Simple Summary
Recently, Mongolian grasslands are facing degradation, due to overgrazing by an increasing number of livestock. In such grassland ecosystems, subterranean mammals that dig burrows serve as keystone species and ecosystem engineers, creating spatial heterogeneity in the local landscape. Given the widespread distribution of grassland-dwelling rodents in the Mongolian steppe, the reevaluation of the role of the target species, the Siberian marmot, in enhancing grassland resilience is gaining increasing attention. This study demonstrates that the Siberian marmot functions as a localized ecosystem engineer, particularly in grazed landscapes, by enhancing the vegetation structure and spatial heterogeneity. Our findings emphasize the ecological significance of marmot activity, even under anthropogenic pressure.
Abstract
Burrowing mammals function as ecosystem engineers by creating spatial heterogeneity in the soil structure and vegetation composition, thereby providing microhabitats for a wide range of organisms. These keystone species play a crucial role in maintaining local ecosystem functions and delivering ecosystem services. However, in Mongolia, where overgrazing has accelerated due to the expansion of a market-based economy, scientific knowledge remains limited regarding the impacts of human activities on such species. In this study, we focused on the Siberian marmot (Marmota sibirica), an ecosystem engineer inhabiting typical Mongolian steppe ecosystems. We assessed the relationship between the spatial distribution of marmot burrows and vegetation conditions both inside and outside Hustai National Park. Burrow locations were recorded in the field, and the Normalized Difference Vegetation Index (NDVI) was calculated, using Planet Lab, Dove-2 satellite imagery (3 m spatial resolution). Through a combination of remote sensing analyses and vegetation surveys, we examined how the presence or absence of anthropogenic disturbance (i.e., livestock grazing) affects the ecological functions of marmots. Our results showed that the distance between active burrows was significantly shorter inside the park (t = −2.68, p = 0.0087), indicating a higher population density. Furthermore, a statistical approach, using beta regression, revealed a significant interaction between the burrow type (active, non-active, off-colony area) and region (inside vs. outside the park) on the NDVI (e.g., outside × non-active: z = −5.229, p < 0.001). Notably, in areas with high grazing pressure outside the park, the variance in the NDVI varied significantly as a function of burrow presence or absence (e.g., July 2023, active vs. off-colony area: F = 133.46, p < 0.001). Combined with vegetation structure data from field surveys, our findings suggest that marmot burrowing activity may contribute to the enhancement of vegetation quality and spatial heterogeneity. These results indicate that the Siberian marmot remains an important component in supporting the diversity and stability of steppe ecosystems, even under intensive grazing pressure. The conservation of this species may thus provide a promising strategy for utilizing native ecosystem engineers in sustainable land-use management.
1. Introduction
Fossorial mammals are known to function as ecosystem engineers in many ecosystems, influencing plant composition and spatial heterogeneity through soil disturbance and structural modifications [1,2,3]. For instance, in North America, prairie dogs (Cynomys spp.) have been observed to clip vegetation around their burrows to secure visibility and, such disturbance, is believed to promote the regeneration of nutrient-rich herbaceous plants [4].
These mammals often serve as keystone species or ecosystem engineers [5,6,7,8], providing habitat and refugia for other organisms that cannot create burrows themselves [9,10]. The prolonged use of burrows and the accumulation of feces and urine are also known to enhance soil nutrient content around burrow sites. In fact, the nitrogen and phosphorus levels in plant biomass near burrows have been reported to be 20–30% higher than in non-burrowed areas [4]. These changes in soil conditions can alter competitive interactions among plants, encouraging the establishment of different species around burrows [11] and resulting in spatially heterogeneous vegetation patterns. Such structural complexity serves as a vital habitat for plants and animals adapted to microenvironments and contributes to the maintenance of local biodiversity [12,13].
The Siberian marmot (Marmota sibirica), inhabiting the Mongolian steppe, is one such example of an ecosystem engineer. This rodent species, belonging to the genus Marmota in the family Sciuridae, is distributed mainly across northeastern China, Mongolia, and parts of the Russian Federation, favoring hilly or mountainous steppe regions. In Mongolia, two subspecies are recognized: Marmota sibirica, found in central and eastern grasslands and the Khentii Mountains, and Marmota caliginosus, distributed from the Khangai and Khuvsgul Mountains to the Mongol Altai. Like other fossorial mammals, Siberian marmots create spatial heterogeneity in the soil structure, nutrient distribution, and vegetation composition through their burrowing activity, providing microhabitats for insects and reptiles [12]. Their burrows also serve as important refuges for a variety of commensal species, including birds, reptiles, and insects, and are even used as denning sites by predators, such as foxes and wolves, underscoring their foundational ecological role in the Mongolian steppe ecosystem [13,14,15].
However, the population of Siberian marmots has drastically declined in recent years, due to excessive hunting and overgrazing [16]. It is estimated that around 70% of the population was lost during the 1990s due to overhunting and famine associated with droughts and, by 2007, the national population had fallen below 10 million individuals [17,18,19]. Although the Mongolian government has implemented conservation policies, including hunting bans [20], enforcement against poaching remains insufficient, and population recovery has not yet been achieved [21].
Meanwhile, in Hustai National Park, the focal area of this study, continuous conservation efforts by park rangers have maintained higher marmot population densities compared to other regions [14]. Nevertheless, the buffer zone located along the park’s periphery still experiences significant anthropogenic impacts, such as grazing and cultivation [22], resulting in marked differences in the vegetation and ecosystem structure inside and outside the park. Based on vegetation surveys, Suzuki (2013) reported that vegetation within the protected area had recovered, while degradation continued outside the park due to ongoing overgrazing [23]. Since the intensity of habitat modification by marmots is positively correlated with burrow density [24], it is essential to quantitatively assess their spatial distribution and ecological impact.
Today, many steppe regions of Mongolia are severely affected by overgrazing [25], leading to vegetation degradation, the homogenization of plant communities [26,27], and concerns about declining biodiversity, including pollinators [28]. These changes negatively impact local pastoral systems [29,30] and may compromise the resilience of grassland ecosystems.
This study focuses on the potential role of marmots as agents of ecological modification by evaluating their contribution to soil structure improvement, water retention, and plant species diversity in grazed landscapes. It also aims to assess the Siberian marmot as a functional species supporting structural diversity in grassland ecosystems through the analysis of burrow distribution and vegetation structure inside and outside Hustai National Park, Mongolia. Furthermore, we statistically examine how anthropogenic pressures, particularly grazing, affect the ecological function of marmots. This research offers important insights into the potential role of wild mammals in sustainable land management, particularly in the context of ongoing grassland degradation in Mongolia.
2. Materials and Methods
2.1. Survey Area
This study was conducted in Hustai National Park (HNP), located in Töv Province, Mongolia, approximately 100 km southwest of the capital, Ulaanbaatar. The park covers a total area of 50,620 hectares, with elevations ranging from 1100 m 1840 m. Surrounding the park is a designated buffer zone that serves to mitigate anthropogenic impacts. The region has a semi-arid climate, with an average annual precipitation of approximately 232 mm, and is classified as part of Mongolia’s Mountain forest–steppe zone [31].
