Estimation of Freshwater Discharge from the Gulf of Alaska Drainage Basins
Abstract
1. Introduction
2. Materials and Methods
2.1. Study Area
2.2. Model Setup and Configuration
2.3. Model Inputs
2.4. Model Calibration and Validation
2.5. Statistical Analysis
3. Results
3.1. Model Calibration and Validation
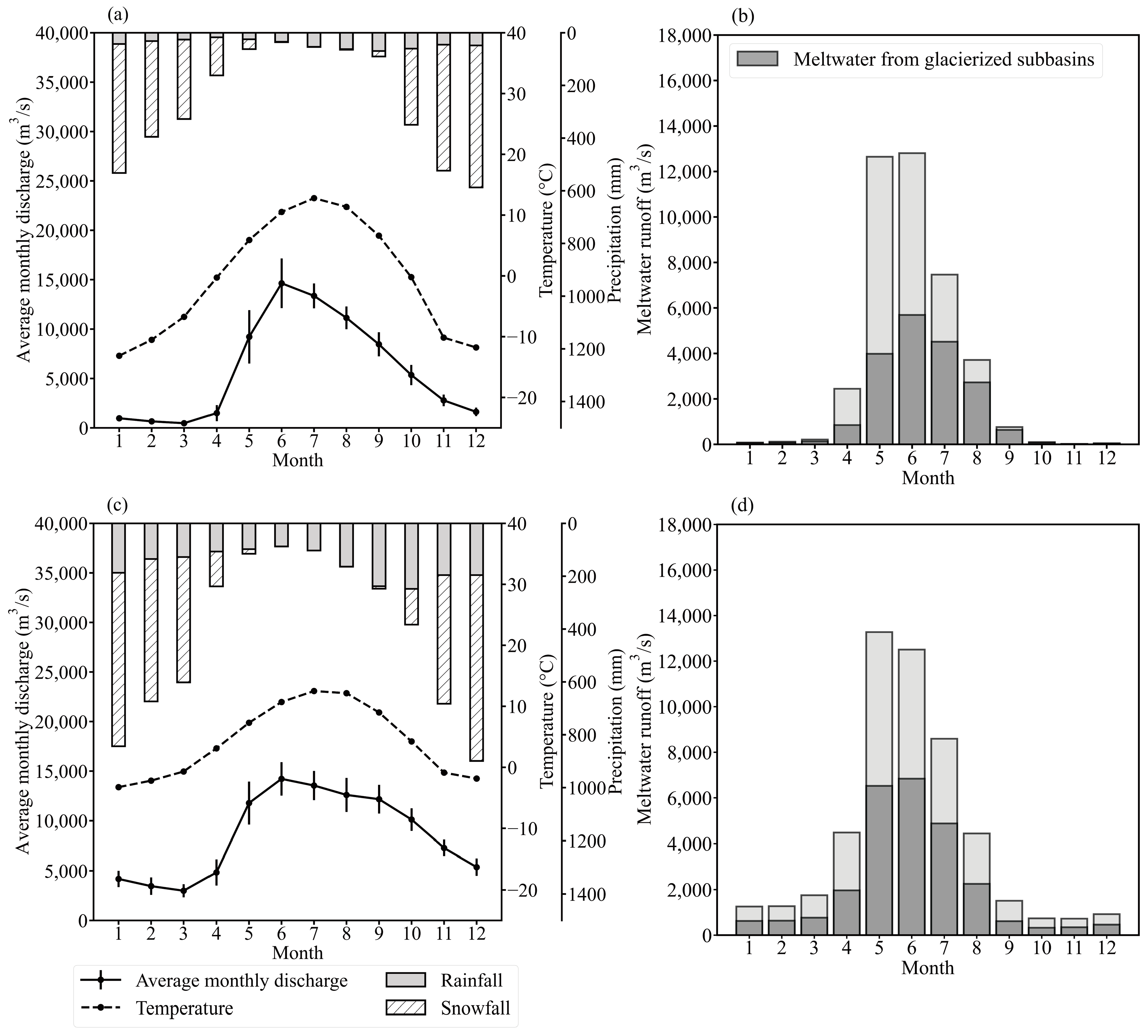
3.2. Alaska Discharge
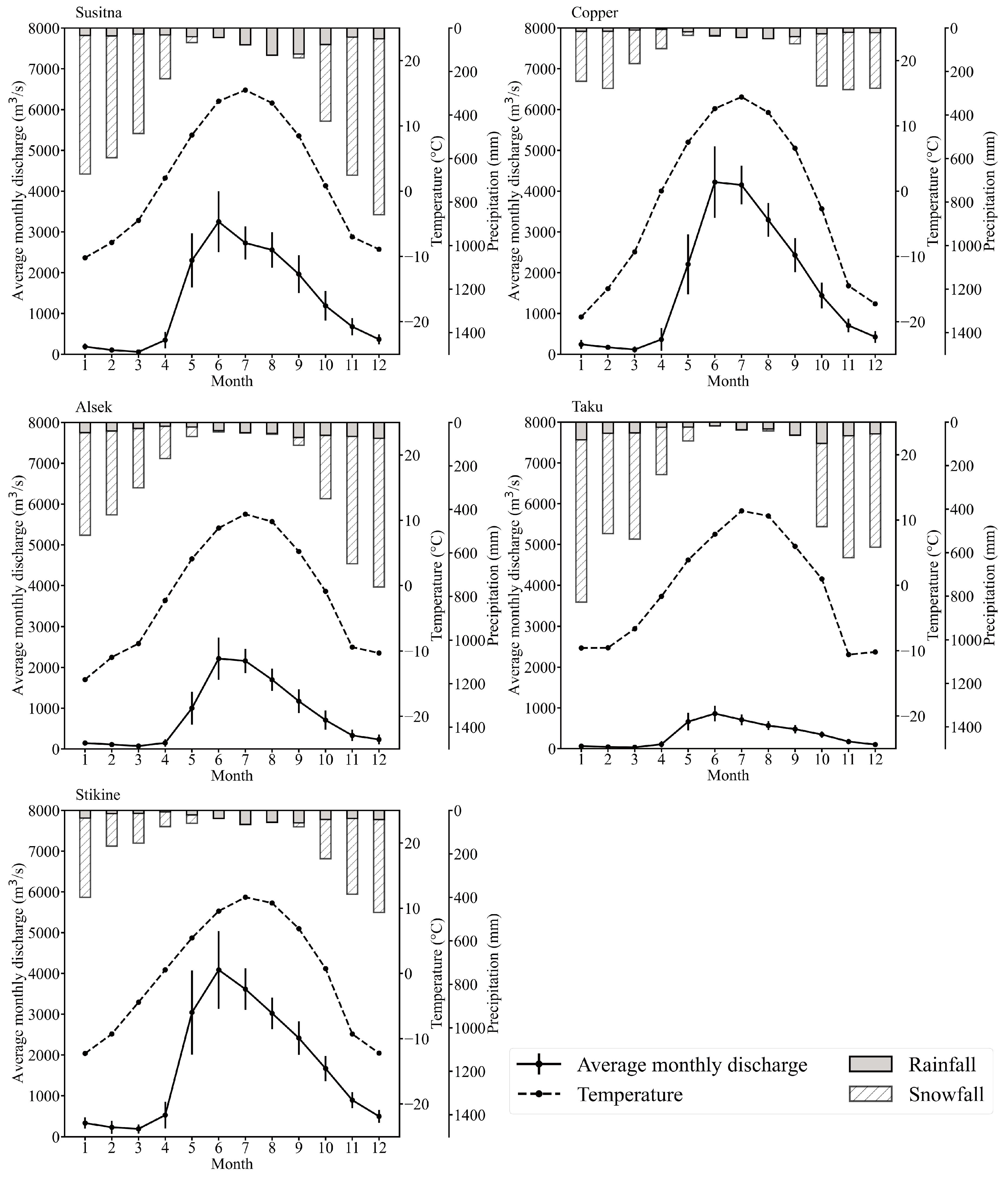
3.3. The Discharge of the Five Basins and the Ungauged Basins
4. Discussion
5. Conclusions
Supplementary Materials
Author Contributions
Funding
Data Availability Statement
Conflicts of Interest
References
- Syed, T.H.; Famiglietti, J.S.; Chambers, D.P.; Willis, J.K.; Hilburn, K. Satellite-Based Global-Ocean Mass Balance Estimates of Interannual Variability and Emerging Trends in Continental Freshwater Discharge. Proc. Natl. Acad. Sci. USA 2010, 107, 17916–17921. [Google Scholar] [CrossRef]
- Cloern, J.E.; Alpine, A.E.; Cole, B.E.; Wong, R.L.J.; Arthur, J.F.; Ball, M.D. River Discharge Controls Phytoplankton Dynamics in the Northern San Francisco Bay Estuary. Estuar. Coast. Shelf Sci. 1983, 16, 415–429. [Google Scholar] [CrossRef]
- Masotti, I.; Aparicio-Rizzo, P.; Yevenes, M.A.; Garreaud, R.; Belmar, L.; Farías, L. The Influence of River Discharge on Nutrient Export and Phytoplankton Biomass off the Central Chile Coast (33°–37°S): Seasonal Cycle and Interannual Variability. Front. Mar. Sci. 2018, 5, 423. [Google Scholar] [CrossRef]
