Next Article in Journal
Effects of a Saccharomyces cerevisiae-Derived Postbiotic in Adult Labrador Retrievers Undergoing Exercise and Transport Stress
Previous Article in Journal
Exploring the ‘Pet Effect’: Does Playing with Pets Contribute to Owner Wellbeing?
 
 
Font Type:
Arial Georgia Verdana
Font Size:
Aa Aa Aa
Line Spacing:
Column Width:
Background:
Article

Influence of Feeding on IL-2 Gene Expression and Peak Blood Cyclosporine Concentration in Healthy Dogs Administered Oral Cyclosporine

1
Carlson College of Veterinary Medicine, Oregon State University, Corvallis, OR 97331, USA
2
Animal Health Center, College of Veterinary Medicine, Mississippi State University, Starkville, MS 39762, USA
*
Author to whom correspondence should be addressed.
Pets 2024, 1(3), 340-349; https://doi.org/10.3390/pets1030024
Submission received: 25 September 2024 / Revised: 28 October 2024 / Accepted: 30 October 2024 / Published: 14 November 2024

Abstract

The administration of modified cyclosporine with food has been reported to decrease oral bioavailability. The objective of this study was to compare the pharmacodynamic effects of oral modified cyclosporine in healthy dogs when administered with and without food. In this randomized, crossover study, eight client-owned dogs received a commercial formulation of modified cyclosporine (median dose, 3.5 mg/kg PO q12h) with food (fed phase) or one hour before food (fasted phase) for 7 days. Two hour post capsule administration was used as the expected time of peak cyclosporine concentration. Peak cyclosporine blood concentration measured by antibody-conjugated magnetic immunoassay and interleukin-2 (IL-2) mRNA expression assessed by quantitative reverse transcription PCR (qRT-PCR) were measured at baseline, seventh day of each phase, and after a 21-day washout. Three dogs were withdrawn due to refractory anorexia. For the five dogs that completed this study, no difference in cytokine expression (p = 0.9) was found when comparing qRT-PCR values between the fed and fasted phase. All dogs achieved post-treatment IL-2 expression corresponding with “moderate” levels of immunosuppression or higher after both phases. No difference in peak blood cyclosporine concentration was found between the 7th day of the fed phase (median, 2042; range, 1484–2100 ng/mL) and fasted phase (median, 1990; range 1137–2100 ng/mL; p = 0.8). Feeding dogs at the time of the administration of oral modified cyclosporine can achieve similar suppression of IL-2 expression and blood concentrations two hours post drug administration as compared to when the drug is administered without food.

1. Introduction

Cyclosporine is a potent immunomodulator used to treat a spectrum of chronic inflammatory and immune-mediated diseases in dogs. Modified cyclosporine is commercially available and approved for treatment of atopic dermatitis in dogs. In healthy dogs, the administration of cyclosporine as a microemulsified (modified) formulation with food was found to decrease peak drug concentration by 23% and increase individual variability in blood concentrations. Additionally, it was found that the time to peak concentration was 1.4 h in fasted dogs [1]. This supports the manufacturer’s recommendation to administer the drug 1 h before or 2 h after feeding [2]. Cyclosporine is generally well-tolerated, and the most common adverse effects are gastrointestinal in nature [2,3]. Despite the potential association with reduced peak drug concentration, in practice, some veterinarians may recommend administering cyclosporine with food in hopes of preventing gastrointestinal side effects. A study in dogs with atopic dermatitis did not demonstrate any impact of feeding on the clinical efficacy of cyclosporine, although the administration of cyclosporine with food was not shown to reduce the frequency of gastrointestinal adverse events [4].
Cyclosporine decreases the activation and proliferation of T-lymphocytes by inhibiting calcineurin, a calmodulin-dependent serine/threonine phosphatase enzyme, within the cell. Calcineurin inhibition blunts the transcription of nuclear factor of activated T cell-regulated cytokines, most notably interleukin-2 (IL-2) [5]. IL-2 plays an essential role in the activation and proliferation of T-lymphocytes, and suppressed IL-2 expression blunts immune responses [3,6]. A pharmacodynamic assay could evaluate the immunosuppressive effects of cyclosporine in dogs by measurement of activated T-cell production of IL-2. While the effect of cyclosporine on IL-2 expression in dogs is well established [7,8,9], whether feeding at the time of cyclosporine administration influences IL-2 expression has not been investigated.
The objective of this study was to compare the pharmacodynamic effects of oral modified cyclosporine in healthy dogs when administered with and without food. We hypothesized that healthy dogs administered cyclosporine with food would have less IL-2 suppression than when administered the drug without food.

2. Materials and Methods

2.1. Animals

Eight healthy dogs privately owned by staff and students at Oregon State University were recruited. The inclusion criteria included adult dogs (>1 year old) and body weight between 15 and 30 kg. The body weight range was determined to attain an approximate dose of 5 mg/kg (±30%) when administered one 100 mg capsule, a dose that has previously been recommended for use for systemic immunomodulatory effects [10]. Dogs were deemed healthy based on a normal physical examination, complete blood count, serum biochemistry, and urinalysis. Dogs were excluded if they were previously diagnosed or treated for chronic gastrointestinal illness, received immunomodulatory drugs within 6 months of entry, or were receiving medications other than routine ectoparasite and heartworm preventatives.
This study was approved by the Oregon State University Animal Care and Use Committee (IACUC-2018-0034), and the protocol followed the American Association for Accreditation of Laboratory Animal Care guidelines.