HNP was selected in 1990 as the reintroduction site for the Przewalski horse (Equus ferus przewalskii) and was designated as a nature reserve in 1993. It was later upgraded to national park status in 1998 [32,33]. Before 1993, the area was used as pastureland, but since its designation, natural vegetation recovery has been progressing within the park. In contrast, grazing continues in the surrounding buffer zone, where vegetation degradation has been noted [22].
2.2. Data Used
In a field survey conducted in May 2024, the locations of a total of 2278 marmot burrows were recorded. Of these, 1560 burrows were located inside the national park, which included area 1 (active: 35, non-active: 279), area 2 (active: 465, non-active: 457), and area 3 (active: 188, non-active: 136). Outside the park, 718 burrows were recorded: area 1 (active: 81, non-active: 277), area 2 (active: 19, non-active: 187), and area 3 (active: 46, non-active: 108).
Burrow data were collected within six transect plots (100 m × 2000 m each), three located inside the park and three outside. The geographic coordinates of all the burrows within each plot were recorded using a GPS device (see Figure 1).
Figure 1.
This figure illustrates the spatial context of the marmot distribution data used for the comparative analysis between protected [inside] and grazed landscapes [outside]. (A,B) Map showing the location of Hustai National Park and areas surveyed; (C) shows the location of the burrows in the survey plot; and (D) is an expanded map of the survey plot: yellow = active burrows, green = non-active burrows, grey = off-colony area.
Each burrow was classified as either “active” or “non-active” based on its physical condition. Active burrows were defined as those with visible mounds and signs of recent excavation or freshly disturbed soil [20]. In contrast, non-active burrows lacked soil mounds and showed signs of disuse, such as being overgrown with vegetation or covered in spider webs. One transects plot located inside the park extended across the park boundary; the portion outside the boundary was treated as “outside the park” for analytical purposes.
As shown in Figure 1, additionally, for comparison, reference zones were selected within each transect plot, where no burrows were observed (off-colony areas). These areas were chosen based on their relatively flat topography and typical vegetation characteristics and were used as control areas in the vegetation surveys and vegetation index analyses. Given the wide distribution of marmots, the absence of visible burrows does not guarantee the complete absence of marmot influence. Therefore, in this study, “off-colony areas” are defined as regions within the survey range where no burrows were observed, and interpretations involving these areas were made with due caution.
2.3. Analysis of Habitat Structure
Based on the recorded burrow location data, the nearest-neighbor distances (NNDs) for both active and non-active burrows within each transect plot were calculated using the “Near” tool in ArcGIS Pro 3.1.0 (Esri Inc., Redlands, CA, USA). This metric is crucial for understanding the spatial distribution of marmots and serves as a useful indicator of disturbance intensity, as the burrow density reflects the degree of habitat modification [24].
2.4. Vegetation Survey
To evaluate the general trend of vegetation cover around marmot burrows, field-based vegetation surveys were conducted in August 2023 and August 2024. In 2023, five 3 m × 3 m quadrats were established at each of two habitat types: (1) active burrow mounds, including the burrow openings, and (2) off-colony areas, where no burrows were present. In 2024, two additional quadrats were established in the same regions, using the same methodology.
Given that active burrows typically include a substantial amount of bare ground, a 3 m × 3 m quadrat size was chosen to effectively capture the spatial heterogeneity of the vegetation patterns influenced by bare patches. The following survey variables were recorded: vegetation cover was visually estimated as the percentage of ground covered by plants within each quadrat. Furthermore, the plant height was measured for four representative species, Artemisia adamsii, Artemisia frigida, Stipa krylovii, and Leymus chinensis, which are considered to be affected by marmot burrowing activity [34]. These species are regarded as indicator species of the grassland condition, due to their differing responses not only to marmot disturbances, but also to grazing pressure and soil disturbance [35].
From these surveys, 28 plant species were recorded in the active burrow plots in 2023, and 20 species in 2024. In the off-colony plots, 27 species were found in 2023 and 23 species in 2024.
2.5. Vegetation Index Extraction and Analysis
To objectively assess vegetation activity, this study used the Normalized Difference Vegetation Index (NDVI), a widely applied index derived from the differential absorption and reflection of red and near-infrared (NIR) wavelengths by plant leaves. The NDVI is commonly used to estimate photosynthetic activity, vegetation cover, biomass, the leaf area index, and chlorophyll content [36,37]. The NDVI is calculated using the following formula, Equation (1):
NDVI = (NIR − Red)/(NIR + Red)
Spectral data were obtained from Planet Dove, a constellation of small satellites operated by Planet Labs Inc. Dove satellites provide imagery with eight spectral bands and a ground resolution of approximately 3 m. Image processing and the NDVI calculation were performed using ©ENVI 5.5 (Environment for Visualizing Images), provided by NV5 Geospatial Solutions.
The NDVI values were derived from nine observation dates between 2023 and 2024. Using the “Extract Values to Points” tool in ArcGIS Pro 3.1.0, the NDVI values were extracted at the centroid of each active and non-active burrow. Given the satellite’s spatial resolution of 3 m (≈900 m2 per pixel) and that the average mound area of active burrows measured in the field was 336.6 m2 (n = 21, range: 41.5–1622.9 m2; representing total mound area, thus, the actual bare soil area is smaller), a single pixel adequately represented the burrow mound area. In contrast, non-active burrows generally lacked prominent mounds or bare soil, which introduced an important distinction when interpreting the NDVI values between burrow types.
For the off-colony areas, sampling points were generated at 10 m intervals using the “Create Fishnet” tool in ArcGIS Pro 3.1.0, based on the definition provided in Section 2.2. A total of 169 points (inside the park) and 392 points (outside the park) were sampled, and the NDVI values were extracted in the same manner.
For each date, the mean, standard deviation, maximum, and minimum NDVI values were calculated, and the temporal trends were analyzed. As the NDVI accuracy is compromised during snowy winter periods, data from November to March were excluded from the analysis.
2.6. Analysis of the Relationship Between Burrow Activity and NDVI
To examine the relationship between burrow activity and the vegetation index (NDVI), a generalized linear mixed model (GLMM) with a beta distribution and logit link function was applied, accounting for the bounded nature of the NDVI (ranging from 0 to 1). The model was implemented using the R software (R4.4.1 Core Team, 2025) and the glmmTMB package (version 4.2.1) [38].
The fixed effects included the burrow location (area: inside, outside) and the burrow type (active, non-active, off-colony area). Random effects were defined for nine survey plots: three inside the park (inside plot 1–3), three outside (outside plot 1–3), the boundary portion inside plot 1 that extended beyond the park (treated as “boundary inside 1” and categorized as “outside”), and the off-colony areas inside and outside the park.
Model selection was based on the Akaike Information Criterion (AIC). Residual diagnostics were performed using the DHARMa package (0.4.7), evaluating the uniformity, dispersion, and presence of outliers, based on simulation-derived residuals.