- Wetz, M.S.; Hutchinson, E.A.; Lunetta, R.S.; Paerl, H.W.; Christopher Taylor, J. Severe Droughts Reduce Estuarine Primary Productivity with Cascading Effects on Higher Trophic Levels. Limnol. Oceanogr. 2011, 56, 627–638. [Google Scholar] [CrossRef]
- Dai, A.; Trenberth, K.E. Estimates of Freshwater Discharge from Continents: Latitudinal and Seasonal Variations. J. Hydrometeorol. 2002, 3, 660–687. [Google Scholar] [CrossRef]
- Trenberth, K.E.; Smith, L.; Qian, T.; Dai, A.; Fasullo, J. Estimates of the Global Water Budget and Its Annual Cycle Using Observational and Model Data. J. Hydrometeorol. 2007, 8, 758–769. [Google Scholar] [CrossRef]
- Rahmstorf, S. Thermohaline Circulation: The Current Climate. Nature 2003, 421, 699. [Google Scholar] [CrossRef]
- Itoh, M.; Ohshima, K.I.; Wakatsuchi, M. Distribution and Formation of Okhotsk Sea Intermediate Water: An Analysis of Isopycnal Climatological Data. J. Geophys. Res. Ocean. 2003, 108, 3258. [Google Scholar] [CrossRef]
- Nakatsuka, T.; Toda, M.; Kawamura, K.; Wakatsuchi, M. Dissolved and Particulate Organic Carbon in the Sea of Okhotsk: Transport from Continental Shelf to Ocean Interior. J. Geophys. Res. Ocean. 2004, 109, C09S14. [Google Scholar] [CrossRef]
- Nishioka, J.; Nakatsuka, T.; Watanabe, Y.W.; Yasuda, I.; Kuma, K.; Ogawa, H.; Ebuchi, N.; Scherbinin, A.; Volkov, Y.N.; Shiraiwa, T.; et al. Intensive Mixing along an Island Chain Controls Oceanic Biogeochemical Cycles. Glob. Biogeochem. Cycles 2013, 27, 920–929. [Google Scholar] [CrossRef]