2.2. Experimental Protocol

In this two-way crossover study, the dogs were randomly assigned by an online random number generator (www.random.org) to receive a 100 mg capsule of modified cyclosporine (Atopica, Elanco, Greenfield, IN, USA) orally twice daily either with food (fed treatment phase) or 1 h prior to feeding (fasted treatment phase) for 7 days. After a washout period of at least 21 days, the dogs were crossed over for the second phase of this study.
Prior to drug administration, whole blood was collected from all dogs for the assessment of baseline IL-2 mRNA expression using a previously validated assay (Mississippi State University Pharmacodynamic Laboratory, Starkville, MS, USA). During each study phase, dogs received cyclosporine doses at approximately 12 h intervals at home for 6 days. On the 7th day of each phase, whole blood was collected 2 h after drug administration and submitted to commercial laboratories to measure the expected peak blood cyclosporine concentrations (Auburn University Clinical Pharmacology Laboratory, Auburn, AL, USA) and IL-2 mRNA expression. Samples were collected and shipped after sample collection according to the laboratory recommendations. The samples to the Mississippi State University Pharmacologic Laboratory were shipped in an insulated box with cold packs for overnight delivery and samples to Auburn University Clinical Pharmacology Laboratory were shipped for express delivery without ice. To confirm adequate washout, whole-blood cyclosporine concentration and IL-2 mRNA expression were measured prior to the start of the second phase to demonstrate that each dog’s IL-2 expression had returned to its pretreatment baseline and that the blood cyclosporine concentration was undetectable (<25 ng/mL). These results were used as the baseline IL-2 mRNA expression for the second phase of this study.
Owners were asked to keep the diet regimen of their dog the same during this study. For the fasted treatment phase, owners were instructed to give the capsule without any medication-masking treats or food. For the fed treatment phase, owners were instructed to give the capsule immediately after a meal. Owners maintained a log and recorded a daily appetite score (scored from 0 to 4; from no food consumed to all food consumed) and fecal consistency score (scored from 1 to 7; from hard to watery feces). Owners were provided a pictorial fecal chart with a description of consistency. This fecal consistency scoring system has not been validated in dogs but has previously been used in published studies [11,12]. The time and score of each observed defecation was recorded. Owners recorded fecal and appetite scores for 7 days prior to starting the first treatment phase for practice. If the dogs were anorexic (defined as absolutely no food intake; score 0), the owners were instructed to improve dietary palatability by non-pharmaceutical approaches, such as warming the food or the addition of high value treats or food. Dogs were withdrawn from this study if they remained anorexic for 24 h.

2.3. IL-2 Quantitative Reverse Transcription Polymerase Chain Reaction

Whole-blood samples were activated before RNA extraction with 12.5 ng/mL of phorbol myristate acetate (Sigma-Aldrich, St. Louis, MI, USA) and 0.8 μM of ionomycin (Sigma-Aldrich), as previously described [13]. All samples were then incubated for 5 h at 37 °C. RNA was extracted by using a previously published protocol [13]. Total RNA was isolated from 1.2 mL of heparinized whole blood by using a QIAamp RNA Blood Mini Kit (Qiagen, Valencia, CA, USA, Cat. No. 52304). Homogenized cell lysates resuspended in RLT buffer were frozen until the next phase of RNA extraction. Genomic DNA was removed from the samples according to the manufacturer’s instructions of an on-column DNase (27.27 Kunitz units) treatment (Qiagen, Cat. No. 79254). RNA samples were then stored at −80 °C until further analysis.
The concentration and purity of the RNA were estimated by a Nanodrop One spectrophotometer with NanoDrop One (version 1.4.2) software (NanoDrop Technologies, Wilmington, DE, USA). A SuperScript III Platinum SYBR Green One-Step kit with Rox as a reference dye (Invitrogen, Grand Island, NY, USA, Cat. No. 11736-059) was used to quantify the expression of the gene of interest (IL-2) and the expression of the housekeeping gene GAPDH. Primers were based on previously published GenBank sequences [14]. All reactions were performed in a 96-well format on a Stratagene Mx3005P Multiplex Quantitative PCR system (Agilent Technologies, Santa Clara, CA, USA) and analyzed with MxPro software. The RT-qPCR reaction was performed with a final volume of 20 μL containing a total of 30 ng of template RNA and 200 nM of each primer. The following thermal cycling parameters were used: 50 °C for 3 min, 95 °C for 5 min, then 40 cycles of 95 °C for 15 s and 60 °C for 30 s. Melting curve analysis was performed.
All samples were run in triplicate. Delta cycle threshold (ΔCt) values were compared against each other for pretreatment activated baseline samples as well as samples on Day 7 of each phase, where ΔCt = CtIL-2 − CtGAPDH. GAPDH is the reference gene. Data were analyzed using the clinical score methodology developed in the Pharmacodynamic Lab at Mississippi State University where clinical score (CS) represents ΔCtUNA − ΔCtACT, in which UNA represents sample prior to activation and ACT represents activated sample. Cytokine gene expression for samples collected on Day 7 of drug treatment was calculated by comparing the CS of Day 7-treated samples to CS of pretreatment baseline samples, where the CS of pretreatment baseline samples represented 100% gene expression for IL-2. Percentage of IL-2 suppression was calculated as 100 − CS% where CS% = [(ΔCtTreatment-UNA − ΔCtTreatment-ACT) × 100]/(ΔCtPretreatment-UNA − ΔCtPretreatment-ACT).

2.4. Blood Cyclosporine Concentration

Whole-blood concentrations of cyclosporine were measured as previously published using an antibody-conjugated magnetic immunoassay at Auburn University Clinical Pharmacology Laboratory. A peak concentration of 800 to 1400 ng/mL measured on a blood sample collected 1.5–2 h after drug administration is recommended in dogs with immune-mediated disease [15].