3. Results
3.1. Habitat Structure and Activity Patterns of Marmots
To estimate marmot habitat conditions and population density inside and outside the protected area, we calculated the distances between burrows. Since marmots typically live in colonies with approximately 2.1–5.7 burrow entrances per hectare per family unit [17], the distance between burrows, particularly between active ones, serves as a more accurate indicator of habitat use than simple burrow density.
Figure 2 shows the average nearest-neighbor distance between the recorded burrows, while Figure 3 presents the number of burrows observed in each survey area and the proportion of those identified as active.
Figure 2.
Average distance between burrows for each plot (calculated using the “near” tool in ArcGIS Pro 3.1.0); points of extreme distance are due to the effects of field fragmentation.
Figure 3.
Percentage of active and non-active burrows per study plot; inside average and outside average represent the average of the three inside and outside plots, respectively.
The average nearest-neighbor distance among the active burrows was 10.50 m inside the park and 22.55 m outside the park, indicating a significantly shorter distance within the protected area. An independent two-sample t-test revealed that this difference was statistically significant (t = −2.68, p = 0.0087, p < 0.01, n = 671).
Moreover, the proportion of active burrows was higher inside the park, while the proportion of non-active burrows was lower (Figure 3). This suggests a denser spatial distribution of active individuals within the park, potentially indicating a higher population density of marmots. Overall, the results imply that marmots within the protected area exhibit higher burrow density and activity levels, suggesting the presence of more favorable habitat conditions.
3.2. Plant Community Structure in Marmot Habitats
3.2.1. Effects of the Protected Area and Marmot Burrows on Plant Community Structure (2023–2024)
We evaluated the sources of variation in the plant community structure for the years 2023 and 2024, using non-metric multidimensional scaling (NMDS), based on Bray–Curtis dissimilarity and permutational multivariate analysis of variance (PERMANOVA, via the adonis2 function) [39]. The results for each year are summarized below.
(i) Results for 2023
In 2023, the factor of the protected area (area: inside vs. outside) had a significant effect on the plant community composition (R2 = 0.200, F = 4.36, p = 0.001). In contrast, the presence or absence of burrows (status: active burrow vs. off-colony area) and the interaction between the area and status were not significant (p = 0.417 and p = 0.870, respectively). These results suggest that the main driver of community variation in 2023 was the protection status of the area, rather than the presence of marmot burrows.
(ii) Results for 2024
The NMDS analysis for 2024 yielded a low stress value (0.072), indicating a reliable two-dimensional representation of the community structure show in Table 1. As shown in Table 1, the PERMANOVA results showed that the protected area continued to significantly influence plant communities (R2 = 0.216, F = 2.61, p = 0.027). Additionally, burrow presence (status) had a significant effect on community composition (R2 = 0.299, F = 3.61, p = 0.004). The interaction between the area and status was marginally significant (R2 = 0.153, F = 1.84, p = 0.081), suggesting that the influence of burrows may differ depending on whether they are located inside or outside the protected area.
Table 1.
Results of PERMANOVA on plant community composition, based on NMDS analysis (2023–2024).
Taken together, the results from 2023 and 2024 confirm that the management status inside and outside the protected area consistently influenced the plant community composition. Moreover, the significant effect of marmot burrows on the grassland vegetation observed in 2024 suggests that the ecological role of burrows may become more pronounced in certain years.
In particular, the interaction trend observed in 2024 implies that in the protected area, where marmot activity is dense, the environmental differences between burrowed and non-burrowed areas may be diminishing. In contrast, in non-protected areas, marmot burrows may contribute to the maintenance of grassland-type communities.
It is also worth noting that the 2023 vegetation survey was conducted prior to transect-based burrow mapping. Therefore, the selection of “off-colony” areas in that year may have been less accurate and should be interpreted with caution.
Table 2.
Vegetation survey results for the summer of 2023.
Table 3.
Vegetation survey results for the summer of 2024.
In the 2024 survey, Heteropappus hispidus, an indicator species of degraded vegetation, showed the highest mean cover (19.5%) in the off-colony plots outside the park and was notably more abundant in these plots across both protected and non-protected areas. In contrast, Leymus chinensis, a dominant grassland species, exhibited the highest amount of cover (25%) in colony plots outside the park, with a statistically significant difference compared to off-colony plots (0%) (t = 25.0, p = 0.025).
These findings suggest that marmot burrows may contribute to the recovery of grassland vegetation outside the park.
Meanwhile, inside the park, no significant differences were observed between the colony and off-colony plots for either species. Typical grassland species, such as Artemisia adamsii and Artemisia frigida, were frequently recorded in both plot types within the park. This may be attributed to the high density of marmots, which results in less distinct environmental differences between burrowed and non-burrowed areas.
3.2.2. Comparison of Vegetation Height
In the 2024 survey, the vegetation height was compared for four indicator species of grassland ecosystems (Stipa krylovii, Leymus chinensis, Artemisia frigida, and Artemisia adamsii) between active burrows and off-colony areas. For each species, t-tests were conducted based on two factors: area (inside/outside the park) and status (burrow/off-colony). The results are summarized in Table 4.
Table 4.
Comparison of height of each plant from vegetation survey in 2024 (unit: cm).
For Stipa krylovii, the vegetation height in active burrows outside the park (mean: 55.5 cm) was significantly higher than that in off-colony areas (mean: 35.2 cm) (t = 3.59, p = 0.0027), suggesting that marmot burrows may promote the growth of herbaceous plants. In contrast, no significant difference was found inside the park (p = 0.836).
- For Artemisia frigida, the vegetation height in active burrows inside the park (mean: 9.2 cm) was significantly lower than in the off-colony areas (mean: 22.6 cm) (t = −6.04, p = 0.0004), indicating potential suppression of vegetation cover or growth in burrows.
- For Artemisia adamsii, the vegetation height in active burrows outside the park (mean: 20.8 cm) was significantly higher than in the off-colony areas (mean: 9.8 cm) (t = 4.18, p = 0.0041). However, due to a limited sample size, statistical testing could not be conducted for this species inside the park.
- For Leymus chinensis, no significant differences in the vegetation height were observed in either area (inside: p = 0.191; outside: NA), suggesting that the impact of the burrows may be limited for this species.
Although these findings are based on a small sample size and should be interpreted with caution, they indicate that marmot burrow disturbances can exert species-specific and context-dependent effects on plant growth. Marmot activity likely induces diverse micro-scale changes in vegetation structure across the landscape.
3.3. Results of Burrow Activity and Vegetation Index (NDVI)
3.3.1. NDVI Distribution Characteristics and Model Fit
The Shapiro–Wilk test revealed that the NDVI values did not follow a normal distribution in most groups (p < 0.001), indicating the necessity of applying statistical methods appropriate for non-normal distributions. Accordingly, we employed a beta regression model, which accommodates continuous values bounded between 0 and 1.
