Open AccessArticle
Threat of Alien Species to Native Biodiversity in Mangroves near Latin America’s Largest Port: Pathways for Technological Innovation and Strengthening of Regulations
by
Sidnei Aranha, Felipe Rakauskas, Leonardo Ferreira da Silva, Caio Fernando Fontana and Maurício Lamano Ferreira
Environments 2025, 12(12), 483; https://doi.org/10.3390/environments12120483 - 10 Dec 2025
Abstract
Mangrove forests are biodiverse and highly productive coastal ecosystems, fundamental to fisheries and tourism. However, they are severely threatened by human activities and invasive species, particularly in port areas such as the Port of Santos, necessitating effective environmental management. This study aimed to
[...] Read more.
Mangrove forests are biodiverse and highly productive coastal ecosystems, fundamental to fisheries and tourism. However, they are severely threatened by human activities and invasive species, particularly in port areas such as the Port of Santos, necessitating effective environmental management. This study aimed to analyze the risks of biological invasion in mangrove ecosystems stemming from port activities, with a focus on the Port of Santos (PS), Brazil. To achieve this, we conducted a bibliometric review using the Web of Science and Scopus databases, analyzed vessel traffic flows arriving at the PS over 14 years (from 2010 to 2024), and discussed alternatives to address the challenge of biological invasion. The review revealed a significant gap in the scientific literature, as few studies (9.9%, n = 71) address the intersection of maritime transport, invasive species, and mangroves in Latin American contexts. The intense and constant flow of international vessels into the Port of Santos, totaling 15,193 arrivals from more than 200 ports worldwide between 2010 and 2024, poses a persistent threat of biological invasion. This high-volume connectivity, with several foreign hubs exceeding 300 departures in the period, reinforces the role of ships as vectors transporting exotic species in ballast water and through hull fouling. This can destabilize local ecosystems and cause significant socioeconomic losses unless control measures, mediated by effective policies, regulations, and technologies, are implemented in the short term. A spatiotemporal analysis of vessel traffic flows over a 14-year period revealed persistent high-risk corridors for bioinvasion, directly linking maritime activity patterns to the threat level for adjacent mangrove ecosystems. The data indicate a substantial challenge for the PS, yet one with a high potential for resolution in the medium term, contingent upon investment in technology and regulation.
Full article
(This article belongs to the Special Issue Monitoring and Assessment of Environmental Quality in Coastal Ecosystems, 4th Edition)
►▼
Show Figures

Figure 1
Open AccessArticle
Long-Term Assessment of Trophic State and Environmental Drivers in the Gulf of Trieste (Northern Adriatic Sea) Within the MSFD (D5) Implementation
by
Alessandro Acquavita, Nicola Bettoso, Massimo Celio and Francesco Cumani
Environments 2025, 12(12), 482; https://doi.org/10.3390/environments12120482 - 10 Dec 2025
Abstract
The trophic status of coastal environments is largely controlled by nutrient inputs, particularly nitrogen and phosphorus, whose excess may lead to eutrophication. The northern Adriatic Sea has historically been affected by these processes, with notable impacts on water quality. This study analyses a
[...] Read more.
The trophic status of coastal environments is largely controlled by nutrient inputs, particularly nitrogen and phosphorus, whose excess may lead to eutrophication. The northern Adriatic Sea has historically been affected by these processes, with notable impacts on water quality. This study analyses a time series (2015–2024) collected at six offshore sites in the Gulf of Trieste within the Marine Strategy Framework Directive (MSFD) Descriptor 5. Dissolved Inorganic Nitrogen (DIN) showed marked spatial variability, with 19.9% of samples exceeding the threshold of 6.85 µM. Phosphate concentrations were low (mean 0.17 µM), indicating strong P-limitation (mean N:P ratio = 277). Chlorophyll a concentrations (mean 0.9 ± 0.1 µg L−1) reflected oligotrophic conditions, although 17% of samples exceeded 1.5 µg L−1. Time-series analyses revealed a significant warming trend (+0.1 °C yr−1; p = 0.022) and a significant decrease in chlorophyll a (p = 0.038), while no significant trends were observed for nutrients, dissolved oxygen or TRIX. TRIX values (0.8–6.9) indicated overall good to high ecological status. A trophic–hydrological gradient highlighted the positive influence of river inputs and precipitation on nutrient availability and trophic conditions. These results provide a solid quantitative baseline for MSFD assessments and underscore the role of hydrological and meteorological forcing in shaping trophic variability in the Gulf of Trieste.
Full article
(This article belongs to the Special Issue Monitoring and Assessment of Environmental Quality in Coastal Ecosystems, 5th Edition)
►▼
Show Figures