2.5. Statistical Methods

Statistical analysis was performed using SAS for Windows 9.4 (SAS Institute Inc., Cary, NC, USA). The assumption of normality was ensured by visual assessment of the data distribution. The effectiveness of the washout period was assessed by comparing baseline IL-2 expression before the first and second treatment phase using a paired t-test with PROC TTEST. The effect of treatment and time on IL-2 expression was assessed by a linear mixed model using PROC MIXED. Treatment (fed vs. fasted), time, phase, sequence, and the interaction between treatment and time were initially included as fixed effects. Phase, sequence, and the treatment–time interaction term were sequentially removed and the model refit if not significant. Dog identity and treatment phase were included as random effects. The assumptions of normality and homoskedasticity for the statistical model were determined by the assessment of conditional residuals plots. The blood cyclosporine concentrations collected 2 h post drug administration were analyzed by a Wilcoxon Signed Rank test using PROC UNIVARIATE. The blood cyclosporine concentrations of dogs that exceeded the maximum level of detection (2100 ng/mL) were arbitrarily estimated to be 2100 ng/mL. An alpha level of 0.05 was used to determine statistical significance for all analyses.

3. Results

3.1. Dogs

Eight dogs were enrolled in this study. Three dogs were withdrawn due to refractory anorexia and were excluded from analysis. Of the five dogs that completed this study, three were neutered males and two were spayed females, with a median age of 4 years (range, 2–10 years). Breeds represented included three mixed large-breed dogs, one German shepherd, and one Australian shepherd. The median weight was 27.0 kg (range, 25.4–29.1 kg). The median cyclosporine dose was 3.5 mg/kg (range, 3.4–3.9 mg/kg) twice daily.

3.2. Effect of Feeding on IL-2 Expression

Quantitative reverse-transcription polymerase chain reaction of T-cell cytokine IL-2 mRNA expression results were expressed as least-squares mean ΔCt values, where ΔCt values are negatively correlated with cytokine mRNA expression (i.e., the higher the ΔCt value, the lower the cytokine mRNA expression). At baseline prior to the first phase, the median ΔCt for the five dogs was −3.55 (range, −4.62–−2.69). The ΔCt for the five dogs prior to the second phase after washout was −3.45 (range, −4.78–−1.49). The lack of detected difference in IL-2 expression prior to the start of each study phase confirmed that the washout period was adequate (p = 0.25).
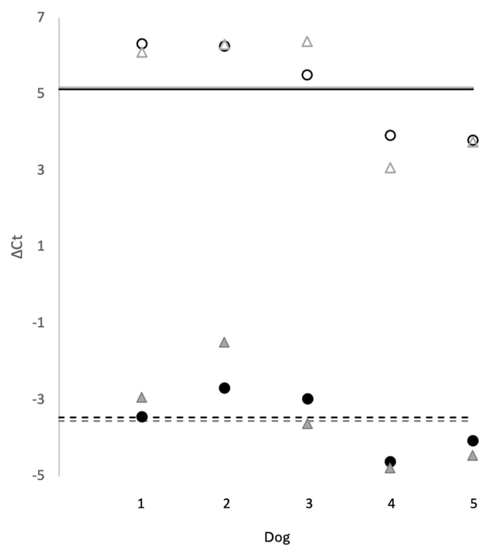
Activated whole-blood IL-2 mRNA expression represented as ΔCt values at baseline before each treatment and on the 7th day of each treatment phase (fed and fasted) for each dog is shown in Figure 1. No significant difference was found when comparing the ΔCt values on the 7th day of treatment between when dogs received cyclosporine with food (median, 5.16; range, 3.79–6.32) or without food (median, 5.12; range, 3.08–6.31; p = 0.91).
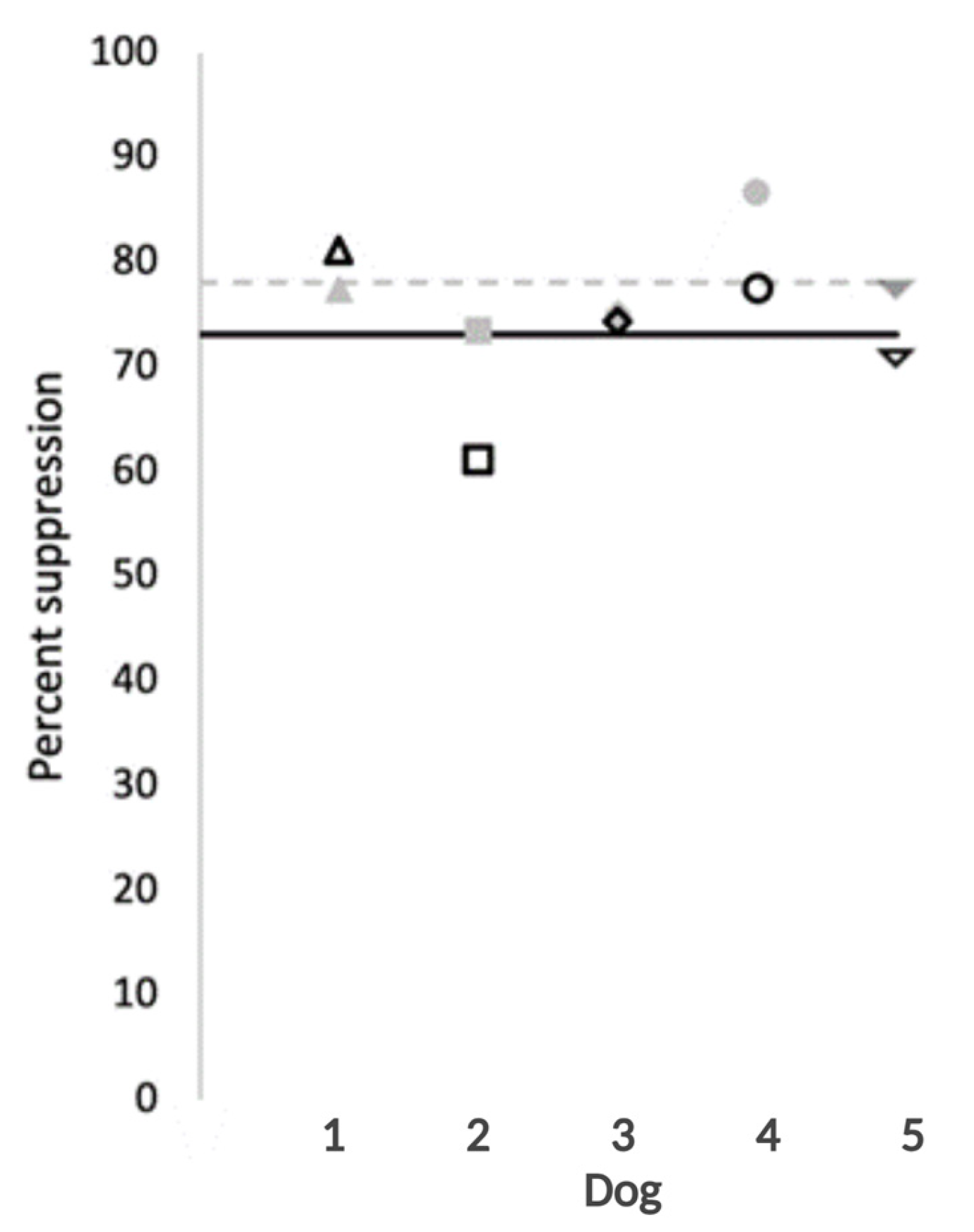
The median percent suppression of IL-2 expression on the 7th day of each treatment phase (fed and fasted) for each dog is shown in Figure 2. When comparing the ΔCt values of the pretreatment baseline samples collected prior to each phase to the samples collected on the 7th day of treatment while accounting for the effect of treatment, there was a significant suppression of IL-2 mRNA expression in all dogs (p < 0.001).
The Mississippi State University Pharmacodynamic Laboratory defines “moderate” and “moderate-high” suppression of IL-2 expression as 50–80% and 80–95% suppression of IL-2 mRNA expression of the control sample, respectively. Three of the five dogs had moderate suppression of IL-2 expression on the 7th day of receiving cyclosporine both with food (range, 61–74%) and without food (range, 73–88%). One dog had moderate-high suppression (81%) on the 7th day of receiving cyclosporine with food and then moderate suppression (77%) when receiving cyclosporine without food. One dog had moderate suppression (78%) on the 7th day of receiving cyclosporine with food and moderate-high suppression (87%) when receiving cyclosporine without food.