The results of the beta regression indicated that some interaction terms between the area and burrow type (active/non-active/off-colony area) were statistically significant (e.g., in 2023, outside × non-active: z = −5.229, p < 0.001) (Table 5). Furthermore, the model comparison based on the AIC showed that the models including the interaction terms had a better fit than the additive models (ΔAIC = 24.6 in 2023; ΔAIC = 58.6 in 2024).
Table 5.
Summary of beta regression models for NDVI (2023 and 2024).
These findings suggest that the NDVI is influenced not only by the burrow type, but also by its interaction with the spatial context, namely whether the location is inside or outside the protected area.
Model diagnostics using DHARMa simulation-based residuals identified a small number of significant outliers (n = 34 in 2023; n = 41 in 2024). However, considering the total number of observations (14,060 in 2023 and 11,248 in 2024), the outlier frequency was very low (approximately 0.24–0.36%) and, therefore, was unlikely to compromise the overall reliability of the models.
In addition, variance tests showed that the standard deviation ratio between the observed data and model simulations ranged from 1.04 to 1.07, indicating that the model adequately captured the variability in the NDVI distributions.
3.3.2. Variance in NDVI Across Burrow Types
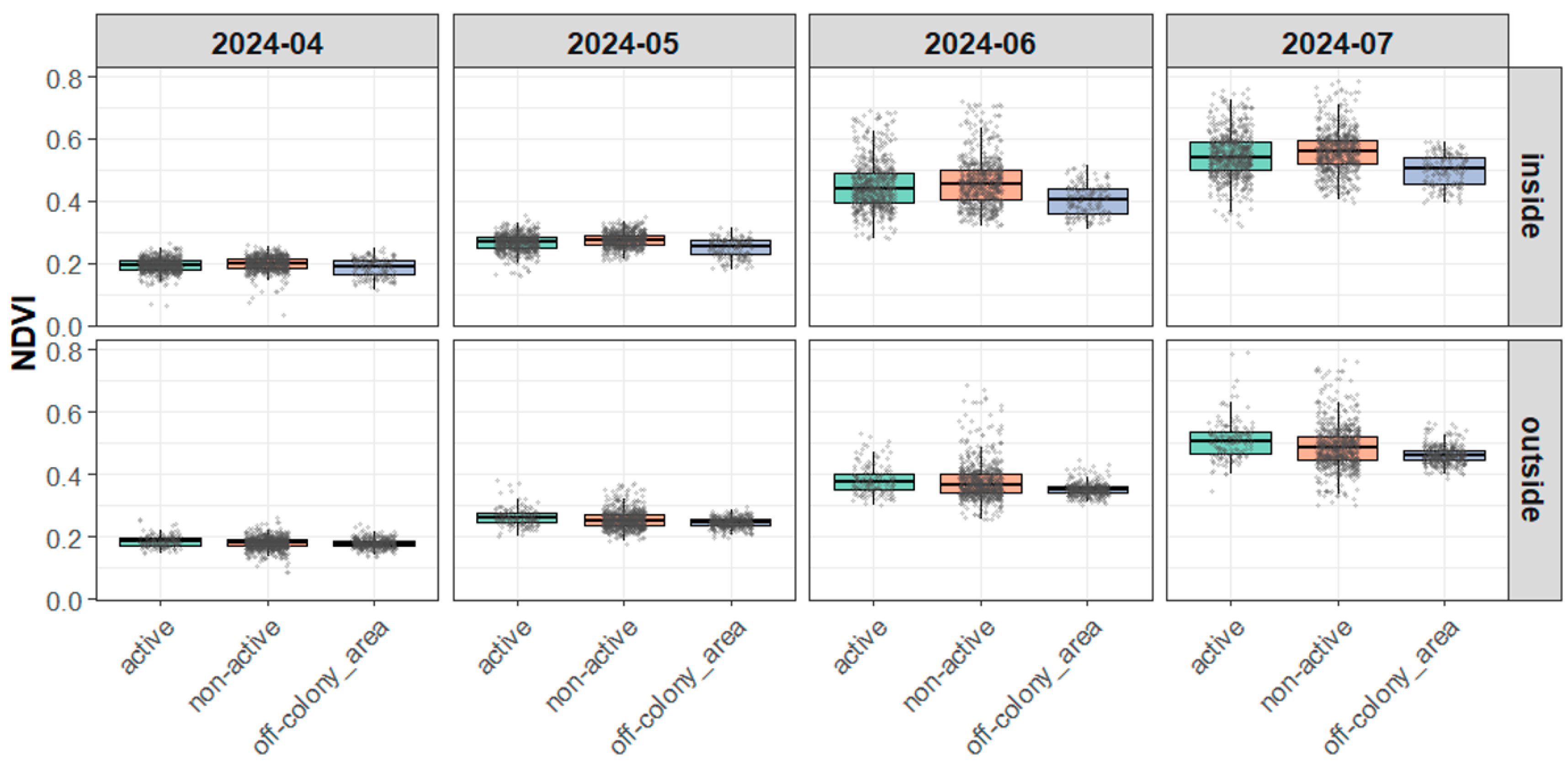
According to Levene’s tests, conducted on a monthly basis, the variance in the NDVI differed significantly among the burrow types, with particularly clear differences observed between off-colony areas and the other types. These differences in variance were consistently significant in the outside area across all the months, with F-values exceeding 100 in many of the comparisons (e.g., July 2023, active vs. off-colony area: F = 133.46, p < 0.001; see Appendix A Table A1).
In contrast, differences in the NDVI variance were relatively small in the inside area and were sometimes not statistically significant. This trend suggests that the NDVI variation was higher around active and non-active burrows, whereas the off-colony areas exhibited more stable values. These results imply that off-colony areas may be characterized by more homogeneous or suppressed vegetation conditions.
3.3.3. Visual Supplement
The boxplots of the NDVI (Figure 4 and Figure 5) visually corroborate the statistical results, indicating greater variation around active and non-active burrows and narrower ranges in off-colony areas, especially in the outside area. These visual patterns support the interpretation that off-colony areas may possess more stable or uniform vegetation environments compared to burrow-associated sites.
Figure 4.
Monthly NDVI variation by burrow type and area (2023).
Figure 5.
Monthly NDVI variation by burrow type and area (2024).
4. Discussion
This study supports the hypothesis that the Siberian marmot (Marmota sibirica) functions as an ecosystem engineer by creating spatial heterogeneity in Mongolian steppe grasslands, based on a comparative analysis between protected and non-protected areas [24].
Statistical analysis of NDVI (Normalized Difference Vegetation Index) data revealed that marmot activity contributes to vegetation recovery and qualitative improvements, even under high grazing pressure. Analysis of the burrow density and distribution showed that the average distance between burrows in protected areas was significantly shorter (10.5 m), indicating a higher population density. This result supports previous findings, suggesting the presence of stable, high-density populations [40], and highlights the effectiveness of conservation measures.
In contrast, the average distance between burrows outside the park was longer (22.6 m), suggesting a lower population density, likely due to anthropogenic disturbances negatively affecting marmot habitat preferences and colony formation. Interviews with park rangers also indicated a perceived increase in marmot populations over the past 5–10 years, suggesting the potential for future expansion of their distribution from protected areas to surrounding regions.