- Whitney, F.A.; Bograd, S.J.; Ono, T. Nutrient Enrichment of the Subarctic Pacific Ocean Pycnocline. Geophys. Res. Lett. 2013, 40, 2200–2205. [Google Scholar] [CrossRef]
- Uehara, H.; Kruts, A.A.; Mitsudera, H.; Nakamura, T.; Volkov, Y.N.; Wakatsuchi, M. Remotely Propagating Salinity Anomaly Varies the Source of North Pacific Ventilation. Prog. Oceanogr. 2014, 126, 80–97. [Google Scholar] [CrossRef]
- Shi, M.; Shiraiwa, T.; Mitsudera, H.; Muravyev, Y. Estimation of Freshwater Discharge from the Kamchatka Peninsula to Its Surrounding Oceans. J. Hydrol. Reg. Stud. 2021, 36, 100836. [Google Scholar] [CrossRef]
- Royer, T.C.; Grosch, C.E.; Mysak, L.A. Interdecadal Variability of Northeast Pacific Coastal Freshwater and Its Implications on Biological Productivity. Prog. Oceanogr. 2001, 49, 95–111. [Google Scholar] [CrossRef]
- Wang, J.; Jin, M.; Musgrave, D.L.; Ikeda, M. A Hydrological Digital Elevation Model for Freshwater Discharge into the Gulf of Alaska. J. Geophys. Res. Ocean. 2004, 109, C07009. [Google Scholar] [CrossRef]
- Kunkel, K.E.; Stevens, L.E.; Stevens, S.E.; Sun, L.; Janssen, E.; Wuebbles, D.; Hilberg, S.D.; Timlin, M.S.; Stoecker, L.; Westcott, N.; et al. Regional Climate Trends and Scenarios for the U.S. National Climate Assessment Part 3. Climate of the Midwest U.S.; NOAA Technical Report NESDIS 142-3; U.S. Department of Commerce, National Oceanic and Atmospheric Administration (NOAA), National Environmental, Satellite, Data, and Information Service: Silver Spring, MD, USA, 2013.