3.3. Effect of Feeding on Blood Cyclosporine Concentration

All dogs achieved the recommended peak blood cyclosporine concentration after 7 days of treatment in both phases. In two dogs, the blood cyclosporine concentrations exceeded the maximum level of detection (2100 ng/mL) in both phases of this study. On the 7th day of the fed treatment phase, the median peak cyclosporine blood concentration was 2042 ng/mL (range, 1484–2100 ng/mL). On the 7th day of the fasted treatment phase, the median peak cyclosporine blood concentration was 1990 ng/mL (range, 1137–2100 ng/mL). No significant difference was found in cyclosporine concentration at the expected time of peak concentration (p = 0.8) between the fasted and fed treatment phases. Blood cyclosporine concentration after the washout period was undetectable (<25.0 ng/mL) in all dogs, indicating that the washout was adequate.

3.4. Adverse Events

Three dogs were withdrawn from this study due to refractory anorexia, along with other gastrointestinal signs deemed unacceptable by the owner, including vomiting (n = 3) with or without hemorrhagic diarrhea (n = 2). One dog was withdrawn while receiving cyclosporine with food during the first phase of this study. Two dogs were withdrawn while receiving cyclosporine without food during the second phase of this study. These three dogs were excluded from statistical analysis and were receiving a median dose of 4.2 mg/kg (range, 3.9–6.3 mg/kg) twice daily. All dogs recovered after the discontinuation of cyclosporine without further intervention. The five dogs that remained in this study had normal-formed stools throughout this study. Vomiting was noted once during each treatment phase by two different dogs. Two dogs were able to remain in this study because they ate after food enhancements during the fed treatment phase.