The NDVI analysis revealed a significant interaction between the burrow type and location (inside vs. outside the park). In particular, areas around active burrows exhibited higher NDVI values, indicating vegetation recovery and improved quality compared to off-colony areas. This tendency was especially pronounced outside the park, where greater seasonal NDVI variation was also observed. These findings support the hypothesis that marmot behaviors, such as burrowing, fecal deposition, and seed dispersal, enhance vegetation diversity and spatial heterogeneity.
These results suggest that marmot activity plays an important role in enhancing the resilience of steppe ecosystems and may function as localized “recovery patches,” especially in areas under high grazing pressure. The NDVI values were generally higher inside the protected area, likely reflecting the influence of higher marmot densities. However, since the NDVI is also affected by vegetation composition, the presence of highly reflective species, such as Artemisia spp., should be taken into account. Additionally, off-colony areas were randomly selected from burrow-free zones, and potential site-selection bias should be considered.
The vegetation survey results indicated that, in addition to marmot density, the presence or absence of grazing significantly affects the vegetation structure. In the 2024 survey, where the selection of off-colony areas was considered relatively appropriate, the cover provided by Artemisia adamsii and Stipa krylovii, species expected to increase with marmot disturbance, was higher outside the park. In contrast, Leymus chinensis, a species with a high forage value [41], was abundant around burrows, while Heteropappus hispidus, an indicator of degradation, was less common. According to Staalduinen and Werger (2007), vegetation around marmot burrows tends to follow a successional pattern, progressing from early Artemisia invasion to dominance by Leymus and, eventually, to the development of Stipa grassland [34]. Our findings are consistent with this successional transition. These results support not only the validity of the site selection, but also the potential for marmot-induced vegetation restoration, even in grazed areas, including the increase in forage species (Leymus chinensis). This effect may differ from the successional processes observed in the presence of other ecosystem engineers, such as Brandt’s vole (Lasiopodomys brandtii) [42].
Extensive livestock grazing continues outside the park, and because nomadic pastoralists generally travel less than 3 km, there is a high risk of overgrazing. The consistently low NDVI values in the off-colony areas may reflect the effects of overgrazing, such as environmental homogenization, loss of plant diversity, and simplification of the vegetation structure [13,27]. In general, burrowing mammals, such as marmots, are thought to maintain the spatial complexity and heterogeneity in heavily grazed areas. Their activity may help mitigate the impacts of overgrazing, such as soil compaction, reduced water infiltration, and nutrient loss, by maintaining or enhancing microhabitat conditions [43,44].
However, in the Mongolian steppe region studied, it remains difficult to disentangle the respective influences of marmots, other ecosystem engineers (e.g., voles), grazing pressure, and topographic factors. To exclude these confounding effects, future studies, using exclusion experiments or soil isotope analysis, will be necessary.
Moreover, given that the movement patterns of wild herbivores, such as the Mongolian gazelle, are strongly correlated with the NDVI, we hypothesize that marmot-induced vegetation heterogeneity may influence their foraging behavior [45,46,47]. However, since livestock and wild herbivores differ in regard to grazing pressure and spatial range, these impacts may vary and should be interpreted separately. In this study, we propose the hypothesis that NDVI heterogeneity influences wildlife behavior, but direct evidence remains limited and requires future investigation.
Several limitations remain in this study, including in regard to plant species selection, the sample size used in the vegetation surveys, the spatial resolution of the NDVI data, and the need for more advanced statistical analyses. Further research is also needed on the burrow age, soil nutrients, and interactions with commensal species, such as birds and reptiles. Frequent reuse of marmot burrows by the corsac fox (Vulpes corsac) has been observed, and similar behavior has been reported in the Arctic fox (Vulpes lagopus) [8,10], indicating the need to further explore the ecosystem engineering effects of burrow reuse.
The ecological impact of marmot disturbance likely depends on the burrow density, and future expansion of their range may increase the modification intensity. Some studies have suggested that marmot activity is limited in areas with high livestock density [48], which does not contradict our findings. Rather, it reflects changes in the marmot ecological function under anthropogenic pressure and suggests that balancing these dynamics will be key to future grassland management.
Although grasslands cover approximately 80% of Mongolia’s territory, only 19% were designated as protected areas as of 2021 [49,50]. Understanding the ecological role of marmots under different land-use contexts (protected vs. grazed) is essential for developing sustainable land-use strategies.
In conclusion, Marmota sibirica is an ecologically important species in the Mongolian steppe and should be prioritized for conservation. This study demonstrates that marmots can function as ecological restoration agents, capable of maintaining the quality and functionality of grassland ecosystems even under anthropogenic pressure. Given that livestock numbers in Mongolia are closely tied to the national economy, reducing the herd size is not a feasible solution [51]. Therefore, conserving and utilizing native ecosystem engineers like marmots could support both biodiversity and ecological functions, as well as the sustainability of pastoral systems.
5. Conclusions
This study provides statistical evidence supporting the role of the Siberian marmot (Marmota sibirica) as an ecosystem engineer in the Mongolian steppe, promoting spatial heterogeneity and facilitating vegetation recovery. In particular, the higher burrow densities and elevated NDVI values observed within the protected area indicate that marmot activity contributes to the qualitative enhancement of grassland ecosystems. Even outside the protected area, where grazing pressure is high, the presence of elevated NDVI values around burrows suggests that marmots may act as localized “recovery agents.”
Vegetation surveys further revealed that forage species, such as Leymus chinensis and Stipa krylovii, were more abundant around marmot burrows, supporting the conclusion that marmots contribute to the restoration and enhancement of the vegetation structure. Moreover, a variety of ecosystem effects centered around marmot burrows were suggested, including their influence on the foraging behavior of wild herbivores and the reuse of burrows by other species.
To achieve the sustainable management and use of Mongolian steppe ecosystems, the conservation and integration of native ecosystem engineers, such as marmots, can play a key role in maintaining biodiversity and ecosystem functionality, while also supporting the sustainability of nomadic pastoralist societies. Future restoration strategies should actively incorporate the ecological functions of native wildlife into grassland management frameworks.
Author Contributions
Methodology, H.T., M.I. and B.H.; software, H.T. and M.I.; validation, U.G., K.A. and B.H.; formal analysis, H.T. and B.H.; investigation, H.T., U.G., M.I. and B.H.; resources, U.G. and B.H.; data curation, H.T., U.G., M.I. and B.H.; writing—original draft, H.T. and B.H.; writing—review and editing, K.A. and B.H.; visualization, K.A.; supervision, B.H.; project administration, B.H.; funding acquisition, B.H. All authors have read and agreed to the published version of the manuscript.
Funding
This research was supported by JSPS KAKENHI, Grant Numbers (JP) 19H04362 and MEXT.
Data Availability Statement
Data will be made available on request.
Acknowledgments
The authors would like to thank the many research students and professors who contributed to this study, including Manami Kikuchi, Miki Kinjo, Kazuaki Araki, and Yosei Uchino. We would also like to thank all the Mongolian counterparts who assisted us in our field research. We would also like to thank all the members of the Hoshino Lab. of RGU.