Figure 1
Open AccessArticle
The Effects of Acute Aldrin Exposure on the Liver and Kidney of the African Sharptooth Catfish, Clarias gariepinus (Burchell, 1822)
by
Helené Johanna Coetzee, Uwineza Marie Clementine Nibamureke, Jamie Das Neves, Irene Ellen Jane Barnhoorn and Gesina Maria Wagenaar
Environments 2025, 12(12), 481; https://doi.org/10.3390/environments12120481 - 9 Dec 2025
Abstract
Despite being banned since 1992, the organochlorine pesticide aldrin was recently detected in the Albasini Dam in Limpopo Province, South Africa. Aldrin is listed in the initial twelve persistent organic pollutants (POPs) and is rapidly broken down into dieldrin. Therefore, the presence of
[...] Read more.
Despite being banned since 1992, the organochlorine pesticide aldrin was recently detected in the Albasini Dam in Limpopo Province, South Africa. Aldrin is listed in the initial twelve persistent organic pollutants (POPs) and is rapidly broken down into dieldrin. Therefore, the presence of aldrin in the Albasini Dam indicates recent exposure and poses an environmental concern. Since 2006, a decline in fish numbers and adverse health effects have been reported in fish from the dam. This study aimed to investigate the potential effects of aldrin on the health of male African sharptooth catfish (Clarias gariepinus) through acute exposure to an environmentally relevant concentration of aldrin (0.14 µg/L) and an increased concentration (1.40 µg/L) under controlled laboratory conditions (28.7 °C; pH 8). The liver and kidney showed histological changes in both organs without significant differences between the groups for the 0.14 µ/L aldrin concentration. However, a significant difference was found in the kidney histological indices between the control fish and fish exposed to the high aldrin concentration (p = 0.014). A significant difference in kidney indices was observed between the two aldrin concentrations (p = 0.001). It was evident that histological changes in the kidney were prevalent and severe in fish exposed to 1.40 µg/L aldrin. This means that the observed levels of aldrin in Albasini Dam water (0.14 µg/L) may not pose a direct danger to the fish liver and kidney; however, as aldrin was banned for use, its presence in the dam is concerning, as at 1.40 µg/L, it may impair fish health.
Full article
(This article belongs to the Special Issue Occurrence, Fate, and Environmental Risk Assessment of Organic Pollutants in Water)
►▼
Show Figures

Figure 1
Open AccessArticle
Proposal of Territorial and Environmental Planning Based on Groundwater Specific Vulnerability Zoning
by
Valéria Vaz Alonso, Vitor Xatara Branco and Lázaro Valentim Zuquette
Environments 2025, 12(12), 480; https://doi.org/10.3390/environments12120480 - 8 Dec 2025
Abstract
►▼
Show Figures
The quality of groundwater is essential to sustain human and environmental activities now and in the future. However, the current intensification of anthropogenic activities has increased the magnitude of contaminant sources. When those contaminants reach a saturated zone (groundwater), their levels of presence
[...] Read more.
The quality of groundwater is essential to sustain human and environmental activities now and in the future. However, the current intensification of anthropogenic activities has increased the magnitude of contaminant sources. When those contaminants reach a saturated zone (groundwater), their levels of presence may make their use for various purposes unfeasible. Therefore, research into the vulnerability degree is essential for estimations of potential for contamination and possible risks. This manuscript presents the results obtained by applying a parametric procedure for mapping groundwater vulnerability based on a set of attributes related to contaminant sources, transport, and natural attenuation of contaminants. In addition to vulnerability zoning, the set of attributes supports the adoption of measures and recommendations related to territorial and environmental planning guidelines and orientations about land uses. The open source Geographical Information System—QGIS open source version 3.22.4 was used for spatially integrating different attribute maps and obtaining partial indices for contaminant introduction, transport, and attenuation; hence, the specific vulnerability index. The results promoted the division of the region into six classes of specific vulnerability, namely, extremely high, accounting for around 23% vulnerability, very high (20%), moderate (24%), very low (23%), and high and low together accounting for 10%. Such categories were associated with measures and recommendations aimed at territorial and environmental planning and protection and control of environmental functions. Approximately 50% of the study area requires restrictive measures regarding buildings, sustainable drainage systems, waste disposal, chemical storage, and petrol stations, and other measures are necessary for the protection of wells and natural springs. The method employed can produce results that enable areas to be categorized and ranked in terms of specific vulnerability; however, it requires a large quantity of data and spatial details according to the scale adopted. The specific vulnerability map produced will help planners make more appropriate territorial and environmental planning decisions and risk management, avoiding groundwater contamination.
Full article