- Rogers, J.C. The North Pacific Oscillation. J. Climatol. 1981, 1, 39–57. [Google Scholar] [CrossRef]
- Linkin, M.E.; Nigam, S. The North Pacific Oscillation–West Pacific Teleconnection Pattern: Mature-Phase Structure and Winter Impacts. J. Clim. 2008, 21, 1979–1997. [Google Scholar] [CrossRef]
- D’Agnese, F.; Faunt, C.; Turner, A. Using Remote Sensing and GIS Techniques to Estimate Discharge and Recharge Fluxes for the Death Valley Regional Groundwater Flow System, USA. In Proceedings of the HydroGIS’96 Conference, Vienna, Austria, 16–19 April 1996. [Google Scholar]
- Dobriyal, P.; Badola, R.; Tuboi, C.; Hussain, S.A. A Review of Methods for Monitoring Streamflow for Sustainable Water Resource Management. Appl. Water Sci. 2017, 7, 2617–2628. [Google Scholar] [CrossRef]
- Gleason, C.J.; Durand, M.T. Remote Sensing of River Discharge: A Review and a Framing for the Discipline. Remote Sens. 2020, 12, 1107. [Google Scholar] [CrossRef]
- Todini, E. Hydrological Catchment Modelling: Past, Present and Future. Hydrol. Earth Syst. Sci. 2007, 11, 468–482. [Google Scholar] [CrossRef]
- Ahmed, M.I.; Stadnyk, T.; Pietroniro, A.; Awoye, H.; Bajracharya, A.; Mai, J.; Tolson, B.A.; Shen, H.; Craig, J.R.; Gervais, M.; et al. Learning from Hydrological Models’ Challenges: A Case Study from the Nelson Basin Model Intercomparison Project. J. Hydrol. 2023, 623, 129820. [Google Scholar] [CrossRef]
- Anees, M.T.; Abdullah, K.; Nawawi, M.N.M.; Ab Rahman, N.N.N.; Piah, A.R.M.; Zakaria, N.A.; Syakir, M.I.; Mohd Omar, A.K. Numerical Modeling Techniques for Flood Analysis. J. Afr. Earth Sci. 2016, 124, 478–486. [Google Scholar] [CrossRef]
- Maxwell, R.M.; Putti, M.; Meyerhoff, S.; Delfs, J.-O.; Ferguson, I.M.; Ivanov, V.; Kim, J.; Kolditz, O.; Kollet, S.J.; Kumar, M.; et al. Surface-Subsurface Model Intercomparison: A First Set of Benchmark Results to Diagnose Integrated Hydrology and Feedbacks. Water Resour. Res. 2014, 50, 1531–1549. [Google Scholar] [CrossRef]
- Neal, E.G.; Hood, E.; Smikrud, K. Contribution of Glacier Runoff to Freshwater Discharge into the Gulf of Alaska. Geophys. Res. Lett. 2010, 37, L06404. [Google Scholar] [CrossRef]
- Hill, D.F.; Bruhis, N.; Calos, S.E.; Arendt, A.; Beamer, J. Spatial and Temporal Variability of Freshwater Discharge into the Gulf of Alaska. J. Geophys. Res. Ocean. 2015, 120, 634–646. [Google Scholar] [CrossRef]
- Beamer, J.P.; Hill, D.F.; Arendt, A.; Liston, G.E. High-Resolution Modeling of Coastal Freshwater Discharge and Glacier Mass Balance in the Gulf of Alaska Watershed. Water Resour. Res. 2016, 52, 3888–3909. [Google Scholar] [CrossRef]
- Arnold, J.G.; Srinivasan, R.; Muttiah, R.S.; Williams, J.R. Large Area Hydrologic Modeling and Assessment Part I: Model Development1. JAWRA J. Am. Water Resour. Assoc. 1998, 34, 73–89. [Google Scholar] [CrossRef]
- Neitsch, S.; Arnold, J.; Kinry, J.R.; Williams, J.R. Soil and Water Assessment Tool Theoretical Documentation Version 2009; Texas Water Resources Institute: College Station, TX, USA, 2011. [Google Scholar]
- LP DAAC. NASA/METI/AIST/Japan Spacesystems and U.S./Japan ASTER Science Team ASTER Global Digital Elevation Model V003; LP DAAC: Sioux Falls, SD, USA, 2019. [Google Scholar] [CrossRef]
- Commission for Environmental Cooperation (CEC). “2015 Land Cover of North America at 30 Meters”. Canada Centre for Remote Sensing (CCRS)/Canada Centre for Mapping and Earth Observation (CCMEO), Natural Resources Canada (NRCan), U.S. Geological Survey (USGS), Comisión Nacional Para el Conocimiento y Uso de la Biodiversidad (CONABIO), Comisión Nacional Forestal (CONAFOR), Instituto Nacional de Estadística y Geografía (INEGI). Ed. 2.0, Raster Digital Data [30-m]. 2020. Available online: http://www.cec.org/nalcms (accessed on 17 July 2024).