Conflicts of Interest
The authors declare no conflicts interest.
Appendix A
Table A1.
Levene’s test for homogeneity of variance.
Table A1.
Levene’s test for homogeneity of variance.
| Year | Month | Area | Comparison | F Value | Pr (>F) | Significance |
|---|---|---|---|---|---|---|
| 2023 | June | Inside | active vs. non-active | 1.6856 | 0.1944 | n.s. |
| active vs. off-colony | 19.41 | 1.19 × 10−5 | *** | |||
| non-active vs. off-colony | 25.757 | 4.77 × 10−7 | *** | |||
| Outside | active vs. non-active | 3.8999 | 0.04859 | * | ||
| active vs. off-colony | 106.06 | <2.2 × 10−16 | *** | |||
| non-active vs. off-colony | 115.81 | <2.2 × 10−16 | *** | |||
| 2023 | July | Inside | active vs. non-active | 2.6713 | 0.1024 | n.s. |
| active vs. off-colony | 25.562 | 5.27 × 10−7 | *** | |||
| non-active vs. off-colony | 19.292 | 1.26 × 10−5 | *** | |||
| Outside | active vs. non-active | 1.0398 | 0.3081 | n.s. | ||
| active vs. off-colony | 133.46 | <2.2 × 10−16 | *** | |||
| non-active vs off-colony | 177.51 | <2.2 × 10−16 | *** | |||
| 2023 | August | Inside | active vs non-active | 23.42 | 1.45 × 10−6 | *** |
| active vs off-colony | 7.2054 | 0.007412 | ** | |||
| non-active vs. off-colony | 0.0665 | 0.7966 | n.s. | |||
| Outside | active vs. non-active | 3.0339 | 0.08188 | . | ||
| active vs. off-colony | 96.862 | <2.2 × 10−16 | *** | |||
| non-active vs. off-colony | 182.43 | <2.2 × 10−16 | *** | |||
| 2023 | September | Inside | active vs. non-active | 23.398 | 1.47 × 10−6 | *** |
| active vs. off-colony | 0.4516 | 0.5018 | n.s. | |||
| non-active vs. off-colony | 7.1883 | 0.007481 | ** | |||
| Outside | active vs. non-active | 0.5464 | 0.46 | n.s. | ||
| active vs. off-colony | 181.59 | <2.2 × 10−16 | *** | |||
| non-active vs. off-colony | 193.47 | <2.2 × 10−16 | *** | |||
| 2023 | October | Inside | active vs. non-active | 9.032 | 0.002702 | ** |
| active vs. off-colony | 5.0711 | 0.02459 | * | |||
| non-active vs. off-colony | 20.634 | 6.37 × 10−6 | *** | |||
| Outside | active vs. non-active | 2.7936 | 0.09499 | . | ||
| active vs off-colony | 70.386 | 4.12 × 10−16 | *** | |||
| non-active vs off-colony | 118.84 | <2.2 × 10−16 | *** | |||
| 2024 | April | Inside | active vs non-active | 0.3341 | 0.5633 | n.s. |
| active vs. off-colony | 39.726 | 4.72 × 10−10 | *** | |||
| non-active vs. off-colony | 30.622 | 4.19 × 10−8 | *** | |||
| Outside | active vs. non-active | 0.3207 | 0.5713 | n.s. | ||
| active vs. off-colony | 4.7067 | 0.03047 | * | |||
| non-active vs. off-colony | 13.22 | 0.000289 | *** | |||
| 2024 | May | Inside | active vs. non-active | 4.8423 | 0.02794 | * |
| active vs. off-colony | 8.6904 | 0.003288 | ** | |||
| non-active vs. off-colony | 24.639 | 8.37 × 10−7 | *** | |||
| Outside | active vs. non-active | 0.444 | 0.5054 | n.s. | ||
| active vs. off-colony | 35.685 | 4.16 × 10−9 | *** | |||
| non-active vs. off-colony | 69.166 | 2.57 × 10−16 | *** | |||
| 2024 | June | Inside | active vs. non-active | 0.0069 | 0.9336 | n.s. |
| active vs. off-colony | 17.613 | 2.99 × 10−5 | *** | |||
| non-active vs. off-colony | 18.283 | 2.12 × 10−5 | *** | |||
| Outside | active vs. non-active | 2.5934 | 0.1077 | n.s. | ||
| active vs. off-colony | 107.89 | <2.2 × 10−16 | *** | |||
| non-active vs. off-colony | 119.88 | <2.2 × 10−16 | *** | |||
| 2024 | July | Inside | active vs. non-active | 2.4171 | 0.1203 | n.s. |
| active vs. off-colony | 13.105 | 0.000312 | *** | |||
| non-active vs. off-colony | 7.4029 | 0.006646 | ** | |||
| Outside | active vs. non-active | 2.7545 | 0.09733 | . | ||
| active vs. off-colony | 73.145 | <2.2 × 10−16 | *** | |||
| non-active vs. off-colony | 142.14 | <2.2 × 10−16 | *** |
Significance codes: *** p < 0.001; ** p < 0.01; * p < 0.05; . marginal significance (0.05 < p < 0.1); n.s. not significant.