Figure 1
Open AccessArticle
Treatment of Municipal Organic Waste Leachates by Nitrification: Analysis of the Diversity and Abundance of Canonical and Comammox Microorganisms
by
Roberto Carlos Moreno-Quirós, Ángel Isauro Ortíz-Ceballos and Sergio Martínez-Hernández
Environments 2025, 12(12), 479; https://doi.org/10.3390/environments12120479 - 8 Dec 2025
Abstract
Leachates from municipal organic waste contain high concentrations of ammonium and organic matter, making their treatment a top priority. The present study addressed leachate treatment under nitrification and focused on the diversity and abundance of comammox bacteria and their interaction with other canonical
[...] Read more.
Leachates from municipal organic waste contain high concentrations of ammonium and organic matter, making their treatment a top priority. The present study addressed leachate treatment under nitrification and focused on the diversity and abundance of comammox bacteria and their interaction with other canonical microorganisms. Batch reactors (1L) were fed with synthetic (100 mg HN4+-N/L) or leachate ammonium and operated at 150 rpm, 3 mg DO/L, pH 7, and 30 °C. Reactor performance was evaluated using metabolic response variables and the microbial community by shotgun metagenomic sequencing. The results showed ammonium and organic matter (5200 mg COD/L) consumption efficiencies above 95%. The abundance and richness of the microbial community decreased in the presence of leachates. Sequences of the genus Nitrosomonas predominated with the synthetic medium, while the genus Nitrospira was the most abundant when fed with leachates. Archaea and anammox sequences were also detected. Comammox sequences of Candidatus Nitrospira inopinata, C. N. nitrificants, C. N. kreftii, C. N. neomarina, C. N. nitrosa, and C. N. allomarina were also detected, with the first species being predominant in the presence of leachates. These findings demonstrate that comammox and canonical microorganisms coexist during ammonium removal from leachates.
Full article
(This article belongs to the Special Issue Waste Management and Life Cycle Assessment: Challenges and Opportunities)
►▼
Show Figures

Graphical abstract
Open AccessArticle
Physiological Responses to Microplastic Ingestion in the Peacock Wrasse Symphodus tinca from Ibiza, Spain
by
Antoni Sureda, Maria Magdalena Quetglas-Llabrés, Montserrat Compa, Amanda Cohen-Sánchez, Antoni Box, Llorenç Gil, Samuel Pinya and Silvia Tejada
Environments 2025, 12(12), 478; https://doi.org/10.3390/environments12120478 - 8 Dec 2025
Abstract
Microplastics (MPs) are ubiquitous coastal contaminants that can induce oxidative stress, detoxification responses and inflammation in marine species. We evaluated MP occurrence and associated physiological responses in the digestive tract of the peacock wrasse Symphodus tinca (N = 28) from the northeastern
[...] Read more.
Microplastics (MPs) are ubiquitous coastal contaminants that can induce oxidative stress, detoxification responses and inflammation in marine species. We evaluated MP occurrence and associated physiological responses in the digestive tract of the peacock wrasse Symphodus tinca (N = 28) from the northeastern coast of Ibiza (Balearic Islands, Spain). MPs occurred in 60.7% of the fish (58 items in total; mean 2.1 ± 0.5 items·fish−1), dominated by fibres (75.9%). Polyester (38.1%) and polypropylene (23.8%) were the most frequent polymers in the subset of MPs analysed. Fish were grouped by median MP count (<2 vs. ≥2), and statistical differences and correlations were assessed. Individuals with ≥2 MPs showed significantly elevated activities of antioxidant enzymes (catalase, CAT; superoxide dismutase, SOD), the phase-II detoxification enzyme glutathione S-transferase (GST), and the pro-inflammatory enzyme myeloperoxidase (MPO). Production of reactive oxygen species (ROS) and oxidative-damage biomarkers, malondialdehyde (MDA) and protein carbonyls tended to be higher in the high-MP group, but differences were not statistically significant. MP exposure correlated positively with all biomarkers except protein carbonyls. In conclusion, higher MP loads in S. tinca are associated with activation of antioxidant, detoxification and inflammatory pathways, without clear evidence of widespread oxidative damage under the sampled conditions. These physiological responses suggest potential impacts on individual fitness that may signal early ecological effects in coastal fish populations, highlighting their value as early-warning indicators in coastal monitoring and environmental management.
Full article
(This article belongs to the Special Issue Ecotoxicity of Microplastics)
►▼
Show Figures