4. Discussion

Our study is the first pharmacodynamic study in dogs to evaluate the effect of feeding at the time of drug administration on the immunomodulatory properties of cyclosporine by the measurement of activated T-cell IL-2 mRNA expression. In healthy dogs, we found that administering modified cyclosporine with food did not change the expression of IL-2 production in active T cells when compared to administration on an empty stomach, leading us to reject our hypothesis. Based on this small cohort of healthy dogs, adequate IL-2 suppression can be achieved when cyclosporine is administered with or without food at the same dose. This study was conducted in healthy dogs and not in dogs with systemic illness. Only healthy dogs were studied to avoid the possibility of reducing the efficacy of a potential life-saving therapy in patients that require immunomodulation. Since this study was conducted in healthy dogs, it is unknown whether this finding is applicable to dogs with systemic illness or gastrointestinal disease. The modified formulation of cyclosporine requires bile emulsification for absorption across the epithelium of the small intestine [3]. Cyclosporine bioavailability can therefore be affected by physiologic factors, such as bile excretion and intestinal motility. Dogs with chronic enteropathy or secondary gastrointestinal disease due to systemic illness can have dysmotility or intestinal edema that could affect drug absorption across the small intestinal epithelium and ultimately the pharmacodynamic effect of cyclosporine. Further study is needed to demonstrate the potential effect of a meal on IL-2 suppression in dogs with systemic illness or chronic enteropathy receiving modified cyclosporine.
No significant difference in blood cyclosporine concentration was identified between when dogs received food at the time of cyclosporine administration and when they were fasted at the time of administration. All dogs in this study achieved the recommended peak therapeutic concentration provided by the Auburn University Clinical Pharmacology Laboratory of 800 to 1400 ng/mL on the 7th day of drug administration during both phases. A previous pharmacokinetic study found that 30% of dogs fed at the time of receiving a single 5 mg/kg dose of modified cyclosporine had low peak concentrations (<600 ng/mL; approximately 2 h after drug administration), while adequate peak concentrations were achieved in all fasted dogs [1]. However, our study and this prior pharmacokinetic study cannot be directly compared due to differences in study design and that the studies utilized different immunoassays as the quantification method of whole-blood cyclosporine [16,17]. The previous study used a fluorescence polarization immunoassay, and we used an antibody-conjugated magnetic immunoassay for whole-blood cyclosporine quantification. Cyclosporine is extensively metabolized to at least 30 different metabolites, each with variable activity [18,19,20]; therefore, antibody-based immunoassays can provide varying results due to difference in reactivity and cross-reactivity patterns with metabolites of cyclosporine. High-performance liquid chromatography is the preferred method because this method can be used to distinguish between active compound and its metabolites [6]. However, to the authors’ knowledge, there is not an available commercial assay utilizing this method for the quantification of cyclosporine blood concentration.
Similar to previous studies, vomiting, diarrhea, and anorexia were the most frequent adverse events in our study cohort [21,22,23]. Due to adverse gastrointestinal side effects that were deemed unacceptable by the owner, three dogs were removed from this study. All dogs recovered after the discontinuation of cyclosporine without the need for further medical intervention. These dogs were not included in the statistical analysis, thereby limiting our ability to discern the true effect of feeding on gastrointestinal adverse effects. It is notable that of the three dogs withdrawn from this study, two dogs were withdrawn when cyclosporine was administered without food in their second phase, as compared to one dog in their first phase, when cyclosporine was administered with food. Given our limited sample size, it is not possible to conclude whether this is of clinical significance, and future studies with larger sample sizes are needed to draw conclusion regarding cyclosporine tolerability when administered with and without food. Gastrointestinal adverse effects secondary to cyclosporine in the excluded dogs may potentially have been because of the local gastrointestinal effects of the drug or because of excessive cyclosporine blood concentrations; however, a blood sample was not obtained at the time of exclusion. The excluded dogs were the three smallest dogs, and they therefore received a higher dose (median dose of 4.2 mg/kg; range, 3.9–6.3 mg/kg) than the dogs that remained in this study. The positive association between dosage and adverse events is supported by a previous study where vomiting, diarrhea, and weight loss were seen with greater frequency with higher drug dosage [2].
The standard recommended cyclosporine starting dosage for dogs with life-threatening or severe immune-mediated disease is typically 5 mg/kg twice daily, although doses may be reduced in dogs with milder or localized inflammatory disease [6,10,24]. A target dose of approximately 5 mg/kg twice daily was chosen for this study, with the expectation that, because of varying dog sizes, there would be some degree of variability in actual dosage. The body weight range for study inclusion was determined based on the goal of each dog receiving one 100 mg capsule twice daily [2]. The final median dose in this study, however, was 3.5 mg/kg administered twice daily, and this was in part due to the attrition of several of the smaller dogs enrolled in this study. Although the actual final median dose was lower than intended, all dogs reached laboratory-recommended therapeutic cyclosporine blood concentrations, and all had a moderate suppression of IL-2 expression or higher, on the 7th day of drug administration. The results suggest that the dosage used in this study achieved meaningful and clinically relevant cyclosporine blood concentration and pharmacodynamic effects in this cohort of healthy dogs.
Our study had limitations. Firstly, the small sample of dogs increases the likelihood of type II error. The low statistical power renders our lack of statistical difference between treatment phases questionable. Nonetheless, veterinarians should also be aware of preliminary evidence that some dogs may achieve levels of IL-2 suppression that correspond to adequate immunosuppression even if cyclosporine is administered with food. This allows veterinarians to make individualized recommendations to dog owners based upon the caretaker’s need in effort to increase overall compliance and exemplifies the importance of therapeutic drug monitoring.
Secondly, the actual median dosage was 30% less than the targeted dosage and many clinicians are using a higher dosage, especially for immunosuppression. The decision to use a fixed dose was to reduce the variability of administration of multiple capsules or formulation (i.e., 50 mg capsule). The total daily dosage used in this study is more suited in non-life-threatening diseases requiring immunomodulation, such as pemphigus foliaceus, atopic dermatitis, and sebaceous adenitis [25,26,27]. The result of the current study suggests that IL-2 mRNA expression and expected peak blood cyclosporine concentration are not affected by feeding at the low dose and therefore the result is unlikely to change in higher dosage. However, future studies with a higher target dose are needed to make this conclusion.
Thirdly, our study only measured blood cyclosporine concentration 2 h after drug administration because this is the current recommended protocol for the laboratory and it is most practical for veterinarians and owners. One of the limitations of this study was assuming that 2 h post drug administration was the expected peak blood cyclosporine concentration for all dogs included in this study and ideally other time points would have been measured to confirm time of peak concentration for each dog. Future studies may include more timepoints to make conclusions on the effect of food on altering expected peak cyclosporine concentration.
Our study included a German shepherd and an Australian shepherd, two breeds that are known to carry a genetic deletion (MDR1; ATP-binding cassette sub family B member 1-1Δ) mutation affecting the P-glycoprotein efflux pump [28]. As a substrate for P-glycoprotein, it is possible that deficient efflux pump would result in greater intracellular cyclosporine concentration and experience enhanced immunosuppression [29]. This variation in pharmacological effect of cyclosporine in dogs with heterozygous MDR1 mutation has not been fully elucidated but was suspected in a case report [30,31]. Testing for the presence of mutant MDR1 allele is available but was not performed in any of the dogs in this study. The two dogs with the highest potential to be carrying an MDR1 mutation did not display exceptional IL-2 suppression. While the prevalence of MDR1 mutation in unclassified mixed-breed dogs is reported to be 5%, it is unlikely but plausible that the dogs enrolled in this study were affected [28].
Lastly, the diet was deliberately not controlled in our study to simulate the practical clinical environment. Although owners were instructed not to change the diet for the duration of this study, this study allowed participants to add food enhancements (broth and high-valued treats) if the patients became anorexic. This study variation was permitted to decrease study withdrawal due to anorexia. Two dogs receiving cyclosporine with a meal were able to remain in this study because they ate after food enhancements. A limitation of this approach is that it is not possible to determine how food enhancements may have further altered appetite, fecal consistency, peak cyclosporine concentration, or IL-2 mRNA expression. Future studies with stricter dietary regimens would require enrolling more dogs to account for those that may withdraw due to anorexia.