- Bieniek, P.A.; Bhatt, U.S.; Thoman, R.L.; Angeloff, H.; Partain, J.; Papineau, J.; Fritsch, F.; Holloway, E.; Walsh, J.E.; Daly, C.; et al. Climate Divisions for Alaska Based on Objective Methods. J. Appl. Meteorol. Climatol. 2012, 51, 1276–1289. [Google Scholar] [CrossRef]
- Kottek, M.; Grieser, J.; Beck, C.; Rudolf, B.; Rubel, F. World Map of the Köppen-Geiger Climate Classification Updated. Meteorol. Z. 2006, 15, 259–263. [Google Scholar] [CrossRef]
- Beck, H.E.; Zimmermann, N.E.; McVicar, T.R.; Vergopolan, N.; Berg, A.; Wood, E.F. Present and Future Köppen-Geiger Climate Classification Maps at 1-Km Resolution. Sci. Data 2018, 5, 180214. [Google Scholar] [CrossRef]
- Wendler, G.; Galloway, K.; Stuefer, M. On the Climate and Climate Change of Sitka, Southeast Alaska. Theor. Appl. Clim. 2016, 126, 27–34. [Google Scholar] [CrossRef]
- Lader, R.; Bhatt, U.S.; Walsh, J.E.; Rupp, T.S.; Bieniek, P.A. Two-Meter Temperature and Precipitation from Atmospheric Reanalysis Evaluated for Alaska. J. Appl. Meteorol. Climatol. 2016, 55, 901–922. [Google Scholar] [CrossRef]
- Ballinger, T.J.; Bhatt, U.S.; Bieniek, P.A.; Brettschneider, B.; Lader, R.T.; Littell, J.S.; Thoman, R.L.; Waigl, C.F.; Walsh, J.E.; Webster, M.A. Alaska Terrestrial and Marine Climate Trends, 1957–2021. J. Clim. 2023, 36, 4375–4391. [Google Scholar] [CrossRef]
- Grusson, Y.; Sun, X.; Gascoin, S.; Sauvage, S.; Raghavan, S.; Anctil, F.; Sáchez-Pérez, J.-M. Assessing the Capability of the SWAT Model to Simulate Snow, Snow Melt and Streamflow Dynamics over an Alpine Watershed. J. Hydrol. 2015, 531, 574–588. [Google Scholar] [CrossRef]
- SCS (Soil Conservation Service) National Engineering Handbook, Section 4: Hydrology; Soil Conservation Service, US Department of Agriculture, The Service: Washington, DC, USA, 1972.
- Monteith, J.L. Evaporation and Environment. Symp. Soc. Exp. Biol. 1965, 19, 205–234. [Google Scholar]
- Allen, R.G.; Jensen, M.E.; Wright, J.L.; Burman, R.D. Operational Estimates of Reference Evapotranspiration. Agron. J. 1989, 81, 650–662. [Google Scholar] [CrossRef]
- Sloan, P.; Moore, I.; Coltharp, G.; Eigel, J. Modeling Surface and Subsurface Stormflow on Steeply-Sloping Forested Watersheds. KWRRI Res. Rep. 1983. [Google Scholar] [CrossRef]
- Jimmy, R. Williams Flood Routing with Variable Travel Time or Variable Storage Coefficients. Trans. ASAE 1969, 12, 100–103. [Google Scholar] [CrossRef]
- Omani, N.; Srinivasan, R.; Karthikeyan, R.; Smith, P.K. Hydrological Modeling of Highly Glacierized Basins (Andes, Alps, and Central Asia). Water 2017, 9, 111. [Google Scholar] [CrossRef]
- Cogley, J.G.; Hock, R.; Rasmussen, L.A.; Arendt, A.A.; Bauder, A.; Braithwaite, R.J.; Jansson, P.; Kaser, G.; Möller, M.; Nicholson, L.; et al. Glossary of Glacier Mass Balance and Related Terms; IHP-VII Technical Documents in Hydrology No. 86; UNESCO-IHP: Paris, France, 2011. [Google Scholar] [CrossRef]
- Mernild, S.H.; Lipscomb, W.H.; Bahr, D.B.; Radić, V.; Zemp, M. Global Glacier Changes: A Revised Assessment of Committed Mass Losses and Sampling Uncertainties. Cryosphere 2013, 7, 1565–1577. [Google Scholar] [CrossRef]