Graphical abstract
Open AccessArticle
An Agricultural Hybrid Carbon Model for National-Scale SOC Stock Spatial Estimation
by
Nikiforos Samarinas, Nikolaos L. Tsakiridis, Eleni Kalopesa and Nikolaos Tziolas
Environments 2025, 12(12), 477; https://doi.org/10.3390/environments12120477 - 6 Dec 2025
Abstract
►▼
Show Figures
Soil Organic Carbon (SOC) stocks in croplands play a key role for climate change mitigation and soil sustainability, with proper management techniques enhancing carbon storage to support these goals. This study focuses on the development of a hybrid carbon modeling approach for the
[...] Read more.
Soil Organic Carbon (SOC) stocks in croplands play a key role for climate change mitigation and soil sustainability, with proper management techniques enhancing carbon storage to support these goals. This study focuses on the development of a hybrid carbon modeling approach for the simulation of topsoil SOC stocks across the entire agricultural area of Lithuania. In essence, the proposed hybrid approach combines a custom cloud-based Soil Data Cube (SDC) and the RothC process-based model. High-resolution annual soil layers produced via the SDC (developed using Earth Observation and Copernicus datasets processed through AI-based methodologies) were incorporated into the RothC model to achieve reliable and detailed spatial estimations of SOC stocks. Moreover, 20-year projections into the future were conducted for (i) the business as usual scenario, and (ii) two different IPCC climate change scenarios (RCP 4.5 and 8.5) for the estimation of the SOC stock changes. The initial SOC stock varies from 15 to over 80 while the projections present an average SOC loss of or the business-as-usual scenario and an average SOC sequestration of and under RCP 4.5 and RCP 8.5, respectively. The framework aims to provide a robust and cost-effective solution for estimating SOC stocks under climate pressures, supporting EU policies such as the Common Agricultural Policy.
Full article

Figure 1
Open AccessReview
From Dawn to Now: The Evolution of PFAS Research Trends
by
Phuong D. Tran and Kyoungtae Kim
Environments 2025, 12(12), 476; https://doi.org/10.3390/environments12120476 - 6 Dec 2025
Abstract
Per- and polyfluoroalkyl substances (PFAS) are a large family of synthetic chemicals known for their exceptional stability, strong surface activity, and ability to repel both water and oil. Due to these characteristics, PFAS have been widely used since the 1950s across multiple industries.
[...] Read more.
Per- and polyfluoroalkyl substances (PFAS) are a large family of synthetic chemicals known for their exceptional stability, strong surface activity, and ability to repel both water and oil. Due to these characteristics, PFAS have been widely used since the 1950s across multiple industries. However, over the decades, these substances have emerged as persistent and bioaccumulative contaminants. While it is evident that PFAS pose adverse effects on both ecosystems and human well-being, the mechanisms underlying their toxicities are yet to be fully understood. To better examine the thematic evolution of PFAS research, this review divides the literature into four distinct eras: before 2000s, from 2000 to 2010, from 2010 to 2020, and from 2020 onwards. Since the latter half of the 20th century, the rapid development and mass production of PFAS resulted in the manufacture of thousands of industrial and household products. After decades of concerns regarding their toxic impacts, major phase-outs in the early 2000s shifted attention towards environmental studies and biomonitoring. Throughout the 2010s, extensive studies were conducted to assess the PFAS toxicities, especially perfluorooctane sulfonate (PFOS) and perfluorooctanoic acid (PFOA), the two widely detected compounds on human populations. Since 2020, research efforts have increasingly progressed toward molecular-level studies, advancements in analytical detection methods, and remediation technologies. Additionally, this review examines regulatory changes, highlights current knowledge gaps, and outlines directions for future research.
Full article
(This article belongs to the Special Issue Health Effects of per- and Polyfluoroalkyl Substances (PFAS))
►▼
Show Figures