5. Conclusions

Feeding at the time of drug administration achieved levels of IL-2 expression that correspond to adequate immunosuppression and adequate blood cyclosporine concentrations in this small group of healthy dogs. In healthy dogs, modified cyclosporine can be administered with food without affecting its IL-2 gene expression or expected peak drug concentration.

Author Contributions

Conceptualization, M.P. and J.R.; methodology, M.P., J.R. and S.S.; software, L.N. and R.W.; validation, L.N. and R.W.; formal analysis, L.N. and R.W.; investigation, M.P.; resources, M.P.; data curation, M.P. and L.N.; writing—original draft preparation, M.P., L.N. and R.W.; writing—review and editing, S.S., T.A., A.M. and R.W.; visualization, M.P. and S.S.; supervision, J.R. and S.S.; project administration, M.P. and J.R.; funding acquisition, M.P. All authors have read and agreed to the published version of the manuscript.

Funding

This research received no external funding.

Institutional Review Board Statement

This study was approved by the Oregon State University Animal Care and Use Committee (IACUC-2018-0034, approved on 29 December 2019), and the protocol followed the American Association for Accreditation of Laboratory Animal Care guidelines.

Informed Consent Statement

Informed consent was obtained from all subjects involved in this study.

Data Availability Statement

Dataset available on request from the authors.

Acknowledgments

The results were presented in abstract form at the 2021 Annual Forum of American College of Veterinary Internal Medicine On-Demand.

Conflicts of Interest

Todd Archer and Andrew Mackin oversee the Pharmacodynamic Laboratory at the Mississippi State University College of Veterinary Medicine, which provided the assay evaluated in this study as a commercial service to veterinarians at the time of this study. Lakshmi Narayanan was the senior research associate at the Pharmacodynamic Laboratory at the Mississippi State University College of Veterinary Medicine.

Correction Statement

This article has been republished with a minor correction to Institutional Review Board Statement. This change does not affect the scientific content of the article.