- RGI Consortium. Randolph Glacier Inventory—A Dataset of Global Glacier Outlines, Version 6; [Indicate subset used]; NSIDC National Snow and Ice Data Center: Boulder, CO, USA, 2017. [Google Scholar] [CrossRef]
- Ohmura, A.; Boettcher, M. On the Shift of Glacier Equilibrium Line Altitude (ELA) under the Changing Climate. Water 2022, 14, 2821. [Google Scholar] [CrossRef]
- Omani, N.; Srinivasan, R.; Smith, P.K.; Karthikeyan, R. Glacier Mass Balance Simulation Using SWAT Distributed Snow Algorithm. Hydrol. Sci. J. 2017, 62, 546–560. [Google Scholar] [CrossRef]
- Andrianaki, M.; Shrestha, J.; Kobierska, F.; Nikolaidis, N.P.; Bernasconi, S.M. Assessment of SWAT Spatial and Temporal Transferability for a High-Altitude Glacierized Catchment. Hydrol. Earth Syst. Sci. 2019, 23, 3219–3232. [Google Scholar] [CrossRef]
- Food and Agriculture Organization of the United Nations. FAO-UNESCO Soil Map of the World 1:5,000,000; UNESCO: Paris, France, 1974; ISBN 978-92-3-101125-2. [Google Scholar]
- Biswas, T.; Walterman, M.; Maus, P.; Megown, K.A.; Healey, S.P.; Brewer, K. Assessment of Land Use Change in the Coterminous United States and Alaska for Global Assessment of Forest Loss Conducted by the Food and Agricultural Organization of the United Nations. In Moving from Status to Trends: Forest Inventory and Analysis (FIA) Symposium 2012; 2012 December 4–6; Baltimore, MD. Gen. Tech. Rep. NRS-P-105; Morin, R.S., Liknes, G.C., Eds.; U.S. Department of Agriculture, Forest Service, Northern Research Station: Newtown Square, PA, USA, 2012; pp. 37–45. [Google Scholar]
- Winkler, K.; Fuchs, R.; Rounsevell, M.; Herold, M. Global Land Use Changes Are Four Times Greater than Previously Estimated. Nat. Commun. 2021, 12, 2501. [Google Scholar] [CrossRef] [PubMed]
- Potapov, P.; Turubanova, S.; Hansen, M.C.; Tyukavina, A.; Zalles, V.; Khan, A.; Song, X.-P.; Pickens, A.; Shen, Q.; Cortez, J. Global Maps of Cropland Extent and Change Show Accelerated Cropland Expansion in the Twenty-First Century. Nat. Food 2022, 3, 19–28. [Google Scholar] [CrossRef]
- Montanarella, L.; Pennock, D.; McKenzie, N.; Alavipanah, S.K.; Alegre, J.; Alshankiti, A.; Arrouays, D.; Aulakh, M.; Badraoui, M.; Baptista, I.; et al. The Status of the World’s Soil Resources (Technical Summary); FAO: Rome, Italy, 2015. [Google Scholar]
- Saha, S.; Moorthi, S.; Pan, H.-L.; Wu, X.; Wang, J.; Nadiga, S.; Tripp, P.; Kistler, R.; Woollen, J.; Behringer, D.; et al. The NCEP Climate Forecast System Reanalysis. Bull. Am. Meteorol. Soc. 2010, 91, 1015–1058. [Google Scholar] [CrossRef]
- Saha, S.; Moorthi, S.; Wu, X.; Wang, J.; Nadiga, S.; Tripp, P.; Behringer, D.; Hou, Y.-T.; Chuang, H.; Iredell, M.; et al. The NCEP Climate Forecast System Version 2. J. Clim. 2014, 27, 2185–2208. [Google Scholar] [CrossRef]
- Abbaspour, K.C.; Yang, J.; Maximov, I.; Siber, R.; Bogner, K.; Mieleitner, J.; Zobrist, J.; Srinivasan, R. Modelling Hydrology and Water Quality in the Pre-Alpine/Alpine Thur Watershed Using SWAT. J. Hydrol. 2007, 333, 413–430. [Google Scholar] [CrossRef]
- Shi, M.; Shiraiwa, T. Estimating Future Streamflow under Climate and Land Use Change Conditions in Northeastern Hokkaido, Japan. J. Hydrol. Reg. Stud. 2023, 50, 101555. [Google Scholar] [CrossRef]