Figure 1
Open AccessArticle
Wastewater-Based Estimation of COVID-19 Transmission in California: A Hierarchical Beta-Binomial Model for Estimating the Effective Reproduction Number
by
José Cricelio Montesinos-López, Maria L. Daza-Torres, Abelardo Montesinos-López, Junlin Chen, Heather N. Bischel and Miriam Nuño
Environments 2025, 12(12), 475; https://doi.org/10.3390/environments12120475 - 5 Dec 2025
Abstract
The coronavirus disease 2019 (COVID-19) pandemic highlighted the critical need for scalable, timely, and unbiased methods to monitor disease transmission at the population level. Wastewater-based epidemiology (WBE) provides an effective method for monitoring severe acute respiratory syndrome coronavirus 2 (SARS-CoV-2) transmission by detecting
[...] Read more.
The coronavirus disease 2019 (COVID-19) pandemic highlighted the critical need for scalable, timely, and unbiased methods to monitor disease transmission at the population level. Wastewater-based epidemiology (WBE) provides an effective method for monitoring severe acute respiratory syndrome coronavirus 2 (SARS-CoV-2) transmission by detecting viral RNA shed into the sewage system. Because it does not rely on individual testing, WBE can offer timely, cost-effective, and community-level insights into infection trends. In this study, we present a hierarchical Beta-Binomial model that integrates SARS-CoV-2 RNA concentration in wastewater with reported COVID-19 case counts to enhance the monitoring of community-level transmission dynamics. The model incorporates wastewater viral loads as a predictor and reported cases as the response, while adjusting for testing volume to account for biases introduced by fluctuations in testing practices. This approach enables reliable estimation of the effective reproduction number ( ), even in the absence of consistent reporting of clinical data. Applied to twenty counties in California, our modeling framework demonstrates the potential of wastewater surveillance to inform public health decision making, particularly in locations with sparse clinical data.
Full article
(This article belongs to the Special Issue Wastewater-Based Epidemiology Assessment and Surveillance)
►▼
Show Figures

Graphical abstract
Journal Menu
► ▼ Journal Menu-
- Environments Home
- Aims & Scope
- Editorial Board
- Topical Advisory Panel
- Instructions for Authors
- Special Issues
- Topics
- Topical Collections
- Article Processing Charge
- Indexing & Archiving
- Editor’s Choice Articles
- Most Cited & Viewed
- Journal Statistics
- Journal History
- Journal Awards
- Conferences
- Editorial Office
Journal Browser
► ▼ Journal BrowserHighly Accessed Articles
Latest Books
E-Mail Alert
News
Topics
Topic in
Applied Microbiology, Bioengineering, Biology, Environments, Microorganisms
Environmental Bioengineering and Geomicrobiology
Topic Editors: Xian-Chun Zeng, Deng LiuDeadline: 20 December 2025
Topic in
Environments, Forests, Land, Sustainability, Urban Science, Systems
Ecosystem-Based Adaptation: A Holistic Approach to Pursue Multiple Benefits
Topic Editors: Angela Pilogallo, Zhimin Liu, Yevheniia VaryvodaDeadline: 31 December 2025
Topic in
Gels, Polymers, Nanomaterials, Pharmaceutics, Environments, J. Compos. Sci.
Polymer and Biopolymer Nanocomposites for Emerging Medical, Industrial, and Environmental Applications
Topic Editors: Madhappan Santhamoorthy, Seongcheol KimDeadline: 28 February 2026
Topic in
Environments, Geosciences, Hydrology, Water, Biosphere, Limnological Review
Geological Processes: A Key to Understand Water Quality Issues
Topic Editors: Weiying Feng, Hao WangDeadline: 20 March 2026
Conferences
Special Issues
Special Issue in
Environments
Ecological Restoration in Marine Environments
Guest Editors: Federica Cacciatore, Rossella Boscolo BrusàDeadline: 20 December 2025
Special Issue in
Environments
Advances in Urban Air Pollution: 2nd Edition
Guest Editors: Yonghang Lai, Peter BrimblecombeDeadline: 20 December 2025
Special Issue in
Environments
Editorial Board Members’ Collection Series: Plastic Contamination
Guest Editors: Teresa A. P. Rocha-Santos, Cheng FangDeadline: 20 December 2025
Special Issue in
Environments
Soil Pollution and Remediation: Multidisciplinary Approaches to a Global Challenge
Guest Editors: Daniel Arenas-Lago, Claudia Campillo-CoraDeadline: 25 December 2025
Topical Collections
Topical Collection in
Environments
Trends and Innovations in Environmental Impact Assessment
Collection Editor: Manuel Duarte Pinheiro