References
- Reichman, O.J.; Seabloom, E.W. The role of pocket gophers as subterranean ecosystem engineers. Trends Ecol. Evol. 2002, 17, 44–49. [Google Scholar] [CrossRef]
- Davidson, A.D.; Detling, J.K.; Brown, J.H. Ecological roles and conservation challenges of social, burrowing, herbivorous mammals in the world’s grasslands. Front. Ecol. Environ. 2012, 10, 477–486. [Google Scholar] [CrossRef]
- Sun, S.; Dou, H.; Wei, S.; Fang, Y.; Long, Z.; Wang, J.; An, F.; Xu, J.; Xue, T.; Qiu, H.; et al. A review of the engineering role of burrowing animals: Implication of Chinese pangolin as an ecosystem engineer. J. Zool. Res. 2021, 3. [Google Scholar] [CrossRef]
- Whicker, A.D.; Detling, J.K. Ecological consequences of prairie dog disturbances. BioScience 1988, 38, 778–785. [Google Scholar] [CrossRef]
- Wright, J.P.; Jones, C.G. The concept of organisms as ecosystem engineers ten years on: Progress, limitations, and challenges. BioScience 2006, 56, 203–209. Available online: https://www.researchgate.net/publication/202001805_The_Concept_of_Organisms_as_Ecosystem_Engineers_Ten_Years_On_Progress_Limitations_and_Challenges (accessed on 4 April 2025). [CrossRef]
- Wesche, K.; Nadrowski, K.; Retzer, V. Habitat engineering under dry conditions: The impact of pikas (Ochotona pallasi) on vegetation and site conditions in southern Mongolian steppes. J. Veg. Sci. 2007, 18, 665–674. [Google Scholar] [CrossRef]
- Prugh, L.R.; Brashares, J.S. Partitioning the effects of an ecosystem engineer: Kangaroo rats control community structure via multiple pathways. J. Anim. Ecol. 2012, 81, 667–678. [Google Scholar] [CrossRef]
- Clark, H.O.; Murdoch, J.D.; Newman, D.P.; Sillero-Zubiri, C. Vulpes corsac (Carnivora: Canidae). Mamm. Species 2009, 832, 1–8. [Google Scholar] [CrossRef]
- Andersen, M.L.; Bennett, D.E.; Holbrook, J.D. Burrow webs: Clawing the surface of interactions with burrows excavated by American badgers. Ecol. Evol. 2021, 11, 11559–11568. [Google Scholar] [CrossRef] [PubMed]
- Gharajehdaghipour, T.; Roth, J.D.; Fafard, P.M.; Markham, J.H. Arctic foxes as ecosystem engineers: Increased soil nutrients lead to increased plant productivity on fox dens. Sci. Rep. 2016, 6, 24020. [Google Scholar] [CrossRef]
- Hagenah, N.; Bennett, N.C. Mole rats act as ecosystem engineers within a biodiversity hotspot, the C ape F ynbos. J. Zool. 2013, 289, 19–26. [Google Scholar] [CrossRef]
- Parsons, A.W.; Apollonio, M.; Krausman, P.R.; Rachlow, J.L. Pygmy rabbit burrows increase microhabitat heterogeneity in sagebrush-steppe ecosystems. Ecosphere 2016, 7, e01334. [Google Scholar] [CrossRef]
- Valkó, O.; Tölgyesi, C.; Kelemen, A.; Bátori, Z.; Gallé, R.; Rádai, Z.; Bragina, T.M.; Bragin, Y.A.; Deák, B. Steppe Marmot (Marmota bobak) as ecosystem engineer in arid steppes. J. Arid. Environ. 2021, 184, 104244. [Google Scholar] [CrossRef]
- Murdoch, J.D.; Munkhzul, T.; Buyandelger, S.; Reading, R.P.; Sillero-Zubiri, C. The endangered Siberian marmot Marmota sibirica as a keystone species? Observations and implications of burrow use by corsac foxes Vulpes corsac in Mongolia. Oryx 2009, 43, 431–434. [Google Scholar] [CrossRef]
- Buyandelger, S.; Otgonbayar, B. Mongolian marmot burrow influences an occupancy of Isabelline wheatear. Landsc. Ecol. Eng. 2022, 18, 239–245. [Google Scholar] [CrossRef]
- Becchina, R.A. Recovering Endangered Siberian Marmot (Marmota Sibirica): Status and Distribution in A Steppe Region of Mongolia. 2020. Available online: https://scholarworks.uvm.edu/hcoltheses/331 (accessed on 6 April 2025).
- Buyandelger, S.; Baatargal, O.; Bayartogtokh, B.; Reading, R.P. Ecosystem engineering influence of Mongolian marmots (Marmota sibirica) on small mammal communities in Mongolia. J. Asia-Pac. Biodivers. 2022, 15, 172–179. [Google Scholar] [CrossRef]
- Kolesnikov, V.V.; Brandler, O.V.; Badmaev, B.B.; Zoje, D.; Adiya, Y. Factors that lead to a decline in numbers of Mongolian marmot populations. Ethol. Ecol. Evol. 2009, 21, 371–379. [Google Scholar] [CrossRef]
- Buyandelger, S.; Enkhbayar, T.; Otgonbayar, B.; Zulbayar, M.; Bayartogtokh, B. Ecosystem engineering effects of Mongolian marmots (Marmota Sibirica) on terrestrial arthropod communities. Mong. J. Biol. Sci. 2021, 19, 17–30. Available online: https://www.biotaxa.org/mjbs/article/view/66415 (accessed on 2 May 2025). [CrossRef]
- Townsend, S.E. Estimating Siberian marmot (Marmota sibirica) densities in the Eastern Steppe of Mongolia. Ethol. Ecol. Evol. 2009, 21, 325–338. [Google Scholar] [CrossRef]
- Fijn, N.; Terbish, B. The multiple faces of the marmot: Associations with the plague, hunting, and cosmology in Mongolia. Hum. Ecol. 2021, 49, 539–549. [Google Scholar] [CrossRef]
- Thapaliya, K. Analysis of Factors Related to the Distribution of Red Deer, Cervus Elephus L., in Hustai National Park, Mongolia; ITC: Kolkata, India, 2008; Available online: https://www.researchgate.net/publication/237632048_Analysis_of_factors_related_to_the_distribution_of_Red_deer_Cervus_elephus_L_in_Hustai_National_Park_Mongolia (accessed on 24 April 2025).
- Suzuki, K.; Kamijo, T.; Jamsran, U.; Tamura, K. Evaluation of the effect of protected area designation by comparing steppe vegetation inside and outside Hustai National Park, Mongolia. J. Veg. Sci. 2013, 30, 85–93. (In Japanese) [Google Scholar] [CrossRef]
- Yoshihara, Y.; Okuro, T.; Buuveibaatar, B.; Undarmaa, J.; Takeuchi, K. Clustered animal burrows yield higher spatial heterogeneity. Plant Ecol. 2010, 206, 211–224. [Google Scholar] [CrossRef]
- International Monetary Fund. Mongolia: Overgrazing Problem and Its Impact on Grasslands; 2019. Available online: https://www.elibrary.imf.org/view/journals/002/2019/298/article-A002-en.xml (accessed on 15 April 2025).
- Shen, H.; Dong, S.; DiTommaso, A.; Xiao, J.; Zhi, Y. N deposition may accelerate grassland degradation succession from grasses-and sedges-dominated into forbs-dominated in overgrazed alpine grassland systems on Qinghai-Tibetan Plateau. Ecol. Indic. 2021, 129, 107898. [Google Scholar] [CrossRef]
- Yang, C.; Sun, J. Impact of soil degradation on plant communities in an overgrazed Tibetan alpine meadow. J. Arid. Environ. 2021, 193, 104586. [Google Scholar] [CrossRef]
- Yoshihara, Y.; Ohkuro, T.; Buuveibaatar, B.; Undarmaa, J.; Takeuchi, K. Pollinators are attracted to mounds created by burrowing animals (marmots) in a Mongolian grassland. J. Arid. Environ. 2010, 74, 159–163. [Google Scholar] [CrossRef]
- Ulziibaatar, M.; Matsui, K. Herders’ Perceptions about Rangeland Degradation and Herd Management: A Case among Traditional and Non-Traditional Herders in Khentii Province of Mongolia. Sustainability 2021, 13, 7896. [Google Scholar] [CrossRef]
- Narmandakh, D.; Sakurai, T. Impact of Rangeland Degradation on Farm Performance and Household Welfare in the Case of Mongolia. Jpn. J. Agric. Econ. 2022, 24, 52–57. [Google Scholar] [CrossRef]
- Yoshihara, Y.; Ohkuro, T.; Bayarbaatar, B.; Takeuchi, K. Effects of disturbance by Siberian marmots (Marmota sibirica) on spatial heterogeneity of vegetation at multiple spatial scales. Grassl. Sci. 2009, 55, 89–95. [Google Scholar] [CrossRef]
- King, S.R.; Gurnell, J. Habitat use and spatial dynamics of takhi introduced to Hustai National Park, Mongolia. Biol. Conserv. 2005, 124, 277–290. [Google Scholar] [CrossRef]
- Hustai National Park. Brief History of Hustai National Park Establishment. Available online: https://www.hustai.mn/language/en (accessed on 15 April 2025).