- Fontaine, T.; Cruickshank, T.; Arnold, J.; Hotchkiss, R. Development of a Snowfall-Snowmelt Routine for Mountainous Terrain for the Soil Water Assessment Tool (SWAT). J. Hydrol. 2002, 262, 209–223. [Google Scholar] [CrossRef]
- Neupane, R.P.; Adamowski, J.F.; White, J.D.; Kumar, S. Future Streamflow Simulation in a Snow-Dominated Rocky Mountain Headwater Catchment. Hydrol. Res. 2017, 49, 1172–1190. [Google Scholar] [CrossRef]
- Moriasi, D.; Arnold, J.; Van Liew, M.; Bingner, R.; Harmel, R.D.; Veith, T. Model Evaluation Guidelines for Systematic Quantification of Accuracy in Watershed Simulations. Trans. ASABE 2007, 50, 885–900. [Google Scholar] [CrossRef]
- Arnold, J.G.; Moriasi, D.N.; Gassman, P.W.; Abbaspour, K.C.; White, M.J.; Srinivasan, R.; Santhi, C.; Harmel, R.D.; van Griensven, A.; Van Liew, M.W.; et al. SWAT: Model Use, Calibration, and Validation. Trans. ASABE 2012, 55, 1491–1508. [Google Scholar] [CrossRef]
- Bárdossy, A. Calibration of Hydrological Model Parameters for Ungauged Catchments. Hydrol. Earth Syst. Sci. 2007, 11, 703–710. [Google Scholar] [CrossRef]
- Mengistu, A.G.; van Rensburg, L.D.; Woyessa, Y.E. Techniques for Calibration and Validation of SWAT Model in Data Scarce Arid and Semi-Arid Catchments in South Africa. J. Hydrol. Reg. Stud. 2019, 25, 100621. [Google Scholar] [CrossRef]
- Mann, H.B. Nonparametric Tests Against Trend. Econometrica 1945, 13, 245–259. [Google Scholar] [CrossRef]
- Kendall, M.G. Rank Correlation Methods; Charles Griffin: London, UK, 1948. [Google Scholar]
- Sen, P.K. Estimates of the Regression Coefficient Based on Kendall’s Tau. J. Am. Stat. Assoc. 1968, 63, 1379–1389. [Google Scholar] [CrossRef]
- Di Lorenzo, E.; Schneider, N.; Cobb, K.M.; Franks, P.J.S.; Chhak, K.; Miller, A.J.; McWilliams, J.C.; Bograd, S.J.; Arango, H.; Curchitser, E.; et al. North Pacific Gyre Oscillation Links Ocean Climate and Ecosystem Change. Geophys. Res. Lett. 2008, 35, L08607. [Google Scholar] [CrossRef]
- Moges, D.M.; Virro, H.; Kmoch, A.; Cibin, R.; Rohith, A.N.; Martínez-Salvador, A.; Conesa-García, C.; Uuemaa, E. How Does the Choice of DEMs Affect Catchment Hydrological Modeling? Sci. Total Environ. 2023, 892, 164627. [Google Scholar] [CrossRef]
- Weingartner, T.J.; Danielson, S.L.; Royer, T.C. Freshwater Variability and Predictability in the Alaska Coastal Current. Deep. Sea Res. Part II Top. Stud. Oceanogr. 2005, 52, 169–191. [Google Scholar] [CrossRef]
- Royer, T.; Finney, B. An Oceanographic Perspective on Early Human Migrations to the Americas. Oceanography 2020, 33, 32–41. [Google Scholar] [CrossRef]
- Jarosz, E.; Wang, D.; Wijesekera, H.; Scott Pegau, W.; Moum, J.N. Flow Variability within the Alaska Coastal Current in Winter. J. Geophys. Res. Ocean. 2017, 122, 3884–3906. [Google Scholar] [CrossRef]
- Stabeno, P.J.; Reed, R.K. Recent Lagrangian Measurements along the Alaskan Stream. Deep Sea Res. Part A Oceanogr. Res. Pap. 1991, 38, 289–296. [Google Scholar] [CrossRef]
- Di Lorenzo, E.; Fiechter, J.; Schneider, N.; Bracco, A.; Miller, A.J.; Franks, P.J.S.; Bograd, S.J.; Moore, A.M.; Thomas, A.C.; Crawford, W.; et al. Nutrient and Salinity Decadal Variations in the Central and Eastern North Pacific. Geophys. Res. Lett. 2009, 36, L14601. [Google Scholar] [CrossRef]