References

  1. Steffan, J.; Strehlau, G.; Maurer, M.; Rohlfs, A. Cyclosporin A pharmacokinetics and efficacy in the treatment of atopic dermatitis in dogs. J. Vet. Pharmacol. Ther. 2004, 27, 231–238. [Google Scholar] [CrossRef] [PubMed]
  2. Atopica. Package Insert; Elanco US Inc.: Greenfield, IN, USA, 2020. [Google Scholar]
  3. Robson, D. Review of the pharmacokinetics, interactions and adverse reactions of cyclosporine in people, dogs and cats. Vet. Rec. 2003, 152, 739–748. [Google Scholar] [CrossRef] [PubMed]
  4. Thelen, A.; Mueller, R.S.; Linek, M.; Peters, S.; Stechmann, K.; Steffan, J. Influence of food intake on the clinical response to cyclosporin A in canine atopic dermatitis. Vet. Rec. 2006, 159, 854–856. [Google Scholar] [PubMed]
  5. Kapturczak, M.H.; Meier-Kriesche, H.U.; Kaplan, B. Pharmacology of calcineurin antagonists. Transplant. Proc. 2004, 36 (Suppl. 2), 25S–32S. [Google Scholar] [CrossRef]
  6. Archer, T.M.; Boothe, D.M.; Langston, V.C.; Fellman, C.L.; Lunsford, K.V.; Mackin, A.J. Oral cyclosporine treatment in dogs: A review of the literature. J. Vet. Intern. Med. 2014, 28, 1–20. [Google Scholar] [CrossRef]
  7. Archer, T.M.; Fellman, C.L.; Stokes, J.V.; Pinchuk, L.M.; Lunsford, K.V.; Pruett, S.B.; Langston, V.C.; Mackin, A.J. Pharmacodynamic monitoring of canine T-cell cytokine responses to oral cyclosporine. J. Vet. Intern. Med. 2011, 25, 1391–1397. [Google Scholar] [CrossRef]
  8. Fellman, C.L.; Stokes, J.V.; Archer, T.M.; Pinchuk, L.M.; Lunsford, K.V.; Mackin, A.J. Cyclosporine A affects the in vitro expression of T cell activation-related molecules and cytokines in dogs. Vet. Immunol. Immunopathol. 2011, 140, 175–180. [Google Scholar] [CrossRef]
  9. Fellman, C.L.; Archer, T.M.; Stokes, J.V.; Wills, R.W.; Lunsford, K.V.; Mackin, A.J. Effects of oral cyclosporine on canine T-cell expression of IL-2 and IFN-gamma across a 12-h dosing interval. J. Vet. Pharmacol. Ther. 2016, 39, 237–244. [Google Scholar] [CrossRef]
  10. Swann, J.W.; Garden, O.A.; Fellman, C.L.; Glanemann, B.; Goggs, R.; LeVine, D.N.; Mackin, A.J.; Whitley, N.T. ACVIM consensus statement on the treatment of immune-mediated hemolytic anemia in dogs. J. Vet. Intern. Med. 2019, 33, 1141–1172. [Google Scholar] [CrossRef]
  11. Burton, E.N.; O’Connor, E.; Ericsson, A.C.; Franklin, C.L. Evaluation of Fecal Microbiota Transfer as Treatment for Postweaning Diarrhea in Research-Colony Puppies. J. Am. Assoc. Lab. Anim. Sci. 2016, 55, 582–587. [Google Scholar]
  12. Bybee, S.N.; Scorza, A.V.; Lappin, M.R. Effect of the probiotic Enterococcus faecium SF68 on presence of diarrhea in cats and dogs housed in an animal shelter. J. Vet. Intern. Med. 2011, 25, 856–860. [Google Scholar] [CrossRef] [PubMed]
  13. Riggs, C.; Archer, T.; Fellman, C.; Figueiredo, A.S.; Follows, J.; Stokes, J.; Wills, R.; Mackin, A.; Bulla, C. Analytical validation of a quantitative reverse transcriptase polymerase chain reaction assay for evaluation of T-cell targeted immunosuppressive therapy in the dog. Vet. Immunol. Immunopathol. 2013, 156, 229–234. [Google Scholar] [CrossRef] [PubMed]
  14. Kobayashi, T.; Momoi, Y.; Iwasaki, T. Cyclosporine A inhibits the mRNA expressions of IL-2, IL-4 and IFN-gamma, but not TNF-alpha, in canine mononuclear cells. J. Vet. Med. Sci. 2007, 69, 887–892. [Google Scholar] [CrossRef] [PubMed]
  15. Archer, T.M.; Mulligan, C.; Narayanan, L.; Riggs, C.; Fellman, C.; Thomason, J.M.; Wills, R.W.; Boothe, D.M.; Cruz-Espindola, C.; Harmon, R.; et al. Effects of oral administration of 5 immunosuppressive agents on activated T-cell cytokine expression in healthy dogs. J. Vet. Intern. Med. 2020, 34, 1206–1213. [Google Scholar] [CrossRef] [PubMed]
  16. Burckart, G.J.; Jain, A.; Diven, W.; Venkataramanan, R.; Starzl, T.E. Cyclosporine measurement by FPIA, PC-RIA, and HPLC following liver transplantation. Transplant. Proc. 1990, 22, 1319–1322. [Google Scholar]
  17. Buice, R.G.; Gurley, B.J.; Stentz, F.B.; Sidhu, P.; McClellan, T.; Williams, J.W. Cyclosporine disposition in the dog. Comparison of radioimmunoassay with high-performance liquid chromatographic assay and pharmacokinetics following intravenous administration. Transplantation 1985, 40, 483–488. [Google Scholar] [CrossRef]
  18. Christians, U.; Strohmeyer, S.; Kownatzki, R.; Schiebel, H.M.; Bleck, J.; Kohlhaw, K.; Schottmann, R.; Sewing, K.F. Investigations on the metabolic pathways of cyclosporine: II. Elucidation of the metabolic pathways in vitro by human liver microsomes. Xenobiotica 1991, 21, 1199–1210. [Google Scholar] [CrossRef]
  19. Yatscoff, R.W.; Rosano, T.G.; Bowers, L.D. The clinical significance of cyclosporine metabolites. Clin. Biochem. 1991, 24, 23–35. [Google Scholar] [CrossRef]
  20. Whalen, R.D.; Tata, P.N.; Burckart, G.J.; Venkataramanan, R. Species differences in the hepatic and intestinal metabolism of cyclosporine. Xenobiotica 1999, 29, 3–9. [Google Scholar] [CrossRef]
  21. Steffan, J.; Parks, C.; Seewald, W.; North American Veterinary Dermatology Cyclosporine Study Group. Clinical trial evaluating the efficacy and safety of cyclosporine in dogs with atopic dermatitis. J. Am. Vet. Med. Assoc. 2005, 226, 1855–1863. [Google Scholar] [CrossRef]
  22. Olivry, T.; Steffan, J.; Fisch, R.D.; Prelaud, P.; Guaguere, E.; Fontaine, J.; Carlotti, D.N.; European Veterinary Dermatology Cyclosporine Group. Randomized controlled trial of the efficacy of cyclosporine in the treatment of atopic dermatitis in dogs. J. Am. Vet. Med. Assoc. 2002, 221, 370–377. [Google Scholar] [CrossRef] [PubMed]
  23. Nuttall, T.; Reece, D.; Roberts, E. Life-long diseases need life-long treatment: Long-term safety of ciclosporin in canine atopic dermatitis. Vet. Rec. 2014, 174 (Suppl. 2), 3–12. [Google Scholar] [CrossRef] [PubMed]
  24. Steffan, J.; Favrot, C.; Mueller, R. A systematic review and meta-analysis of the efficacy and safety of cyclosporin for the treatment of atopic dermatitis in dogs. Vet. Dermatol. 2006, 17, 3–16. [Google Scholar] [CrossRef] [PubMed]
  25. Fontaine, J.; Olivry, T. Treatment of canine atopic dermatitis with cyclosporine: A pilot clinical study. Vet. Rec. 2001, 148, 662–663. [Google Scholar] [CrossRef] [PubMed]
  26. Linek, M.; Boss, C.; Haemmerling, R.; Hewicker-Trautwein, M.; Mecklenburg, L. Effects of cyclosporine A on clinical and histologic abnormalities in dogs with sebaceous adenitis. J. Am. Vet. Med. Assoc. 2005, 226, 59–64. [Google Scholar] [CrossRef]
  27. Olivry, T.; Rivierre, C.; Murphy, K.M. Efficacy of cyclosporine for treatment induction of canine pemphigus foliaceus. Vet. Rec. 2003, 152, 53–54. [Google Scholar] [CrossRef]
  28. Gramer, I.; Leidolf, R.; Doring, B.; Klintzsch, S.; Kramer, E.M.; Yalcin, E.; Petzinger, E.; Geyer, J. Breed distribution of the nt230(del4) MDR1 mutation in dogs. Vet. J. 2011, 189, 67–71. [Google Scholar] [CrossRef]
  29. Ford, J.; Hoggard, P.G.; Owen, A.; Khoo, S.H.; Back, D.J. A simplified approach to determining P-glycoprotein expression in peripheral blood mononuclear cell subsets. J. Immunol. Methods 2003, 274, 129–137. [Google Scholar] [CrossRef]
  30. Mackin, A.J.; Riggs, C.; Beatty, T.; Mealey, K.; Boothe, D.; Archer, T. Excessive Cyclosporine-Associated Immunosuppression in a Dog Heterozygous for the MDR1 (ABCB1-1Delta) Mutation. J. Am. Anim. Hosp. Assoc. 2020, 56, 190. [Google Scholar] [CrossRef]
  31. Mealey, K.L.; Waiting, D.; Raunig, D.L.; Schmidt, K.R.; Nelson, F.R. Oral bioavailability of P-glycoprotein substrate drugs do not differ between ABCB1-1Delta and ABCB1 wild type dogs. J. Vet. Pharmacol. Ther. 2010, 33, 453–460. [Google Scholar] [CrossRef]
Figure 1. Scatter plot of activated whole-blood IL-2 mRNA expression for 5 healthy dogs before (filled shapes) and after (open shapes) treatment (7th day of drug administration) with cyclosporine (median 3.5 mg/kg BID; range, 3.4–3.9 mg/kg BID). The effect of administration with food (black circles) and without food (gray triangles) is demonstrated, with expression presented as ΔCt values. The higher the ΔCt value, the lower the cytokine mRNA expression. The dashed and solid lines represent the mean ΔCt values for dogs during the fed phase (black) and fasted phase (gray) before and after 7 days of cyclosporine, respectively.
Figure 1. Scatter plot of activated whole-blood IL-2 mRNA expression for 5 healthy dogs before (filled shapes) and after (open shapes) treatment (7th day of drug administration) with cyclosporine (median 3.5 mg/kg BID; range, 3.4–3.9 mg/kg BID). The effect of administration with food (black circles) and without food (gray triangles) is demonstrated, with expression presented as ΔCt values. The higher the ΔCt value, the lower the cytokine mRNA expression. The dashed and solid lines represent the mean ΔCt values for dogs during the fed phase (black) and fasted phase (gray) before and after 7 days of cyclosporine, respectively.
Pets 01 00024 g001
Figure 2. Scatter plot of activated whole-blood IL-2 mRNA expression in 5 healthy dogs, each represented by a unique symbol, presented as a percentage of untreated baseline samples, in which the untreated baseline samples represent 100% cytokine production. The effects of cyclosporine administered with food (open shapes) and without food (solid shapes) on T-cell cytokine mRNA expression over 7 days of treatment are presented. The solid line represents the median percent suppression of dogs in the fed phase and the dashed line represents the median percent suppression of dogs in the fasted phase.
Figure 2. Scatter plot of activated whole-blood IL-2 mRNA expression in 5 healthy dogs, each represented by a unique symbol, presented as a percentage of untreated baseline samples, in which the untreated baseline samples represent 100% cytokine production. The effects of cyclosporine administered with food (open shapes) and without food (solid shapes) on T-cell cytokine mRNA expression over 7 days of treatment are presented. The solid line represents the median percent suppression of dogs in the fed phase and the dashed line represents the median percent suppression of dogs in the fasted phase.
Pets 01 00024 g002
Disclaimer/Publisher’s Note: The statements, opinions and data contained in all publications are solely those of the individual author(s) and contributor(s) and not of MDPI and/or the editor(s). MDPI and/or the editor(s) disclaim responsibility for any injury to people or property resulting from any ideas, methods, instructions or products referred to in the content.