- Van Staalduinen, M.A.; Werger, M.J.A. Marmot disturbances in a Mongolian steppe vegetation. J. Arid. Environ. 2007, 69, 344–351. [Google Scholar] [CrossRef]
- Wang, S.; Li, Y. Study on the degradation mechanism of typical steppe in Inner Mongolia. Chin. J. Appl. Ecol. 1999, 10, 437–441. Available online: https://www.cjae.net/CN/abstract/abstract5017.shtml (accessed on 15 April 2025). (In Chinese).
- Rouse, J.W.; Haas, R.H.; Schell, J.A.; Deering, D.W. Monitoring Vegetation Systems in the Great Plains with ERTS; Third ERTS Symp. NASA SP-351 I; NASA: Washington, DC, USA, 1973; pp. 309–317. Available online: https://ntrs.nasa.gov/citations/19740022614 (accessed on 16 April 2025).
- Kizilgeci, F.; Yildirim, M.; Islam, M.S.; Ratnasekera, D.; Iqbal, M.A.; Sabagh, A.E. Normalized Difference Vegetation Index and Chlorophyll Content for Precision Nitrogen Management in Durum Wheat Cultivars under Semi-Arid Conditions. Sustainability 2021, 13, 3725. [Google Scholar] [CrossRef]
- Brooks, M.E.; Kristensen, K.; van Benthem, K.J.; Magnusson, A.; Berg, C.W.; Nielsen, A.; Skaug, H.J.; Mächler, M.; Bolker, B.M. GlmmTMB balances speed and flexibility among packages for zero-inflated generalized linear mixed modeling. R J. 2017, 9, 378–400. Available online: https://journal.r-project.org/archive/2017/RJ-2017-066/index.html (accessed on 16 April 2025). [CrossRef]
- Ballova, Z.; Pekarik, L.; Píš, V.; Šibík, J. How much do ecosystem engineers contribute to landscape evolution? A case study on Tatra marmots. Catena 2019, 182, 104121. [Google Scholar] [CrossRef]
- Buuveibaatar, B.; Yoshihara, Y. Effects of food availability on time budget and home range of Siberian marmots in Mongolia. Mong. J. Biol. Sci. 2012, 10, 25–31. Available online: https://www.biotaxa.org/mjbs/article/view/26596 (accessed on 10 April 2025). [CrossRef]
- Yokohama, M.; Shimada, S.; Sekiyama, A. Vegetation and forage preference of livestock in the Mongolian steppe. Bull. Tokyo Univ. Arts 2011, 56, 1–9. Available online: https://nodai.repo.nii.ac.jp/records/458 (accessed on 10 April 2025). (In Japanese).
- Kawashima, K.; Hoshino, B.; Ganzorig, S.; Sawamuki, M.; Asakawa, M.; Batsaikhan, N. Distribution and expansion of Microtus brandti in overgrazed areas in Mongolia. Grassl. Sci. 2012, 59, 217–224. (In Japanese) [Google Scholar] [CrossRef]
- Zhou, Y.; Batelaan, O.; Guan, H.; Duan, L.; Liu, T.; Wang, Y.; Li, X.; Yang, B. Evaluation of the contributions of climate change and overgrazing to runoff in a typical grassland inland river basin. J. Hydrol. Reg. Stud. 2024, 52, 101725. [Google Scholar] [CrossRef]
- Whitesides, C.J. Olympic marmot burrow densities and their effects on alpine soil properties. Phys. Geogr. 2015, 36, 293–307. [Google Scholar] [CrossRef]
- Miura, N.; Ito, T.Y.; Lhagvasuren, B.; Enkhbileg, D.; Tsunekawa, A.; Takatsuki, S.; Jiang, Z.; Mochizuki, K. Analysis of the seasonal migrations of Mongolian gazelle, using MODIS data. Int. Arch. Photogramm. Remote Sens. Spatial Inform. Sci. 2004, 35, 418–422. Available online: https://www.readkong.com/page/analysis-of-the-seasonal-migrations-of-mongolian-gazelle-5744763 (accessed on 9 April 2025).
- Ito, T.Y.; Sakamoto, Y.; Lhagvasuren, B.; Kinugasa, T.; Shinoda, M. Winter habitat of Mongolian gazelles in areas of southern Mongolia under new railroad construction: An estimation of interannual changes in suitable habitats. Mamm. Biol. 2018, 93, 13–20. [Google Scholar] [CrossRef]
- Harmse, C.J.; Gerber, H.; Van Niekerk, A. Evaluating several vegetation indices derived from Sentinel-2 imagery for quantifying localized overgrazing in a semi-arid region of South Africa. Remote Sens. 2022, 14, 1720. [Google Scholar] [CrossRef]
- Yoshihara, Y.; Okuro, T.; Buuveibaatar, B.; Undarmaa, J.; Takeuchi, K. Complementary effects of disturbance by livestock and marmots on the spatial heterogeneity of vegetation and soil in a Mongolian steppe ecosystem. Agric. Ecosyst. Environ. 2010, 135, 155–159. [Google Scholar] [CrossRef]
- FAO. Mongolian Grasslands and Drylands: Overview of Grazing Lands and Land Use in Mongolia; Food and Agriculture Organization of the United Nations: Rome, Italy, 2005; Available online: https://www.fao.org/4/y8344e/y8344e0e.htm (accessed on 7 April 2025).
- WWF. The Parliament of Mongolia has Approved 22 Areas for National Protected Areas; World Wildlife Fund: Gland, Switzerland, 2021; Available online: https://www.wwf.mg/en/?346744/The-Parliament-of-Mongolia-has-approved-22-areas-for-national-protected-areas (accessed on 7 April 2025).
- Yoshihara, Y. Impact of overgrazing on ecosystems and proposals for grassland restoration in Mongolian steppe (Special Issue: Overuse and underuse of grassland ecosystems). J. Jpn. Soc. Grassl. Sci. 2013, 59, 212–216. (In Japanese) [Google Scholar] [CrossRef]
Disclaimer/Publisher’s Note: The statements, opinions and data contained in all publications are solely those of the individual author(s) and contributor(s) and not of MDPI and/or the editor(s). MDPI and/or the editor(s) disclaim responsibility for any injury to people or property resulting from any ideas, methods, instructions or products referred to in the content. |
© 2025 by the authors. Licensee MDPI, Basel, Switzerland. This article is an open access article distributed under the terms and conditions of the Creative Commons Attribution (CC BY) license (https://creativecommons.org/licenses/by/4.0/).