| Data | Description | Spatiotemporal Resolution |
|---|---|---|
| DEM | ASTER Global Digital Elevation Model version 3 | 30 m grid |
| LC | North America Land Cover 2015 | 30 m grid |
| Soil | FAO Digital Soil Map of the World | 1:5 000 000 |
| Climate | Climate Forecast System Reanalysis (CFSR, 1979–2013); Climate Forecast System version 2 operational data (CFSv2, 2011–2022) | 0.31° × 0.31° grid/daily; 0.5° × 0.5° grid/daily |
| Parameter a | Range | Default Value | Calibrated Value | ||||
|---|---|---|---|---|---|---|---|
| Susitna | Copper | Alsek | Taku | Stikine | |||
| r_CN2 | 35–98 | 36–92 b | –0.19 | –0.22 | –0.29 | –0.24 | –0.18 |
| r_SOL_AWC | 0–1 | 0–0.175 b | –0.56 | –0.53 | –0.46 | –0.46 | –0.07 |
| v_ESCO | 0.01–1 | 0.95 | 0.06 | 0.48 | 0.77 | 0.69 | 0.37 |
| v_SNOCOVMX | 0–500 | 1 | 125.64 | 424.85 | 354.08 | 437.4 | 299.7 |
| v_GWQMN | 0–5000 | 1000 | 255.90 | 1450.01 | 1310.40 | 969.01 | 1257 |
| v_GW_DELAY | 0–500 | 31 | 26.60 | 34.87 | 49.23 | 34.94 | 25.86 |
| v_ALPHA_BF | 0–1 | 0.048 | 0.03 | 0.048 | 0.097 | 0.08 | 0.04 |
| v_TLAPS | –10–10 | –6.5 | –4.73 | –7.34 | –5.82 | –6.02 | –7.64 |
| v_PLAPS | –1000–1000 | 200 | 500 | 105.09 | 500 | 215.52 | 392.5 |
| Basin | Calibration | Validation | ||||
|---|---|---|---|---|---|---|
| NSE | r2 | PBIAS (%) | NSE | r2 | PBIAS (%) | |
| Susitna | 0.855 | 0.905 | 17.13 | 0.846 | 0.901 | 16.80 |
| Copper | 0.812 | 0.816 | 7.20 | 0.805 | 0.808 | 5.60 |
| Alsek | 0.787 | 0.841 | 21.40 | 0.845 | 0.877 | 16.10 |
| Taku | 0.827 | 0.869 | 13.46 | 0.872 | 0.879 | 5.45 |
| Stikine | 0.825 | 0.866 | −10.76 | 0.848 | 0.927 | −14.69 |
Disclaimer/Publisher’s Note: The statements, opinions and data contained in all publications are solely those of the individual author(s) and contributor(s) and not of MDPI and/or the editor(s). MDPI and/or the editor(s) disclaim responsibility for any injury to people or property resulting from any ideas, methods, instructions or products referred to in the content. |
© 2024 by the authors. Licensee MDPI, Basel, Switzerland. This article is an open access article distributed under the terms and conditions of the Creative Commons Attribution (CC BY) license (https://creativecommons.org/licenses/by/4.0/).
Share and Cite
Xin, P.; Shi, M.; Mitsudera, H.; Shiraiwa, T. Estimation of Freshwater Discharge from the Gulf of Alaska Drainage Basins. Water 2024, 16, 2690. https://doi.org/10.3390/w16182690
Xin P, Shi M, Mitsudera H, Shiraiwa T. Estimation of Freshwater Discharge from the Gulf of Alaska Drainage Basins. Water. 2024; 16(18):2690. https://doi.org/10.3390/w16182690
Chicago/Turabian StyleXin, Peng, Muqing Shi, Humio Mitsudera, and Takayuki Shiraiwa. 2024. "Estimation of Freshwater Discharge from the Gulf of Alaska Drainage Basins" Water 16, no. 18: 2690. https://doi.org/10.3390/w16182690
APA StyleXin, P., Shi, M., Mitsudera, H., & Shiraiwa, T. (2024). Estimation of Freshwater Discharge from the Gulf of Alaska Drainage Basins. Water, 16(18), 2690. https://doi.org/10.3390/w16182690