Share and Cite

MDPI and ACS Style

Pan, M.; Archer, T.; Mackin, A.; Wills, R.; Narayanan, L.; Raessler, J.; Summers, S. Influence of Feeding on IL-2 Gene Expression and Peak Blood Cyclosporine Concentration in Healthy Dogs Administered Oral Cyclosporine. Pets 2024, 1, 340-349. https://doi.org/10.3390/pets1030024

AMA Style

Pan M, Archer T, Mackin A, Wills R, Narayanan L, Raessler J, Summers S. Influence of Feeding on IL-2 Gene Expression and Peak Blood Cyclosporine Concentration in Healthy Dogs Administered Oral Cyclosporine. Pets. 2024; 1(3):340-349. https://doi.org/10.3390/pets1030024

Chicago/Turabian Style

Pan, Marianne, Todd Archer, Andrew Mackin, Robert Wills, Lakshmi Narayanan, Jana Raessler, and Stacie Summers. 2024. "Influence of Feeding on IL-2 Gene Expression and Peak Blood Cyclosporine Concentration in Healthy Dogs Administered Oral Cyclosporine" Pets 1, no. 3: 340-349. https://doi.org/10.3390/pets1030024

APA Style

Pan, M., Archer, T., Mackin, A., Wills, R., Narayanan, L., Raessler, J., & Summers, S. (2024). Influence of Feeding on IL-2 Gene Expression and Peak Blood Cyclosporine Concentration in Healthy Dogs Administered Oral Cyclosporine. Pets, 1(3), 340-349. https://doi.org/10.3390/pets1030024

Article Metrics

Back to TopTop